The Deep Deterministic Policy Gradient Algorithm Based on RIS Technology in a Coal Mine Tunnel
Abstract
1. Introduction
2. System Model
2.1. Coal Mine Channel Modeling and Reflection Characterization Analysis

2.2. Systematic Performance Optimization Problem
3. Deep Reinforcement Learning Based Optimization
3.1. Overview of the DDPG Algorithm
3.2. Neural Network Structure and Training
3.3. DDPG Algorithm Elements and Processes
- (1)
- State : Represents the environment, comprising the transmit power at time , the channel matrix from the BS to the RIS, and the signal matrix from the RIS to the user; the size of the state space is as follows:
- (2)
- Action : Comprises the beamforming matrix and phase shift matrix at time . The size of the action space is as follows:
- (3)
- Reward : The reward at the time corresponds to the value of the objective function defined in Equation (19).
| Algorithm 1 DDPG Algorithm |
|---|
| Initialization: transmit beam forming matrix , phase shift matrix , experience replay buffer , parameters of critic training network , parameters of actor training network , parameters of the target network , |
| Inputs: channel matrix from BS to RIS , channel matrix from RIS to user Outputs: Q-value function, optimal action |
|
4. Results and Discussions
4.1. Performance Comparison of Different DRL Algorithms
4.2. Effect of Neural Network Parameters on Average Reward
4.2.1. Effect of Learning Rate on Average Reward
4.2.2. Effect of Decaying Rate on Average Reward
4.3. Effect of Base Station Transmit Power on Average Reward
4.3.1. Comparative Analysis of Average Reward at Different Power
4.3.2. Comparative Analysis of Instant and Average Rewards
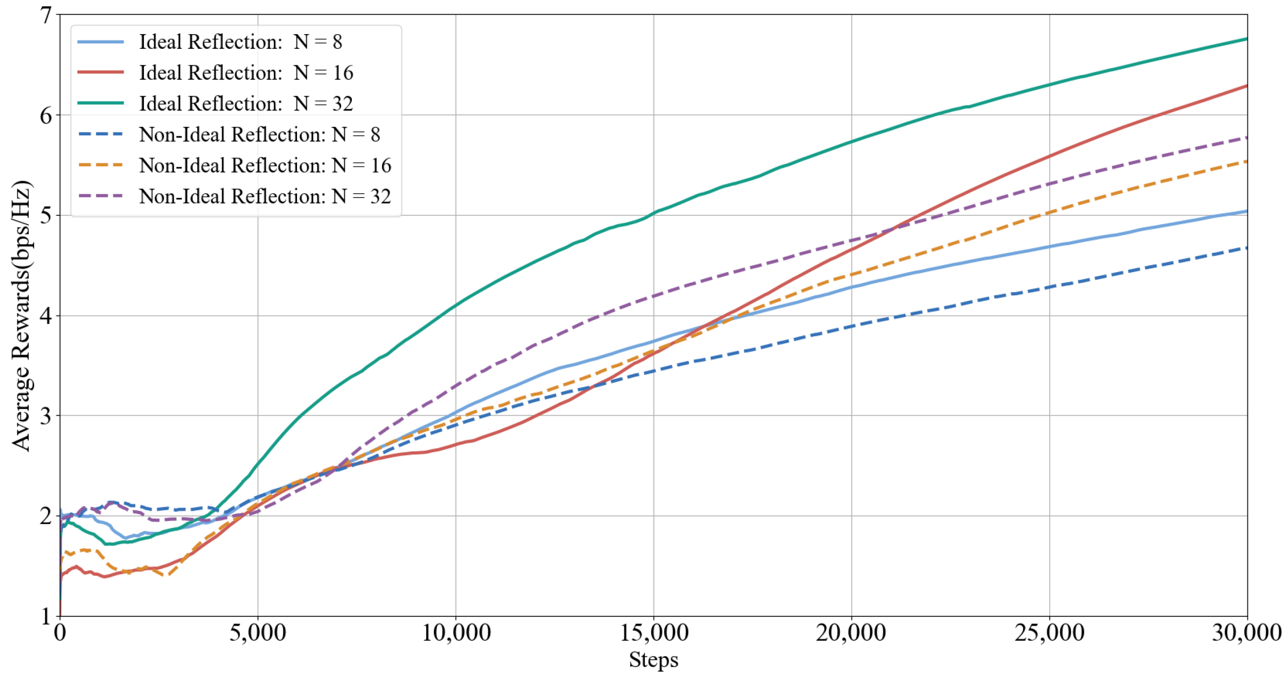
4.4. Effect of the Number of RIS Units on Average Rewards
5. Conclusions
- (1)
- Aiming at the complex environment of limited space in the coal mine tunnel, RIS technology is introduced into the coal mine wireless communication system, and combined with the DDPG optimization method, an effective signal enhancement solution is provided;
- (2)
- By jointly optimizing the base station power and RIS phase shift, the link rate is significantly enhanced under both ideal and non-ideal reflection conditions. Simulation results show that the link rate optimization effect of DDPG is better than that of A3C and DQN under the same conditions. At a transmit power of 38 dBm, the DDPG algorithm significantly optimizes the system performance, especially in the ideal reflection condition; the average link rate of 2 bps/Hz is improved to 6.6 bps/Hz. In addition, the specific impact of the number of RIS units on the system performance is explored, and it is found that increasing the number of RIS units can further improve the system performance;
- (3)
- Future research will further explore the application and optimization of the DDPG algorithm and other algorithms in more complex coal mine tunnel systems, especially in coal mine tunnel environments with bends, different frequency bands, and multiple modulation technologies.
