Characterization of Dolomite Stone Broken Under Axial Impact
Abstract
1. Introduction
2. Numerical Simulation of Single-Cutter Rock Breaking Under Axial Impacts
2.1. Rock Materials of Numerical Simulation
2.2. Methods of Numerical Simulation
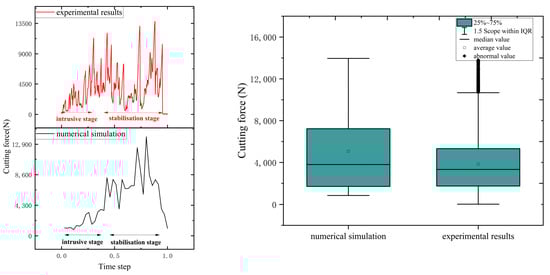
2.3. Model Verification
2.4. Results and Discussion of Numerical Simulation
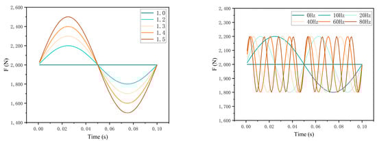
2.4.1. Characteristics of Dynamic Distribution of Rock Stress Field
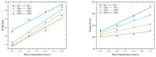
2.4.2. Characteristics of Cutting Analysis
3. Axial Impact-Assisted Rock-Breaking Experiments with Small Drill Bits
3.1. Methods of Rock-Breaking Experiments
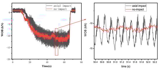
3.2. Results and Discussion of Experiments
4. Conclusions and Suggestion
Author Contributions
Funding
Institutional Review Board Statement
Informed Consent Statement
Data Availability Statement
Conflicts of Interest
References
- Xu, C.; Zou, W.; Yang, Y.; Duan, Y.; Shen, Y.; Luo, B.; Ni, C.; Fu, X.; Zhang, J. Status and prospedts of exploration and exploitation of the deep oil & gas resources onshore China. Nat. Gas Geosci. 2017, 28, 1139–1153. [Google Scholar]
- Lu, B. New Progress and Development Proposals of Sinopec’s Petroleum Engineering Technologies. Pet. Drill. Tech. 2021, 49, 1–10. [Google Scholar]
- Zhang, H.; Liu, X.; Wang, J.; Sun, M. Structural Design and Motion Simulation Research on a New Type Composite Rotary Percussion Drilling Tool. Jixie Qiangdu 2017, 39, 392–396. [Google Scholar] [CrossRef]
- Zhu, X.; Guo, G. Effects of ratio of dynamic load to static one on rock-breaking efficiency. J. Vib. Shock. 2019, 38, 22–28. [Google Scholar] [CrossRef]
- Fair, J.C. Development of High-Pressure Abrasive-Jet Drilling. J. Pet. Technol. 1981, 33, 1379–1388. [Google Scholar] [CrossRef]
- Maurer, W.C.; Heilhecker, J.K.; Love, W.W. High-Pressure Drilling. J. Pet. Technol. 1973, 25, 851–859. [Google Scholar] [CrossRef]
- Xue, L.; Li, B.; Wang, Z.; Li, B. Ultrahigh-Pressure-Jet-Assisted Drilling Technique: Theory and Experiment. J. Can. Pet. Technol. 2012, 51, 276–282. [Google Scholar] [CrossRef]
- Yeo, C.Y.; Tam, S.C.; Jana, S.; Lau, M.W.S. A technical review of the laser drilling of aerospace materials. J. Mater. Process. Technol. 1994, 42, 15–49. [Google Scholar] [CrossRef]
- Schulz, W.; Eppelt, U.; Poprawe, R. Review on laser drilling I. Fundamentals, modeling, and simulation. J. Laser Appl. 2013, 25, 012006. [Google Scholar] [CrossRef]
- Wang, H.; Lin, H.; Wang, C.; Zheng, L.; Hu, X. Laser drilling of structural ceramics—A review. J. Eur. Ceram. Soc. 2017, 37, 1157–1173. [Google Scholar] [CrossRef]
- Han, Y.; Zheng, C.; Liu, Y.; Xu, Y.; Liu, P.; Zhu, Y.; Wu, X. Study on the rock-breaking characteristics of high-energy pulsed plasma jet for granite. Geoenergy Sci. Eng. 2024, 232, 212466. [Google Scholar] [CrossRef]
- Zhu, X.; Luo, Y.; Liu, W. On the rock-breaking mechanism of plasma channel drilling technology. J. Pet. Sci. Eng. 2020, 194, 107356. [Google Scholar] [CrossRef]
