Abstract
As the penetration of distributed renewable energy increases, the phenomenon of bidirectional power flow in distribution networks becomes increasingly severe. Traditional regulation devices like OLTC (on-load tap changer) and CB (capacitor bank) cannot effectively mitigate reverse power flow in distribution networks due to their limitations. The transmission capacity of the distribution network under reverse power flow is approximately 50% of the rated capacity of the OLTC, leading to issues such as voltage limit violations and high wind and solar curtailment rates. This paper proposes a method for calculating the reverse power flow delivery capacity of distribution networks, quantitatively describing the distribution network’s delivery limits for reverse power flow. Based on this, a joint optimization model for multiple distribution networks with an SOP is established. The SOP is utilized to share reverse power flow delivery capacity among multiple distribution networks, enhancing operational economy and increasing the accommodation of the DG. Finally, the method’s effectiveness and correctness are verified in the IEEE 33-node system. The results validate that while joint operation does not enhance the reverse flow transmission capacity of a single distribution network, it can, through the shared reverse flow transmission capacity approach, elevate the reverse flow transmission capacity to approximately 70% during the majority of time periods.
1. Introduction
In recent years, as environmental issues such as global warming become increasingly severe, the distributed generation (DG) of distributed renewable energy sources has rapidly developed [,,]. The distribution network, as the main carrier of the DG, has seen a continuous increase in the penetration rate of the DG within it []. This has highlighted the issue of bidirectional power flow [] in distribution networks, which can, in severe cases, lead to over-voltage problems []. When confronted with significant reverse power flows, traditional regulatory equipment like on-load tap changer (OLTC) and capacitor bank (CB) exhibit slow regulation speeds, an inability to output continuously, and limited operational ranges [,,,,,]. Consequently, the distribution network’s capacity to handle reverse power flow is insufficient, leading to voltage limit violations, wind and solar curtailments, and other issues that hinder the further development of the distribution network.
In addressing the aforementioned challenges, flexible distribution devices, exemplified by soft open point (SOP) [], have garnered significant attention in recent years. SOPs, composed of fully controllable power electronic devices, are free from the operation frequency limitations of traditional mechanical switches. They allow rapid and precise control [,] of active and reactive power on connected feeders, making them an excellent choice for addressing supply–demand imbalances in distribution networks, thereby greatly enhancing network operational efficiency [,,]. Considerable research has already been conducted on SOP in distribution network optimization. For instance, the literature [,] explores the working principle of SOPs in network optimization and establishes an optimal scheduling model by coordinating various controllable resources, thus achieving optimal power flow distribution. The literature [] proposes a time-segmented reactive compensation strategy. By joint optimization of an SOP and energy storage systems, targeting minimization of average voltage deviation and network loss, operational efficiency is enhanced. The literature [] develops a two-stage day-ahead and intra-day optimization model incorporating an SOP and other flexible resources, with distributed generation (DG) penetration as the objective function, improving economic efficiency while boosting DG accommodation. The literature [] establishes an active–reactive coordination optimization model for the network, resolving voltage limit issues by regulating reactive compensation devices, photovoltaic inverters, SOPs, and other adjustable equipment. Additionally, several studies, including [], address voltage issues arising from two-way power flow due to increased DG penetration by establishing a bidirectional transformer model to quantify control curves under bidirectional flow and mitigating voltage fluctuations through multi-layer regulation of energy storage devices. However, there is limited research on detailed modeling of reverse power flow transmission capacity in distribution networks and on utilizing SOP flexibility to address challenges of insufficient reverse power flow transmission capability.
Based on the aforementioned issues, this paper’s contributions are as follows:
- (1)
- It analyzes the impact of OLTC parameters, the OLTC’s low-voltage side reactive compensation, and DG installation location on the reverse power flow capacity of distribution networks. A refined model is established, enabling precise calculations of reverse power flow capacity considering these influencing factors.
- (2)
- Addressing the issue of insufficient reverse power flow capacity in distribution networks, a multi-distribution network joint operation optimization model is established based on an SOP. This interconnects multiple distribution networks via an SOP, enhancing the reverse power flow capacity of individual networks, thus improving the overall operational efficiency of the distribution network.
- (3)
- Using the improved IEEE 33-node system, the paper examines the optimization role of an SOP when introduced in various operational scenarios, impacting the reverse power flow capacity and overall operational efficiency of the distribution network.
2. Analysis of Factors Affecting Reverse Power Flow Transmission Capacity in Distribution Networks
Reverse power flow in a distribution network occurs when the output from the DG exceeds the load demand of the distribution network, causing power to flow backward to the upstream grid. The reverse power flow capacity in distribution networks is influenced by the following three factors: The first factor is the parameters of the OLTC connected between the distribution network and the upstream grid, including the rated capacity of the OLTC, the difference in the per unit values of voltage on both sides of the OLTC, as well as the allowable maximum and minimum tap changer ratios. The second factor is the capacity of reactive power compensation that can be deployed on the low-voltage side of the OLTC. The third factor is the electrical distance from the DG to the low-voltage side of the OLTC.
First, the nameplate-rated capacity of the OLTC directly determines the maximum reverse power flow that can be transmitted. Additionally, the magnitude of reverse power flow during transmission is proportional to the difference in the per unit values of voltage on both sides of the OLTC. Therefore, the greater the difference, the larger the reverse power flow capacity. Since the per unit value of the high-voltage side remains constant and is lower than that of the low-voltage side during operation, with increasing transmission capacity, the per unit value of the low-voltage side voltage increases. Consequently, the OLTC’s transformation ratio also increases. When this ratio reaches its upper limit, further increase in reverse power flow capacity is not possible.
Regarding the reactive power compensation capacity on the low-voltage side of the OLTC, to maintain the power factor of the OLTC primary side (low-voltage side during reverse flow) at the required value, as the reverse power flow capacity increases, more reactive compensation capacity is required on the low-voltage side. Once the full compensation capacity is utilized, further increase in reverse power flow capacity is not possible.
