1. Introduction
Autism spectrum disorder (ASD) is a genetic and epigenetic disorder with environmental and immune triggers, characterized by a range of manifestations. The incidence of ASD in the United States has increased from 1 in 68 children in 2014 to 1 in 36 children, with boys being diagnosed more often than girls at a ratio of 3.9:1 [
1,
2]. Globally, the World Health Organization (WHO) estimates that one percent of children are affected [
3], while Autism Spectrum Australia (ASA) reported a prevalence rate of 1 in 100 in 2014, which rose to 1 in 70 by 2018 [
4].
Studies of high-risk infant siblings indicate that the behavioral features characteristic of autism typically emerge during the later months of the first and second years of life [
5]. An impaired capacity to perform basic activities and interact with others often leads to prejudice and human rights violations [
3].
New technologies in the classification of electroencephalograms (EEGs), such as signal processing and artificial intelligence (AI), have proven to be highly effective in various applications. For instance, seizures, which are a hallmark of epilepsy, are defined as irregular and uncoordinated electrical activities in the brain [
6]. Research on the gender differences in emotional reactions has advanced computational models for emotion-based applications by leveraging linear and non-linear EEG characteristics [
7]. Other studies have focused on developing automatic gender identification models by selecting EEG channels based on emotional signals. EEG classification techniques have also been applied to motor imagery in brain–computer interfaces (BCIs) [
8] and emotional EEG categorizations [
9,
10]. One study examined happiness, anxiety, and sadness through EEG signals recorded from participants watching audio–visual clips [
11].
Dynamic applications have further demonstrated significant potential in EEG-based classifications. For example, movement-related EEG classifications have been explored for enhancing BCI systems. In [
12], researchers used EEG signals to decode the movement intention during a reaching task, analyzing 30 movement types based on direction, distance, and target position. They demonstrated the potential for real-time control in movement-related BCIs, achieving the highest classification accuracy with premovement EEGs for direction and distance. Similarly, ref. [
13] investigated movement intention decoding using EEGs to control BCIs. This study specifically focused on voluntary hand movement directions and low-frequency components (≤6 Hz), achieving a high classification accuracy of 80% using a novel signal processing approach for four movement directions.
Advancements in diagnostic methods, particularly for ASD, have significantly improved in both quality and efficiency. ASD-DiagNet is one such approach, employing functional magnetic resonance imaging (fMRI) data and enhancing the feature and model parameter quality through joint learning with an autoencoder and a single-layer perceptron. Data augmentation using synthetic datasets further strengthens this framework [
14]. Another study utilized a convolutional neural network (CNN) to diagnose ASD in pediatric patients using resting-state fMRI. The CNN model incorporated convolutional, pooling, batch normalization, dropout, and fully connected layers to analyze high-dimensional data effectively [
15]. Additionally, models like AlexNet, VGG16, and ResNet50 have been shown to be efficient in early ASD detection using cepstral coefficient features and fMRI data [
16]. These models provide valuable insights into the functional connectivity and biomarkers of ASD pathology [
17].
Despite these advances, magnetic resonance imaging (MRI) presents several challenges for children: (1) Patients may become agitated and require calming, often through medication, with potential side effects. (2) The confined space of the MRI can cause claustrophobia and anxiety, necessitating sedation or resulting in poor-quality scans. (3) Long scan durations are challenging for children who struggle to remain still, leading to motion artifacts and degraded image quality. (4) The noise generated by MRI machines often frightens children, even with ear protection. (5) The limited availability of MRI facilities can delay diagnosis, particularly in regions without pediatric services. (6) The contrast agents used in MRI can cause complications, especially in children with renal issues. (7) The high cost of MRI scans imposes financial strain on families, particularly when frequent scans are required.
EEGs offer a less invasive, safer, and more cost-effective alternative to MRI for children, including those with autism. However, the current EEG screening methods, which rely on resting-state data, may generate redundant information. Optimizing the EEG analysis could address these limitations and further enhance its diagnostic utility.
Related Works
There is a need to draw attention to the developments in the analysis of EEGs, particularly in relation to ASD. Previous research has employed statistical methods and machine learning (ML) to improve the analysis of EEG features and enhance the accuracy of ASD classification. Below are some of the key contributions in this area:
One study used a statistical analysis and ML to enhance the EEG feature analysis and verify the model predictions, revealing a specific subpopulation of children with ASD based on the phase-locking value (PLV) and the corrected imaginary part of the phase-locking value (ciPLV). The accuracies achieved were 83%, 83%, and 86%, respectively [
18]. Another study utilized EEG data from children with ASD and typically developing (TD) children and applied ML classifiers to distinguish ASD cases from controls based on artifact-free EEG segments. This approach demonstrated 100% predictive accuracy using various ML systems with a training–testing protocol and 84–92.8% accuracy using the leave-one-out protocol [
19].