- Zhu, X.; Liu, S.; Liu, W.; Zhou, X. Growth Mechanism of Three-Dimensional Plasma Channels in High-Voltage Electric Pulse Rock Breaking. Rock Mech. Rock Eng. 2024, 57, 9477–9496. [Google Scholar] [CrossRef]
- Lv, Q. Numerical Simulation of Rock Breaking Mechanism and Influence Law of Load Characteristic Parameters by Axial Impact. Master’s Thesis, China University of Petroleum, Beijing, China, 2023. [Google Scholar]
- Landar, S.; Velychkovych, A.; Ropyak, L.; Andrusyak, A. A Method for Applying the Use of a Smart 4 Controller for the Assessment of Drill String Bottom-Part Vibrations and Shock Loads. Vibration 2024, 7, 802–828. [Google Scholar] [CrossRef]
- Sun, Z.; Mu, Z.; Huang, Z.; Li, G.; Popov, Y.; Wu, X.; Shi, H. Hard rock drilling characteristics under axial-torsional isofrequency impact: Insights for improving efficiency of deep energy mineral excavation. Geoenergy Sci. Eng. 2024, 240, 213089. [Google Scholar] [CrossRef]
- Ju, P.; Tian, D. Improving Breaking Efficiency of Hard Rock: Research on the Mechanism of Impact-Shear Rock Breaking Technology. Energy Explor. Exploit. 2024. [Google Scholar] [CrossRef]
- Baranowski, P.; Kucewicz, M.; Pytlik, M.; Małachowski, J. Shock-induced fracture of dolomite rock in small-scale blast tests. J. Rock Mech. Geotech. Eng. 2022, 14, 1823–1835. [Google Scholar] [CrossRef]
- Tang, W.; Zhang, G.; Xu, P. Analyze Key Areas and Orientations of Technological Innovation for Oil andGas Exploration and Development in 14th Five-Year Plan Period. Pet. Sci. Technol. Forum 2022, 41, 7–15. [Google Scholar]
- Li, G.; Mu, Z.; Tian, S.; Huang, Z.; Sun, Z. Research Status and Development Proposal of ROP Improvement Technology with Percussion Rock-Breaking Method. Xinjiang Oil Gas 2024, 20, 1–12. [Google Scholar]
- Xuan, L.; Guan, Z.; Hu, H.; Li, J.; Zhang, B. The Principle and Application of a Novel Rotary Percussion Drilling Tool Drived by Positive Displacement Motor. In Proceedings of the IADC/SPE Asia Pacific Drilling Technology Conference, Singapore, 22–24 August 2016; p. D011S001R005. [Google Scholar]
- Peng, X.; Hao, S. Rock breaking mechanism of composite impact of full-size PDC bit based on finite element analysis. Coal Geol. Explor. 2021, 49, 240–246+252. [Google Scholar]
- Xi, Y.; Wang, H.-Y.; Zha, C.-Q.; Li, J.; Liu, G.-H.; Guo, B.-Y. Numerical simulation of rock-breaking and influence laws of dynamic load parameters during axial-torsional coupled impact drilling with a single PDC cutter. Pet. Sci. 2023, 20, 1806–1827. [Google Scholar] [CrossRef]
- Krivtsov, A.M.; Wiercigroch, M. Penetration rate prediction for percussive drilling via dry friction model. Chaos Solitons Fractals 2000, 11, 2479–2485. [Google Scholar] [CrossRef]
- Pavlovskaia, E.; Wiercigroch, M. Modelling of vibro-impact system driven by beat frequency. Int. J. Mech. Sci. 2003, 45, 623–641. [Google Scholar] [CrossRef]
- Lei, Y.; Fang, W.; Cai, C.; Yang, G.; Yu, D.; Kang, K.; Tian, J. Simulation of Downhole Rock-Breaking Characteristics of PDC Bit Composite Impact. China Petroleum Machinery 2023, 51, 25–32. [Google Scholar] [CrossRef]