Concerning the electrical distance from the DG to the OLTC’s low-voltage side, as the reverse power flow capacity increases, the voltage drop along the line from the DG to OLTC also increases []. When this voltage drop reaches its allowable maximum, further increase in transmission capacity necessarily requires reduced allowable electrical distance between the DG and the OLTC to prevent voltage limit violations [,]. When the electrical distance is reduced to zero, meaning the DG node coincides with the OLTC’s low-voltage side node, any further capacity increase is not possible.
The circuit diagram in Figure 1 shows the equivalent representation of all distributed generation (DG) and loads in the distribution network. Here, denotes the internal impedance of the OLTC, refers to the per unit value of the impedance from the equivalent DG source to the OLTC’s low-voltage side, and represents the impedance from the equivalent DG source to the equivalent load. and are the reactive power compensation on the high-voltage and low-voltage sides of the OLTC, respectively. , , and denote the voltage values at the OLTC’s high-voltage side, low-voltage side, and equivalent DG nodes, respectively. and are the magnitudes of the power flow injected into and flowing out of the OLTC under forward power flow conditions. and represent the apparent power injected into and flowing out of the OLTC during reverse power flow conditions. signifies the transformer turns ratio.
Figure 1.
Equivalent circuit diagram of a distribution network.
2.1. Impact of OLTC Parameters on Reverse Power Flow Transmission Capacity
The OLTC’s rated capacity determines its transmission capacity limit during power flow, regardless of the flow direction. The transmission capacity is proportional to the per unit voltage difference between the OLTC’s high- and low-voltage sides, again irrespective of flow direction. The relationship between the OLTC’s transmission capacity under forward and reverse power flows and the per unit voltage difference across both sides is:
In this context, and represent the per unit values of forward and reverse flow capacities of the OLTC during period . Their values are less than the rated per unit capacity of the OLTC, i.e., less than 1. and are the peer unit values of the high- and low-voltage sides of the OLTC during period . and are the differences in the per unit values of voltages on the high and low sides for forward and reverse flows, respectively. is the per unit internal impedance of the OLTC. The power factor is required on the primary side of the OLTC, while is the power factor angle of the OLTC internal impedance. It can be observed that regardless of the flow direction, the flow capacity of the OLTC increases as the difference in the per unit voltage values between the high- and low-voltage sides increases.
The high- and low-voltage sides can be represented as per unit values:
In this context, and are the nominal voltage values at the high- and low-voltage sides, respectively. , , and denote the per unit tap ratios, maximum tap ratio, and minimum tap ratio for the on-load tap changer (OLTC) at time period t, while refers to the rated tap ratio of the OLTC. Since the OLTC connecting the distribution network and the upper grid is designed to function as a step-down transformer, it follows that . The coefficient represents the ratio between and . Under forward power flows, to ensure the voltage at the end of the distribution feeder does not drop below the lower limit, is generally set to times , resulting in . During reverse power flow, to guarantee , is chosen between to times , making .
By substituting Equations (3) and (4) into (1) and (2), the relationship between the per unit values of forward and reverse power transmission capacity and is obtained as follows:
In expressions (6) and (7), when the forward flow occurs, a smaller results in a larger ; conversely, during reverse flow, a larger results in a larger . This phenomenon arises because the greater the flow transmitted through the OLTC, the larger the difference between the per unit values of the high-voltage and low-voltage side voltages becomes. Assuming always equals 1, as transmission capacity increases, varies more significantly. Given =, where is primarily determined by the operational state of the distribution network, the transmission capacity is thus determined solely by . Additionally, the maximum difference in the per unit values of high-voltage and low-voltage side voltages during forward flow exceeds that during reverse flow, resulting in OLTC transmission capacity being smaller in reverse flow compared to forward flow, as demonstrated below:
The maximum differences in the per unit voltage values for the OLTC’s high- and low-voltage sides during forward and reverse power flow are denoted as and , respectively. When and are set to 1.1 and 0.9, the relationship between forward and reverse power flow transmission capacity and can be observed in Figure 2. The horizontal axis represents the per unit value of the OLTC tap ratio, while the vertical axis represents the per unit value of the OLTC power flow transmission capacity. The blue curve illustrates the variation of with when (as it is generally assumed that the OLTC’s low-voltage side voltage is 1.05 times its rated voltage during operation). The cluster of red curves illustrates the changes in with as gradually increases from bottom to top. Both and must remain greater than zero. In the forward power flow scenario, as decreases, reaches the OLTC’s rated capacity, achieving a value of 1. However, in the reverse power flow scenario, when both and are at their maximum, the maximum value of is approximately 84% of the OLTC’s rated capacity.
Figure 2.
Relationship diagram of the OLTC reverse power transmission capability and the OLTC tap ratio.
2.2. Reactive Power Compensation on the Low-Voltage Side of Oil-Immersed Tap Changers Influences Reverse Power Flow Capacity
During OLTC operation, reactive power compensation must be applied on both sides to maintain power factor. In the presence of forward power flow, the power factor of the upstream grid might not meet the OLTC’s primary requirements. Hence, reactive power is added on the high-voltage (primary) side to adjust the power factor. Also, considering the mismatch between the OLTC’s low-voltage (secondary) side power factor and the distribution network’s power factor, reactive compensation is introduced on the low-voltage side as well. In reverse power flow scenarios, due to the high-power factor derived from DG units, capacitive reactive power is introduced on the low-voltage (primary) side to lower the power factor. Similarly, as the OLTC’s internal reactive losses surpass active losses, capacitive reactive power is added to the high-voltage (secondary) side to maintain the power factor. To facilitate the analysis of changes in active and reactive power, based on Figure 1, this paper employs the tangent value of the power factor angle to describe the aforementioned compensation process. For forward power flow, the tangent values of the power factor angle on both sides of the OLTC can be expressed as follows:
In forward power flow conditions, and are the per unit values of active and reactive power injected from the higher-level grid into the high-voltage side. represents the power factor angle, is the required power factor angle on the primary side of the OLTC, and is the required power factor angle on the low-voltage side of the OLTC. and are the per unit values for reactive compensation capacity on the high- and low-voltage sides. and denote the per unit active and reactive power losses on the OLTC at this time.
