Listeria monocytogenes Challenge Testing of Ready-to-Eat Uncured Vacuum-Packed Pork Bars with Dried Plasma
Abstract
1. Introduction
2. Materials and Methods
2.1. Product Sample
2.2. Preparation of the L. monocytogenes Inoculum
2.3. Inoculation Procedure
2.4. Storage
2.5. Enumeration of L. monocytogenes
2.6. Immunoassay Confirmation of the Presence of L. monocytogenes in LM-0 Meat Bars
2.7. Determination of Physicochemical Factors in the RTE Meat Bars
2.8. Enumeration of Background Microflora in LM-0 Meat Bars
2.9. Growth Potential
2.10. Growth/Survival Curves and Statistical Analysis
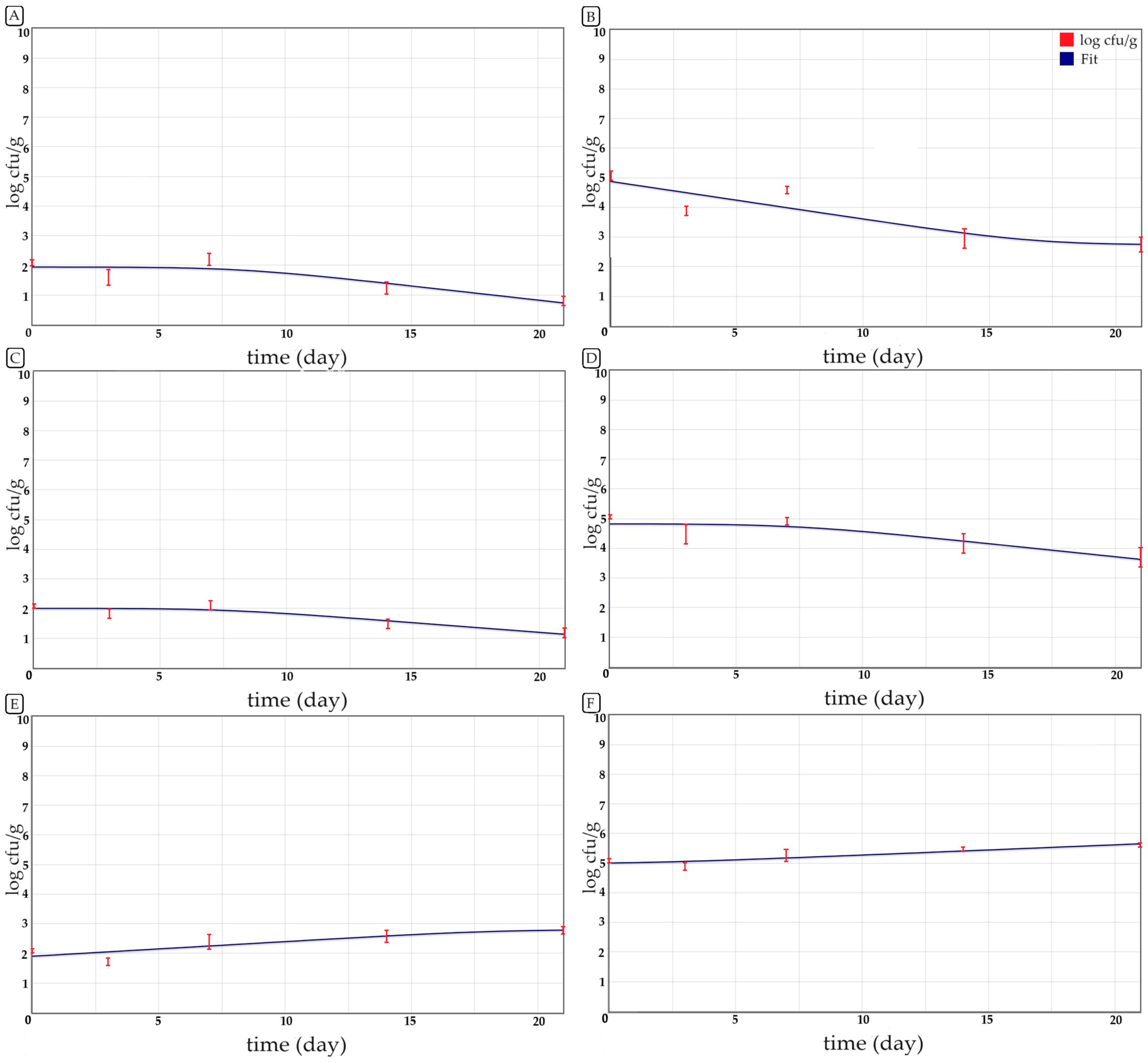
3. Results
4. Discussion
5. Conclusions
Author Contributions
Funding
Institutional Review Board Statement
Informed Consent Statement
Data Availability Statement
Acknowledgments
Conflicts of Interest
References
- Lungu, B.; Ricke, S.C.; Johnson, M.G. Growth, survival, proliferation and pathogenesis of Listeria monocytogenes under low oxygen or anaerobic conditions: A review. Anaerobe 2009, 15, 7–17. [Google Scholar] [CrossRef]
- Sauer, J.-D.; Herskovits, A.A.; O’Riordan, M.X.D. Metabolism of the Gram-Positive Bacterial Pathogen Listeria monocytogenes. In Gram-Positive Pathogens; Wiley: Hoboken, NJ, USA, 2019; pp. 864–872. [Google Scholar] [CrossRef]
- Allen, K.J.; Wałecka-Zacharska, E.; Chen, J.C.; Katarzyna, K.-P.; Devlieghere, F.; Van Meervenne, E.; Osek, J.; Wieczorek, K.; Bania, J. Listeria monocytogenes—An examination of food chain factors potentially contributing to antimicrobial resistance. Food Microbiol. 2016, 54, 178–189. [Google Scholar] [CrossRef]
- Freitag, I.; Pereira, R.; Machado, E.; Hofer, E.; Vallim, D.; Hofer, C. Seroprevalence of Listeria monocytogenes in HIV infected pregnant women from Brazil. Braz. J. Infect. Dis. 2021, 25, 101635. [Google Scholar] [CrossRef]
- European Food Safety Authority; European Centre for Disease Prevention and Control. The European Union One Health 2022 Zoonoses Report. EFSA J. 2023, 21, e8442. [Google Scholar] [CrossRef]
- Thakur, M.; Asrani, R.K.; Patial, V. Listeria monocytogenes: A Food-Borne Pathogen. In Foodborne Diseases; Academic Press: Cambridge, MA, USA, 2018; pp. 157–192. [Google Scholar] [CrossRef]