Further research has focused on preprocessing, segmentation, and time–frequency distribution (TFD) techniques, such as short-time Fourier transformation (STFT), continuous wavelet transformation (CWT), and the smoothed pseudo-Wigner–Ville distribution (SPWVD) [
20]. These techniques generated spectrograms, scalograms, and SPWVD-TFD images, which were integrated into ResNet-101 and DenseNet-121 pre-trained models and fed into a proposed ASD-Net. Deep learning models classified ASD and TD participants based on the TFD images. The SPWVD-TFD combined with the ASD-Net model achieved a mean accuracy of 97.35%. Compared to the benchmark DenseNet-121 and ResNet-101 models, the proposed CNN model with five convolution layers required fewer learnable parameters and demonstrated computational efficiency and speed.
Other ML techniques, including random forest, K-nearest neighbors, and support vector machines (SVMs), have also been used to forecast ASD meltdowns [
21]. In one study, cepstral coefficient features were utilized to evaluate AlexNet, VGG16, and ResNet50 for ASD detection. Spectrograms from cepstral coefficients, combined with a modified AlexNet architecture, achieved 90% accuracy using linear frequency cepstral coefficients (LFCCs). The proposed AlexNet with LFCCs reached 85.1% accuracy, demonstrating the efficiency of specialized networks for accurate ASD categorization.
Another group emphasized the importance of early ASD diagnosis using biological markers [
22]. EEG signals filtered to isolate the Gamma band were used to differentiate between ASD and TD participants based on the power spectral density (PSD) and phase-locked values (PLVs). An ANOVA validated significant differences in these features. In another approach, the researchers developed an efficient ASD diagnostic model using EEG signals [
23]. After noise removal with Gaussian filtering, the statistical and spectral features were extracted and input into a deep residual network (DRN). The model employed chronological sewing training optimization (CSTO) to enhance performance. The CSTO-DRN approach achieved a notable accuracy of 88.6%.
This paper aims to enhance the early identification of ASD in children by improving the accuracy of neurofeedback. The proposed approach involves using an ML classifier based on energy measures from both brain hemispheres, including the maximum, mean, and minimum energy in overlapping time frames, for early ASD classification. This study compares the classification performance of three SVM kernels: the radial basis function (RBF), linear (L), and quadratic (Q). Additionally, it investigates the impact of different overlapping time windows on the ASD data classification by visualizing the outcomes and analyzing the EEG signal variations over time.
2. Materials (Datasets)
This study was a collaborative effort between the University of Baghdad, the Biomedical Engineering Department of Al-Khwarizmi Engineering College, and the Children’s Welfare Teaching Hospital at Medical City, Baghdad, Iraq. It was conducted from 5 March 2021 to 3 February 2024.
The study sample included 52 children: 22 with autism (average age: 4.8 ± 1.5 years) and 30 typically developing (TD) children as controls (average age: 5.9 ± 3.5 years). The control group was recruited from the EEG unit of the pediatric department at the Children’s Welfare Teaching Hospital. EEG signals for all participants were recorded using a Nihon Kohden EEG system (Tsurugashima, Japan) following the 10–20 international electrode system [
24] (see
Figure 1). The system utilized a 19-channel configuration, providing comprehensive brain activity information, and operated at a 500 Hz sampling frequency, ensuring channel resistance < 10 k Ohm.
Figure 1 illustrates the electrodes, which are labeled and organized by hemispheric placement (right hemisphere in blue, left hemisphere in red).
All of the EEG data represented real signals to ensure practical and reliable results. EEG recordings were taken during induced sleep, with both groups receiving specified doses of chloral hydrate [
25]. The average recording duration was 36.5 min. The participants’ statuses were subsequently confirmed using the Gilliam Autism Rating Scale (GARS) [
26], the Childhood Autism Rating Scale (CARS) [
27], medical history, and clinical evaluations conducted by child and adolescent psychiatrists. The psychiatrists used the DSM-5 Text Revision (TR) [
28] criteria for ASD diagnosis at the National Autism Centre.
The participants’ confidentiality and ethical standards were strictly upheld through anonymization. Additionally, the parents provided assurance that none of the participants had a history of epileptic seizures, ensuring the dataset’s integrity and relevance to this study.
3. Methodology
The algorithm under consideration consists of three main components: (1) cleaning the raw EEG data, (2) extracting features, and (3) performing classification.
