Next Article in Journal
Advanced Numerical Analysis of Transport Packaging
Previous Article in Journal
Deep Learning-Based Algorithms for Real-Time Lung Ultrasound Assisted Diagnosis
 
 
Font Type:
Arial Georgia Verdana
Font Size:
Aa Aa Aa
Line Spacing:
Column Width:
Background:
Article

Three-Dimensional Hyperbolic Mesh Generation Method Based on the Neural Network

1
Sichuan Province Biomechanical Engineering Laboratory, Sichuan University, Chengdu 610065, China
2
Department of Mechanical Science and Engineering, Sichuan University, Chengdu 610065, China
*
Author to whom correspondence should be addressed.
Appl. Sci. 2024, 14(24), 11931; https://doi.org/10.3390/app142411931
Submission received: 23 October 2024 / Revised: 13 December 2024 / Accepted: 17 December 2024 / Published: 20 December 2024

Abstract

Aiming at the limitations of the traditional hyperbolic mesh generation method, specifically the limited types of boundary control strategy along the advancing direction and the inability to control the outer boundary, this paper employs physics-informed neural networks with output range constraints to approximate the solutions of the governing equations that are used to generate the hyperbolic mesh. After transforming the form of the governing equations, the solution was fitted using the neural network driven solely by boundary data. By incorporating the governing equations and the boundary conditions into the loss function, the neural network method can directly control the boundaries along the advancing direction. For the outer boundary, a novel variance constraint strategy was proposed. Based on the proposed method, meshes were generated for three-dimensional surfaces and three-dimensional solids derived from the terrain surface. The quality of these meshes was compared with the traditional method. The results demonstrate that this method can effectively achieve boundary control during the hyperbolic mesh generation process and consistently produces high-quality hyperbolic meshes. Therefore, neural network-based hyperbolic mesh generation is an effective approach to achieving boundary control, which can further enhance the applicability of hyperbolic mesh generation methods.

1. Introduction

The hyperbolic structured mesh generation method is capable of producing mesh grids with good orthogonality, which has been widely applied in flow field simulations, such as missiles [1], aircraft [2], terrains [3], et al. It is a bottom-up mesh generation approach, where the grids are extrapolated layer by layer from an initial boundary.
Since Steger [4] proposed the two-dimensional hyperbolic mesh generation algorithm, its principles have been rapidly applied to three-dimensional models [5,6,7]. Under the same constraints, i.e., grid orthogonality and grid size, the governing equations for three-dimensional surface hyperbolic mesh generation are different from the three-dimensional solids [8,9]. The solution scheme of three-dimensional hyperbolic mesh generation is to locally linearize the governing equations around the initial status, then the governing equations are transformed into a system of equations that are defined on the regular computational space. However, this scheme will lead to issues such as boundary singularities propagating into the interior, instability during the solution process, limited types of boundary conditions along the advancing direction, and the inability to prescribe outer boundary conditions [9,10,11,12].
To address the issue of singularities, researchers have proposed various solutions, such as incorporating spatial variable smoothing coefficients, clustering, matrix correction, and local treatment of the concave–convex region [9,13]. For solution stability, the introduction of dissipation terms remains a common approach [14,15]. These techniques effectively ensure the practical applicability of the hyperbolic grid generation method. Consequently, subsequent research has increasingly focused on the application and improving grid generation efficiency [16,17].
Although the aforementioned studies have enabled the hyperbolic grid generation method to stably produce high-quality grids with different configurations, there has been relatively little focus on the research of boundary control. Consequently, the application of hyperbolic grids in flow field simulation only lies in the boundary layer mesh generation and physical models utilizing far-field boundary conditions [18,19]. In three-dimensional models, there are only a few boundary control strategies available, such as periodicity, constant plane, and floating edge [8,13,20]. These strategies can only satisfy the boundary conditions along the advancing direction under certain circumstances. Moreover, due to the potentially more complex topology of three-dimensional models, special numerical boundary treatments are required at the boundaries, making the imposition of these boundary conditions more complex. Additionally, the current hyperbolic grid generation methods do not offer effective solutions for outer boundary control. Some studies suggested that combining hyperbolic grid generation with the other methods may enable control of the outer boundary. Nakamura et al. [21] combined the numerical schemes of hyperbolic mesh with parabolic mesh using a weighting coefficient to achieve outer boundary control during the mesh generation process. Khatoon et al. [22]. achieved outer boundary control by generating hyperbolic mesh near the object surface and regenerating elliptical grids between the hyperbolic mesh boundaries and the outer boundaries. Similarly, Dannenhoffer et al. [23]. also combined hyperbolic and elliptical grids; in addition to using the elliptical method for outer boundary control, they smoothed the regions of poor-quality grids generated by the hyperbolic method. It is worth noting that, in the case of combining numerical schemes, the influence of outer boundaries on the interior grids is retained, whereas generating elliptical grids in certain regions cannot ensure grid consistency or requires a balance between mesh uniformity and orthogonality. Therefore, achieving control of boundaries along the advancing direction and outer boundaries under the hyperbolic mesh generation algorithm is a subject worthy of further research.
In 2019, Raissi et al. [24] proposed physics-informed neural networks (PINNs) to handle forward and inverse problems involving nonlinear partial differential equations. In PINNs, physical information is incorporated into the loss function to ensure the physical consistency of the obtained results across the entire domain [25,26,27]. Driven by the discretized data within the region, PINNs could approximate the solution of differential equations more easily. After extensive development by numerous researchers, PINNs have been successfully used in different equation solving, such as Navier–Stokes equations [28,29,30], Poisson equations [31,32,33], Wave equations [25,34,35], et al. It implies that PINNs can also be employed to solve the governing equations of hyperbolic mesh generation. In practical application, Chen et al. [36,37] achieved hyperbolic mesh generation by solving the transformed governing equation using PINNs. In their method, the aforementioned boundary control issue remains unsolved due to the same governing equation as the traditional solving strategy. Moreover, PINNs need the data driven from the interior region, which makes the extra training data preparation procedure unavoidable [38,39].
Considering that PINNs essentially restrict the feasible solution space of the neural network by incorporating physical information, this allows the network to more effectively approximate the solution of the equation. Based on this theory, this paper introduces output range constraints on PINNs to further limit the feasible solution space of the neural network in solving the governing equations for three-dimensional hyperbolic mesh generation. This enables PINNs to approximate the solution of the governing equations within a specific physical domain driven solely by boundary data, avoiding the training data preparation. Additionally, the governing equations for mesh generation were transformed into a form that is defined on the physical domain, where the orthogonality control of the mesh and boundary conditions can be directly incorporated into the loss function, thereby enabling effective control of the outer boundary and boundaries along the advancing direction during the mesh generation process. Finally, by utilizing neural networks that are n-times differentiable to solve the governing equations, issues such as boundary discontinuities being propagated into the interior domain and instability in the solution process, which are commonly encountered in traditional solution schemes, are effectively mitigated.