- Quereda, J.J.; Morón-García, A.; Palacios-Gorba, C.; Dessaux, C.; García-del Portillo, F.; Pucciarelli, M.G.; Ortega, A.D. Pathogenicity and virulence of Listeria monocytogenes: A trip from environmental to medical microbiology. Virulence 2021, 12, 2509–2545. [Google Scholar] [CrossRef] [PubMed]
- Matle, I.; Mbatha, K.R.; Madoroba, E. A review of Listeria monocytogenes from meat and meat products: Epidemiology, virulence factors, antimicrobial resistance and diagnosis. Onderstepoort J. Vet. Res. 2020, 87, 1–20. [Google Scholar] [CrossRef]
- Gao, X.; Liu, H.; Wang, T.; Jiang, Z.; Zhu, Y. Low temperature preservation for perishable ready to eat foods: Not entirely effective for control of L. Monocytogenes. Trends Food Sci. Technol. 2023, 142, 104228. [Google Scholar] [CrossRef]
- Roberts, B.N.; Chakravarty, D.; Gardner, J.C.; Ricke, S.C.; Donaldson, J.R. Listeria monocytogenes Response to Anaerobic Environments. Pathogens 2020, 9, 210. [Google Scholar] [CrossRef]
- Osek, J.; Lachtara, B.; Wieczorek, K. Listeria monocytogenes—How This Pathogen Survives in Food-Production Environments? Front. Microbiol. 2022, 13, 866462. [Google Scholar] [CrossRef]
- Carrascosa, C.; Raheem, D.; Ramos, F.; Saraiva, A.; Raposo, A. Microbial Biofilms in the Food Industry—A Comprehensive Review. Int. J. Environ. Res. Public Health 2021, 18, 2014. [Google Scholar] [CrossRef]
- Moltz, A.G.; Martin, S.E. Formation of Biofilms by Listeria monocytogenes under Various Growth Conditions. J. Food Prot. 2005, 68, 92–97. [Google Scholar] [CrossRef] [PubMed]
- Matereke, L.T.; Okoh, A.I. Listeria monocytogenes Virulence, Antimicrobial Resistance and Environmental Persistence: A Review. Pathogens 2020, 9, 528. [Google Scholar] [CrossRef] [PubMed]
- Sanchez-Vizuete, P.; Orgaz, B.; Aymerich, S.; Le Coq, D.; Briandet, R. Pathogens protection against the action of disinfectants in multispecies biofilms. Front Microbiol. 2015, 6, 705. [Google Scholar] [CrossRef]
- European Food Safety Authority; Amore, G.; Beloeil, P.-A.; Boelaert, F.; Garcia Fierro, R.; Papanikolaou, A.; Rizzi, V.; Stoicescu, A.-V. Zoonoses, Food-Borne Outbreaks and Antimicrobial Resistance Guidance for Reporting 2022 Data; EFSA Supporting Publications: Parma, Italy, 2023; Volume 20, p. 7827E.