3.1. Preprocessing Raw Data
The preprocessing stage involved the following steps:
3.1.1. Down-Sampling
The raw EEG data were down-sampled from 500 Hz to 256 Hz to accelerate the processing and reduce the computational complexity.
3.1.2. Unwanted Frequency Removal
Frequencies below 0.5 Hz and above 49 Hz were removed using a zero-phase finite impulse response band-pass filter (FIR-BPF). This step was designed to eliminate baseline 50 Hz noise and low-frequency components. The filter employed a Hamming window design with a heuristic order, and the transition bandwidth was automatically estimated using EEGLAB [
29].
3.1.3. Artifact Rejection and Reconstruction
Filtered signal artifacts were addressed using the artifact subspace reconstruction (ASR) method. This process involved three steps: (1) extracting reference data from the raw EEG signals, (2) determining thresholds to identify artifact components, and (3) rejecting the artifact components while reconstructing the remaining signals [
30]. The ASR method enables the rejection of artifacts while reconstructing the signals based on physiological activity, thereby enhancing the quality and reliability of the subsequent analyses. The rejected portions of the signal are marked in red in
Figure 2, which highlights the artifact segments excluded from the cleaned signals (blue segments).
3.1.4. Amplitude Normalization (AN)
The ASR implementation in EEGLAB was configured with the following parameters, selected experimentally: BurstCriterion of 20, WindowCriterion of 0.25, WindowCriterionTolerances set to [-Inf 7], Euclidean distance for artifact reconstruction, and with FlatlineCriterion, ChannelCriterion, LineNoiseCriterion, and Highpass set to off. These parameters were chosen to balance between preserving valid EEG data and mitigating artifacts. The artifact reconstruction process used the Euclidean distance metric with a conservative threshold to retain physiological activity.
This plays a critical role in enhancing the reliability, interpretability, and efficiency of EEG signal analysis, particularly in neuroscience, clinical applications, and BCI systems [
31,
32].
In this study, the clean EEG data, denoted as
, were processed to find the minimum (min) and maximum (max) values of
. AN was then applied to scaling the signals to the desired range [
to
], which in this case was selected as [−1 to 1]. The normalized signal
was calculated using Equation (1):
This ensured that the normalized signal () ranged between [−1 and 1], effectively centering the signal around zero and removing the DC component. Therefore, this normalization process maintained the relative relationships between the signal features, which were crucial for further analysis and classification.
3.1.5. EEG Band Decomposition
The normalized EEG signal was decomposed into different frequency bands using five zero-phase Chebyshev Type-II band-pass filters (BPFs). Each BPF was designed to extract one of the following EEG frequency bands: Delta (Δ, 0.5–4 Hz), Theta (θ, 4–8 Hz), Alpha (α, 8–13 Hz), Beta (β, 13–28 Hz), and Gamma (Γ, 31–49 Hz).
The sixth-order filter, determined heuristically, provided the optimal balance between the signal attenuation and computational efficiency. For all filters, the stopband attenuation was set to 50 dB to ensure minimal signal distortion. The normalized EEG signal () was divided into EEG sub-bands , , , , and .
Figure 3 illustrates a two-second window of each decomposed EEG band, clearly showing that the Δ band represents the lowest frequency range, while the Γ band corresponds to the highest frequency range. Additionally,
Figure 4 presents the Fast Fourier Transform (FFT) of each decomposed band, demonstrating that the filters effectively separate the bands within their respective frequency ranges.
3.1.6. Divided Brain Hemispheres
The EEG channel on the left and right brain hemispheres were divided into left (red) electrodes (Fp1, F3, C3, P3, O1, F7, T3, T5, Fz, and Pz) and right (blue) electrodes (Fp2, F4, C4, P4, O2, F8, T4, T6, and Cz), as shown in
Figure 1, following the 10–20 electrode placement system. For a given signal
, the signals were further separated into the hemisphere-specific signal
.
3.2. Feature Extraction
This study used a peak envelope analysis [
33], the mean of the envelopes for each brain hemisphere, and a sliding window for energy calculation as a feature extraction method. The following steps were performed for feature extraction:
3.2.1. Peak Envelope for Each Channel
Peak envelope analysis aims to detect and emphasize the signal peaks or maximum amplitudes. For a given signal
, the peak envelope
can be computed using the Hilbert Transform (HT). The peak envelope is expressed mathematically using Equation (2):
with
the HT of a real valued signal
. The HT is defined as the convolution operation (⊗) of the signal
with the filter impulse response
h[
n]. This is mathematically represented by Equation (3):
where h[n − k] is the HT filter impulse response; a 10-tap HT filter was used, which specified the number of samples around each local maximum considered for interpolation.
