Thermomechanical Behavior of Parallel Multi-U-Shaped Energy Piles Under the Summer Condition
Abstract
1. Introduction
2. Overview of the Field Testing of the Parallel Multi-U Energy Pile
2.1. Project Overview
2.2. Program of the Thermal Mechanical Response Test
3. Numerical Simulation of the Thermal Response of the Parallel Multi-U Energy Pile
3.1. Hypothetical Condition of Numerical Simulation
- (1)
- The energy pile body is a homogeneous, isotropic, and incompressible concrete material.
- (2)
- The energy pile and the soil layer around the pile are considered to be linearly elastic materials.
- (3)
- The effect of heat migration phenomena from groundwater seepage on the thermodynamic properties of energy piles is neglected.
- (4)
- The initial temperature of the pile and soil is constant and the far soil boundary is thermally insulated.
- (5)
- Quasi-static conditions are used for the solid mechanics module and inertial effects are neglected [9].
3.2. Physical Equation of Numerical Simulation
3.3. Modeling of the Parallel 5U Energy Pile
4. Experimental Results and Numerical Validation of the Parallel Multi-U-Shaped Energy Pile
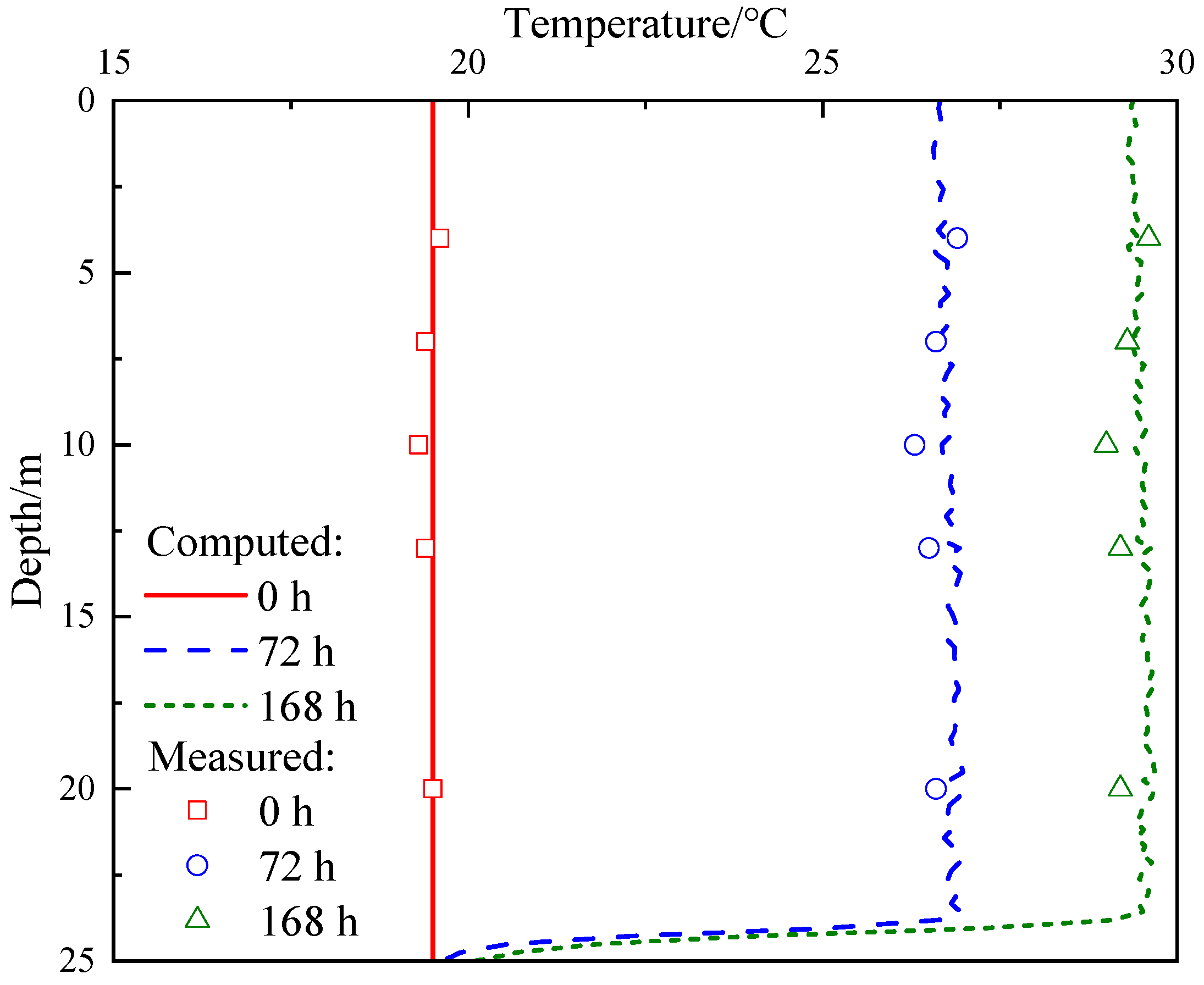
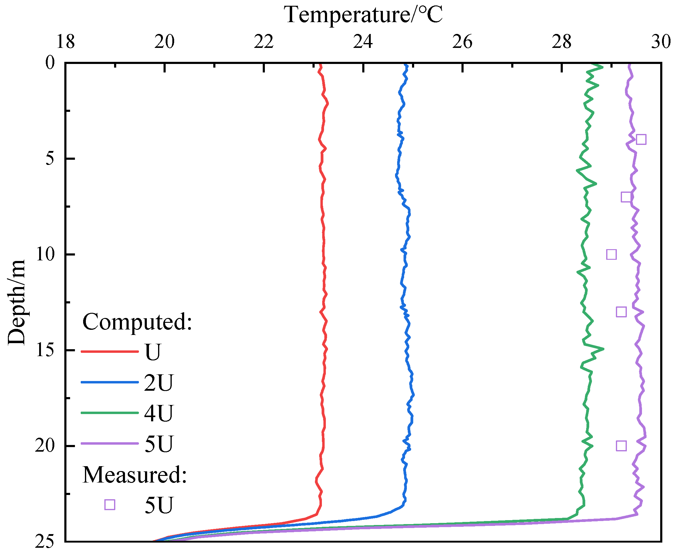
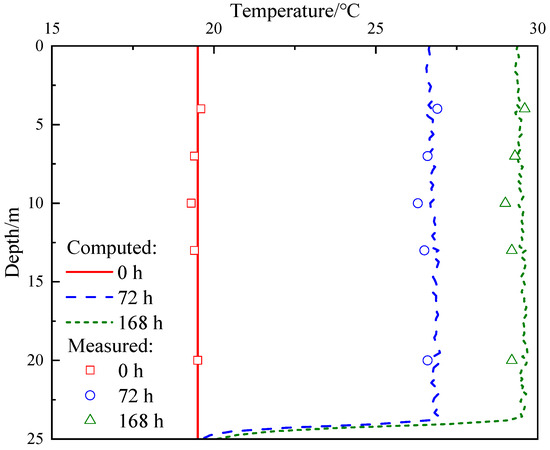
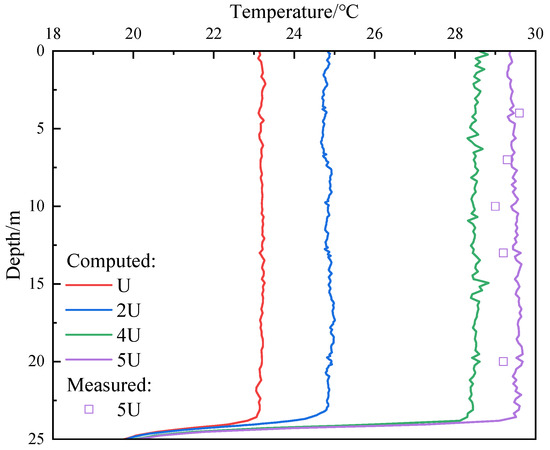
4.1. Temperature Response of the Parallel Multi-U-Shaped Energy Pile
4.2. Thermomechanical Behavior of the Parallel Multi-U-Shaped Energy Pile
4.2.1. Analysis of the Energy Pile Stress-Strain
4.2.2. Analysis of the Energy Pile Side Friction Resistance
4.3. Analysis of the Parallel Multi-U-Shaped Energy Pile Top Displacement
5. Conclusions
- 1.