- Kurpas, M.; Wieczorek, K.; Osek, J. Ready-to-eat meat products as a source of Listeria monocytogenes. J. Vet. Res. 2018, 62, 49–55. [Google Scholar] [CrossRef]
- European CDC Database. Available online: https://atlas.ecdc.europa.eu/public/index.aspx (accessed on 15 May 2024).
- Whiting, R.C. Microbial modeling in foods. Crit. Rev. Food Sci. Nutr. 1995, 35, 467–494. [Google Scholar] [CrossRef]
- Spanu, C.; Scarano, C.; Ibba, M.; Pala, C.; Spanu, V.; De Santis, E.P.L. Microbiological challenge testing for Listeria monocytogenes in ready-to-eat food: A practical approach. Ital. J. Food Saf. 2014, 3, 4518. [Google Scholar] [CrossRef] [PubMed][Green Version]
- Tuytschaever, T.; Raes, K.; Sampers, I. Listeria monocytogenes in food businesses: From persistence strategies to intervention/prevention strategies—A review. Compr. Rev. Food Sci. Food Saf. 2023, 22, 3910–3950. [Google Scholar] [CrossRef] [PubMed]
- Vidovic, S.; Paturi, G.; Gupta, S.; Fletcher, G.C. Lifestyle of Listeria monocytogenes and food safety: Emerging listericidal technologies in the food industry. Crit. Rev. Food Sci. Nutr. 2024, 64, 1817–1835. [Google Scholar] [CrossRef] [PubMed]
- Lanni, L.; Morena, V.; Scattareggia Marchese, A.; Destro, G.; Ferioli, M.; Catellani, P.; Giaccone, V. Challenge Test as Special Tool to Estimate the Dynamic of Listeria monocytogenes and Other Food-borne Pathogens. Foods 2022, 11, 32. [Google Scholar] [CrossRef]
- Blagojevic, B.; Nesbakken, T.; Alvseike, O.; Vågsholm, I.; Antic, D.; Johler, S.; Houf, K.; Meemken, D.; Nastasijevic, I.; Vieira Pinto, M.; et al. Drivers, opportunities, and challenges of the European risk-based meat safety assurance system. Food Control 2021, 124, 107870. [Google Scholar] [CrossRef]
- Farber, J.M.; Zwietering, M.; Wiedmann, M.; Schaffner, D.; Hedberg, C.W.; Harrison, M.A.; Emma Hartnett, E.; Chapman, B.; Donnelly, C.W.; Goodburn, K.E.; et al. Alternative approaches to the risk management of Listeria monocytogenes in low-risk foods. Food Control 2020, 123, 107601. [Google Scholar] [CrossRef]
- Magalhães, A.E.V.; Rossi, A.H.G.; Zattar, I.C.; Marques, M.A.M.; Seleme, R. Food traceability technologies and food-borne outbreak occurrences. Br. Food J. 2019, 121, 3362–3379. [Google Scholar] [CrossRef]
- Islam, S.; Cullen, J.M. Food traceability: A generic theoretical framework. Food Control 2021, 123, 107848. [Google Scholar] [CrossRef]
- Bergis, H.; Bonanno, L.; Asséré, A.; Lombard, B.; Polet, M.; Andersen, J.K.; Hickey, B.; Pomilio, F.; in’t Veld, P.; Verbart, C.; et al. EURL Lm Technical Guidance Document on challenge tests and durability studies for assessing shelf-life of ready-to-eat foods related to Listeria monocytogenes (Version 4). Zenodo 2021. Available online: https://zenodo.org/records/7760700 (accessed on 30 August 2024).