Author Contributions
Funding
Institutional Review Board Statement
Informed Consent Statement
Data Availability Statement
Acknowledgments
Conflicts of Interest
References
- You, X.H.; Wang, C.X.; Huang, J.; Gao, X.Q.; Zhang, Z.C.; Wang, M.; Huang, Y.M. Towards 6G wireless communication networks: Vision, enabling technologies, and new paradigm shifts. Sci. China Inf. Sci. 2021, 64, 1–74. [Google Scholar] [CrossRef]
- Gao, Z.L.; Sun, S.H.; Li, L. Overview of intelligent surface for new-generation mobile communication. Telecommun. Sci. 2022, 38, 20–35. [Google Scholar]
- Li, S.Y.; Yang, R.X.; Yang, L.; Shen, T.Q.; Li, F.F.; Hu, Q.S. Survey of the non-line-of-sight wireless coverage technology by reconfigurable intelligent surfaces in underground coal mines. J. China Univ. Min. Technol. 2024, 53, 613622. [Google Scholar]
- Li, S.Y.; Zhang, P.; Min, M.H.; Li, Z.W.; Zhang, M.D.; Xiao, J.Y. Discussion on intelligent reflecting surface technology and its application in wireless blind spot coverage in coal mines. J. Mine Autom. 2023, 49, 112–119. [Google Scholar]
- Wang, S.Q.; Zhang, W. RIS-Assisted Wireless Channel Characteristic in Coal Mine Tunnel Based on 6G Mobile Communication System. Prog. Electromagn. Res. C 2024, 141, 13–23. [Google Scholar] [CrossRef]
- Xiao, J. Research on Deep Learning-Based Channel Estimation for Reconfigurable Intelligent Surface-Aided Communication Systems; Hunan Institute of Science and Technology: Hunan, China, 2023. [Google Scholar]
- Wu, Q.; Zhang, R. Towards smart and reconfigurable environment: Intelligent reflecting surface aided wireless network. IEEE Commun. Mag. 2019, 58, 106–112. [Google Scholar] [CrossRef]
- Jung, M.; Saad, W.; Debbah, M.; Hong, C.S. On the optimality of reconfigurable intelligent surfaces (RISs): Passive beamforming, modulation, and resource allocation. IEEE Trans. Wirel. Commun. 2021, 20, 4347–4363. [Google Scholar] [CrossRef]
- Xiong, R.J.; Zhang, J.N.; Wang, F.H.; Wang, Z.Y.; Ren, Y.; Liu, J.S.; Lu, J.L.; Wan, K.; Mi, T.B.; Qiu, C.M. Designing reconfigurable intelligent surfaces for wireless communication: A review. J. Huazhong Univ. of Sci. and Technol. (Nat. Sci. Ed.) 2023, 51, 1–32. [Google Scholar]
- Li, X.L. Ray Tracing Based Channel Modeling for RIS Empowered Indoor Wireless Communication Scenarios; Shandong University: Shandong, China, 2023. [Google Scholar]
- An, J.C. Channel Estimation and Passive Beamforming for Reconfigurable Intelligent Surface-Assisted Communications; University of Electronic Science and Technology of China: Chengdu, China, 2022. [Google Scholar]
- Niu, H.H.; Lin, Z.; Wang, Y.; Wang, L.; Zhao, Q.C. Weighted sum rate optimization for intelligent reflecting surface-aided wireless network. J. Natl. Univ. Def. Technol. 2023, 45, 56–63. [Google Scholar]
- Mismar, F.B.; Evans, B.L.; Alkhateeb, A. Deep reinforcement learning for 5G networks: Joint beamforming, power control, and interference coordination. IEEE Trans. Commun. 2019, 68, 1581–1592. [Google Scholar] [CrossRef]
- Abdalla, A.S.; Marojevic, V. DDPG learning for aerial RIS-assisted MU-MISO communications. In Proceedings of the 2022 IEEE 33rd Annual International Symposium on Personal, Indoor and Mobile Radio Communications (PIMRC), Kyoto, Japan, 12–15 September 2022; IEEE: Piscataway, NJ, USA, 2022; pp. 701–706. [Google Scholar]