Below reverse flow conditions, the tangent of the power factor angle for each node is represented as:
and represent the per unit active and reactive power injected into the distribution network under reverse power flow at the low-voltage side of the OLTC. denotes the power factor angle at this moment, while indicates the required power factor angle at the high-voltage side at this time. and represent the per unit reactive compensation capacity at the high- and low-voltage sides at this time. and represent the active and reactive power losses on the OLTC at this moment.
The relationship between the per unit values of power flow transfer capacity and reactive power compensation at both ends in positive and negative sequences is derived after arranging Equation (9) through (16) according to the aforementioned relationships.
The OLTC reverse power flow limits, and , represent forward and backward power flow scenarios. Both values increase as the reactive power compensation on the high and low sides increases. When the forward power flow reaches the OLTC’s rated capacity (equal to 1), and denote the initial installation capacity on high and low sides. If the reactive power compensation needed for reverse flow exceeds this, the reverse power limit peaks. Equation (18) seeks the maximum , and hence uses . The real distribution network data of , , , , and show the relationship between power flow limits and reactive compensation, as depicted in Figure 3.
Figure 3.
The relationship between OLTC power flow capacity and reactive power compensation.
In the diagram, the vertical axis represents the forward and reverse power flow capacities of the OLTC, while the horizontal axis indicates reactive compensation capacities on both sides of the OLTC, with the red and blue curves representing high-voltage and low-voltage sides, respectively. When equals 1, the x-coordinate values of the red and blue curves denote the initial reactive compensation installed capacities on the high- and low-voltage sides of the OLTC. Under these installed capacities, the maximum reverse power flow capacity that the low-voltage side can compensate is about 33% of the OLTC’s rated capacity, whereas the high-voltage side can compensate up to approximately 95%. This indicates that the reverse power flow capacity is primarily constrained by the reactive compensation capacity on the low-voltage side of the OLTC. Therefore, Equation (18) can be expressed as:
To enhance the reverse power flow capacity, increase the reactive power compensation installation capacity on the low-voltage side. After increasing the installation capacity, the relationship between and can be seen in Figure 4.
Figure 4.
Reverse power flow involves understanding the relationship between reactive power compensation capacity on the low-voltage side.
The graph’s horizontal axis represents the reactive power compensation capacity on the OLTC’s low-voltage side, while the vertical axis indicates the reverse power flow transfer capacity. One can observe that increases with the rise in . The horizontal lines from bottom to top signify the maximum achievable with increasing , reflecting the constraint imposed by in Section 2.1. At this juncture, further escalation of does not enhance . When attains its peak value of 1.05, the corresponding denotes the maximum installable reactive power compensation capacity on the low-voltage side. At this point, both and reach their limits, and approaches the OLTC’s boundary, rendering additional reactive compensation futile.
2.3. The Influence of Electrical Distance from DG to Low-Voltage Side of OLTC on Reverse Power Flow Delivery Capacity
The electrical distance from the DG to the low-voltage side of the OLTC refers to the impedance relationship between these two points. A greater electrical distance implies a larger voltage difference between these points when transmitting power flow, thus reducing the capacity for reverse power flow. The relationship between reverse power flow transmission capacity and the electrical distance from the DG to the low-voltage side of the OLTC can be derived as follows.
The differential refers to the deviation between the voltage of the DG node and the per unit voltage at the low-voltage side of the OLTC. Parameters and denote the resistance and reactance from the DG to the OLTC’s low-voltage side, respectively. The power factor of the impedance correlates to the DG towards the OLTC’s low-voltage side impedance. The coefficient is constant, while represents the per unit equivalent of the DG node voltage. The aim is to ascertain the maximum achievable under the influence of , leading and to be maximized. The maximum is detailed in Equation (21). Substituting Equation (21) into Equation (20) yields the relationship between and , as expressed in the equation. It shows an inverse relationship, illustrated in Figure 5, between and .
Figure 5.
The relationship between electrical distance and the magnitude of reverse flow delivery.
The horizontal axis represents , while the vertical axis denotes . In the plot, a series of inverse proportional curves showcase the variation of with as decreases. As increases, diminishes. Moreover, at a constant , larger values result in smaller . This occurs because the maximum remains constant, hence as increases, the decreases, thereby reducing .
3. Actual Maximum Transfer Capacity of Reverse Power Flow in the Distribution Network
Section 2.1, Section 2.2 and Section 2.3 analyzed the impacts of the OLTC transformation ratio , the reactive power compensation capacity on the low-voltage side of the OLTC , the electrical distance from the DG to the low-voltage side of the OLTC , and the OLTC’s low-voltage side voltage parameter on . Section 2.1 states that increases with larger and , reaching up to approximately 84% of the OLTC’s rated capacity when both are at maximum values. Section 2.2 explains that increasing and to enhance requires reactive support from on the low-voltage side, necessitating additional reactive equipment, which raises cost. However, given sufficient reactive power, achieves the maximum value from Section 2.1. Section 2.3 notes that decreases as rises and points out a contradiction with prior conclusions when is fixed and a smaller results in a larger .
In the above scenario, analyzing from the perspective of the OLTC, an increase in results in a larger . However, when analyzed from the perspective of the line to the low-voltage side of the DG to OLTC, an increase in results in a smaller . Therefore, it is necessary to select an appropriate to maximize after comprehensively considering various influencing factors. The actual maximum reverse power transfer capacity of distribution networks, , can be expressed as:
Equation (23) elucidates that the value of is determined as the minimum under three distinct constraints. Equation (24) indicates that should remain equal across the same time period under three different constraints, as they represent the same power flow. Figure 6 demonstrates the relationship among , , , and when is set to .
Figure 6.
Real power reverse flow transmission capacity distribution map of the distribution network.