- Focker, M.; van Asselt, E.D.; van der Fels-Klerx, H.J. Designing a risk-based monitoring plan for pathogens in food: A review. Food Control 2023, 143, 109319. [Google Scholar] [CrossRef]
- Jacxsens, L.; Luning, P.A.; Marcelis, W.J.; van Boekel, T.; Rovira, J.; Oses, S.; Kousta, M.; Drosinos, E.; Jasson, V.; Uyttendaele, M. Tools for the performance assessment and improvement of food safety management systems. Trends Food Sci. Technol. 2011, 22, S80–S89. [Google Scholar] [CrossRef]
- Brul, S.; Mensonides, F.I.C.; Hellingwerf, K.J.; Teixeira de Mattos, M.J. Microbial systems biology: New frontiers open to predictive microbiology. Int. J. Food Microbiol. 2008, 128, 16–21. [Google Scholar] [CrossRef] [PubMed]
- Skjerdal, T.; Gangsei, L.E.; Alvseike, O.; Kausrud, K.; De Cesare, A.; Alexa, E.-A.; Alvarez-Ordonez, A.; Haugland Moen, L.; Mohr Osland, A.; From, C.; et al. Development and validation of a regression model for Listeria monocytogenes growth in roast beefs. Food Microbiol. 2021, 98, 103770. [Google Scholar] [CrossRef]
- Bruckner, S.; Albrecht, A.; Petersen, B.; Kreyenschmidt, J. A predictive shelf life model as a tool for the improvement of quality management in pork and poultry chains. Food Control 2013, 29, 451–460. [Google Scholar] [CrossRef]
- Bolívar, A.; Costa, J.C.C.P.; Posada-Izquierdo, G.D.; Valero, A.; Zurera, G.; Pérez-Rodríguez, F. Modelling the growth of Listeria monocytogenes in Mediterranean fish species from aquaculture production. Int. J. Food Microbiol. 2018, 270, 14–21. [Google Scholar] [CrossRef]
- Monsalve, D. Development of Predictive Models for the Growth of Listeria monocytogenes on Ready-to-Eat Meat and Poultry Products. ETD Collection for University of Nebraska-Lincoln. AAI3315877. 2008. Available online: https://digitalcommons.unl.edu/dissertations/AAI3315877 (accessed on 15 May 2024).
- Filter, M.; Nauta, M.; Pires, S.M.; Guillier, L.; Buschhardt, T. Towards efficient use of data, models and tools in food microbiology. Curr. Opin. Food Sci. 2022, 46, 100834. [Google Scholar] [CrossRef]
- Tsaloumi, S.; Aspridou, Z.; Tsigarida, E.; Gaitis, F.; Garofalakis, G.; Barberis, K.; Tzoumanika, F.; Dandoulaki, M.; Skiadas, R.; Koutsoumanis, K. Quantitative risk assessment of Listeria monocytogenes in ready-to-eat (RTE) cooked meat products sliced at retail stores in Greece. Food Microbiol. 2021, 99, 103800. [Google Scholar] [CrossRef] [PubMed]
- Valdramidis, V.P.; Geeraerd, A.H.; Gaze, J.E.; Kondjoyan, A.; Boyd, A.R.; Shaw, H.L.; Impe, J.F.V. Quantitative description of Listeria monocytogenes inactivation kinetics with temperature and water activity as the influencing factors; model prediction and methodological validation on dynamic data. J. Food Eng. 2006, 76, 79–88. [Google Scholar] [CrossRef]
- Commission Regulation (EC) No 2073/2005 of 15 November 2005 on Microbiological Criteria for Foodstuffs. Available online: https://eur-lex.europa.eu/legal-content/EN/TXT/?uri=CELEX%3A32005R2073&qid=1701547441468 (accessed on 15 May 2024).