3.2.2. Mean Envelope for Each Hemisphere
The mean envelope
for each decomposed band and brain hemisphere was calculated by averaging the envelopes across all of the EEG channels in that hemisphere. This can be expressed mathematically by Equation (4):
where
m is the total number of channels in each hemisphere,
is the envelope signal from the
ith sensor at time
n, and
is the average signal in the time domain, as displayed in
Figure 5, which provides an example of an ASD case, where the mean envelope in the θ band for the right hemisphere was calculated from ten individual sensor envelopes.
The mean of the envelopes for each decomposed band and brain hemisphere was subsequently computed, resulting in a single envelope signal per hemisphere.
Figure 6 illustrates the difference between the mean envelopes of the left and right hemispheres, highlighting the variation in the signal characteristics across the two sides of the brain.
3.2.3. Energy Computation
The computed energies were derived using a sliding window approach applied to the mean envelope in each brain hemisphere for each sub-band separately. The envelope signals
were divided into overlapping windows. Let
w represent the window index and
N the window length (set to 2000 samples, approximately equivalent to 7.8 s, selected experimentally). Research suggests that 8 s provides valuable information for certain types of EEG analyses [
32].
Different overlap ratios were tested, ranging from a stride of 1750 samples to a stride of 250 samples by a step of 250 samples, to determine the ratio that yielded the best performance. The windowed signal envelope
is defined by Equation (5):
where
represents the number of overlapping samples. The energy
of the envelope within each window is computed as the sum of the squared envelope values over the window, as shown in Equation (6):
Overlapping windows help maintain the continuity of the EEG signals and ensure that important features between successive windows are not missed. This overlap improves the feature capture and enhances the model’s performance. A slight overlap enables the model to detect patterns that might otherwise be missed with non-overlapping strides. Research has demonstrated that overlapping sliding windows positively impact the classification accuracy [
34,
35,
36,
37]. Without an overlap, each window is independent, potentially missing transitional features [
38].
3.2.4. Energy Features
For each hemisphere and EEG band, the maximum, mean, and minimum energies across all windows are selected as features. These values are calculated as follows:
where
is the total number of energy windows, and
refers to the energy value from the
nth window.
For each decomposed frequency band, two features are extracted—one for each hemisphere. For example, the maximum window features for a given frequency band are expressed as follows:
This approach yields two features per EEG band, effectively capturing the most informative segments of the EEG signals. A classifier with these two-dimensional features can leverage this information to improve the classification accuracy between the ASD and TD groups.
3.3. Classification
For the classification of the extracted features from the EEG signals into the ASD or TD category, this study utilized support vector machine (SVM) supervised machine learning for both linear and non-linear problems. SVMs are widely used in classification tasks, as they define a linear decision boundary in a high-dimensional space where input vectors are transformed non-linearly. Based on the nature of the optimal hyperplane [
39], SVMs can be categorized into three types: linearly separable, linearly non-separable, and non-separable. For non-linear mappings, a kernel function is used to implicitly map the inputs into a higher-dimensional space.
Linear kernel (L): The SVM linear classifier aims to find the optimal hyperplane that separates the data into classes. The SVM linear classifier seeks to find the optimal hyperplane that separates the data into distinct classes. The parameters used in MATLAB 2022b were as follows: Kernel Function = ‘linear’ and Standardize = true. The decision boundary is determined by Equation (8):
where
w is the weight vector perpendicular to the hyperplane,
x is the input feature vector, and
b is the bias term. The classifier minimizes the following objective function, as shown in Equation (9):
Here, λ controls the trade-off between maximizing the margin and minimizing the classification errors, and y represents the label of the data.
Gaussian radial basis function (RBF) kernel: A kernel is commonly used for non-linear mappings. The kernel function,
, is expressed as follows in Equation (10):
where
k is the kernel function, and the weight vector to the hyperplane is defined by Equation (11):
The SVM classifier minimizes the following objective function, shown in Equation (12):
where
λ > 0 represents the trade-off between the size of the margin and its flexibility in classification. The MATLAB parameters were as follows: Kernel Function = ‘rbf’ and Standardize = true.
Quadratic or polynomial kernel (quadratic): A quadratic or polynomial kernel of degree (
d = 2) is used in the SVM to map the original features into a higher-dimensional space. This enables SVM to classify data that are not linearly separable in the original space [
39]. The kernel function is defined in Equation (13):
where
c is a constant used to adjust the influence of the higher-order terms in the polynomial. Typically,
c ≥ 0 and
indicate that this is a quadratic kernel (degree 2).
The MATLAB hyperparameters were as follows: Kernel Function = ‘polynomial’, Polynomial Order = 2, Kernel Scale = ‘auto’, Box Constraint = 1, and Standardize = true.