2. Methodology

Similar to all structured mesh generation methods, hyperbolic mesh generation also seeks to find the mapping relationship between the irregular physical domain and the regular computational domain through different algorithms. Figure 1 provides a schematic diagram of the mapping relationship, divided into three-dimensional surfaces and three-dimensional solids, which are arranged in rows. As we can see, in physical space, the coordinates are denoted as  x , y , z , while in computational space, the coordinates are  ξ , η , ζ . Since the computational space is regular, its range can be represented as:
[ 0 , ξ max ] × [ 0 , η max ] × [ 0 , ζ max ] .
For the mesh generation of the three-dimensional model, traditional hyperbolic mesh generation solves the governing equations on computational space using numerical methods, and then the mesh coordinates are obtained layer by layer. As depicted in Figure 1, it is the process from right to left; we can view it as solving the coordinates distribution of the physical domain on the computational domain. The mapping relationship is represented by the equation at the arrow from right to left in Figure 1. For three-dimensional surfaces and solids, it is denoted as   and  , respectively.
It is worth noting that, unlike three-dimensional solids, a three-dimensional surface is essentially a two-dimensional manifold and can be represented by a parametric surface that includes only two parameters. Therefore, its mapping in computational space is a plane and does not involve the parameter  ζ , or  ζ max  equal to zero.
Traditional methods solve the mesh coordinates of the physical domain on the computational domain, leading to issues related to solution stability, grid smoothing, and boundary control, as described in the introduction. Therefore, this paper proposes using neural networks to directly solve the coordinates of the computational domain on the physical domain; it is a process from left to right, as shown in Figure 1. In this scheme, the well-trained neural network represents the inverse mapping relation of the   or  , as shown in the arrow from left to right in Figure 1, denoted as  1  and  1 . The advantage of this approach is that physical boundary conditions can be directly incorporated into the loss function, enabling constraints on general boundary conditions.
Considering the governing equation of the three-dimensional model in the traditional hyperbolic mesh generation scheme [13,15], when we treat a three-dimensional surface as a three-dimensional solid with unit thickness, it becomes apparent that the governing equations for three-dimensional surfaces and three-dimensional solids are essentially the same; i.e., two equations govern the orthogonality of the grid, while the final determinant controls the size of the grids. Therefore, to conduct the inverse process mentioned above, we transform the governing equations for surface and solid into a form defined in the physical domain. Thus, the governing equations for a three-dimensional surface are:
ξ η = 0 n η = 0 n ( ξ × η ) = J ,
the governing equations for a three-dimensional solid are:
ξ ζ = 0 η ζ = 0 ζ ( ξ × η ) = J ,
where the  n  represents the unit normal vector of each point on the surface. Both  J  and  J  are Jacobian determinants whose values need to be specified manually. Under these circumstances, they do not represent the size of the grid; otherwise, they denote the ratio of the area or volume between the computational domain and the physical domain.
After determining the governing equations, the generation of hyperbolic grids mainly involves four steps: dataset preparation, loss function construction, neural network training, and mesh generation. The dataset preparation and loss function construction for three-dimensional surface and solid are shown in Figure 2, which are arranged in rows.
Considering the three-dimensional surface model in Figure 2. In the data preparation phase, we first need to divide the four boundaries into the initial boundary, the constraint boundaries along the advancing direction, and the outer boundary. The initial boundary and outer boundary correspond to the range of variation of parameter  η , which is also the direction of grid generation. The range of variation for parameter  ξ  lies between the constraint boundaries. Subsequently, we place numerous data points on these boundaries and the interior region of the surface to construct our dataset, as shown in the second image of the first row in Figure 2. Points on the initial boundary are marked in red, denoted as  P i , points on the constraint boundaries are marked in green, denoted as  P j , points on the outer boundary are marked in yellow, denoted as  P n , and points on the interior region are marked in grey, denoted as  P k .
After some numerical tests, using Sigmoid as the activation function of the output layer of the neural network and modifying the range of all computational space to 0.1–0.9 can effectively achieve the solution of two-dimensional hyperbolic mesh generation in the physical domain. Therefore, for three-dimensional hyperbolic grid generation, we implemented the same pattern. Considering the variable number of the physical domain and the computational domain for a three-dimensional surface, we adopted a neural network with three inputs and two outputs, denoted as:
u ( x , y , z , θ ) ,
θ  means all the weights and biases of the neural network, the structure of the neural network is shown in the third image of the first row in Figure 2. This network will be used to fit the solutions of equation set 2 that is defined on different surfaces. It is important to note that models with larger spatial ranges need to be generated sequentially through multiple solving processes, which means the equation set 2 will be defined and solved repeatedly on the different partial surfaces. Within each solving process, the computational space coordinates must be set to 0.1–0.9.
After the neural network is defined, accurately constructing the loss function to ensure that the neural network converges to the correct solution is key to this method. Considering the range of the computational domain, we first assigned different  ξ  and  η  values to the points on the initial boundary in a clockwise direction.  ξ  was assigned increasingly with a range from 0.1 to 0.9,  η  was all assigned to 0.1. These points are the only ones in the entire process for which all corresponding values can be predetermined. Therefore, they serve as the data driver for the neural network. If  u  is the solution of equation set 2 on the surface, then the error of the output values of  u  at these points should approach 0. So, denote the assigned values as T, and the first part of the loss function could be written as:
¯ ( u T ) P i 2 ,
where the horizontal bar above the summation symbol represents the mean of the summed values.
Secondly, if  u  is the solution of the equation set 2 on the surface, then the two constraint boundaries correspond to the boundaries in the computational domain, which means the  ξ  values that the network output on these points were the extreme value of the computational domain range. Since the values of  ξ  on the initial boundary increase in a clockwise direction, all points on the left boundary should have the same value of 0.1, and all points on the right boundary should have the same value of 0.9. Denote the target values for these boundaries as  T ξ , and this part of the loss function could be written as:
¯ ( u ξ T ζ ) P j 2 .
Thirdly, for the surface region where the governing equation is defined, every point within the region must satisfy the governing equation. This requires taking the gradient operation of  u , which can be easily achieved through automatic differentiation. Since the region for each grid generation is only part of the surface, the points we choose are also within this part of the region, as shown by the gray points in Figure 2. Substituting each point into  u  after taking the gradient operation and then calculating values according to the governing equation, the error for each part should also approach zero. Therefore, suppose the unit normal vector of each point on the surface is  V n o r m a l  and the given Jacobian determinant is  J a , and this part of the loss function can be expressed as:
¯ ( u ξ u η ) P k 2 + ¯ ( V n o r m a l ( u ξ × u η ) ) P k 2 + ¯ ( V n o r m a l u η J a ) P k 2 .
Finally, regarding the outer boundary control strategy, in two-dimensional problems, we achieved control of the outer boundary by advancing inward simultaneously from both the outer and initial boundaries. This approach can result in poor grid quality at the interface, necessitating optimization. Therefore, in the three-dimensional process, we adopted a new variance constraint. Specifically, according to the mapping relationship, the external boundary corresponds to the value of  η max . However, when generating grids in sub-regions and given the specified  J a , we cannot predetermine the value of  η max . Therefore, we can only ensure that the neural network outputs the same  η  values for all points on the outer boundary, meaning the variance is zero. Thus, considering the yellow points in Figure 2, this part of the loss function can be expressed as:
¯ ( var ( u η ) ) P n .
It is important to note that the loss function 8 only needs to be included during the generation of the final portion of the surface. In other regions that are far from the outer boundary, this component does not need to be considered.
At this point, we have completed the construction of the loss function for three-dimensional surface grid generation. It is shown at the end of the first row in Figure 2. The total loss is the sum of all the loss parts:
L o s s = ¯ ( u T ) P i 2 + ¯ ( u ξ T ζ ) P j 2 + + ¯ ( var ( u η ) ) P n + ¯ ( u ξ u η ) P k 2 + ¯ ( V n o r m a l ( u ξ × u η ) ) P k 2 + ¯ ( V n o r m a l u η J a ) P k 2 .
In expression 9, the term within angle brackets is optional.
For three-dimensional solid mesh generation, the process is the same as the three-dimensional surface, as shown in the second row of Figure 2. The difference is that all boundaries are surfaces instead of lines. Additionally, the constraint boundaries along the advancing direction become two sets. In this case, we also need to select points on different surfaces. As shown in the second image, the red points  P i  on the initial surface are used for data driving of the neural network, it needs to cover the entire initial surface. The yellow points  P n  on the outer surface are used for variance constraints, it also needs to cover the entire surface. The blue points  P m  and green points  P j  on the two sets of constraint surfaces are used to constrain the boundaries along the advancing direction. The range of points on these constraint surfaces can be determined based on the scope of the grid to be generated. Additionally, gray points  P k  need to be placed within the spatial range of the region that needs to be meshed because it constrains the governing equations.
A neural network with three inputs and three outputs is selected to fit the governing equations defined on three-dimensional solids, denoted as:
u ( x , y , z , θ ) .
Therefore, the points on the initial surface need to be assigned values for all three computational domain coordinates. For  ξ  and  η , we assign values ranging from 0.1 to 0.9, with the strategy of increasing along the positive x-axis and positive y-axis directions, respectively. For  ζ , all values are set to 0.1. Denote the assigned values as  T , the loss on the initial surface could be written as:
¯ ( u T ) P i 2 .
According to the value assign strategy of the initial surface, the two surfaces sampled by blue points will be constrained with parameter  ξ  and the network should output 0.1 on the left surface and 0.9 on the right surface. In the same way, the two surfaces sampled by green points will be constrained with parameter  η . The network should output 0.1 on the front surface and 0.9 on the back surface. Denote the target value of  ξ  as  T ξ  and the target value of  η  as  T η , and the loss on the constraint surface could be written as:
¯ ( u ξ T ξ ) P m 2 + ¯ ( u η T η ) P j 2 .
Similar to the three-dimensional surface, the gray points inside the spatial region are used to calculate the loss of the governing equations. Based on Equation (3), the loss of the governing equation can be expressed as:
¯ ( u ξ × u ζ ) P k 2 + ¯ ( u η × u ζ ) P k 2 + ¯ ( u ζ ( u ξ × u η ) J v ) P k 2 .
Finally, the loss value on the outer surface needs to be calculated; it is also only necessary when the region that needs to be meshed is close to the outer boundary. The loss function is:
¯ ( var ( u ζ ) ) P n .
As a result, the total loss of the three-dimensional solid model is:
L o s s = ¯ ( u T ) P i 2 + ¯ ( u ξ T ξ ) P m 2 + ¯ ( u η T η ) P j 2 + ¯ ( var ( u ζ ) ) P n + ¯ ( u ξ × u ζ ) P k 2 + ¯ ( u η × u ζ ) P k 2 + ¯ ( u ζ ( u ξ × u η ) J v ) P k 2 .
Based on the constructed total loss function concerning three-dimensional surfaces and solids, the neural network could be trained. After the neural network converges, we can determine the coordinates of the grid nodes by providing the distribution of  ξ  and  η  values in the case of a three-dimensional surface, thus obtaining the final grid distribution. And in the case of a three-dimensional solid, it is necessary to provide the distribution of  ξ η , and  ζ .

