Analysis of Vegetation Coverage Changes and Influencing Factors in Aksu, Xinjiang, China (2000–2020): A Comparative Study of Climate Factors and Urban Development
Abstract
1. Introduction
2. Study Area, Dataset, and Methodology
2.1. Study Area
2.2. Vegetation Data Sources and Preprocessing
2.3. Meteorological and Human Activity Data Sources and Preprocessing
2.3.1. Temperature and Precipitation Data
2.3.2. Nighttime Light Data
2.4. Methodology and Workflow
2.5. Correlation Analysis and Trend Analysis
2.5.1. Correlation Analysis
2.5.2. Trend Analysis
2.6. Methodological Steps to Address Biases and Uncertainties
3. Results
3.1. Characteristics of NDVI Distribution and Change
3.2. Factors Influencing Changes in Vegetation NDVI
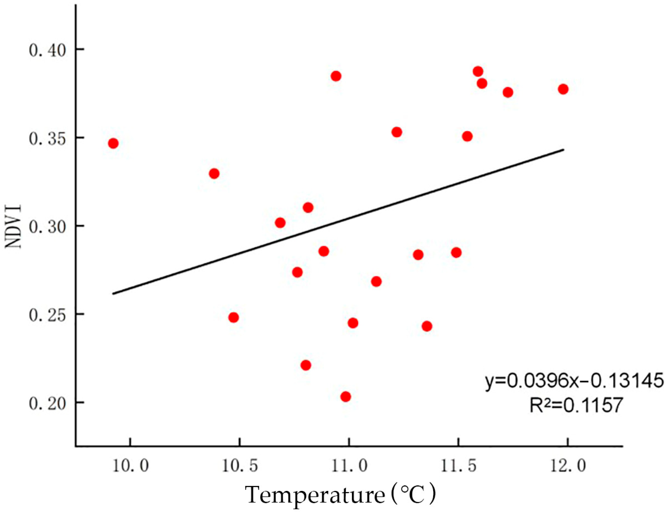
3.2.1. Relationship Between Temperature and NDVI
3.2.2. Relationship Between Precipitation and NDVI
3.2.3. Impact of Urbanization on NDVI
4. Discussion
4.1. Change Trends of Vegetation NDVI
4.2. The Impact of Human Activities on Vegetation Change
4.3. The Influence of Climatic Factors on Vegetation
4.4. The Role of Urbanization in Vegetation Change
4.5. Broader Ecological, Agricultural, and Socio-Economic Implications of Vegetation Changes in Aksu
4.6. Comparison with Similar Regions Facing Urbanization and Climate Impacts
4.7. Study Limitations and Future Prospects
4.8. Novelty and Innovation in Research Methods and Data Processing
5. Conclusions
5.1. Spatial Heterogeneity of Vegetation Cover
5.2. Influence of Temperature and Precipitation
5.3. Significant Impact of Urban Development on Vegetation Change
Author Contributions
Funding
Institutional Review Board Statement
Informed Consent Statement
Data Availability Statement
Conflicts of Interest
References
- Zeng, Y.; Hao, D.; Huete, A.; Dechant, B.; Berry, J.; Chen, J.M.; Joiner, J.; Frankenberg, C.; Bond-Lamberty, B.; Ryu, Y.; et al. Optical vegetation indices for monitoring terrestrial ecosystems globally. Nat. Rev. Earth Environ. 2022, 3, 477–493. [Google Scholar] [CrossRef]
- Higgins, S.I.; Conradi, T.; Muhoko, E. Shifts in vegetation activity of terrestrial ecosystems attributable to climate trends. Nat. Geosci. 2023, 16, 147–153. [Google Scholar] [CrossRef]
- He, X.; Yu, Y.; Cui, Z.; He, T. Climate Change and Ecological Projects Jointly Promote Vegetation Restoration in Three-River Source Region of China. Chin. Geogr. Sci. 2021, 31, 1108–1122. [Google Scholar] [CrossRef]
- Zhang, B.; Shi, Y.; Wang, S. A Review on the Driving Mechanisms of Ecosystem Services Change. J. Resour. Ecol. 2022, 13, 68–79. [Google Scholar]
- Du, J.; Fang, S.; Sheng, Z.; Wu, J.; Quan, Z.; Fu, Q. Variations in vegetation dynamics and its cause in national key ecological function zones in China. Environ. Sci. Pollut. Res. 2020, 27, 30145–30161. [Google Scholar] [CrossRef] [PubMed]
- Xiu, L.; Yan, C.; Li, X.; Qian, D.; Feng, K. Monitoring the response of vegetation dynamics to ecological engineering in the Mu Us Sandy Land of China from 1982 to 2014. Environ. Monit. Assess. 2018, 190, 543. [Google Scholar] [CrossRef]