The horizontal axis of the graph has its positive direction labeled as , and its negative direction is labeled as . The vertical axis is . On the right side of the vertical axis, inverse proportion curves in different colors represent the variation of with under various conditions. On the left side, a black linear function indicates the relationship of with under different conditions. The colored horizontal lines on both sides of the vertical axis signify the value of when , across different scenarios. When and reactive power compensation is sufficient, without considering constraints, can reach approximately 84% of the OLTC’s rated capacity. However, in practical operation, with limitations considered, is limited to about 50% of the OLTC’s rated capacity. Refer to Figure 1 for an equivalent circuit diagram, taking the high-voltage side node of the OLTC as the balance node. The specific calculation process of is illustrated in Table 1.
Table 1.
The specific computational procedure for .
The specific flowchart is shown in Figure 7. The aforementioned steps calculate the maximum reverse power flow transfer capacity for this distribution network. When the required reverse power flow exceeds this value, the DG output needs reduction. Conversely, if the reverse power flow is less than this value, it can be transferred smoothly. Additionally, the input in Step 2 can be reduced to optimize the operational cost of the distribution network.
Figure 7.
Calculation procedure for maximum transmission capacity of reverse power flow in distribution networks.
4. Joint Operation Optimization Model for Multi-Distribution Networks with SOP Considering Reverse Power Flow
Since the maximum value of in the distribution network is only about 50% of the OLTC’s rated capacity, it limits further development. To address this issue, this paper employs a soft open point (SOP) to flexibly interconnect multiple distribution grids. This enables sharing of backward power transfer capacities among sub-distribution networks and enhances the grid’s capacity to handle reverse flow under high penetration of the DG. Figure 8 illustrates the SOP interconnection schematic, where the SOP interlinks two distribution networks at an equivalent power source node. When the reverse power flow in distribution network 1 exceeds its maximum transferable capacity, the SOP diverts the excess power to distribution network 2, which then transmits it to the upstream grid, thus reducing occurrences of wind and solar energy curtailment.
Figure 8.
The SOP interconnects two distribution networks.
4.1. Fundamental Principles and Mathematical Models of SOP
This paper employs a back-to-back voltage source converter (B2B VSC) to implement the SOP. The number of ports is determined by the count of AC/DC bidirectional converters, which are internally connected through a DC/DC converter. The AC side of the AC/DC converter links to the distribution network feeders, while the DC side connects to the DC/DC converter, enabling interconnection between different feeders. The basic topology is illustrated in the Figure 9.
Figure 9.
The SOP’s basic topological structure.
Under normal operating conditions, the two-end SOP selects a PQ-Vdc control mode, while the three-end SOP employs a PQ-PQ-Vdc Q control mode. This means that one VSC regulates the DC-side voltage, and the other VSCs control the power being transmitted. The operational variables of the SOP include the active and reactive power transmitted by the VSCs, with specific operational constraints as follows [,]:
The set contains the port nodes of the SOP. The terms and represent the active and reactive power injected by port of the SOP at time period t. The terms and are the active power injected by the SOP’s DC/DC converter and the total active power loss at time period t, respectively. The variable denotes the capacity of the AC/DC converter at port of the SOP, and represents the capacity of the SOP’s DC/DC converter. When the SOP transmits a significant amount of power, its internal power loss becomes non-negligible. Given that multiple VSCs are identical in model and symmetrically positioned, the analysis focuses on one , and its equivalent model is illustrated in Figure 10.
Figure 10.
Diagram of VSC AC/DC model, considering impedance.
In the Figure 10, represents the SOP bus’s injected SOP power, while denotes the apparent power injected by the VSC at the converter bus. and correspond to the voltage and phase angle at the SOP bus and VSC bus, respectively. The phase angle difference indicates the phase angle of VSC pulse modulation, determining the magnitude and direction of SOP injected power. and stand for the DC-side current and voltage of the VSC, and represents the equivalent conductance on the VSC’s DC side. and are the equivalent resistance and reactance of the VSC. Specific constraints include:
- DC-side KCL balance constraint:
- AC/DC voltage pulse modulation constraints:
In this context, μ represents the direct current voltage utilization rate, while denotes the modulation index of the pulse signal.
- Alternating current measurement involves balancing constraints of active and reactive power:where and represent the AC filter admittance of the SOP, denoted as .
- Power loss constraint of VSC:
The active power loss of VSC equates to the power injected on the AC side minus the power injected on the DC side. In the context of SOP involvement in distribution network optimization, there are five unknowns in the five constraints stated above. When employing PQ control, the unknowns are: , , , , and . Under QU control, the unknowns are: , , , , and , which can be solved based on optimization results.
4.2. Objective Function
The objective function aims to minimize the sum of the daily comprehensive operating costs of multiple distribution networks after joint operation. The daily comprehensive operating costs include: network loss cost , wind and solar curtailment cost , and device (SOP, CB, OLTC) operation cost , as expressed in the following equation:
In this context, and denote the per unit values of active network losses and curtailed wind and solar resources, respectively, for distribution network m during period t. The coefficients and represent the cost weights for network losses and renewable energy curtailment. and denote the dispatched power from distributed generation and load demand at node i in distribution network m during period t. Costs , , and correspond to the operational actions of the SOP, OLTC, and CB, respectively.
4.3. Constraints
4.3.1. Power Distribution Grid Flow Constraint
To model the distribution network using the branch model [], the power flow constraints of distribution network m can be expressed as:
In the distribution network , and denote the active and reactive power injected at node , respectively, while and represent the active and reactive power flowing out from node . The resistance and reactance on line ij are and , respectively. The active power injection at node i during time period t for the DG, SOP, and load in distribution network m are ,, and , respectively. The reactive power injections at node i during time period t for the DG, SOP, CBs, and load are , , , and , respectively. The node voltage at i is , with and as the minimum and maximum voltage values, respectively. The branch current ij and the maximum allowable current on the line are and , respectively.
4.3.2. Distributed Generation Output Constraint
In which and represent the active power output and maximum active power output at node during time period , respectively. Meanwhile, and denote reactive power output and maximum reactive power output. is the power factor angle of the DG.