- Xi, Y.; Wang, W.; Fan, L.; Zha, C.; Li, J.; Liu, G. Experimental and numerical investigations on rock-breaking mechanism of rotary percussion drilling with a single PDC cutter. J. Pet. Sci. Eng. 2022, 208, 109227. [Google Scholar] [CrossRef]
- Li, Y.; Zhang, T.; Tian, Z.; Zheng, Y.; Yang, Z. Simulation on compound percussive drilling: Estimation based on multidimensional impact cutting with a single cutter. Energy Rep. 2021, 7, 3833–3843. [Google Scholar] [CrossRef]
- Zhang, X.; Jiang, H.; Li, H.; Gu, C.; Zhao, L. Rock fragmentation using the disc tool assisted by the prefabricated kerf: Numerical modelling based on discrete element method (DEM). Eng. Fract. Mech. 2023, 282, 109159. [Google Scholar] [CrossRef]
- Zheng, Y.; Su, Z.; Li, J.; Wang, Z.; Xu, Y.; Li, X.; Che, P. Energy transfer efficiency and rock damage characteristics of a hydraulic impact hammer with different tool shapes. Int. J. Impact Eng. 2024, 188, 104933. [Google Scholar] [CrossRef]
- Liu, L.; Wang, Y.; An, H. Fractal Characteristics and Energy Dissipation of Granite After High-Temperature Treatment Based on SHPB Experiment. Front. Earth Sci. 2022, 10, 861847. [Google Scholar] [CrossRef]
- Li, J.C.; Li, N.N.; Li, H.B.; Zhao, J. An SHPB test study on wave propagation across rock masses with different contact area ratios of joint. Int. J. Impact Eng. 2017, 105, 109–116. [Google Scholar] [CrossRef]
- Wang, J.; Liu, Y.; Li, K. Dynamic Characteristics of Deep Dolomite Under One-Dimensional Static and Dynamic Loads. J. Inst. Eng. Ser. A 2020, 101, 49–56. [Google Scholar] [CrossRef]
- Liu, S.; Ni, H.; Jin, Y.; Zhang, H.; Wang, Y.; Huang, B.; Hou, W. Experimental study on drilling efficiency with compound axial and torsional impact load. J. Pet. Sci. Eng. 2022, 219, 111060. [Google Scholar] [CrossRef]
- Yang, H.; Yang, Y.; Huang, Y.; Zhang, H.; Xie, L. Development and Optimization of a High-Frequency Axial-Torsional Composite Percussion Drilling Tool for Enhanced Impact Technology. SPE J. 2024, 29, 860–875. [Google Scholar] [CrossRef]
- Sun, Z.; Huang, Z.; Wu, X.; Li, G.; Shi, H.; Mu, Z.; Song, X.; Ji, R. Numerical analysis on the failure characteristics of hot dry rock subjected to axial-torsional coupled percussion with single cutter. Geoenergy Sci. Eng. 2024, 234, 212588. [Google Scholar] [CrossRef]
- Kucewicz, M.; Baranowski, P.; Gieleta, R.; Małachowski, J. Investigation of dolomite’ rock brittle fracture using fully calibrated Karagozian Case Concrete model. Int. J. Mech. Sci. 2022, 221, 107197. [Google Scholar] [CrossRef]
- Scott, D.; Meiners, M.; Isbell, M. Innovative PDC Cutter Technology Leads to Step Out Performance Improvements in Diverse Applications in Shale Plays. In Proceedings of the IADC/SPE Drilling Conference and Exhibition, San Diego, CA, USA, 6–8 March 2012; p. SPE-151569-MS. [Google Scholar]
- Liu, C.; Yang, Y.; Yao, J.; Huang, K. Research on Rock Breaking Law of New Non Planar Cutter. Chin. J. Undergr. Space Eng. 2023, 19, 428–436+455. [Google Scholar]
- Xie, H.; Yuchun, K.; Chao, Q. The Finite Element Simulation and Test of Rock Breaking by Non-Planar PDC Cutting Cutter. Pet. Drill. Tech. 2019, 47, 69–73. [Google Scholar]