3. Results

The mesh of terrain has widespread applications in areas such as wind resource assessment and pollutant dispersion simulation. Terrain surfaces typically do not contain regular features, they have general applicability in verifying our method. Therefore, in this section, we will use terrain surfaces to validate the proposed hyperbolic grid generation methods for three-dimensional surfaces and three-dimensional solids. In all models, boundary constraints along the advancing direction and outer boundary constraints are used. The grids generated by the neural network method will be compared with the traditional methods to verify the applicability of the proposed method.

3.1. Terrain Surface

We selected a terrain surface with numerous features within a one-square-kilometer area. The projection of this surface onto the xy-plane is rectangular. Considering that the spatial range of this surface is the same in both directions, the surface is divided into four parts for sequential mesh generation. After determining the initial boundary, we used a neural network with four hidden layers, each containing 64 nodes, to fit the solution of the governing equations defined on each divided surface, and the value of the Jacobian determinant is set to 0.01. Starting from the second solving process, the last layer boundary generated from the previous solution was used as the new initial boundary. In the final solving stage, the outer boundary constraint was introduced into the loss function to achieve outer boundary control. When it comes to the grid generation step, the distribution of the required  ξ  and  η  values is predicted by the neural network using the uniformly selected points on the red initial boundary and the left constraint boundary. The mesh generation process is shown in Figure 3.
In Figure 3, the red curve represents the selected initial boundary, the green curve represents the constraint boundary along the advancing direction, and the saffron yellow curve represents the outer boundary. As we can see from Figure 3b, the outer boundary was effectively restricted in the neural-based method.
In addition to the surface mesh generation method proposed in this paper, conventional surface meshes are typically generated using linear interpolation or projection methods. To compare the mesh quality generated by these three methods, we choose orthogonality and skewness as mesh quality evaluation criteria. Orthogonality is defined as one minus the maximum absolute value of the dot product of unit vectors on each pair of adjacent edges in each grid, i.e.,
max 1 t i t j .
Skewness is defined as one minus the ratio of the lengths of the two diagonals of the grid, i.e.,
1 L i L j .
From the definitions, it can be seen that the larger the value of orthogonality or the smaller the value of skewness, the better the grid quality. The comparison of the mesh quality generated by different methods is shown in Figure 4.
In Figure 4, the left side shows a comparison of the orthogonality results, while the right side presents a comparison of the skewness results. It can be seen that the grid generated by the neural network has a more uniform distribution in terms of orthogonality and skewness. The grid generated by the other two methods shows a significant decline in quality in areas where the surface changes more drastically.
To quantitatively analyze the differences in meshes generated by different methods, we compared the minimum orthogonality value and the maximum skewness value. Additionally, we perform a deeper analysis using mesh smoothness in different directions. Smoothness is defined as the rotation angle between three adjacent nodes in a given direction, which is a commonly used criterion for mesh quality assessment. The smoothness value ranges from 0 to 1, with larger values indicating greater rotation angles, meaning the mesh is less smooth. So, we also compare the minimum value of smoothness in different directions. Given that larger smoothness or orthogonality values mean better mesh quality, we use one minus the maximum skewness value to ensure that each parameter indicates better quality when the corresponding value increases. The comparison results are shown in Figure 5.
As shown in Figure 5, except for the smoothness in the I-direction, the surface meshes generated by the neural network exhibit superior quality compared to other methods. For the smoothness in the I-direction, the difference between the neural network method and the other methods is less than 1%.
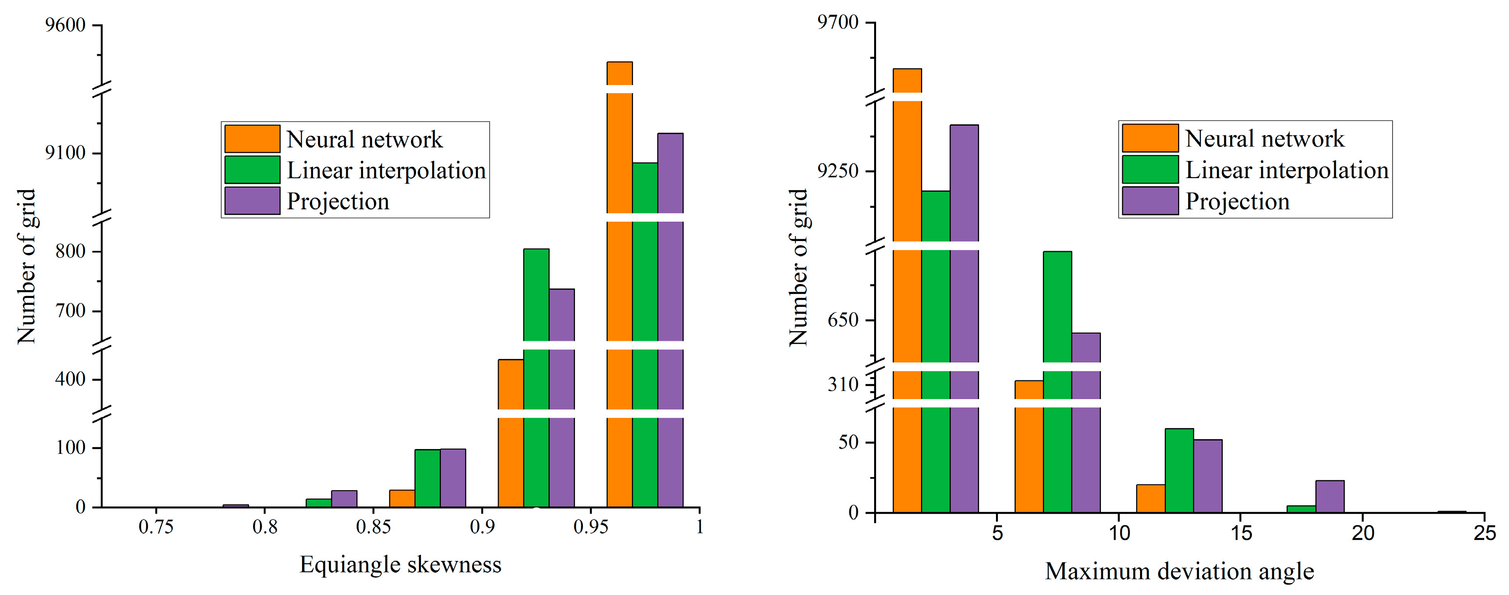
To conduct a more detailed quantitative analysis for comparing the differences in meshes generated by different methods, we use the equiangular skewness and the maximum deviation angle to compare the grid quality distribution. The equivalent skewness is defined as:
1 - max [ θ max θ e 180 θ e , θ e θ min θ e ] ,
where  θ max  and  θ min  are the largest and smallest angles in a grid, and  θ e  is the angle for an equiangular grid (e.g., 60 degrees for a triangle and 90 degrees for a square). The range of equiangular skewness is 0–1, and the larger value indicates a better mesh quality. It is commonly used in practical flow field computations to evaluate the success or failure of the calculation.
The maximum deviation angle is defined as the maximum deviation of the internal angle from 90 degrees for each grid. The smaller the deviation, the closer the element is to a regular hexahedron, leading to a more accurate element integration in flow field computations. So, the larger the skewness, the better the mesh quality, and the larger the deviation angle, the worse the mesh quality. Based on these two mesh quality criteria, we have statistically analyzed the number of meshes within different quality intervals generated by different methods. The results are shown in Figure 6.
As we can see from Figure 6, for skewness, the grid quality generated by the neural network is mainly distributed in the range of 0.95–1, and even the poorest quality grid is greater than 0.85. In contrast, the grid quality generated by the projection method is similar to linear interpolation in terms of distribution across each range. The difference is that the minimum skewness value generated by the projection method is smaller than the interpolation method.
For the deviation angle, the grid generated by the neural network has a significant increase in the range of 0–5 degrees and contains no grids with deviation angles greater than 15 degrees. The grids generated by the projection and interpolation methods have similar distributions across different ranges, except that the maximum deviation angle in the projection method is greater than the interpolation method.
Under the criteria of equiangular skewness and deviation angle, Table 1 presents the extreme and average values of mesh quality generated by different methods. It can be seen that, in terms of the minimum skewness and maximum deviation angle, the mesh quality generated by the neural network is superior to the other two methods. However, in terms of average values, the other methods outperform the neural network method. The reason is that, in the surface model, flat areas occupy a large proportion. As observed in the previous comparison in Figure 4, the latter two methods perform well in flat regions. In contrast, the neural network method shows a more uniform distribution overall. However, when it comes to the flow field computation, the grids with the poorest quality have the most significant impact, thus giving the neural network method a considerable advantage.