- Under the condition of constant power heating for 168 h, the pile temperature increased from 19.5 °C to 29.5 °C, and the pile temperature was relatively uniformly distributed along the depth direction when the heat exchanger tubes were symmetrically distributed in 5U. By using numerical simulation to compare four different various embedded pipe types of energy piles, it is discovered that the pile temperature rises with the increase in the number of thermal pipes. However, the effect on the temperature rise decreases with the increase in the number of thermal pipes. Moreover, there is thermal interference between the heat exchanger tubes, and suitable spacing should be maintained to minimize their mutual influence.
- 2.
- Under these test conditions, the measured stresses during the energy pile’s operation exhibit the change rule of two large ends and a tiny middle because of the constraints of the surrounding soil and the pile itself. After 168 h, the energy pile’s maximum constraint stress happens 10 m below the pile body, when the temperature differential is 10.1 °C. Ten meters below the pile body is where the energy pile’s highest constraint stress occurs.
- 3.
- The side friction resistance progressively rises as the temperature of the flowing water rises, according to field experiments and numerical modeling results. Due to concrete’s excellent capacity to store heat, the pile body will experience thermal expansion during summer working conditions. The upper portion of the pile body will typically move upward in relation to the soil body, while the lower portion will likely move downward. A displacement zero point will be created at the center of the pile body, which is situated at a depth of around 10 m, as a result of the difference in the side friction resistance between the upper and lower pile bodies.
- 4.
- Different water inlet temperatures were simulated by numerical simulation. It has been discovered that, at various water input temperatures, the vertical displacement at the pile top increases with the temperature of the flowing water. Additionally, for every 5 °C increase in the inflow water temperature, the displacement at the top of the pile rises by around 0.65 mm.
Author Contributions
Funding
Institutional Review Board Statement
Informed Consent Statement
Data Availability Statement
Conflicts of Interest
References
- Hou, G.; Taherian, H.; Song, Y.; Jiang, W.; Chen, D. A systematic review on optimal analysis of horizontal heat exchangers in ground source heat pump systems. Renew. Sustain. Energy Rev. 2022, 154, 111830. [Google Scholar] [CrossRef]
- Noye, S.; Mulero Martinez, R.; Carnieletto, L.; De Carli, M.; Castelruiz Aguirre, A. A review of advanced ground source heat pump control: Artificial intelligence for autonomous and adaptive control. Renew. Sustain. Energy Rev. 2022, 153, 111685. [Google Scholar] [CrossRef]
- Sani, A.K.; Singh, R.M.; Amis, T.; Cavarretta, I. A review on the performance of geothermal energy pile foundation, its design process and applications. Renew. Sustain. Energy Rev. 2019, 106, 54–78. [Google Scholar] [CrossRef]
- Yan, L.; Hu, P.; Li, C.; Yao, Y.; Xing, L.; Lei, F.; Zhu, N. The performance prediction of ground source heat pump system based on monitoring data and data mining technology. Energy Build. 2016, 127, 1085–1095. [Google Scholar] [CrossRef]
- Jiang, Q.; Jiao, Y.; Luo, J.; Wang, H. Review and prospect on heat transfer and bearing performance of energy piles. Rock Soil Mech. 2019, 40, 3351–3362. [Google Scholar] [CrossRef]