- Qu, S.; Wang, L.; Lin, A.; Yu, D.; Yuan, M.; Li, C. Distinguishing the impacts of climate change and anthropogenic factors on vegetation dynamics in the Yangtze River Basin, China. Ecol. Indic. 2020, 108, 105724. [Google Scholar] [CrossRef]
- Zhang, Y.; Lu, Y.; Song, X. Identifying the Main Factors Influencing Significant Global Vegetation Changes. Forests 2023, 14, 1607. [Google Scholar] [CrossRef]
- Muir, C.; Southworth, J.; Khatami, R.; Herrero, H.; Akyapı, B. Vegetation dynamics and climatological drivers in Ethiopia at the turn of the century. Remote Sens. 2021, 13, 3267. [Google Scholar] [CrossRef]
- Afuye, G.A.; Kalumba, A.M.; Orimoloye, I.R. Characterisation of vegetation response to climate change: A review. Sustainability 2021, 13, 7265. [Google Scholar] [CrossRef]
- Bashir, B.; Cao, C.; Naeem, S.; Zamani Joharestani, M.; Bo, X.; Afzal, H.; Jamal, K.; Mumtaz, F. Spatio-temporal vegetation dynamic and persistence under climatic and anthropogenic factors. Remote Sens. 2020, 12, 2612. [Google Scholar] [CrossRef]
- Zhao, L.; Dai, A.; Dong, B. Changes in global vegetation activity and its driving factors during 1982–2013. Agric. For. Meteorol. 2018, 249, 198–209. [Google Scholar] [CrossRef]
- Zhang, X.; Li, X. An innovative index for separating the effects of temperature and precipitation on global vegetation change. Iscience 2023, 26, 106972. [Google Scholar] [CrossRef] [PubMed]
- Li, J.; Pei, Y.; Zhao, S.; Xiao, R.; Sang, X.; Zhang, C. A review of remote sensing for environmental monitoring in China. Remote Sens. 2020, 12, 1130. [Google Scholar] [CrossRef]
- Frappart, F.; Wigneron, J.; Li, X.; Liu, X.; Al-Yaari, A.; Fan, L.; Wang, M.; Moisy, C.; Le Masson, E.; Aoulad Lafkih, Z. Global monitoring of the vegetation dynamics from the Vegetation Optical Depth (VOD): A review. Remote Sens. 2020, 12, 2915. [Google Scholar] [CrossRef]
- Karra, K.; Kontgis, C.; Statman-Weil, Z.; Mazzariello, J.C.; Mathis, M.; Brumby, S.P. Global land use/land cover with Sentinel 2 and deep learning. In Proceedings of the 2021 IEEE International Geoscience and Remote Sensing Symposium IGARSS, Brussels, Belgium, 11–16 July 2021; IEEE: New York, NY, USA, 2021. [Google Scholar]
- Gao, L.; Wang, X.; Johnson, B.A.; Tian, Q.; Wang, Y.; Verrelst, J.; Mu, X.; Gu, X. Remote sensing algorithms for estimation of fractional vegetation cover using pure vegetation index values: A review. ISPRS J. Photogramm. Remote Sens. 2020, 159, 364–377. [Google Scholar] [CrossRef]
- Huang, S.; Tang, L.; Hupy, J.P.; Wang, Y.; Shao, G. A commentary review on the use of normalized difference vegetation index (NDVI) in the era of popular remote sensing. J. For. Res. 2021, 32, 1–6. [Google Scholar] [CrossRef]
- Li, S.; Xu, L.; Jing, Y.; Yin, H.; Li, X.; Guan, X. High-quality vegetation index product generation: A review of NDVI time series reconstruction techniques. Int. J. Appl. Earth Obs. 2021, 105, 102640. [Google Scholar] [CrossRef]
- Hao, H.; Yao, J.; Chen, Y.; Xu, J.; Li, Z.; Duan, W.; Ismail, S.; Wang, G. Ecological transitions in Xinjiang, China: Unraveling the impact of climate change on vegetation dynamics (1990–2020). J. Geogr. Sci. 2024, 34, 1039–1064. [Google Scholar] [CrossRef]