- Calligaris, S.; Manzocco, L.; Anese, M.; Nicoli, M.C. Accelerated shelf life testing. In Food Quality and Shelf Life; Academic Press: Cambridge, MA, USA, 2019; pp. 359–392. [Google Scholar] [CrossRef]
- Luning, P.A.; Marcelis, W.J.; Rovira, J.; Van der Spiegel, M.; Uyttendaele, M.; Jacxsens, L. Systematic assessment of core assurance activities in a company specific food safety management system. Trends Food Sci. Technol. 2009, 20, 300–312. [Google Scholar] [CrossRef]
- ISO 20976-1; Microbiology of the Food Chain—Guidelines for Conducting Challenge Tests of Food and Feed Products—Part 1: Challenge Tests to Study the Growth Potential, Lag Time and the Maximum Growth Rate, 1st ed. ISO: Geneva, Switzerland, 2019.
- Pniewski, P.; Anusz, K.; Białobrzewski, I.; Puchalska, M.; Tracz, M.; Kożuszek, R.; Wiśniewski, J.; Zarzyńska, J.; Jackowska-Tracz, A. The Influence of Storage Temperature and Packaging Technology on the Durability of Ready-to-Eat Preservative-Free Meat Bars with Dried Plasma. Foods 2023, 12, 4372. [Google Scholar] [CrossRef]
- Corry, J.E.L.; Jarvis, B.; Passmore, S.; Hedges, A. A critical review of measurement uncertainty in the enumeration of food microorganisms. Food Microbiol. 2007, 24, 230–253. [Google Scholar] [CrossRef] [PubMed]
- European Union Reference Laboratory for Listeria monocytogenes; Bonanno, L.; Bergis, H. Report Temperatures of the Food Cold Chain at Consumer Level in Europe Version 2; Salmonella & Listeria Unit, Anses, Laboratory for Food Safety, EURL Lm: Maisons-Alfort, France, 2021. [Google Scholar]
- ISO 11290-2:2017; Microbiology of the Food Chain—Horizontal Method for the Detection and Enumeration of Listeria monocytogenes and of Listeria spp. Part 2: Enumeration Method. ISO: Geneva, Switzerland, 2017.
- ISO 18787:2017; Foodstuffs—Determination of Water Activity. ISO: Geneva, Switzerland, 2017.
- Cayer, M.-P.; Dussault, N.; de Grandmont, M.J.; Cloutier, M.; Lewin, A.; Brouard, D. Evaluation of the Tempo® System: Improving the Microbiological Quality Monitoring of Human Milk. Front. Pediatr. 2020, 8, 494. [Google Scholar] [CrossRef] [PubMed]
- Cochran, W.G. Estimation of Bacterial Densities by Means of the “Most Probable Number”. Biometrics 1950, 6, 105. [Google Scholar] [CrossRef]
- Girbal, M.; Strawn, L.K.; Murphy, C.M.; Bardsley, C.A.; Schaffner, D.W. ComBase Models Are Valid for Predicting Fate of Listeria monocytogenes on 10 Whole Intact Raw Fruits and Vegetables. J. Food Prot. 2021, 84, 597–610. [Google Scholar] [CrossRef]
- Daminelli, P.; Dalzini, E.; Cosciani-Cunico, E.; Finazzi, G.; D’Amico, S. Prediction of the maximal growth rate of Listeria monocytogenes in sliced mortadella by the square root type model. Ital. J. Food Sci. 2014, 26, 261–267. [Google Scholar]
- Whiting, R.; Bagi, L. Modeling the lag phase of Listeria monocytogenes. Int. J. Food Microbiol. 2002, 73, 291–295. [Google Scholar] [CrossRef] [PubMed]
- Koutsoumanis, K.P.; Sofos, J.N. Effect of inoculum size on the combined temperature, pH and aw limits for growth of Listeria monocytogenes. Int. J. Food Microbiol. 2005, 104, 83–91. [Google Scholar] [CrossRef] [PubMed]
- Hagquist, C.; Stenbeck, M. Goodness of Fit in Regression Analysis—R2 and G2 Reconsidered. Qual. Quant. 1998, 32, 229–245. [Google Scholar] [CrossRef]
- Bullard, B.R. The Survival of Inoculated Populations of Listeria monocytogenes and Staphylococcus aureus on Shelf-Stable Meat Bars during Vacuum-Packaged Storage. Ph.D. Thesis, Colorado State University, Fort Collins, CO, USA, 2018. Available online: https://www.proquest.com/openview/5a207e3f727b760aeffec3a96aaaa4b2/1?pq-origsite=gscholar&cbl=18750 (accessed on 15 May 2024).