- Faizal, M.; Bouazza, A.; Singh, R.M. An experimental investigation of the influence of intermittent and continuous operating modes on the thermal behaviour of a full scale geothermal energy pile. Geomech. Energy Environ. 2016, 8, 8–29. [Google Scholar] [CrossRef]
- Cunha, R.P.; Bourne-Webb, P.J. A critical review on the current knowledge of geothermal energy piles to sustainably climatize buildings. Renew. Sustain. Energy Rev. 2022, 158, 112072. [Google Scholar] [CrossRef]
- Li, Z.; Liu, F.; Yang, Z.; Zhan, W. Thermo-mechanical behavior analysis of energy piles based on coupled THMmodel. Chin. J. Geotech. Eng. 2023, 45, 2129–2138. [Google Scholar]
- Batini, N.; Rotta Loria, A.F.; Conti, P.; Testi, D.; Grassi, W.; Laloui, L. Energy and geotechnical behaviour of energy piles for different design solutions. Appl. Therm. Eng. 2015, 86, 199–213. [Google Scholar] [CrossRef]
- Gao, J.; Zhang, X.; Liu, J.; Li, K.S.; Yang, J. Thermal performance and ground temperature of vertical pile-foundation heat exchangers: A case study. Appl. Therm. Eng. 2008, 28, 2295–2304. [Google Scholar] [CrossRef]
- Wang, C.; Liu, H.; Kong, G.; NG, C.W.W.; Li, J. Study on stress and displacement of energy pile influenced by pile tip stiffness. Rock Soil Mech. 2018, 39, 4261–4268. [Google Scholar] [CrossRef]
- Wu, D.; Liu, H.; Kong, G.; Rotta Loria, A.F. Thermo-mechanical behavior of a full-scale energy pile equipped with a spiral pipe configuration. Can. Geotech. J. 2021, 58, 1757–1769. [Google Scholar] [CrossRef]
- Chen, Z.; Zhao, S.; Zhang, Z. Heat Transfer Analysis of Energy Piles with Parallel Connected U-Tubes. Eng. Mech. 2013, 30, 4261–4268. [Google Scholar] [CrossRef]
- Mehrizi, A.A.; Porkhial, S.; Bezyan, B.; Lotfizadeh, H. Energy pile foundation simulation for different configurations of ground source heat exchanger. Int. Commun. Heat Mass Transf. 2016, 70, 105–114. [Google Scholar] [CrossRef]
- Park, S.; Lee, S.; Lee, D.; Ahn, D.; Choi, H. Effect of thermal interference on energy piles considering various configurations of heat exchangers. Energy Build. 2019, 199, 381–401. [Google Scholar] [CrossRef]
- Liu, H.; Wang, C.; Kong, G.; Wu, D. Comparative model test on thermomechanical characteristics of energy pile with U-shape, W-shape and spiral-shape. Rock Soil Mech. 2016, 37, 441–447. [Google Scholar] [CrossRef]
- Bourne-Webb, P.J.; Amatya, B.; Soga, K.; Amis, T.; Davidson, C.; Payne, P. Energy pile test at Lambeth College, London: Geotechnical and thermodynamic aspects of pile response to heat cycles. Géotechnique 2009, 59, 237–248. [Google Scholar] [CrossRef]
- Zhou, Y.; Kong, G.; Yang, Q. Field performances of energy pile based on the secondary utilization of sonic logging pipes. Geomech. Energy Environ. 2022, 32, 100280. [Google Scholar] [CrossRef]
- Sadeghi, H.; Singh, R.M. Driven precast concrete geothermal energy piles: Current state of knowledge. Build. Environ. 2023, 228, 109790. [Google Scholar] [CrossRef]
- Yavari, N.; Tang, A.M.; Pereira, J.-M.; Hassen, G. Experimental study on the mechanical behaviour of a heat exchanger pile using physical modelling. Acta Geotech. 2014, 9, 385–398. [Google Scholar] [CrossRef]
- Kong, G.; Wang, C.; Liu, H.; Wu, D.; Che, P. Analysis of pile head displacement of energy pile under repeated temperature cycling. Rock Soil Mech. 2017, 38, 958–964. [Google Scholar]
- Yang, W.; Qiang, Y.; Ju, L.; Wang, F.; Liu, A. Numerical evaluations on the effects of different factors on thermo- mechanical behaviour of an energy pile group. Comput. Geotech. 2023, 162, 105664. [Google Scholar] [CrossRef]
- Yang, W.; Yang, B.; Wang, F.; Jing, N. Numerical evaluations on the effects of thermal properties on the thermo-mechanical behaviour of a phase change concrete energy pile. Energy Built Environ. 2023, 4, 1–12. [Google Scholar] [CrossRef]