- Yao, J.; Mao, W.; Chen, J.; Dilinuer, T. Recent signal and impact of wet-to-dry climatic shift in Xinjiang, China. J. Geogr. Sci. 2021, 31, 1283–1298. [Google Scholar] [CrossRef]
- Zeng, T.; Jin, H.; Geng, Z.; Kang, Z.; Zhang, Z. Urban–Rural Fringe Long-Term Sequence Monitoring Based on a Comparative Study on DMSP-OLS and NPP-VIIRS Nighttime Light Data: A Case Study of Shenyang, China. Int. J. Environ. Res. Public Health 2022, 19, 11835. [Google Scholar] [CrossRef] [PubMed]
- Zhu, N.; Li, X.; Yang, S.; Ding, Y.; Zeng, G. Spatio-temporal dynamics and influencing factors of carbon emissions (1997–2019) at county level in mainland China based on DMSP-OLS and NPP-VIIRS Nighttime Light Datasets. Heliyon 2024, 10, e37245. [Google Scholar] [CrossRef] [PubMed]
- Xia, S.; Shao, H.; Wang, H.; Xian, W.; Shao, Q.; Yin, Z.; Qi, J. Spatio-temporal dynamics and driving forces of multi-scale CO2 emissions by integrating DMSP-OLS and NPP-VIIRS data: A case study in Beijing-Tianjin-Hebei, China. Remote Sens. 2022, 14, 4799. [Google Scholar] [CrossRef]
- Ding, Y.; Feng, Y.; Chen, K.; Zhang, X. Analysis of spatial and temporal changes in vegetation cover and its drivers in the Aksu River Basin, China. Sci. Rep. 2024, 14, 10165. [Google Scholar] [CrossRef] [PubMed]
- Ling, C.; Zhang, G.; Deng, X.; Jiao, A.; Chen, C.; Li, F.; Ma, B.; Chen, X.; Ling, H. A study on the drivers of remote sensing ecological index of Aksu Oasis from the perspective of spatial differentiation. Water 2022, 14, 4052. [Google Scholar] [CrossRef]
- Zheng, Y.; He, Y.; Zhou, Q.; Wang, H. Quantitative evaluation of urban expansion using NPP-VIIRS nighttime light and landsat spectral data. Sustain. Cities Soc. 2022, 76, 103338. [Google Scholar] [CrossRef]
- Chang, S.; Wang, J.; Zhang, F.; Niu, L.; Wang, Y. A study of the impacts of urban expansion on vegetation primary productivity levels in the Jing-Jin-Ji region, based on nighttime light data. J. Clean. Prod. 2020, 263, 121490. [Google Scholar] [CrossRef]
- Bai, J. Spatio-temporal changes in vegetation structure and its driving factors based on multi-resolution remote sensing images in arid and semi-arid regions. In Proceedings of the EGU General Assembly 2024, Copernicus Meetings, Vienna, Austria, 14–19 April 2024. [Google Scholar]
- Li, W.; Cui, Y.; Liu, X.; Deng, C.; Zhang, S. Positive impact of urbanization on vegetation growth has been continuously strengthening in arid regions of China. Environ. Res. Lett. 2023, 18, 124011. [Google Scholar] [CrossRef]
- Li, W.; Ma, Y.; Liu, Y.; Zhang, Y. Study on the Correlation between Ecological Service Value and Ecological Risk of Typical Mountain-Oasis-Desert Ecosystems: A Case Study of Aksu City in Northwest China. Sustainability 2024, 16, 3915. [Google Scholar] [CrossRef]
- Jiang, Y.; He, H.; Zhang, H.; Cao, Y.; Shi, G.; Feng, L.; Yang, J. Study on the evolution and optimization of the spatial structure of the oasis in the arid area: A case study of the Aksu River Basin in China. Int. J. Environ. Res. Public Health 2023, 20, 4920. [Google Scholar] [CrossRef]