4.3.3. Reactive Power Compensation Constraint
In the distribution network , denotes the capacitance at node i for a single capacitor group (and reactor for the high-voltage side). represents the number of engaged CB groups. signifies the maximum switching operations constraint for CB stages within the scheduling period. refers to the maximum number of groups that CB can employ.
4.3.4. OLTC Operating Constraints
In the distribution network , represents the transformation ratio of the OLTC between nodes and during time period t. denotes the original transformation ratio. signifies the tap position of the OLTC during time period t. and are the minimum and maximum tap positions, respectively. constrains the maximum number of tap operations of the OLTC within one scheduling cycle.
4.3.5. SOP Constraints
Equations (26)–(34).
4.3.6. Reverse Power Flow Transmission Capacity Constraint in Distribution Networks
Equations (23) and (24).
4.4. Model Transformation and Solution Process
In the model mentioned above, the variables involve both SOP real and reactive power outputs as continuous variables, and actions of the OLTC and CB components as discrete variables. Essentially, it is a mixed-integer nonlinear programming problem, difficult to solve directly for optimization. This paper employs second-order cone relaxation to transform it into a mixed-integer second-order cone programming model, thus allowing the direct use of the CPLEX commercial solver for resolution. Nonlinear elements such as and in Equations (41)–(46) are replaced by and . However, Equation (42) remains nonlinear, so it is relaxed into the following second-order cone constraints:
Constraints (27) containing quadratic nonlinearity can be transformed into the following rotated second-order cone constraints.
The OLTC-related constraint (53) will transform after introducing :
At this point, one needs to handle the quadratic terms, introducing the binary variable to represent them in the following form.
After substitution, the result is:
At this point, the product remains nonlinear and can be expressed by the variable . Accordingly, Equation (53) can be represented as:
Constraint (45) is expressed as:
For constraints (54) and (55), auxiliary variables and could be introduced, representing the number of tap positions for the OLTC adjusted upwards or downwards, respectively. Thus, constraints (54) and (55) can be expressed as:
Similarly, the constraints regarding CB can also be expressed as:
The objective function’s can be expressed as:
In this context, and denote the set of branches with the OLTC and the set of nodes with CB in distribution network , respectively.
5. Case Study
5.1. Case Study Parameters
This paper uses three improved IEEE 33 distribution networks to conduct a case study analysis on optimization strategies for multi-distribution network joint operation with the SOP under reverse power flow consideration. The topological structures of the three distribution networks are shown in Figure 11. The DG output and load forecast for each distribution network on a certain day are illustrated in Figure 12. It can be seen that in distribution network A, the DG output is high, maintaining reverse power flow throughout the day. In distribution network B, the DG output is moderate, with reverse power flow appearing during early morning and midday. In distribution network C, the DG output is low, with reverse power flow occurring only during the early morning.
Figure 11.
Topology of distribution networks A, B, and C.
Figure 12.
The load and DG output conditions of distribution networks A, B, and C, and (a–c) respectively represent distribution networks A, B, and C.
The OLTC parameters in the three distribution networks are identical, with a rated transformation ratio of 110/11, a rated voltage of 110 kV, a rated capacity of 20 MVA, a rated power factor of 0.85, of 112 kW, of 10.5%, high-voltage side taps of ±1.25% × 8, and a maximum number of actions within a scheduling cycle .
In the reactive power compensation on the low-voltage side, the capacity of a single capacitor , with a total installation group number , and a maximum number of operations per dispatch period .
In the utilized SOP, each VSC has a capacity of 5.0 MVA with a loss coefficient of 0.02. For the distribution networks A, B, and C, nodes connected to the SOP are selected according to the equivalent source method: A.5, B.14, and C.6 respectively. The model was tested on a PC with a 2.2 GHz main frequency and 32 GB of memory, using the MATLAB R2020b simulation platform. Embedded in this platform is the YALMIP mixed-integer optimization toolbox, which calls CPLEX version 12.8 for optimization solving [].
5.2. Case Analysis
To verify that the reverse power flow transmission capacity is insufficient in the DG high-penetration distribution networks, and by operating multiple distribution networks jointly through the SOP, the reverse power flow transmission capacity can be increased to reduce wind and solar curtailment, thus improving the operational efficiency of distribution networks. The following optimization scheme is established:
Scenario 1: Distribution networks A, B, and C operate independently.
Scenario 2: Distribution networks A and B operate jointly through a dual-port SOP.
Scenario 3: Distribution networks A, B, and C operate jointly through a tri-port SOP.
Scenario 1 serves as the original scheme. It examines the distribution network under varying operational characteristics such as the DG output, load demand, and topology. It analyzes the actions of the OLTC and CB, as well as wind and solar curtailment and network losses during independent operation. This serves as a reference for subsequent Scenarios (2 and 3) which involve the combined operation of two distribution networks. However, they differ in operational characteristics to explore optimization effects after interconnection. Scenario 4 involves three distribution networks operating jointly, allowing the exploration of how the number of interconnected distribution networks impacts optimization results. Specifically, it assesses whether more interconnected networks lead to improved optimization outcomes.
5.2.1. Analysis of Optimization Results During Independent Operation of Distribution Networks
The scenario 1 analyzes the scenario where different distribution networks with varying operational characteristics rely solely on the OLTC and CB for optimization during independent operation. Figure 13, Figure 14 and Figure 15 show the results for distribution networks A, B, and C.
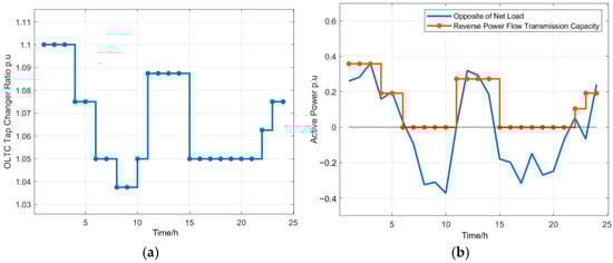
Figure 13.