3.2. Terrain Solids

Before starting the three-dimensional solid mesh generation of the terrain model, a standard surface with a central protrusion on a flat plane was chosen as our test model because three-dimensional solids are more complex than three-dimensional surfaces. By generating the mesh for the test model and evaluating the convergence process of the neural network, we can verify the effectiveness of the proposed method and the robustness of the grid generation process.
In flow field calculations, a square computational domain is typically used for general terrain surfaces. Therefore, we select the constraint surfaces along the advancing direction and the outer surfaces as planes to ultimately generate a rectangular mesh result. On the selected test model, we assigned  ξ , η , ζ  values to each point. Based on loss function 15, we use a neural network with four hidden layers, each containing 64 nodes, to obtain the solution of Equation (3) in the region enclosed by all surfaces. Before the computation, we appropriately scaled the model and set the value of the Jacobian matrix determinant to 0.01. Once the computation begins, the loss function converges stably to 1 × 10−7, indicating the effectiveness of the method and the robustness of the solution process. Considering that the model is symmetrical in both directions perpendicular to the advancing direction, we use diagonal skewness to preliminarily assess the quality of the generated grid. This criterion is defined as one minus the ratio of the two diagonals on the same plane of the hexahedron, the larger the value, the more distorted the mesh. The resulting mesh and quality distribution are shown in Figure 7.
From Figure 7a,b, it can be seen that the boundaries along the advancing direction and the outer boundaries are well constrained. The maximum skewness value of the generated grid is less than 0.03, indicating a high-quality hyperbolic mesh. Moreover, the mesh distribution is relatively uniform.
According to expressions 16 and 17, Figure 7c–f show the calculated skewness and orthogonality of the initial and outer boundaries. It can be observed that the grid quality on all surfaces is quite good. However, unlike conventionally generated grids, the grid distribution on the outer boundary is not uniform. The non-uniformity of the outer boundary can better satisfy the orthogonality constraints in Equation (3). Notably, due to the small spatial range along the advancing direction, this grid was obtained through one training process of the neural network.
After confirming the feasibility of three-dimensional grid generation, we selected a different terrain surface to generate its mesh. The constraint surface along the advancing direction and outer surfaces are also planes. The setting allows us to verify boundary constraints under a general model while closely approximating grids generated by the traditional hyperbolic method for comparison. After appropriately scaling the terrain surface, we chose a neural network with five hidden layers to solve Equation (3), the specified Jacobian determinant value remaining at 0.01. After the neural network convergence, the hyperbolic mesh was generated, as shown in Figure 8.
To preliminarily evaluate the quality of the generated mesh, we continue to use the criteria provided by Equations (16) and (17) to assess the mesh quality of the initial surface and the outer surface. The orthogonality and skewness of the initial surface are shown in Figure 8d and Figure 8f, respectively, while Figure 8c,e depict the orthogonality and skewness of the outer surface. For the volume mesh, we continue to use diagonal skewness to evaluate mesh quality. Unlike the test model, the terrain model lacks symmetry. The two diagonal skewness distributions of the volume mesh are different, as shown in Figure 8a,b.
Based on Figure 8, it can be observed that the neural network-based method can effectively constrain the boundaries along the advancing direction as well as the outer boundary. Meanwhile, good mesh quality on the initial terrain surface can be observed from Figure 8d,f, with orthogonality values all greater than 0.75 and skewness values all less than 0.22. However, Figure 8c,e reveal that the mesh quality on the outer boundary surface is somewhat inferior to the initial surface, indicating that even though the outer boundary is a plane, its mesh distribution is still non-uniform. Furthermore, as shown in Figure 8e,f, the diagonal skewness distribution of the volume mesh also indicates the volume mesh generated by the neural network is of good quality.
To illustrate the characteristics of the mesh generated by the neural network, we also generated a solid mesh for the same terrain surface using a traditional method. However, due to the inability of the traditional method to control the outer boundary, we can only constrain the boundaries along the advancing direction using constant plane boundary conditions, while ensuring the same number of mesh layers and a similar model size. To make a preliminary quantitative comparison between the neural network method and the traditional method, we compared the diagonal skewness and the mesh smoothness in different directions. Given that a smaller diagonal skewness value indicates better mesh quality, we compared the maximum values of diagonal skewness and the minimum values of smoothness in different directions. For convenience, we define 1 minus the diagonal distortion, denoted as 1-DS, so that higher values of all parameters correspond to better mesh quality. The result is shown in Figure 9.
As shown in Figure 9, the diagonal skewness of the meshes generated by the neural network method is superior to the traditional methods. In the I, J direction, the smoothness of the meshes generated by the two methods is close, while in the K direction, the smoothness of the meshes generated by the neural network method is better than the traditional method.
Similar to the three-dimensional surface model, we also selected equiangular skewness and maximum deviation angle to illustrate the difference between the neural network method and the traditional method. Given the significant differences in the number of grids across different ranges, we compared the logarithm of the element number plus one. The mesh distribution within different ranges is shown in Figure 10.
As shown in Figure 10, the mesh generated by the neural network exhibits better quality compared to the traditional method. Specifically, the maximum deviation angle for the neural network-generated mesh is less than 30 degrees, whereas it exceeds 50 degrees for the traditional method. Regarding equiangular skewness, the quality of the mesh generated by the neural network is consistently above 0.65, while the traditional method only achieves a minimum skewness value greater than 0.4. Additionally, in the best mesh quality intervals, such as the 0–5 degrees range for maximum deviation angle and the 0.95–1 range for equiangular skewness, the neural network-generated mesh contains fewer elements than the traditional method. Conversely, in the 5–10 degrees range for maximum deviation angle and the 0.9–0.95 range for equiangular skewness, the number of elements generated by the neural network far exceeds that of the traditional method, indicating that the overall mesh quality produced by the neural network is more uniform.
Table 2 presents the specific maximum, minimum, and average values under different methods. It is evident that, in terms of the worst mesh quality, the neural network method outperforms the traditional method. However, since the number of poorly rated grids is relatively small in the overall mesh distribution, the difference in average mesh quality is minimal. Nonetheless, in practical computations, the success and accuracy of the numerical simulation depend on the worst mesh quality, thus making the neural network method superior to the traditional method.