- He, X.; Zhang, L.; Lu, Y.; Chai, L. Spatiotemporal Variations of Vegetation and Its Response to Climate Change and Human Activities in Arid Areas—A Case Study of the Shule River Basin, Northwestern China. Forests 2024, 15, 1147. [Google Scholar] [CrossRef]
- Zhu, Y.; Zhang, Y.; Li, Y.; Zheng, Z.; Zhao, G.; Sun, Y.; Gao, J.; Chen, Y.; Zhang, J.; Zhang, Y. Human activities further amplify the cooling effect of vegetation greening in Chinese drylands. Agric. For. Meteorol. 2023, 342, 109703. [Google Scholar] [CrossRef]
- Panigrahi, S.; Verma, K.; Tripathi, P. Review of MODIS EVI and NDVI Data for Data Mining Applications; Elsevier: Amsterdam, The Netherlands, 2021; pp. 231–253. [Google Scholar]
- Cheng, Y.; Zhang, L.; Zhang, Z.; Li, X.; Wang, H.; Xi, X. Spatiotemporal variation and influence factors of vegetation cover in the Yellow River Basin (1982–2021) based on GIMMS NDVI and MOD13A1. Water 2022, 14, 3274. [Google Scholar] [CrossRef]
- Amani, M.; Ghorbanian, A.; Ahmadi, S.A.; Kakooei, M.; Moghimi, A.; Mirmazloumi, S.M.; Moghaddam, S.H.A.; Mahdavi, S.; Ghahremanloo, M.; Parsian, S. Google earth engine cloud computing platform for remote sensing big data applications: A comprehensive review. IEEE J. Sel. Top. Appl. Earth Obs. Remote Sens. 2020, 13, 5326–5350. [Google Scholar] [CrossRef]
- Zhao, Q.; Yu, L.; Li, X.; Peng, D.; Zhang, Y.; Gong, P. Progress and trends in the application of Google Earth and Google Earth Engine. Remote Sens. 2021, 13, 3778. [Google Scholar] [CrossRef]
- Muñoz-Sabater, J.; Dutra, E.; Agustí-Panareda, A.; Albergel, C.; Arduini, G.; Balsamo, G.; Boussetta, S.; Choulga, M.; Harrigan, S.; Hersbach, H. ERA5-Land: A state-of-the-art global reanalysis dataset for land applications. Earth Syst. Sci. Data 2021, 13, 4349–4383. [Google Scholar] [CrossRef]
- Wu, Y.; Shi, K.; Chen, Z.; Liu, S.; Chang, Z. Developing improved time-series DMSP-OLS-like data (1992–2019) in China by integrating DMSP-OLS and SNPP-VIIRS. IEEE Trans. Geosci. Remote Sens. 2021, 60, 4407714. [Google Scholar] [CrossRef]
- Zhang, B.; Li, J.; Wang, M.; Duan, P.; Li, C. Using DMSP/OLS and NPP/VIIRS images to analyze the expansion of 21 urban agglomerations in mainland China. J. Urban Plan. Dev. 2021, 147, 4021024. [Google Scholar] [CrossRef]
- Jin, H.; Chen, X.; Wang, Y.; Zhong, R.; Zhao, T.; Liu, Z.; Tu, X. Spatio-temporal distribution of NDVI and its influencing factors in China. J. Hydrol. 2021, 603, 127129. [Google Scholar] [CrossRef]
- Liu, Y.; Tian, J.; Liu, R.; Ding, L. Influences of climate change and human activities on NDVI changes in China. Remote Sens. 2021, 13, 4326. [Google Scholar] [CrossRef]
- Yang, L.; Guan, Q.; Lin, J.; Tian, J.; Tan, Z.; Li, H. Evolution of NDVI secular trends and responses to climate change: A perspective from nonlinearity and nonstationarity characteristics. Remote Sens. Environ. 2021, 254, 112247. [Google Scholar] [CrossRef]