- Ravera, E.; Sutman, M.; Laloui, L. Analysis of the interaction factor method for energy pile groups with slab. Comput. Geotech. 2020, 119, 103294. [Google Scholar] [CrossRef]
- Shahidi, S.; Hajialilue-Bonab, M.; Tohidvand, H.R.; Khosravi, A. Experimental investigation on the efficiency of the phase change materials for enhancing the thermal performance of energy piles in sandy soils. Energy Build. 2023, 298, 113544. [Google Scholar] [CrossRef]
- Guo, Y.; Wang, C.; Bouazza, A.; Chang, H.; Kong, G. Thermal performance of a full-scale pre-tensioned high strength concrete (PHC) energy pile. J. Energy Storage 2024, 98, 112840. [Google Scholar] [CrossRef]
- Liu, M.; Zhang, P.; Yang, Z.; Zhu, Z.; Liu, X.; Ma, C. Study on Thermodynamics properties of Spiral Tube-Encapsulated Phase-Change Material Energy Pile. Buildings 2024, 14, 188. [Google Scholar] [CrossRef]
- Bao, X.; Li, Y.; Feng, T.; Cui, H.; Chen, X. Investigation on thermo-mechanical behavior of reinforced concrete energy pile with large cross-section in saturated sandy soil by model experiments. Undergr. Space 2020, 5, 229–241. [Google Scholar] [CrossRef]
- Chen, Z.; Wang, B.; Zheng, L.; Xiao, H.; Wang, J. Research on Heat Exchange Law and Structural Design Optimization of Deep Buried Pipe Energy Piles. Energies 2021, 14, 6449. [Google Scholar] [CrossRef]
- Lou, Y.; Fang, P.; Xie, X.; Zhang, R.; Anthony Chong, C.S.; Wang, Z.; Zhu, D. Experimental study on thermo-mechanical responses of pre-bored grouted planted piles with different restraint conditions. Energy Build. 2022, 268, 112232. [Google Scholar] [CrossRef]
- Kong, G.; Li, R.; Deng, H.; Yang, Q. Behaviours of a belled energy pile under heating-cooling cycles. J. Build. Eng. 2023, 72, 106652. [Google Scholar] [CrossRef]
- Laloui, L.; Nuth, M.; Vulliet, L. Experimental and numerical investigations of the behaviour of a heat exchanger pile. Int. J. Numer. Anal. Methods Geomech. 2006, 30, 763–781. [Google Scholar] [CrossRef]
- Gui, S.; Xiaohui, C. In-situ tests on structural responses of energy piles during heat exchanging process. Chin. J. Geotech. Eng. 2014, 36, 1087–1094. [Google Scholar] [CrossRef]
- Liu, H.; Wang, C.; Kong, G.; Bouazza, A. Ultimate bearing capacity of energy piles in dry and saturated sand. Acta Geotech. 2018, 14, 869–879. [Google Scholar] [CrossRef]
- Guo, Y.; Zhong, X.; Liu, S.; Zhang, G.; Chen, L. Prototype experimental investigation on the thermo-mechanical behaviors of free constrained full-scale PHC energy piles in multi-layer strata. Chin. J. Rock Mech. Eng. 2019, 38, 582–590. [Google Scholar] [CrossRef]
- Huang, X.; Kong, G.; Liu, H.; Charles, W.N. Experimental research on thermomechanical characteristics of PCC energy pile under cyclic temperature field. Rock Soil Mech. 2015, 36, 667–673. [Google Scholar] [CrossRef]
- Yin, Y.; Li, Q.; Qiao, L. Response of energy pile-soil structure and pile group effect: An indoor similarity simulation study. J. Build. Eng. 2022, 51, 104247. [Google Scholar] [CrossRef]
- Kong, G.; Fang, J.; Lv, Z.; Yang, Q. Effects of pile and soil properties on thermally induced mechanical responses of energy piles. Comput. Geotech. 2023, 154, 105176. [Google Scholar] [CrossRef]
- Chen, Z.; Gao, H.; Xiao, H.; Ma, Q.; Que, M. In-situ Thermo-mechanical Response Test of Perfusion Energy Pile under Temperature loading. J. Disaster Prev. Mitig. Eng. 2019, 39, 592–598. [Google Scholar] [CrossRef]
- Kong, G.; Cao, T.; Hao, Y.; Zhou, Y.; Ren, L. Thermomechanical properties of an energy micro pile-raft foundation in silty clay. Undergr. Space 2021, 6, 76–84. [Google Scholar] [CrossRef]