4. Discussion

In this paper, the mesh generation scheme based on the output range-constrained PINNs was applied to the three-dimensional models. By generating the mesh of three-dimensional surfaces and three-dimensional solid models, the effectiveness of this method was demonstrated. Additionally, a variance-constrained outer boundary control strategy is proposed, enabling the control of the outer boundary of different structures during the hyperbolic mesh generation process. Compared to traditional hyperbolic mesh generation methods, the approach proposed in this paper not only achieves higher quality hyperbolic mesh generation but also allows for the control of arbitrary boundary conditions along the advancing direction and outer boundary conditions.
In traditional hyperbolic mesh generation methods, the mesh extrapolation is based on numerically solving linearized governing equations, simple boundary control along the advancing direction can only be achieved through using different numerical methods, while controlling the outer boundary is not feasible. Therefore, a key innovation of this paper is the introduction of outer boundary control into the loss function. As illustrated by the mapping relationship in Figure 1, the boundaries in the physical space correspond to an extremum iso-surface in the computational space. Consequently, although we cannot determine the exact extremum value corresponding to the outer boundary under a given Jacobian determinant, the outer boundary must be an iso-surface, meaning that the values at points on this surface should be identical. This forms the foundation of our outer boundary control strategy. Furthermore, outer boundary constraints can be omitted if necessary, making the method equally applicable to free outer boundaries. Although the cases presented in this paper do not include highly complex constrained boundaries, the computational process for handling complex boundaries does not differ. Even when the complexity of the solution increases due to the consideration of complex boundaries, we can still reduce the training complexity by dividing the overall structure into multiple regions, ensuring successful mesh generation.
As for the training process, in three-dimensional hyperbolic mesh generation, the number of governing equations involved becomes greater compared to the 2D case. Moreover, the number of boundaries also becomes greater. Consequently, the loss function includes more terms. As described in Section 2, the loss function for three-dimensional surface mesh generation consists of six terms, while the three-dimensional solid model includes seven terms. For the neural network, this essentially represents a highly complex multi-task learning problem, which can reduce the convergence rate of the network. Therefore, during the training process, considering there is no conflict between the different loss terms that constrain the governing equations, we sum these parts into a single loss term. Similarly, all loss terms related to boundary control are aggregated into another loss term. Finally, the two summed terms are combined with the loss on the initial boundary to form a total loss function, and the seven tasks are reduced to three tasks, thereby reducing task complexity and enhancing the convergence of the neural network.
It is worth noting that in the method proposed in this paper, appropriate scaling of the model is necessary. This consideration is based on two factors. Firstly, during each training process of the neural network, the computational domain is fixed within the range of [0.1, 0.9] × [0.1, 0.9] × [0.1, 0.9], and the Jacobian determinant can be regarded as the ratio of the volume of the computational space to the volume of the physical space. If the physical region that needs to be meshed is large, a smaller value of the Jacobian determinant is required. However, if the Jacobian determinant is too small, it may lead to significant round-off errors, making it difficult to achieve the desired constraint on mesh size. On the other hand, a normal Jacobian determinant value would result in a required computational domain that exceeds the fixed computational domain, leading to non-convergence. Secondly, appropriately scaling the model effectively reduces the variation range of the discrete data, thereby enhancing the convergence of the neural network.
Finally, it should be noted that the fully connected neural network currently employed requires a longer training time, sometimes the model will be divided into several regions to complete the generation process; these factors will further reduce the efficiency of mesh generation, making the current method less efficient compared to traditional methods. However, there are ongoing studies that address this issue. Firstly, the automatic differentiation mechanism we currently use for computing derivatives in the neural network is not highly efficient. Researchers such as Peng et al. [40] have improved training speed significantly by converting the automatic differentiation mechanism into a finite difference format. Additionally, a new neural network structure [41], which, unlike traditional neural networks, could fit partial differential equations, uses very few nodes, resulting in a substantial improvement in training speed. This area is also part of our future work, aiming to further enhance mesh generation efficiency and make the method more applicable to engineering practice.

5. Conclusions

Aiming at the issue of insufficient control of the boundaries in the traditional hyperbolic mesh generation process, which limits the applicability of the method in generating meshes for flow field simulation, this paper proposes a method that uses PINNs with output range constraints to solve the governing equations for hyperbolic mesh generation, achieving the neural network-based hyperbolic mesh generation of three-dimensional surface and solid models. The main conclusions are as follows:
  • Adding output range constraints to PINNs can effectively limit the feasible solution space of neural networks, enabling the solution approximation of the governing equations in different models driven solely by the boundary data.
  • The hyperbolic grid generation method based on neural networks can effectively solve the problem of insufficient boundary control existing in traditional methods, and simultaneously generate high-quality mesh. Considering the presented model in this paper, the minimum equiangle skewness and maximum deviation angle are used as mesh quality evaluation metrics. The mesh quality of the terrain surface generated by the proposed method improved by 14.9% and 50.9%, respectively, while the quality of the terrain solid model improved by 59.2% and 52.6%, respectively.
Therefore, this study provides a novel strategy for hyperbolic mesh generation in flow field simulation procedures.

Author Contributions

Conceptualization, H.Y. and W.J.; Methodology, H.Y.; Validation, H.Y.; Writing—original draft preparation, H.Y.; Writing—review and editing, W.J.; Visualization, K.X.; Supervision, W.J.; Funding acquisition, Z.L. All authors have read and agreed to the published version of the manuscript.

Funding

This research was funded by the Grants-in-Aid from the National Natural Science Foundation of China, grant number 11972239; Fundamental Research Funds for the Central Universities, grant number 2023SCU12101; and Sichuan Province Major Science and Technology Special Project, grant number 2022ZDZX0011.

Institutional Review Board Statement

Not applicable.

Informed Consent Statement

Not applicable.

Data Availability Statement

The raw data supporting the conclusions of this article will be made available by the authors on request.

Conflicts of Interest

The authors declare no conflicts of interest.