Scenario 1 presents the operational results of distribution network A: (a) shows the tap position changes of the OLTC; (b) illustrates the relationship between the negative net load and the reverse power flow capacity of the distribution network; (c) indicates the tap position changes of the CB; (d) represents the operational cost of the distribution network. In distribution network A, due to significant wind and solar curtailment, the operational cost curve aligns with the net load curve.

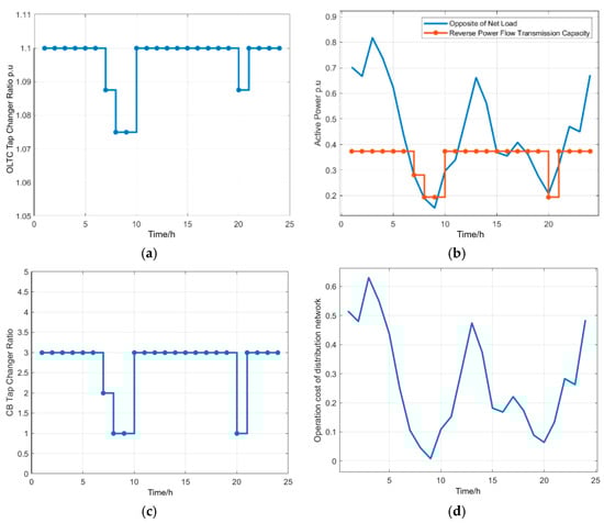
Figure 14.
Scenario 1 presents the operational results of distribution network B, (a) as the operational status of the OLTC, (b) as the curtailment of wind and solar, (c) as the CB action status, and (d) as operational costs. The phenomenon of wind and solar curtailment is less prominent in distribution network B due to smaller reverse power flows. Consequently, operational costs primarily depend on network losses. When reverse power flow is minimal, OLTC tap positions can be lowered. Although this may increase the operation costs of the OLTC and CB, it elevates voltage in subsequent lines, thereby reducing overall active power losses.
Figure 15.
Scenario 1 presents the operational results of distribution network C, (a) as the operational status of the OLTC, (b) as the curtailment of wind and solar, (c) as the CB action status, and (d) as operational costs. In distribution network C, due to the minimal reverse power flow, there is almost no curtailment of wind or solar energy.
Comparing the operation of distribution networks A, B, and C, one can observe distinct DG placements. While network A’s DG lies closest to the OLTC and network B’s DG is further, all three networks show a similar active per unit value of maximal reverse power flow transfer capacity, approximately 0.37. Furthermore, permissible reverse power flow capacity varies directly with the tap changer ratio; a larger ratio increases capacity yet demands more reactive power compensation. Even at maximum tap ratio, reverse flow capacity remains below 50% of the OLTC’s rated capacity, significantly lower than the 80% target set in the design phase.
5.2.2. Optimized Results of the Joint Operation of Distribution Networks A and B
In scenario 2, the situation of distribution network A and B after joint operation by SOP is analyzed. It can be seen in Figure 16 that the operation of distribution network A after joint operation has been improved compared with that after separate operation.
Figure 16.
Joint operation of distribution networks A and B. (a) Depicts the OLTC tap change actions for distribution networks A and B. Compared to Scenario 1, the tap ratio for network A remains unchanged, whereas for network B, the ratio increases during periods 4–5, 12–14, and 22–24, leading to an increased reverse power flow capacity, which can be delivered through the SOP to network A. (b) Illustrates the curtailment of wind and solar power in network A during these periods, showing improvements during segments 4–5, 12–14, and 22–24. (c,d) Show the changes in operational costs for networks A and B. The additional reverse power flow carried by network B results in increased network losses and higher operational costs; however, the improvement in curtailment for network A, when evaluated together with network B, leads to an overall reduction in total operational costs. (e) Output performance of the SOP.
5.2.3. Optimization Results of the Joint Operation of Distribution Networks A, B, and C
In Scenario 3, after the coordinated optimization of distribution networks A, B, and C through the SOP, the results improved significantly. As shown in Figure 17, the curtailment of wind and solar power in distribution network A improved.
Figure 17.
Joint operation of distribution networks A, B, and C. (a) The OLTC tap changes of networks A, B, and C show that taps of networks A and B remain unchanged, while network C increases its taps to transfer the reverse power flow from network A. This decision considers that network B still needs to handle its own reverse power flow, and network C’s has the smallest, allowing more margin for transfer. (b) Depicts the curtailment of wind and solar in network A. After joint operation with networks B and C, there is a significant reduction in curtailment compared to Scenario 1 and 2. (c) Illustrates the SOP output at this time. Notably, during intervals like period 4, although OLTC taps in network B could be further increased to enhance reverse power flow capacity, the SOP has already reached its capacity limit. During intervals such as 1–3, while the SOP still has a margin, networks B and C also need to transfer reverse power flow to the main grid, leaving limited OLTC adjustment space, restricting the mitigation of reverse power flow for network A.
6. Conclusions
This paper investigates the challenges posed by the increasing penetration of distributed generation (DG) in distribution networks, particularly concerning the management of reverse power flow. In Section 2, an analysis is conducted on three factors affecting reverse power flow in distribution networks: the parameters of the on-load tap changer (OLTC), the reactive power compensation capacity installed on both sides of the OLTC, and the electrical distance from the DG to the OLTC. The following conclusions are drawn:
- (1)
- When transmitting reverse power flow, the OLTC, designed as a step-down transformer, is utilized as a step-up transformer. Consequently, even when the tap ratio of the OLTC reaches its limit, the ideal reverse power flow transmitted is only about 80% of its rated capacity. The specific impact of the OLTC tap ratio on the capacity for reverse power flow transmission is detailed in Equations (23) and (24) and Figure 6.
- (2)
- The reactive power compensation capacity on both sides of the OLTC also influences the transmission of reverse power flow. Without additional reactive power compensation, insufficient reactive power capacity on the low-voltage side of the OLTC restricts the transmission of reverse power flow to approximately 30% of the rated capacity. However, by adding extra reactive power compensation on the low-voltage side, the capacity for reverse power flow transmission can be increased to about 80% of the OLTC’s rated capacity, albeit at the cost of additional installation, which raises the operational expenses of the distribution network.