- Zhong, X.; Li, J.; Wang, J.; Zhang, J.; Liu, L.; Ma, J. Linear and nonlinear characteristics of long-term NDVI using trend analysis: A case study of Lancang-Mekong River Basin. Remote Sens. 2022, 14, 6271. [Google Scholar] [CrossRef]
- Forkel, M.; Carvalhais, N.; Verbesselt, J.; Mahecha, M.D.; Neigh, C.S.; Reichstein, M. Trend change detection in NDVI time series: Effects of inter-annual variability and methodology. Remote Sens. 2013, 5, 2113–2144. [Google Scholar] [CrossRef]
- Huang, A.; Shen, R.; Di, W.; Han, H. A methodology to reconstruct LAI time series data based on generative adversarial network and improved Savitzky-Golay filter. Int. J. Appl. Earth Obs. Geoinf. 2021, 105, 102633. [Google Scholar] [CrossRef]
- Bai, J.; Li, J.; Bao, A.; Chang, C. Spatial-temporal variations of ecological vulnerability in the Tarim River Basin, Northwest China. J. Arid Land 2021, 13, 814–834. [Google Scholar] [CrossRef]
- Yang, P.; Zhang, S.; Xia, J.; Chen, Y.; Zhang, Y.; Cai, W.; Wang, W.; Wang, H.; Luo, X.; Chen, X. Risk assessment of water resource shortages in the Aksu River basin of northwest China under climate change. J. Environ. Manag. 2022, 305, 114394. [Google Scholar] [CrossRef]
- Xia, N.; Li, M.; Cheng, L. Mapping impacts of human activities from nighttime light on vegetation cover changes in Southeast Asia. Land 2021, 10, 185. [Google Scholar] [CrossRef]
- Li, Q.; Shi, X.; Wu, Q. Effects of China’s ecological restoration on economic development based on Night-Time Light and NDVI data. Environ. Sci. Pollut. Res. 2021, 28, 65716–65730. [Google Scholar] [CrossRef]
- Li, Y.; Guo, W.; Li, P.; Zhao, X.; Liu, J. Exploring the Spatiotemporal Dynamics of CO2 Emissions through a Combination of Nighttime Light and MODIS NDVI Data. Sustainability 2023, 15, 13143. [Google Scholar] [CrossRef]
- Zou, Y.; Shen, J.; Chen, Y.; Zhang, B. Monitoring Urban Expansion (2000–2020) in Yangtze River Delta Using Time-Series Nighttime Light Data and MODIS NDVI. Sustainability 2023, 15, 9764. [Google Scholar] [CrossRef]
- Lin, J.; Chen, Q. Analyzing and Simulating the Influence of a Water Conveyance Project on Land Use Conditions in the Tarim River Region. Land 2023, 12, 2073. [Google Scholar] [CrossRef]
- Liu, Q.; Dai, H.; Gui, D.; Hu, B.X.; Ye, M.; Wei, G.; Qin, J.; Zhang, J. Evaluation and optimization of the water diversion system of ecohydrological restoration megaproject of Tarim River, China, through wavelet analysis and a neural network. J. Hydrol. 2022, 608, 127586. [Google Scholar] [CrossRef]
- Fu, A.; Li, W.; Chen, Y.; Wang, Y.; Hao, H.; Li, Y.; Sun, F.; Zhou, H.; Zhu, C.; Hao, X. The effects of ecological rehabilitation projects on the resilience of an extremely drought-prone desert riparian forest ecosystem in the Tarim River Basin, Xinjiang, China. Sci. Rep. 2021, 11, 18485. [Google Scholar] [CrossRef] [PubMed]
- Xie, L.; Wang, H.; Liu, S.; Li, Y. Diagnosis of Key Ecological Problems and Layout of Ecological Restoration Projects-A Case Study of the Aksu River Basin, China. 2021. Available online: https://www.researchsquare.com/article/rs-1086839/v1 (accessed on 24 June 2023).