This expansion ensures that the kernel incorporates not only the dot product of the original features but also squared terms and cross-products, enabling the SVM to capture more complex patterns in the data.
For all of the SVM models, the features were standardized to have zero mean and unit variance. Within the EEG signal classification, the SVM utilized the maximum, mean, and minimum energy computations from each band and brain hemisphere as features. These features were fed into the SVM, which calculated the optimal decision boundary to distinguish ASD from TD cases.
Figure 7 illustrates the workflow of the proposed method, including feature extraction, standardization, and classification using an SVM with different kernels.
4. Results
The experiments were conducted using the MATLAB
®2022b + plugin EEGLAB v2023.1 on a Microsoft Windows 10 Pro (22H2) platform, running on an Intel
® Core
TM i7-7500U CPU @ 2.70–2.90 GHz and a 12 GB RAM computer. The equipment was sourced from ASUS, Taipei, Taiwan. EEGLAB [
29] was utilized to process the EEG data, employing the “Clean Raw Data” plugin for automated artifact rejection. This feature automatically flagged and excluded bad data channels and data segments unsuitable for the analysis.
The process involved step-by-step training of an ML model using raw EEG data. The performance of the proposed model was evaluated using a confusion matrix [
40] for each decomposed EEG band, varying stride ratios, and individual energy windows (max, mean, and min).
To enhance the model’s accuracy and generalization, the ratio of the training set to the testing set is crucial in EEG data classification [
41]. A large training set helps in learning complex patterns, reduces overfitting risks, and improves the parameter estimation. This approach also increases the statistical sensitivity, essential for detecting differences in clinical scenarios. Additionally, it supports strict validation, enhancing the model’s stability and accuracy.
The experiments used 120 epochs with a 70% (36 sample) training set and 30% (16 sample) testing set. The samples were randomly permuted before each epoch. To ensure reliability and validity, 5-fold cross-validation was applied to each epoch. Despite these measures, gender-specific patterns could still influence the outcomes, as females with ASD often exhibit subtler social deficits and differences in neural oscillation. This distribution provided accurate assessments, resulting in robust and dependable outcomes. The accuracy of the k-fold cross-validation was calculated using Equation (14), and an example of the k-fold cross-validation is shown in
Figure 8.
The confidence in the results was increased further by measuring the model’s performance through various metrics, including accuracy, sensitivity, specificity, precision, G-Mean, F1-score, and the Jaccard index. These metrics were calculated using a confusion matrix [
40], as shown in
Table 1, and their corresponding mathematical formulas are provided in Equations (15)–(21).
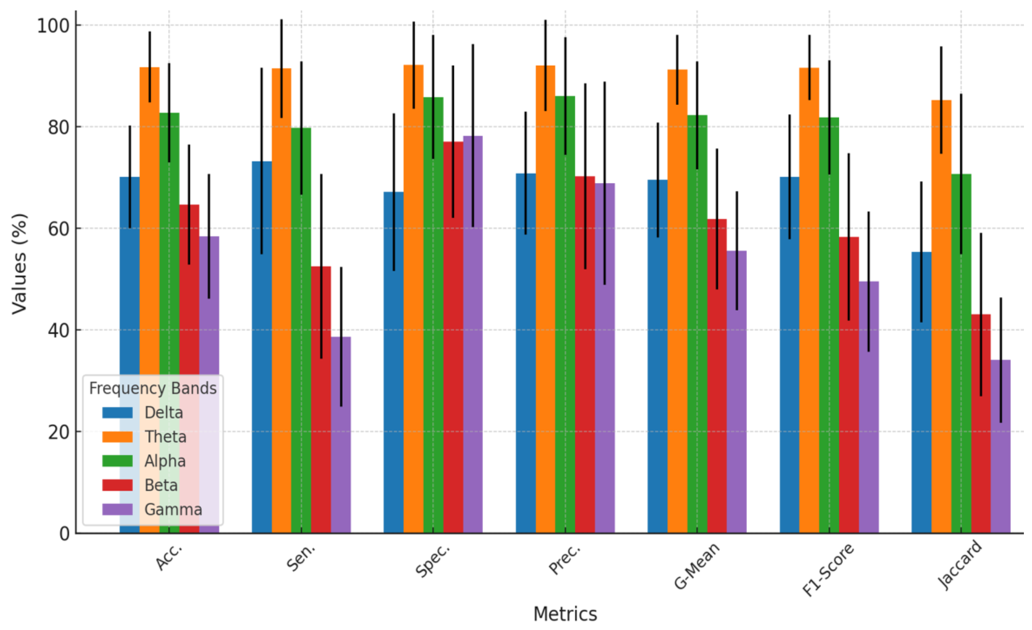
The confusion matrix determined the number of true positive, true negative, false positive, and false negative predictions. Subsequently, the precision achieved using the θ band was compared with that of the other bands (Δ, α, β, and Γ).