- Li, W.S.; Wang, L.; Wei, C. Application and Design of LSTM in Coal Mine Gas Prediction and Early Warning System. J. Xi’an Univ. Sci. Technol. 2018, 38, 1027–1035. [Google Scholar]
- Li, H.; Gao, L.S.; Liu, L.; Shao, K. Application of deep learning in microseismic detection of hydraulic fracturing in coal mine. J. Xi’an Univ. Sci. Technol. 2023, 43, 686–696. [Google Scholar]
- Zhu, Y.; Shi, E.; Liu, Z.; Zhang, J.; Ai, B. Multi-agent Reinforcement Learning-based Joint Precoding and Phase Shift Optimization for RIS-aided Cell-Free Massive MIMO Systems. IEEE Trans. Veh. Technol. 2024, 73, 14015–14020. [Google Scholar] [CrossRef]
- Thanh, P.D.; Giang, H.T.H.; Hong, I.P. Anti-jamming RIS communications using DQN-based algorithm. IEEE Access 2022, 10, 28422–28433. [Google Scholar] [CrossRef]
- Li, Z.J.; Wu, Y.J.; Jin, S.; Zhong, X.H. DQN based downlink-beamforming for millimeter wave MISO system in mobile environment. J. South-Cent. Univ. Natl. (Nat. Sci. Ed.) 2021, 40, 278–285. [Google Scholar]
- Tan, H. Reinforcement learning with deep deterministic policy gradient. In Proceedings of the 2021 International Conference on Artificial Intelligence, Big Data and Algorithms (CAIBDA), Xi’an, China, 28–30 May 2021; IEEE: Piscataway, NJ, USA, 2021; pp. 82–85. [Google Scholar]
- Chen, L.; Liang, C.; Zhang, J.Y.; Liu, Y.T. A multi-agent reinforcement learning algorithm based on improved DDPG in Actor-Critic framework. Control. Decis. 2021, 36, 75–82. [Google Scholar]
- Xu, Y.H.; Yang, C.C.; Hua, M.; Zhou, W. Deep deterministic policy gradient (DDPG)-based resource allocation scheme for NOMA vehicular communications. IEEE Access 2020, 8, 18797–18807. [Google Scholar] [CrossRef]
- Huang, C.; Mo, R.; Yuen, C. Reconfigurable intelligent surface assisted multiuser MISO systems exploiting deep reinforcement learning. IEEE J. Sel. Areas Commun. 2020, 38, 1839–1850. [Google Scholar] [CrossRef]
- Saglam, B.; Gurgunoglu, D.; Kozat, S.S. Deep reinforcement learning based joint downlink beamforming and RIS configuration in RIS-aided MU-MISO systems under hardware impairments and imperfect CSI. In Proceedings of the 2023 IEEE International Conference on Communications Workshops (ICC Workshops), Rome, Italy, 28 May–1 June 2023; IEEE: Piscataway, NJ, USA, 2023; pp. 66–72. [Google Scholar]
- Ya, H.Y.; Wan, H.B.; Qin, T.F. Research on beamforming algorithms incoporating reconfigurable intelligent surface and deep reinforcement learning. J. Chin. Comput. Syst. 2024, 45, 1311–1317. [Google Scholar]
- Abeywickrama, S.; Zhang, R.; Wu, Q.; Yuen, C. Intelligent reflecting surface: Practical phase shift model and beamforming optimization. IEEE Trans. Commun. 2020, 68, 5849–5863. [Google Scholar] [CrossRef]
- Feng, K.; Wang, Q.; Li, X.; Wen, C.K. Deep reinforcement learning based intelligent reflecting surface optimization for MISO communication systems. IEEE Wirel. Commun. Lett. 2020, 9, 745–749. [Google Scholar] [CrossRef]
- Xu, W.Y. Deep Learning-Based Channel Estimation and Beamforming for RIS-Assisted Communication Systems; University of Electronic Science and Technology of China: Chengdu, China, 2023. [Google Scholar]