- (3)
- The electrical distance from the DG to the OLTC further limits the capacity for reverse power flow transmission, which can drop to around 30% of the OLTC’s capacity under the most adverse operating conditions.
Section 3 synthesizes the analysis of these three influencing factors and concludes that the impact of the OLTC tap ratio on reverse power flow transmission capacity is contradictory to the effect of the electrical distance from the DG to the OLTC. To address this, a parameter, is introduced to describe the voltage on the low-voltage side of the OLTC. This, combined with the aforementioned factors, leads to a precise method for calculating the capacity for reverse power flow transmission in distribution networks, as outlined in Table 1.
Section 4 establishes a joint operational optimization model for multiple distribution networks that includes an SOP to enhance the reverse power flow transmission capability of individual distribution networks. In the case studies presented in Section 5, the operational results of the distribution networks are analyzed under independent operation, dual network operation, and triple network operation, leading to the following conclusions:
When the distribution network operates independently, the capacity for reverse power flow is relatively poor, leading to significant curtailment of wind and solar energy when distributed generation (DG) output is high. However, interconnecting multiple distribution networks through the SOP can facilitate the sharing of reverse power flow capabilities among different networks, thereby reducing the curtailment of wind and solar energy and enhancing overall operational efficiency. Nonetheless, this approach requires further refinement, as joint operation largely depends on the operational conditions of the various distribution networks. If multiple distribution networks simultaneously need to export reverse power flow, the effectiveness of this method will be constrained. Additionally, the high costs associated with the SOP significantly limit the output capacity for reverse power flow.
Future research should consider the integration of energy storage systems (ESS) to form an E-SOP, which would allow for the storage of electricity during peak DG output periods and enable export during times when the joint system has surplus capacity for reverse power flow. This will be a focal point for the next phase of research.
Author Contributions
Conceptualization, Z.M.; methodology, Z.M. and F.C.; formal analysis, Z.M.; investigation, Z.M.; writing—original draft preparation, Z.M.; writing—review and editing, Z.M. and F.C.; funding acquisition, F.C. All authors have read and agreed to the published version of the manuscript.
Funding
This project is supported by the State Grid Science and Technology Project—Research And Application of Price Mechanism Theoretical Model for “Source-Network-Load-Storage Integration” at Park Level (1400-202457287A-1-1-ZN).
Institutional Review Board Statement
Not applicable.
Data Availability Statement
The original contributions presented in the study are included in the article; further inquiries can be directed to the corresponding authors.
Conflicts of Interest
The authors declare that the research was conducted in the absence of any commercial or financial relationships that could be construed as a potential conflict of interest.
References
- Wu, Z.; Chen, Z.; Wang, C.; Zhou, M.; Wang, J.; Chen, L. Unlocking the potential of rooftop solar panels: An incentive rate structure design. Energy Policy 2024, 190, 114159. [Google Scholar] [CrossRef]
- Chang, X.; Wu, Z.; Wang, J.; Zhang, X.; Zhou, M.; Yu, T.; Wang, Y. The coupling effect of carbon emission trading and tradable green certificates under electricity marketization in China. Renew. Sustain. Energy Rev. 2023, 187, 113750. [Google Scholar] [CrossRef]
- García Vera, Y.E.; Dufo-López, R.; Bernal-Agustín, J.L. Energy Management in Microgrids with Renewable Energy Sources: A Literature Review. Appl. Sci. 2019, 9, 3854. [Google Scholar] [CrossRef]
- Cortés, A.; Mazón, J.; Merino, J. Strategy of management of storage systems integrated with photovoltaic systems for mitigating the impact on LV distribution network. Int. J. Electr. Power Energy Syst. 2018, 103, 470–482. [Google Scholar] [CrossRef]
- Jianqiao, Z.; Jianwen, Z.; Dongmin, X.; Aozhe, Z.; Weipeng, Z.; Xu, C. Terminal voltage overlimit regulation of low-voltage distribution network based on coordinated active and reactive power control of soft open point. Autom. Electr. Power Syst. 2023, 47, 110–122. [Google Scholar]
- Varma, R.K.; Siavashi, E.M. Enhancement of Solar Farm Connectivity With Smart PV Inverter PV-STATCOM. IEEE Trans. Sustain. Energy 2019, 10, 1161–1171. [Google Scholar] [CrossRef]
- Mouli, G.R.C.; Bauer, P.; Wijekoon, T.; Panosyan, A.; Barthlein, E.-M. Design of a Power-Electronic-Assisted OLTC for Grid Voltage Regulation. IEEE Trans. Power Deliv. 2015, 30, 1086–1095. [Google Scholar] [CrossRef]
- Liu, J.; Li, Y.; Rehtanz, C.; Cao, Y.; Qiao, X.; Lin, G.; Song, Y.; Sun, C. An OLTC-inverter coordinated voltage regulation method for distribution network with high penetration of PV generations. Int. J. Electr. Power Energy Syst. 2019, 113, 991–1001. [Google Scholar] [CrossRef]
- Khan, H.A.; Zuhaib, M.; Rihan, M. Voltage fluctuation mitigation with coordinated OLTC and energy storage control in high PV penetrating distribution network. Electr. Power Syst. Res. 2022, 208, 107924. [Google Scholar] [CrossRef]