- Leistner, L.; Gorris, L. Food preservation by hurdle technology. Trends Food Sci. Technol. 1995, 6, 41–46. [Google Scholar] [CrossRef]
- Cetin-Caraca, H.; Cruzen, S.M.; Ebbing, D. Survival of Listeria monocytogenes on cooked and high pressure treated bacon. Appl. Food Res. 2023, 3, 100259. [Google Scholar] [CrossRef]
- Webb, L.; Ma, L.; Lu, X. Impact of lactic acid bacteria on the control of Listeria monocytogenes in ready-to-eat foods. Food Qual. Saf. 2022, 6, fyac045. [Google Scholar] [CrossRef]
- Dalzini, E.; Cosciani-Cunico, E.; Pavoni, E.; Bertasi, B.; Daminelli, P.; Finazzi, G.; Losio, M.N.; Varisco, G. Study of growth potential of Listeria monocytogenes in low fat salami: An innovative Italian meat product. Ital. J. Food Saf. 2014, 3, 2112. [Google Scholar] [CrossRef] [PubMed]
- Casquete, R.; Fonseca, S.C.; Pinto, R.; Castro, S.M.; Todorov, S.; Teixeira, P.; Vaz-Velho, M. Evaluation of the microbiological safety and sensory quality of a sliced cured-smoked pork product with protective cultures addition and modified atmosphere packaging. Food Sci. Technol. Int. 2019, 25, 327–336. [Google Scholar] [CrossRef]
- Tirloni, E.; Bernardi, C.; Stella, S. Shelf life and growth potential of Listeria monocytogenes in steak tartare. LWT—Food Sci. Technol. 2019, 118, 108807. [Google Scholar] [CrossRef]
- Awaiwanont, N.; Smulders, F.J.M.; Paulsen, P. Growth potential of Listeria monocytogenes in traditional Austrian cooked-cured meat products. Food Control 2015, 50, 150–156. [Google Scholar] [CrossRef]
- Hunt, K.; Blanc, M.; Álvarez-Ordóñez, A.; Jordan, K. Challenge Studies to Determine the Ability of Foods to Support the Growth of Listeria monocytogenes. Pathogens 2018, 7, 80. [Google Scholar] [CrossRef]


| Sample Code | Definition | Type of Analysis |
|---|---|---|
| LM-0 (negative control) | Un-inoculated RTE bars with 0.9% saline | VIDAS LMX, TEMPO AC, LAB, aw, pH |
| LM-2 (challenge group) | RTE bars inoculated with 2 log CFU/g | Enumeration of L. monocytogenes |
| LM-5 (challenge group) | RTE bars inoculated with 5 log CFU/g |
| Storage Temperature | Sample Code | Batch Number | Day 0 | Day 3 | Day 7 | Day 14 | Day 21 | Δseries | Δfood |
|---|---|---|---|---|---|---|---|---|---|
| 2 °C | LM-2 | 1 | 2.05 ± 0.06 | 1.24 ± 0.34 | 1.98 ± 0.15 | 0.96 ± 0.31 | 0.60 ± 0.22 | −0.07 | 0.36 |
| 2 | 2.12 ± 0.04 | 1.85 ± 0.19 | 2.48 ± 0.29 | 1.27 ± 0.17 | 0.95 ± 0.09 | 0.36 | |||
| 3 | 2.10 ± 0.12 | 1.64 ± 0.23 | 2.15 ± 0.19 | 1.45 ± 0.13 | 0.88 ± 0.14 | 0.05 | |||