Table 2 and
Figure 9 illustrate this comparison.
Where a true positive (TP) is ASD correctly classified; a true negative (TN) is TD correctly classified; a false positive (FP) is TD classified as ASD; and a false negative (FN) is ASD as classified TD.
The analysis in
Table 3 compares the performance of different SVM classifiers (linear, the RBF, and quadratic) across various configurations of energy windows (max, mean, and min) for EEG-based classification. This study evaluates these configurations using five EEG frequency bands (Γ,
β,
α, θ, and Δ) with the overlap ratios varying from 87.5% to 12.5%, corresponding to strides of 250 to 1750 samples:
The theta band’s superiority: The θ band consistently delivers the best classification results, particularly with the SVM-Linear classifier. Using a maximum energy window with a stride of 250 samples (87.5% overlap), the accuracy reaches 91.73% ± 7%, the highest among all of the configurations. This highlights the effectiveness of the θ band for early ASD detection.
Delta band performance: The Δ band demonstrates strong results, particularly with the mean energy windows. For instance, using the SVM-Linear classifier, the Δ band achieves an accuracy of 84.3% ± 8.7% with a mean energy window at a stride of 250 samples. Similarly, with the SVM-Quadratic classifier, the Δ band achieves an accuracy of 85% ± 9.2% under the same conditions. Despite these strong results, the Δ band does not surpass the superior performance of the θ band.
Impact of the overlap and energy window settings: Higher overlap ratios and the maximum energy window generally enhance the classification accuracy, particularly for the θ band, by capturing more details in the EEG signals. The Δ band remains relatively stable across configurations, indicating its robustness and usefulness. However, the θ band consistently delivers the highest accuracy.
Non-linear SVM kernels: Using non-linear kernels such as the RBF and the quadratic kernel improves the classification accuracy across the frequency bands. The Δ band performs reasonably well with the SVM-RBF kernel, achieving up to an 82.7% ± 9.2% accuracy in the mean energy window at a stride of 1000 samples (50% overlap). The Gamma (Γ) band, however, shows a lower overall performance, with its best accuracy of 73.3% ± 10.5% achieved using SVM-Quadratic at a stride of 500 samples (75% overlap) in the minimum energy window.
Optimal configuration for ASD detection: The highest accuracy for early ASD detection is achieved with the θ band, the maximum energy window, a stride of 250 samples, and a window size of 2000 samples (selected experimentally), classified using SVM-Linear. This configuration results in an accuracy of 91.7% ± 7%, a sensitivity of 91.4% ± 9.7%, and a lower standard deviation (SD) compared to the other EEG bands, as shown in
Table 2 and
Figure 9.
Compared to this study, previous EEG-based ASD detection classification studies involved diverse participant groups and employed various classifiers and feature selection techniques. An examination of recent publications, as summarized in
Table 4, reveals that many studies included groups with wide age ranges or showed significant disparities between TD and ASD individuals.
To this end, the θ band is the most accurate in distinguishing between the ASD and TD groups, outperforming the other bands, such as Δ, β, and Γ, which have lower accuracy and sensitivity. While the α band is effective, it does not match the superior performance of the θ band.
5. Discussion
These results demonstrate that the selection of the energy window, stride, and SVM kernel significantly impacts the classification performance. The θ band emerges as the most effective for differentiating between ASD and TD groups, particularly with shorter strides (a greater overlap), suggesting its ability to capture the neural oscillations most closely associated with ASD.
An SVM with a linear kernel outperforms non-linear kernels (the RBF and quadratic kernels) under conditions with small strides and the maximum energy windows. This highlights the effectiveness of the linear kernel in well-defined feature spaces, such as the θ band.
However, non-linear kernels, such as the RBF and quadratic kernels, provide valuable insights across various frequency bands. While the θ band remains the most informative, the Δ band also shows potential, particularly with non-linear kernels. This suggests that more complex decision boundaries are better suited to capturing the EEG patterns associated with ASD.
As shown in
Table 3, comparisons indicate that higher levels of windowing improve the classification performance across all SVM kernels. A greater overlap (smaller strides) enhances the feature extraction, resulting in better ASD detection. Conversely, less overlap (larger strides) significantly decreases the performance across nearly all frequency bands.