- Yang, P.; Zhu, Y.; Zhai, X.; Xia, J.; Chen, Y.; Huang, H.; Li, Z.; Shi, X.; Zhou, L.; Fu, C. Adaptive management of water resources system in the arid Aksu river basin, northwest China. J. Clean. Prod. 2023, 419, 138185. [Google Scholar] [CrossRef]
- Wei, S.; Ping, C. Inner logic and practice innovation of modern forestry development in Xinjiang: Kekeya afforestation engineering model. For. Constr. 2022, 40, 35–40. [Google Scholar]
- Huo, Y.; Wang, R.; Liu, C.; Zhou, L. Characteristics of carbon storage change in Kekeya greening project area under multi-scenario simulation. Bull. Surv. Mapp. 2024, 50–54+73. [Google Scholar] [CrossRef]
- Lei, X.; Qu, M.; Wang, J.; Hou, J.; Wang, Y.; Li, G.; Luo, M.; Li, Z.; Li, J. The Distribution Range of Populus euphratica Oliv.(Salicaceae) Will Decrease Under Future Climate Change in Northwestern China. Forests 2024, 15, 1288. [Google Scholar] [CrossRef]
- Huang, J.; Wang, X.; Zhang, D.; Zhang, Z.; Yan, J.; Xia, F. Trade-offs under pressure? Development of urban green space under economic growth and governance. J. Clean. Prod. 2023, 427, 139261. [Google Scholar] [CrossRef]
- Thevs, N.; Peng, H.; Rozi, A.; Zerbe, S.; Abdusalih, N. Water allocation and water consumption of irrigated agriculture and natural vegetation in the Aksu-Tarim river basin, Xinjiang, China. J. Arid Environ. 2015, 112, 87–97. [Google Scholar] [CrossRef]
- Jiang, L.; Bao, A.; Guo, H.; Ndayisaba, F. Vegetation dynamics and responses to climate change and human activities in Central Asia. Sci. Total Environ. 2017, 599, 967–980. [Google Scholar] [CrossRef]
- Egamberdieva, D.; Öztürk, M. Vegetation of Central Asia and Environs; Springer: Berlin/Heidelberg, Germany, 2018. [Google Scholar]
- Karakani, E.G.; Malekian, A.; Gholami, S.; Liu, J. Spatiotemporal monitoring and change detection of vegetation cover for drought management in the Middle East. Theor. Appl. Climatol. 2021, 144, 299–315. [Google Scholar] [CrossRef]
- Faour, G.; Mhawej, M.; Fayad, A. Detecting changes in vegetation trends in the Middle East and North Africa (MENA) region using SPOT vegetation. Cybergeo Eur. J. Geogr. 2016. [Google Scholar] [CrossRef]
- Bao, A.; Huang, Y.; Ma, Y.; Guo, H.; Wang, Y. Assessing the effect of EWDP on vegetation restoration by remote sensing in the lower reaches of Tarim River. Ecol. Indic. 2017, 74, 261–275. [Google Scholar] [CrossRef]
- Ling, H.; Guo, B.; Zhang, G.; Xu, H.; Deng, X. Evaluation of the ecological protective effect of the “large basin” comprehensive management system in the Tarim River basin, China. Sci. Total Environ. 2019, 650, 1696–1706. [Google Scholar] [CrossRef]









| Data Type | Data Source | Product Code | Spatial Resolution | Temporal Range | Preprocessing Steps | Coordinate System |
|---|---|---|---|---|---|---|