References

  1. Lu, F.; Qi, L.; Jiang, X.; Liu, G.; Liu, Y.; Chen, B.; Pang, Y.; Hu, X. NNW-GridStar: Interactive structured mesh generation software for aircrafts. Adv. Eng. Softw. 2020, 145, 102803. [Google Scholar] [CrossRef]
  2. Secco, N.R.; Kenway, G.K.; He, P.; Mader, C.; Martins, J.R. Efficient Mesh Generation and Deformation for Aerodynamic Shape Optimization. AIAA J. 2021, 59, 1151–1168. [Google Scholar] [CrossRef]
  3. Cavar, D.; Réthoré, P.-E.; Bechmann, A.; Sørensen, N.N.; Martinez, B.; Zahle, F.; Berg, J.; Kelly, M.C. Comparison of OpenFOAM and EllipSys3D for neutral atmospheric flow over complex terrain. Wind Energy Sci. 2016, 1, 55–70. [Google Scholar] [CrossRef]
  4. Steger, J.L.; Chaussee, D.S. Generation of Body-Fitted Coordinates Using Hyperbolic Partial Differential Equations. SIAM J. Sci. Stat. Comput. 1980, 1, 431–437. [Google Scholar] [CrossRef]
  5. Chan, W. Overset structured hyperbolic grid generation on triangulated surfaces. In Proceedings of the Fluids 2000 Conference and Exhibit, Denver, CO, USA, 19–22 June 2000. AIAA Paper 2000-2245. [Google Scholar]
  6. Jeng, Y.N.; Shu, Y.-L.; Lin, W.-W. Grid Generation for Internal Flow Problems by Methods Using Hyperbolic Equations. Numer. Heat Transf. Part B Fundam. 1995, 27, 43–61. [Google Scholar] [CrossRef]
  7. Steinbrenner, J.; Wyman, N.; Chawner, J. Development and implementation of Gridgen’s hyperbolic PDE and extrusion methods. In Proceedings of the 38th Aerospace Sciences Meeting and Exhibit, Reno, NV, USA, 10–13 January 2000. AIAA 2000-0679. [Google Scholar]
  8. Chan, W.; Buning, P. A hyperbolic surface grid generation scheme and its applications. In Proceedings of the Fluid Dynamics Conference, Colorado Springs, CO, USA, 20–23 June 1994. AIAA Paper 94-2208. [Google Scholar]
  9. Chan, W.M.; Steger, J.L. Enhancements of a three-dimensional hyperbolic grid generation scheme. Appl. Math. Comput. 1992, 51, 181–205. [Google Scholar] [CrossRef]
  10. Dinçgez, U.C. Three Dimensional Hyperbolic Grid Generation. Master’s Thesis, Middle East Technical University, Ankara, Türkiye, 2006. [Google Scholar]
  11. Filippone, A.; Michelsen, J.A. Aerodynamic Drag Prediction of Helicopter Fuselage. J. Aircr. 2001, 38, 326–333. [Google Scholar] [CrossRef]
  12. Lyu, Z.; Kenway, G.K.; Martins, J.R.R.A. RANS-based Aerodynamic Shape Optimization Investigations of the Common Research Model Wing. In Proceedings of the 52nd Aerospace Sciences Meeting, National Harbor, Maryland, 13–17 January 2014. AIAA Paper 2014-0567. [Google Scholar]
  13. Chan, W.; Steger, J. A generalized scheme for three-dimensional hyperbolic grid generation. In Proceedings of the 10th Computational Fluid Dynamics Conference, Honolulu, HI, USA, 24–26 June 1991. AIAA Paper 91-1586. [Google Scholar]
  14. Matsuno, K. High-order upwind method for hyperbolic grid generation. Comput. Fluids 1999, 28, 825–851. [Google Scholar] [CrossRef]
  15. Tai, C.H.; Chiang, D.C.; Su, Y.P. Three-dimensional hyperbolic grid generation with inherent dissipation and Laplacian smoothing. AIAA J. 1996, 34, 1801–1806. [Google Scholar] [CrossRef]
  16. Brakhage, K.-H.; Müller, S. Algebraic–hyperbolic grid generation with precise control of intersection of angles. Int. J. Numer. Methods Fluids 2000, 33, 89–123. [Google Scholar] [CrossRef]
  17. Lal, S.A.; Prasad, B.V.S.S.S.; Sitaram, N. Geometry-Based Hyperbolic Grid Generation for Computational Fluid Dynamics. AIAA J. 2001, 39, 1631–1633. [Google Scholar] [CrossRef]
  18. Gargallo-Peiró, A.; Avila, M.; Owen, H.; Prieto, L.; Folch, A. Mesh generation for atmospheric boundary layer simulation in wind farm design and management. Procedia Eng. 2015, 124, 239–251. [Google Scholar] [CrossRef]
  19. Karman, S.L.; Remotigue, M.G. Optimization-Based Smoothing for Extruded Meshes. In Proceedings of the 54th AIAA Aerospace Sciences Meeting, San Diego, CA, USA, 4–8 January 2016. AIAA-2016-1671, AIAA SciTech 2016. [Google Scholar]
  20. Chan, W.M.; VanDalsem, W.R. Hyperbolic Methods for Surface and Field Grid Generation. In Handbook of Grid Generation; Weatherill, S.T., Ed.; CRC Press: Boca Raton, FL, USA, 1998; pp. 5-1–5-26. [Google Scholar]
  21. Nakamura, S.; Suzuki, M. Noniterative three-dimensional grid generation using a parabolic-hyperbolic hybrid scheme. In Proceedings of the 25th AIAA Aerospace Sciences Meeting, Reno, NV, USA, 14–17 January 1985. AIAA paper, No. 87-0277. [Google Scholar]
  22. Khatoon, S.; Anwar, S.; Hasan, N. An improved hybrid hyperbolic elliptic grid generation method. In Proceedings of the National Conference on Mechanical Engineering-Ideas, Innovations and Initiatives, Koil, India, 2–3 April 2016. [Google Scholar]
  23. Dannenhoffer, J.; Hao, Y. Automatic Generation of Near-Body Structured Grids. In Proceedings of the AIAA Aviation 2019 Forum, Dallas, TX, USA, 17–21 June 2019. AIAA Aviation 2019 Forum. [Google Scholar]
  24. Raissi, M.; Perdikaris, P.; Karniadakis, G.E. Physics-informed neural networks: A deep learning framework for solving forward and inverse problems involving nonlinear partial differential equations. J. Comput. Phys. 2019, 378, 686–707. [Google Scholar] [CrossRef]
  25. Rasht-Behesht, M.; Huber, C.; Shukla, K.; Karniadakis, G.E. Physics-Informed Neural Networks (PINNs) for Wave Propagation and Full Waveform Inversions. J. Geophys. Res. Solid Earth 2022, 127, e2021JB023120. [Google Scholar] [CrossRef]
  26. Sahli Costabal, F.; Pezzuto, S.; Perdikaris, P. Δ-PINNs: Physics-informed neural networks on complex geometries. Eng. Appl. Artif. Intell. 2024, 127, 107324. [Google Scholar] [CrossRef]
  27. Yang, L.; Meng, X.; Karniadakis, G.E. B-PINNs: Bayesian physics-informed neural networks for forward and inverse PDE problems with noisy data. J. Comput. Phys. 2021, 425, 109913. [Google Scholar] [CrossRef]
  28. Cai, S.; Mao, Z.; Wang, Z.; Yin, M.; Karniadakis, G.E. Physics-informed neural networks (PINNs) for fluid mechanics: A review. Acta Mech. Sin. 2021, 37, 1727–1738. [Google Scholar] [CrossRef]
  29. Eivazi, H.; Tahani, M.; Schlatter, P.; Vinuesa, R. Physics-informed neural networks for solving Reynolds-averaged Navier–Stokes equations. Phys. Fluids 2022, 34, 075117. [Google Scholar] [CrossRef]
  30. Xiao, M.-J.; Yu, T.-C.; Zhang, Y.-S.; Yong, H. Physics-informed neural networks for the Reynolds-Averaged Navier–Stokes modeling of Rayleigh–Taylor turbulent mixing. Comput. Fluids 2023, 266, 106025. [Google Scholar] [CrossRef]
  31. Hu, T.; Jin, B.; Zhou, Z. Solving Poisson Problems in Polygonal Domains with Singularity Enriched Physics Informed Neural Networks. SIAM J. Sci. Comput. 2024, 46, C369–C398. [Google Scholar] [CrossRef]
  32. Wu, G.; Wang, F.; Qiu, L.I.N. Physics-informed neural network for solving Hausdorff derivative Poisson equations. Fractals 2023, 31, 2340103. [Google Scholar] [CrossRef]
  33. Zhang, B.; Cai, G.; Weng, H.; Wang, W.; Liu, L.; He, B. Physics-informed neural networks for solving forward and inverse Vlasov–Poisson equation via fully kinetic simulation. Mach. Learn. Sci. Technol. 2023, 4, 045015. [Google Scholar] [CrossRef]
  34. Moseley, B.; Markham, A.; Nissen-Meyer, T. Solving the wave equation with physics-informed deep learning. arXiv 2020, arXiv:200611894. [Google Scholar]
  35. Pu, J.; Peng, W.; Chen, Y. The data-driven localized wave solutions of the derivative nonlinear Schrödinger equation by using improved PINN approach. Wave Motion 2021, 107, 102823. [Google Scholar] [CrossRef]