| LM-5 | 1 | 5.06 ± 0.11 | 3.74 ± 0.13 | 4.48 ± 0.13 | 2.85 ± 0.38 | 2.78 ± 0.14 | −0.58 | −0.36 | |
| 2 | 5.07 ± 0.18 | 3.78 ± 0.17 | 4.60 ± 0.09 | 2.60 ± 0.43 | 2.49 ± 0.33 | −0.47 | |||
| 3 | 5.09 ± 0.16 | 4.11 ± 0.18 | 4.73 ± 0.08 | 3.35 ± 0.15 | 3.08 ± 0.25 | −0.36 | |||
| 4 °C | LM-2 | 1 | 2.05 ± 0.06 | 2.00 ± 0.11 | 2.29 ± 0.18 | 1.70 ± 0.09 | 0.95 ± 0.25 | 0.14 | 0.14 |
| 2 | 2.12 ± 0.04 | 1.80 ± 0.13 | 2.10 ± 0.13 | 1.30 ± 0.220 | 1.34 ± 0.11 | −0.02 | |||
| 3 | 2.10 ± 0.12 | 1.67 ± 0.17 | 1.95 ± 0.09 | 1.44 ± 0.19 | 1.26 ± 0.15 | −0.15 | |||
| LM-5 | 1 | 5.06 ± 0.11 | 4.73 ± 0.23 | 4.95 ± 0.08 | 4.30 ± 0.24 | 3.69 ± 0.26 | −0.11 | −0.40 | |
| 2 | 5.07 ± 0.18 | 4.00 ± 0.49 | 4.77 ± 0.18 | 3.70 ± 0.53 | 3.30 ± 0.47 | −0.40 | |||
| 3 | 5.09 ± 0.16 | 4.65 ± 0.24 | 5.03 ± 0.07 | 4.45 ± 0.19 | 4.03 ± 0.18 | −0.06 | |||
| 6 °C | LM-2 | 1 | 2.05 ± 0.07 | 1.55 ± 0.17 | 2.17 ± 0.13 | 2.80 ± 0.15 | 2.96 ± 0.16 | 0.91 | 0.91 |
| 2 | 2.12 ± 0.05 | 1.78 ± 0.11 | 2.67 ± 0.31 | 2.60 ± 0.16 | 2.72 ± 0.10 | 0.60 | |||
| 3 | 2.10 ± 0.13 | 1.82 ± 0.08 | 2.39 ± 0.16 | 2.34 ± 0.26 | 2.68 ± 0.10 | 0.58 | |||
| LM-5 | 1 | 5.06 ± 0.12 | 5.04 ± 0.08 | 5.38 ± 0.26 | 5.37 ± 0.04 | 5.49 ± 0.13 | 0.43 | 0.64 | |
| 2 | 5.07 ± 0.19 | 4.86 ± 0.09 | 4.98 ± 0.12 | 5.44 ± 0.06 | 5.71 ± 0.07 | 0.64 | |||
| 3 | 5.09 ± 0.17 | 4.81 ± 0.12 | 5.43 ± 0.25 | 5.57 ± 0.14 | 5.64 ± 0.08 | 0.55 |
| Temperature | Sample Code | R2 | SE | Maximum Rate (1/h) |
|---|---|---|---|---|
| 2 °C | LM-2 | 0.717 | 0.375 | −0.0955 ± 0.0673 |
| LM-5 | 0.772 | 0.641 | −0.1270 ± 0.0723 | |
| 4 °C | LM-2 | 0.818 | 0.198 | −0.0655 ± 0.0326 |
| LM-5 | 0.805 | 0.339 | −0.0891 ± 0.0551 | |
| 6 °C | LM-2 | 0.751 | 0.292 | 0.0493 ± 0.0303 |
| LM-5 | 0.865 | 0.146 | 0.0350 ± 0.0149 |
| Temperature (°C) | Time (Day) | APC (log CFU/g) | LAB (log CFU/g) | aw | pH |
|---|---|---|---|---|---|
| 2 °C | 0 | 5.36 ± 0.14 | 0.97 ± 0.78 | 0.952 ± 0.001 | 6.06 ± 0.02 |
| 3 | 5.37 ± 0.23 | 0.84 ± 0.60 | 0.947 ± 0.003 | 6.08 ± 0.00 | |
| 7 | 5.18 ± 0.31 | 0.89 ± 0.69 | 0.952 ± 0.001 | 6.08 ± 0.01 | |
| 14 | 4.50 ± 0.22 | 0.95 ± 0.68 | 0.953 ± 0.001 | 6.04 ± 0.01 | |
| 21 | 4.46 ± 0.64 | 1.19 ± 0.88 | 0.949 ± 0.001 | 6.02 ± 0.01 | |
| 4 °C | 0 | 5.36 ± 0.14 | 0.97 ± 0.78 | 0.952 ± 0.001 | 6.06 ± 0.02 |
| 3 | 5.28 ± 0.34 | 0.54 ± 0.77 | 0.940 ± 0.006 | 6.08 ± 0.01 | |
| 7 | 5.38 ± 0.33 | 0.58 ± 0.82 | 0.946 ± 0.002 | 6.06 ± 0.01 | |
| 14 | 5.40 ± 0.65 | 0.56 ± 0.80 | 0.948 ± 0.001 | 6.03 ± 0.01 | |