| NDVI | MODIS | MOD13A3 | 1 km | 2000–2020 | Maximum value composite, S-G filtering | WGS84 3 |
| Temperature and precipitation | ECMWF ERA5-Land 1 | - | 0.1° | 2000–2020 | Calculation of annual mean temperature and total precipitation | WGS84 |
| Nighttime light | DMSP-OLS/VIIRS 2 | - | 1 km | 2000–2020 | Data calibration and consistency processing | WGS84 |
| Category | Condition | Description |
|---|---|---|
| Significant Decrease | a < 0 and p ≤ 0.01 | NDVI shows a significant decreasing trend (high significance level, p ≤ 0.01). |
| Moderate Decrease | a < 0 and 0.01 < p ≤ 0.05 | NDVI shows a decreasing trend with moderate significance (0.01 < p ≤ 0.05). |
| No Significant Change | p > 0.05 | NDVI change is not significant, with no clear trend observed. |
| Moderate Increase | a > 0 and 0.01 < p ≤ 0.05 | NDVI shows an increasing trend with moderate significance (0.01 < p ≤ 0.05). |
| Significant Increase | a > 0 and p ≤ 0.01 | NDVI shows a significant increasing trend (high significance level, p ≤ 0.01). |
Disclaimer/Publisher’s Note: The statements, opinions and data contained in all publications are solely those of the individual author(s) and contributor(s) and not of MDPI and/or the editor(s). MDPI and/or the editor(s) disclaim responsibility for any injury to people or property resulting from any ideas, methods, instructions or products referred to in the content. |
© 2024 by the authors. Licensee MDPI, Basel, Switzerland. This article is an open access article distributed under the terms and conditions of the Creative Commons Attribution (CC BY) license (https://creativecommons.org/licenses/by/4.0/).
Share and Cite
Feng, Z.; Xin, H.; Liu, H.; Wang, Y.; Wang, J. Analysis of Vegetation Coverage Changes and Influencing Factors in Aksu, Xinjiang, China (2000–2020): A Comparative Study of Climate Factors and Urban Development. Appl. Sci. 2024, 14, 12000. https://doi.org/10.3390/app142412000
Feng Z, Xin H, Liu H, Wang Y, Wang J. Analysis of Vegetation Coverage Changes and Influencing Factors in Aksu, Xinjiang, China (2000–2020): A Comparative Study of Climate Factors and Urban Development. Applied Sciences. 2024; 14(24):12000. https://doi.org/10.3390/app142412000
Chicago/Turabian StyleFeng, Zhimin, Haiqiang Xin, Hairong Liu, Yong Wang, and Junhai Wang. 2024. "Analysis of Vegetation Coverage Changes and Influencing Factors in Aksu, Xinjiang, China (2000–2020): A Comparative Study of Climate Factors and Urban Development" Applied Sciences 14, no. 24: 12000. https://doi.org/10.3390/app142412000
APA StyleFeng, Z., Xin, H., Liu, H., Wang, Y., & Wang, J. (2024). Analysis of Vegetation Coverage Changes and Influencing Factors in Aksu, Xinjiang, China (2000–2020): A Comparative Study of Climate Factors and Urban Development. Applied Sciences, 14(24), 12000. https://doi.org/10.3390/app142412000