- Yang, Z.; Liu, Y.; Chen, Y.; Zhou, J.T. Deep reinforcement learning for RIS-aided non-orthogonal multiple access downlink networks. In Proceedings of the GLOBECOM 2020-2020 IEEE Global Communications Conference, Taipei, Taiwan, 7–11 December 2020; IEEE: Piscataway, NJ, USA, 2020; pp. 1–6. [Google Scholar]
- Yao, J.C.; Xu, W.; Huang, Y.M.; Xiao, H.H.; Lu, Z.H. Techniques for Reconfigurable Intelligent Surface-Aided 6G Communication Network: An Overview. J. Signal Process. 2022, 38, 1555–1567. [Google Scholar]








| Parameter | Value |
|---|---|
| Height of the tunnel | 6 m |
| Width of the tunnel | 5 m |
| Buffer size for experience replay | |
| The number of experiences in the mini-batch | 16 |
| The number of episodes | |
| The number of steps in each episode | |
| Discounted rate for future reward | 0.999 |
| Learning rate of action/critic networks | 10–3 |
| Targeted action/critic network learning rate | 10–3 |
| Action/critic of network decaying rate | 10–6 |
| State | Power (dBm) | Initial Reward (bps/Hz) | Final Reward (bps/Hz) | Difference in Value (bps/Hz) |
|---|---|---|---|---|
| RIS Ideal Reflection | 36 | 2 | 5 | 3 |
| 37 | 2 | 5.8 | 3.8 | |
| 38 | 2 | 6.7 | 4.7 | |
| RIS Non-Ideal Reflection | 36 | 2 | 3.9 | 1.9 |
| 37 | 2 | 4.6 | 2.6 | |
| 38 | 2 | 4.7 | 2.7 |
| State | Number of RIS units N | Initial Reward (bps/Hz) | Final Reward (bps/Hz) | Difference in Value (bps/Hz) |
|---|---|---|---|---|
| RIS Ideal Reflection | 8 | 2 | 5 | 3 |
| 16 | 1.5 | 6.2 | 4.7 | |
| 32 | 1.9 | 6.8 | 4.9 | |
| RIS Non-Ideal Reflection | 8 | 2 | 4.7 | 2.7 |
| 16 | 1.7 | 5.5 | 3.8 | |
| 32 | 1.9 | 5.8 | 3.9 |
Disclaimer/Publisher’s Note: The statements, opinions and data contained in all publications are solely those of the individual author(s) and contributor(s) and not of MDPI and/or the editor(s). MDPI and/or the editor(s) disclaim responsibility for any injury to people or property resulting from any ideas, methods, instructions or products referred to in the content. |
© 2024 by the authors. Licensee MDPI, Basel, Switzerland. This article is an open access article distributed under the terms and conditions of the Creative Commons Attribution (CC BY) license (https://creativecommons.org/licenses/by/4.0/).
Share and Cite
Wang, S.; Wang, F.; Zhang, W.; Wang, Y. The Deep Deterministic Policy Gradient Algorithm Based on RIS Technology in a Coal Mine Tunnel. Appl. Sci. 2024, 14, 12014. https://doi.org/10.3390/app142412014
Wang S, Wang F, Zhang W, Wang Y. The Deep Deterministic Policy Gradient Algorithm Based on RIS Technology in a Coal Mine Tunnel. Applied Sciences. 2024; 14(24):12014. https://doi.org/10.3390/app142412014
Chicago/Turabian StyleWang, Shuqi, Fengjiao Wang, Wei Zhang, and Yaqi Wang. 2024. "The Deep Deterministic Policy Gradient Algorithm Based on RIS Technology in a Coal Mine Tunnel" Applied Sciences 14, no. 24: 12014. https://doi.org/10.3390/app142412014
APA StyleWang, S., Wang, F., Zhang, W., & Wang, Y. (2024). The Deep Deterministic Policy Gradient Algorithm Based on RIS Technology in a Coal Mine Tunnel. Applied Sciences, 14(24), 12014. https://doi.org/10.3390/app142412014