| 21 | 5.36 ± 0.40 | 1.12 ± 0.97 | 0.946 ± 0.002 | 6.08 ± 0.01 | |
| 6 °C | 0 | 5.36 ± 0.14 | 0.97 ± 0.78 | 0.952 ± 0.001 | 6.06 ± 0.02 |
| 3 | 5.51 ± 0.33 | 0.94 ± 0.75 | 0.939 ± 0.001 | 6.09 ± 0.01 | |
| 7 | 5.39 ± 0.36 | 1.37 ± 0.53 | 0.944 ± 0.002 | 6.09 ± 0.01 | |
| 14 | 5.63 ± 0.33 | 1.98 ± 0.15 | 0.949 ± 0.004 | 6.02 ± 0.02 | |
| 21 | 5.62 ± 0.16 | 1.85 ± 0.38 | 0.943 ± 0.002 | 6.08 ± 0.02 |
Disclaimer/Publisher’s Note: The statements, opinions and data contained in all publications are solely those of the individual author(s) and contributor(s) and not of MDPI and/or the editor(s). MDPI and/or the editor(s) disclaim responsibility for any injury to people or property resulting from any ideas, methods, instructions or products referred to in the content. |
© 2024 by the authors. Licensee MDPI, Basel, Switzerland. This article is an open access article distributed under the terms and conditions of the Creative Commons Attribution (CC BY) license (https://creativecommons.org/licenses/by/4.0/).
Share and Cite
Pniewski, P.; Anusz, K.; Tracz, M.; Puchalska, M.; Wiśniewski, J.; Zarzyńska, J.; Domrazek, K.; Białobrzewski, I.; Chrobak-Chmiel, D.; Jackowska-Tracz, A. Listeria monocytogenes Challenge Testing of Ready-to-Eat Uncured Vacuum-Packed Pork Bars with Dried Plasma. Appl. Sci. 2024, 14, 12055. https://doi.org/10.3390/app142412055
Pniewski P, Anusz K, Tracz M, Puchalska M, Wiśniewski J, Zarzyńska J, Domrazek K, Białobrzewski I, Chrobak-Chmiel D, Jackowska-Tracz A. Listeria monocytogenes Challenge Testing of Ready-to-Eat Uncured Vacuum-Packed Pork Bars with Dried Plasma. Applied Sciences. 2024; 14(24):12055. https://doi.org/10.3390/app142412055
Chicago/Turabian StylePniewski, Paweł, Krzysztof Anusz, Michał Tracz, Martyna Puchalska, Jan Wiśniewski, Joanna Zarzyńska, Kinga Domrazek, Ireneusz Białobrzewski, Dorota Chrobak-Chmiel, and Agnieszka Jackowska-Tracz. 2024. "Listeria monocytogenes Challenge Testing of Ready-to-Eat Uncured Vacuum-Packed Pork Bars with Dried Plasma" Applied Sciences 14, no. 24: 12055. https://doi.org/10.3390/app142412055
APA StylePniewski, P., Anusz, K., Tracz, M., Puchalska, M., Wiśniewski, J., Zarzyńska, J., Domrazek, K., Białobrzewski, I., Chrobak-Chmiel, D., & Jackowska-Tracz, A. (2024). Listeria monocytogenes Challenge Testing of Ready-to-Eat Uncured Vacuum-Packed Pork Bars with Dried Plasma. Applied Sciences, 14(24), 12055. https://doi.org/10.3390/app142412055