- Nield, D.A.; Bejan, A. Heat Transfer Through a Porous Medium. In Convection in Porous Media; Nield, D.A., Bejan, A., Eds.; Springer International Publishing: Cham, Switzerland, 2017; pp. 37–55. [Google Scholar]
- Gutierrez-Urrutia, I.; Raabe, D. Dislocation and twin substructure evolution during strain hardening of an Fe–22wt.% Mn–0.6wt.% C TWIP steel observed by electron channeling contrast imaging. Acta Mater. 2011, 59, 6449–6462. [Google Scholar] [CrossRef]
- Incropera, F.P.; Witt, D.P.D. Fundamentals of Heat and Mass Transfer, 4th ed.; John Wiley & Sons: Hoboken, NJ, USA, 1996. [Google Scholar]
- Lian, X.; Chen, Z.; Yang, J.; Xiao, H.; Ma, Q.; Tan, J. Investigation of heat exchange efficiency and thermal migration of Deeply Buried Pipe Energy Pile group under the groundwater seepage. Appl. Therm. Eng. 2022, 216, 119093. [Google Scholar] [CrossRef]
- Chen, Z.; Lian, X.; Tan, J.; Xiao, H.; Ma, Q.; Zhuang, Y. Study on heat-exchange efficiency and energy efficiency ratio of a deeply buried pipe energy pile group considering seepage and circulating-medium flow rate. Renew. Energy 2023, 216, 119020. [Google Scholar] [CrossRef]
- Yang, W.; Zhang, L.; Zhang, H.; Wang, F.; Li, X. Numerical investigations of the effects of different factors on the displacement of energy pile under the thermo-mechanical loads. Case Stud. Therm. Eng. 2020, 21, 100711. [Google Scholar] [CrossRef]











| Material | ) | ) | (kg/m3) | ) | ) | ) | ||
|---|---|---|---|---|---|---|---|---|
| Fill | 0–4 | 2.01 | 1800 | 1600 | 1 × 10−6 | 160 | 0.3 | 0.3 |
| Fine sand | 4–7 | 2.01 | 1830 | 1625 | 1 × 10−6 | 170 | 0.3 | 0.3 |
| Clay | 7–10 | 2.01 | 1730 | 1580 | 1 × 10−6 | 190 | 0.3 | 0.3 |
| Gravel | 10–13 | 2.01 | 1850 | 1540 | 1 × 10−6 | 180 | 0.32 | 0.3 |
| Mudstone 1 | 13–20 | 2.01 | 1680 | 1605 | 1 × 10−6 | 250 | 0.3 | 0.3 |
| Mudstone 2 | 20–25 | 2.01 | 1880 | 1555 | 1 × 10−6 | 260 | 0.3 | 0.3 |
| Mudstone 3 | >25 | 2.01 | 2030 | 1595 | 1 × 10−6 | 280 | 0.25 | 0.3 |
| Pile (concrete) | 0–25 | 2.01 | 2500 | 1250 | 1 × 10−5 | 30,000 | 0.2 | |
| Thermal pipe | 0.45 |
Disclaimer/Publisher’s Note: The statements, opinions and data contained in all publications are solely those of the individual author(s) and contributor(s) and not of MDPI and/or the editor(s). MDPI and/or the editor(s) disclaim responsibility for any injury to people or property resulting from any ideas, methods, instructions or products referred to in the content. |
© 2024 by the authors. Licensee MDPI, Basel, Switzerland. This article is an open access article distributed under the terms and conditions of the Creative Commons Attribution (CC BY) license (https://creativecommons.org/licenses/by/4.0/).
Share and Cite
Yang, J.; Yuan, J.; Zhao, L.; Chen, Z.; Wang, F. Thermomechanical Behavior of Parallel Multi-U-Shaped Energy Piles Under the Summer Condition. Appl. Sci. 2024, 14, 11907. https://doi.org/10.3390/app142411907
Yang J, Yuan J, Zhao L, Chen Z, Wang F. Thermomechanical Behavior of Parallel Multi-U-Shaped Energy Piles Under the Summer Condition. Applied Sciences. 2024; 14(24):11907. https://doi.org/10.3390/app142411907
Chicago/Turabian StyleYang, Junbing, Jianghuai Yuan, Liang Zhao, Zhi Chen, and Fusong Wang. 2024. "Thermomechanical Behavior of Parallel Multi-U-Shaped Energy Piles Under the Summer Condition" Applied Sciences 14, no. 24: 11907. https://doi.org/10.3390/app142411907
APA StyleYang, J., Yuan, J., Zhao, L., Chen, Z., & Wang, F. (2024). Thermomechanical Behavior of Parallel Multi-U-Shaped Energy Piles Under the Summer Condition. Applied Sciences, 14(24), 11907. https://doi.org/10.3390/app142411907