- Zhang, Z.J.; Zhang, Y.D.; Yue, D.; Dou, C.X.; Ding, L.; Tan, D.Y. Voltage regulation with high penetration of low-carbon energy in distribution networks: A source-grid-load-collaboration-based perspective. IEEE Trans. Ind. Inform. 2022, 18, 3987–3999. [Google Scholar] [CrossRef]
- Cui, J.; Liu, Y.; Qin, H.; Hua, Y.; Zheng, L. A Novel Voltage Regulation Strategy for Distribution Networks by Coordinating Control of OLTC and Air Conditioners. Appl. Sci. 2022, 12, 8104. [Google Scholar] [CrossRef]
- Grigoraș, G.; Neagu, B.-C.; Ivanov, O.; Livadariu, B.; Scarlatache, F. A New SQP Methodology for Coordinated Transformer Tap Control Optimization in Electric Networks Integrating Wind Farms. Appl. Sci. 2022, 12, 1129. [Google Scholar] [CrossRef]
- Jiang, X.; Zhou, Y.; Ming, W.; Yang, P.; Wu, J. An overview of soft open points in electricity distribution networks. IEEE Trans. Smart Grid 2022, 13, 1899–1910. [Google Scholar] [CrossRef]
- Cao, W.; Wu, J.; Jenkins, N.; Wang, C.; Green, T. Operating principle of Soft Open Points for electrical distribution network operation. Appl. Energy 2016, 164, 245–257. [Google Scholar] [CrossRef]
- Ivic, D.; Stefanov, P. Control Strategy for DC Soft Open Points in Large-scale Distribution Networks with Distributed Generators. CSEE J. Power Energy Syst. 2022, 8, 732–742. [Google Scholar]
- Bloemink, J.M.; Green, T.C. Increasing distributed generation penetration using soft normally-open points. In Proceedings of the IEEE PES General Meeting, Minneapolis, MN, USA, 25–29 July 2010; pp. 1–8. [Google Scholar]
- Hou, Q.; Chen, G.; Dai, N.; Zhang, H. Distributionally robust chance-constrained optimization for soft open points operation in active distribution networks. CSEE J. Power Energy Syst. 2022, 1, 1–11. [Google Scholar] [CrossRef]
- Yang, Z.; Min, H.; Yang, F.; Lei, Y.; He, X.; Sun, H.; Tang, X. A Novel Control Strategy for Soft Open Point to Address Terminal Voltage Violations and Load Rate Imbalance in Low-Voltage Power Distribution Station Areas. Sensors 2024, 24, 1976. [Google Scholar] [CrossRef]
- Sarantakos, I.; Peker, M.; Zografou-Barredo, N.M.; Deakin, M.; Patsios, C.; Sayfutdinov, T.; Taylor, P.C.; Greenwood, D. A Robust Mixed-Integer Convex Model for Optimal Scheduling of Integrated Energy Storage-Soft Open Point Devices. IEEE Trans. Smart Grid 2022, 13, 4072–4087. [Google Scholar] [CrossRef]
- Zhu, G.; Zhang, Y.; Ge, L.; Wang, L. Multi-timescale voltage optimization of flexible interconnected distribution network with self-energy storage. Autom. Electr. Power Syst. 2021, 45, 71–79. [Google Scholar]
- Li, J.; Zhang, Y.; Lv, C.; Liu, G.; Ruan, Z.; Zhang, F. Coordinated Planning of Soft Open Points and Energy Storage Systems to Enhance Flexibility of Distribution Networks. Appl. Sci. 2024, 14, 8309. [Google Scholar] [CrossRef]
- Su, Y.; Teh, J. Two-stage optimal dispatching of AC/DC hybrid active distribution systems considering network flexibility. J. Mod. Power Syst. Clean Energy 2023, 11, 52–65. [Google Scholar] [CrossRef]
- Zheng, Y.; Song, Y.; Hill, D.J. A general coordinated voltage regulation method in distribution networks with soft open points. Int. J. Electr. Power Energy Syst. 2020, 116, 105571. [Google Scholar] [CrossRef]
- Huang, X.; Fang, S.; Niu, T.; Chen, G.; Liao, R.; Wang, Z. Coordinated Voltage Regulation Strategy for an Energy Storage Integrated Distribution Network in Bidirectional Power Flow Mode. IEEE Trans. Ind. Appl. 2024, 6, 23–31. [Google Scholar] [CrossRef]
- Stetz, T.; Marten, F.; Braun, M. Improved Low Voltage Grid-Integration of Photovoltaic Systems in Germany. IEEE Trans. Sustain. Energy 2013, 4, 534–542. [Google Scholar] [CrossRef]
- Muttaqi, K.M.; Le, A.D.T.; Negnevitsky, M.; Ledwich, G. A Coordinated Voltage Control Approach for Coordination of OLTC, Voltage Regulator, and DG to Regulate Voltage in a Distribution Feeder. IEEE Trans. Ind. Appl. 2015, 51, 1239–1248. [Google Scholar] [CrossRef]
- Dubravac, M.; Žnidarec, M.; Fekete, K.; Topić, D. Multi-Stage Operation Optimization of PV-Rich Low-Voltage Distribution Networks. Appl. Sci. 2024, 14, 50. [Google Scholar] [CrossRef]
- Ji, H.; Yu, H.; Song, G.; Li, P.; Wang, C.; Wu, J. A decentralized voltage control strategy of soft open points in active distribution networks. Energy Procedia 2019, 159, 412–417. [Google Scholar] [CrossRef]
- Li, P.; Ji, H.; Song, G.; Yao, M.; Wang, C.; Wu, J. A combined central and local voltage control strategy of soft open points in active distribution networks. Energy Procedia 2019, 158, 2524–2529. [Google Scholar] [CrossRef]
- Lofberg, J. Yalmip: A toolbox for modeling and optimization in MATLAB. In Proceedings of the 2004 IEEE International Conference on Robotics and Automation (IEEE Cat. No.04CH37508), Taipei, Taiwan, 2–4 September 2004; pp. 284–289. [Google Scholar]
Disclaimer/Publisher’s Note: The statements, opinions and data contained in all publications are solely those of the individual author(s) and contributor(s) and not of MDPI and/or the editor(s). MDPI and/or the editor(s) disclaim responsibility for any injury to people or property resulting from any ideas, methods, instructions or products referred to in the content. |
© 2024 by the authors. Licensee MDPI, Basel, Switzerland. This article is an open access article distributed under the terms and conditions of the Creative Commons Attribution (CC BY) license (https://creativecommons.org/licenses/by/4.0/).