- Yang, L.; Li, Y.; Xi, Y.; Li, J.; Feng, J. Numerical investigation of rock-breaking mechanisms and influencing factors of different PDC cutters during rotary percussion drilling. Geoenergy Sci. Eng. 2024, 241, 213144. [Google Scholar] [CrossRef]
- Oparin, V.N.; Karpov, V.N.; Timonin, V.V.; Konurin, A.I. Evaluation of the energy efficiency of rotary percussive drilling using dimensionless energy index. J. Rock Mech. Geotech. Eng. 2022, 14, 1486–1500. [Google Scholar] [CrossRef]
- Song, H.; Shi, H.; Ji, Z.; Wu, X.; Li, G.; Zhao, H.; Wang, G.; Liu, Y.; Hou, X. The percussive process and energy transfer efficiency of percussive drilling with consideration of rock damage. Int. J. Rock Mech. Min. Sci. 2019, 119, 1–12. [Google Scholar] [CrossRef]
- Ji, R.; Shi, H.; Huang, Z.; He, W.; Wu, X.; Fu, X.; Sun, Z.; Xiong, C. A novel experimental setup for axial–torsional coupled vibration impact-assisted PDC drill bit drilling. Rev. Sci. Instrum. 2024, 95, 015106. [Google Scholar] [CrossRef] [PubMed]
















| Name | Parameter Value |
|---|---|
| Young’s modulus | 9.29 GPa |
| Poisson’s ratio | 0.43 |
| Dilation angle | 5° |
| Internal friction angle | 41.24◦ |
| Cohesion yield stree | 54.98 MPa |
| Dolomite | 68.52% |
| Calcite | 7.09% |
| Sapphire | 0.85% |
| Galena | 5.65% |
| Micas | 7.57% |
| Loam | 10.32% |
| Number | Vibration Amplitude | Vibration Frequency (Hz) |
|---|---|---|
| 1 | 1.0; 1.2; 1.3; 1.4; 1.5 | 10 |
| 2 | 1.2 | 10; 20; 40; 60; 80 |
| Number | Vibration Amplitude (mm) | Vibration Frequency (Hz) |
|---|---|---|
| 1 | 0.1; 0.2; 0.3 | 10 |
| 2 | 0.2 | 10; 20; 30 |
Disclaimer/Publisher’s Note: The statements, opinions and data contained in all publications are solely those of the individual author(s) and contributor(s) and not of MDPI and/or the editor(s). MDPI and/or the editor(s) disclaim responsibility for any injury to people or property resulting from any ideas, methods, instructions or products referred to in the content. |
© 2024 by the authors. Licensee MDPI, Basel, Switzerland. This article is an open access article distributed under the terms and conditions of the Creative Commons Attribution (CC BY) license (https://creativecommons.org/licenses/by/4.0/).
Share and Cite
Ji, R.; Chen, H.; Shi, H.; He, W.; Liu, D.; Wang, Y. Characterization of Dolomite Stone Broken Under Axial Impact. Appl. Sci. 2024, 14, 12049. https://doi.org/10.3390/app142412049
Ji R, Chen H, Shi H, He W, Liu D, Wang Y. Characterization of Dolomite Stone Broken Under Axial Impact. Applied Sciences. 2024; 14(24):12049. https://doi.org/10.3390/app142412049
Chicago/Turabian StyleJi, Ran, Han Chen, Huaizhong Shi, Wenhao He, Dong Liu, and Yongqi Wang. 2024. "Characterization of Dolomite Stone Broken Under Axial Impact" Applied Sciences 14, no. 24: 12049. https://doi.org/10.3390/app142412049
APA StyleJi, R., Chen, H., Shi, H., He, W., Liu, D., & Wang, Y. (2024). Characterization of Dolomite Stone Broken Under Axial Impact. Applied Sciences, 14(24), 12049. https://doi.org/10.3390/app142412049