  36. Chen, X.; Li, T.; Wan, Q.; He, X.; Gong, C.; Pang, Y.; Liu, J. MGNet: A novel differential mesh generation method based on unsupervised neural networks. Eng. Comput. 2022, 38, 4409–4421. [Google Scholar] [CrossRef]
  37. Chen, X.; Liu, J.; Yan, J.; Wang, Z.; Gong, C. An improved structured mesh generation method based on physics-informed neural networks. arXiv 2022, arXiv:221009546. [Google Scholar]
  38. Liu, K.; Luo, K.; Cheng, Y.; Liu, A.; Li, H.; Fan, J.; Balachandar, S. Parameterized physics-informed neural networks (P-PINNs) solution of uniform flow over an arbitrarily spinning spherical particle. Int. J. Multiph. Flow 2024, 180, 104937. [Google Scholar] [CrossRef]
  39. Usama, M.; Ma, R.; Hart, J.; Wojcik, M. Physics-Informed Neural Networks (PINNs)-Based Traffic State Estimation: An Application to Traffic Network. Algorithms 2022, 15, 447. [Google Scholar] [CrossRef]
  40. Peng, J.; Chen, X.; Liu, J. 3DMeshNet: A Three-Dimensional Differential Neural Network for Structured Mesh Generation. arXiv 2024, arXiv:2407.01560. [Google Scholar]
  41. Liu, Z.; Wang, Y.; Vaidya, S.; Ruehle, F.; Halverson, J.; Soljačić, M.; Hou, T.Y.; Tegmark, M. Kan: Kolmogorov-arnold networks. arXiv 2024, arXiv:240419756. [Google Scholar]
Figure 1. Mapping relationship diagram of three-dimensional surface and three-dimensional solid: (a) physical domain of three-dimensional surface; (b) computational domain of three-dimensional surface; (c) physical domain of three-dimensional solid; (d) computational domain of three-dimensional solid.
Figure 1. Mapping relationship diagram of three-dimensional surface and three-dimensional solid: (a) physical domain of three-dimensional surface; (b) computational domain of three-dimensional surface; (c) physical domain of three-dimensional solid; (d) computational domain of three-dimensional solid.
Applsci 14 11931 g001
Figure 2. The process of sample points on the model and construct the loss function: (a) three-dimensional surface; (b) three-dimensional solid.
Figure 2. The process of sample points on the model and construct the loss function: (a) three-dimensional surface; (b) three-dimensional solid.
Applsci 14 11931 g002
Figure 3. Hyperbolic mesh generation of three-dimensional surface: (a) intermediate mesh results without outer boundary constraint; (b) final mesh results with outer boundary constraint.
Figure 3. Hyperbolic mesh generation of three-dimensional surface: (a) intermediate mesh results without outer boundary constraint; (b) final mesh results with outer boundary constraint.
Applsci 14 11931 g003
Figure 4. Comparison of mesh quality generated by different methods. (a) Neural network; (b) linear interpolation; (c) projection.
Figure 4. Comparison of mesh quality generated by different methods. (a) Neural network; (b) linear interpolation; (c) projection.
Applsci 14 11931 g004
Figure 5. The extreme value of orthogonality, skewness, and smoothness concerning the mesh generated by different methods.
Figure 5. The extreme value of orthogonality, skewness, and smoothness concerning the mesh generated by different methods.
Applsci 14 11931 g005
Figure 6. Histogram of the mesh quality distribution of the terrain surface generated by different methods.
Figure 6. Histogram of the mesh quality distribution of the terrain surface generated by different methods.
Applsci 14 11931 g006
Figure 7. Mesh results of the surface with a central protrusion: (a) diagonal skewness one of the mesh; (b) diagonal skewness two of the mesh; (c) orthogonality distribution of the outer surface; (d) orthogonality distribution of the initial surface; (e) skewness distribution of the outer surface; (f) skewness distribution of the initial surface.
Figure 7. Mesh results of the surface with a central protrusion: (a) diagonal skewness one of the mesh; (b) diagonal skewness two of the mesh; (c) orthogonality distribution of the outer surface; (d) orthogonality distribution of the initial surface; (e) skewness distribution of the outer surface; (f) skewness distribution of the initial surface.
Applsci 14 11931 g007
Figure 8. Mesh results of terrain: (a) volume diagonal skewness one; (b) volume diagonal skewness two; (c) orthogonality of the outer surface; (d) orthogonality of the terrain surface; (e) skewness of the outer surface; (f) skewness of the terrain surface.
Figure 8. Mesh results of terrain: (a) volume diagonal skewness one; (b) volume diagonal skewness two; (c) orthogonality of the outer surface; (d) orthogonality of the terrain surface; (e) skewness of the outer surface; (f) skewness of the terrain surface.
Applsci 14 11931 g008
Figure 9. Quantitatively compare the extreme values of diagonal skewness and smoothness for the meshes generated by different methods.
Figure 9. Quantitatively compare the extreme values of diagonal skewness and smoothness for the meshes generated by different methods.
Applsci 14 11931 g009
Figure 10. Histogram of the mesh quality distribution of the terrain solids generated by different methods.
Figure 10. Histogram of the mesh quality distribution of the terrain solids generated by different methods.
Applsci 14 11931 g010
Table 1. Extreme and average values of equiangular skewness and deviation angle for different methods.
Table 1. Extreme and average values of equiangular skewness and deviation angle for different methods.
MethodEquiangular SkewnessDeviation Angle
MinMaxAverageMinMaxAverage
Neural-based0.8890.9990.9800.0369.9711.762
Interpolation0.8240.9990.9850.00015.8501.395
Projection0.7740.9990.9840.00220.3061.457
Table 2. Extreme and average values of equiangle skewness and deviation angle for different methods concerning the terrain solids mesh.
Table 2. Extreme and average values of equiangle skewness and deviation angle for different methods concerning the terrain solids mesh.
MethodEquiangular SkewnessDeviation Angle
MinMaxAverageMinMaxAverage
Neural-based0.6770.9980.9180.21229.0927.376
Traditional0.4190.9950.9160.47752.3357.574
Disclaimer/Publisher’s Note: The statements, opinions and data contained in all publications are solely those of the individual author(s) and contributor(s) and not of MDPI and/or the editor(s). MDPI and/or the editor(s) disclaim responsibility for any injury to people or property resulting from any ideas, methods, instructions or products referred to in the content.

Share and Cite

MDPI and ACS Style

Yue, H.; Li, Z.; Xu, K.; Jiang, W. Three-Dimensional Hyperbolic Mesh Generation Method Based on the Neural Network. Appl. Sci. 2024, 14, 11931. https://doi.org/10.3390/app142411931

AMA Style

Yue H, Li Z, Xu K, Jiang W. Three-Dimensional Hyperbolic Mesh Generation Method Based on the Neural Network. Applied Sciences. 2024; 14(24):11931. https://doi.org/10.3390/app142411931

Chicago/Turabian Style

Yue, Huaijun, Zhongyou Li, Kairen Xu, and Wentao Jiang. 2024. "Three-Dimensional Hyperbolic Mesh Generation Method Based on the Neural Network" Applied Sciences 14, no. 24: 11931. https://doi.org/10.3390/app142411931

APA Style

Yue, H., Li, Z., Xu, K., & Jiang, W. (2024). Three-Dimensional Hyperbolic Mesh Generation Method Based on the Neural Network. Applied Sciences, 14(24), 11931. https://doi.org/10.3390/app142411931

Note that from the first issue of 2016, this journal uses article numbers instead of page numbers. See further details here.

Article Metrics

Back to TopTop