When compared to existing studies, our results are competitive. For instance, the current study’s accuracy of 91.7% ± 7% is higher than the accuracy reported in [
23] (88.6%) and comparable to the range reported in [
18] (83–86%). The use of an SVM with energy features, combined with windowing techniques, has proven to be an effective approach to differentiating between ASD and TD.
Our classification performance also surpasses that of previous studies, such as those using statistical and spectral features combined with methods like the CSTO-DRN approach, which reported accuracies ranging from 83% to 86% in [
18]. Furthermore, studies employing fMRI- and CNN-based architectures, such as VGG16 and ResNet50, achieved accuracies between 63.4% and 87% in [
17]. These comparisons highlight the effectiveness of the proposed method, particularly the application of an SVM with energy features, windowing strategies, and high overlap ratios for early ASD detection.
The concept of comparing the two hemispheres of the brain is inspired by findings suggesting that the right hemisphere is more active in psychotherapy [
42]. The right hemisphere is responsible for implicit, nonverbal, intuitive, and integrative processing of affective and social information, offering insights into the neurobiology of relational aspects of psychotherapy. A related study [
43] supports the relational model of psychotherapy, which posits that mutually activated right hemisphere processes between the therapist and client play a key role in facilitating change during therapy.
A primary limitation of this study is the relatively small dataset size, although it remains comparable to other studies in the field. This limitation may affect the generalizability of the findings. A total of 120 epochs were conducted on both the training and testing datasets, with the samples shuffled for each epoch. Additionally, three different SVM kernels were trained using 5-fold cross-validation per epoch to ensure robustness and generalizability. The results were averaged, and the means and SD were calculated to enhance the accuracy. This rigorous approach strengthened the practical relevance and reliability of our findings.
Another limitation involves the use of sedation in a pediatric population. Chloral hydrate, used as a sedative, introduces variables that can confound EEG interpretation. Many sedative agents can alter EEG patterns, potentially affecting signal analysis. For example, sedation may induce low-frequency high-amplitude activity, which can obscure or mimic some EEG characteristics [
44].
6. Conclusions
The limited size of the dataset (52 samples) may pose challenges for training a robust ML model, particularly in medical signal analysis. However, this dataset is comparable to those used in similar research studies. This study identified the best parameters for classifying ASD versus TD groups as the θ band with a maximum energy window, a small stride, and high overlap, achieving an accuracy of 91.7% ± 7% with the SVM-Linear classifier. While the Δ band shows good performance in terms of the mean energy windows, it does not surpass the performance of the θ band.
The highest overlap ratios, combined with the maximum energy window, produced the best outcomes for early ASD detection, particularly when using the θ band, which delivered the highest accuracy and sensitivity in this study. The use of non-linear SVM kernels further enhances the classification performance, and the Δ band also shows promise under certain conditions. However, the θ band remains the most accurate across all decomposed EEG bands. These results indicate that energy features from both the left and right hemispheres of the brain can be used to detect ASD, which holds significant potential for future medical applications.
The main contribution of this study is the development of a novel EEG-based method for diagnosing ASD by analyzing the energy differences between the left and right brain hemispheres. It demonstrates that the θ band, combined with a maximum energy window and high overlap, achieves the highest classification accuracy (91.7%) using a linear SVM. This study underscores the importance of the windowing parameters and kernel selection, offering a reliable and cost-effective approach to early ASD detection. This method also provides a foundation for future advancements using more sophisticated ML techniques.
Future work could involve fine-tuning the stride and overlap parameters, incorporating additional features, or employing advanced methods such as a spectrogram + CNNs or multiple kernel learning or neural-network-based models to improve the classification accuracy and robustness. Such approaches could significantly aid in the early diagnosis of ASD.
Author Contributions
B.S.F.: data curation; software; validation; writing—reviewing and editing; visualization. M.K.S. and A.A.: conceptualization; methodology; supervision. All authors have read and agreed to the published version of the manuscript.
Funding
This study did not receive any external funding.
Institutional Review Board Statement
The study was conducted in accordance with the Declaration of Helsinki and approved by the Institutional Review Board of the University of Baghdad and Cukurova University, in cooperation with Medical City, Baghdad, Iraq (Reference No. MAS. 184 and date of approval: 9 January 2024).
Informed Consent Statement
The hospital, participants, and participants’ families provided official approvals to collect EEGs and incorporate them into the study. The names of the participants will not be disclosed.
Data Availability Statement
The datasets utilized and scrutinized in the current study are available from the corresponding author upon reasonable request.
Acknowledgments
The authors extend their gratitude to the University of Baghdad and Medical City, especially Ali Hussein Ali Al-Husseiny and Noor H. AL-Janabi from the National Autism Center and Children’s Welfare Teaching Hospital in Baghdad, Iraq, who confirmed the diagnoses in pure ASD labeling. Noor H. AL-Janabi, who currently works in the EEG unit, contributed to the electroencephalography recordings, leveraging her expertise as a clinical neurophysiologist. I would like to express my heartfelt gratitude to Sami Arica for his invaluable efforts and dedication in assisting me with dataset collection and methodology development.
Conflicts of Interest
The authors report no conflicts of interest.
References
- Baio, J. Prevalence of autism spectrum disorder among children aged 8 years—Autism and de-velopmental disabilities monitoring network, 11 sites, United States 2010. MMWR Surveill Summ. 2014, 63, 1–21. [Google Scholar]
- Maenner, J.M. Prevalence and characteristics of autism spectrum disorder among children aged 8 years—Autism and Developmental Disabilities Monitoring Network, 11 sites, United States, 2020. MMWR Surveill. Summ. 2023, 72, 1–14. [Google Scholar] [CrossRef] [PubMed]
- World Health Organization. Autism Spectrum Disorders. Available online: https://www.who.int/news-room/fact-sheets/detail/autism-spectrum-disorders (accessed on 9 February 2024).
- Autism Spectrum Australia (ASA). Autism Prevalence Rate Up by an Estimated 40% to 1 in 70 People. Available online: https://www.aspect.org.au/ (accessed on 9 February 2024).
- Ozonoff, S.; Iosif, A.M.; Baguio, F.; Cook, I.C.; Hill, M.M.; Hutman, T.; Young, G.S. A prospective study of the emergence of early behavioral signs of autism. J. Am. Acad. Child Adolesc. Psychiatry 2010, 49, 256–266. [Google Scholar] [PubMed]
- Kbah, S.N.S.; Al-Qazzaz, N.K.; Jaafer, S.H.; Sabir, M.K. Epileptic EEG activity detection for children using entro-py-based biomarkers. Neurosci. Inform. 2022, 2, 100101. [Google Scholar] [CrossRef]
- Al-Qazzaz, N.K.; Sabir, M.K.; Ali, S.H.B.M.; Ahmad, S.A.; Grammer, K. Multichannel optimization with hybrid spectral-entropy markers for gender identification enhancement of emotional-based EEGs. IEEE Access 2021, 9, 107059–107078. [Google Scholar] [CrossRef]
- Ince, N.F.; Arica, S.; Tewfik, A. Classification of single trial motor imagery EEG recordings with subject adapted non-dyadic arbitrary time–frequency tilings. J. Neural Eng. 2006, 3, 235–244. [Google Scholar] [CrossRef] [PubMed]
- Hameed, R.A.; Sabir, M.K.; Fadhel, M.A.; Al-Shamma, O.; Alzubaidi, L. Human emotion classification based on res-piration signal. In Proceedings of the International Conference on Information and Communication Technology, Baghdad, Iraq, 15–16 April 2019; pp. 239–245. [Google Scholar] [CrossRef]
- Al-Qazzaz, N.K.; Sabir, M.K.; Ali, S.H.M.; Ahmad, S.A.; Grammer, K. The Role of Spectral Power Ratio in Characterizing Emotional EEG for Gender Identification. In Proceedings of the 2020 IEEE-EMBS Conference on Biomedical Engineering and Sciences (IECBES), Langkawi Island, Malaysia, 1–3 March 2021; pp. 334–338. [Google Scholar]
- Al-Qazzaz, N.; Sabir, M.; Ali, S.; Ahmad, S.A.; Grammer, K. Electroencephalogram Brain Mapping for revealing the emotional changes over the brain regions using Entropy biomarker. In Proceedings of the Entropy 2021: The Scientific Tool of the 21st Century, Online, 5–7 May 2021. [Google Scholar]
- Kim, H.; Yoshimura, N.; Koike, Y. Characteristics of Kinematic Parameters in Decoding Intended Reaching Movements Using Electroencephalography (EEG). Front. Neurosci. 2019, 13, 1148. [Google Scholar] [CrossRef]
- Robinson, N.; Guan, C.; Vinod, A.P.; Ang, K.K.; Tee, K.P. Multi-class EEG classification of voluntary hand movement directions. J. Neural Eng. 2013, 10, 056018. [Google Scholar] [CrossRef] [PubMed]
- Eslami, T.; Mirjalili, V.; Fong, A.; Laird, A.R.; Saeed, F. ASD-DiagNet: A hybrid learning approach for detection of autism spectrum disorder using fMRI data. Front. Neuroinform. 2019, 13, 70. [Google Scholar] [CrossRef]
- Feng, M.; Xu, J. Detection of ASD Children through Deep-Learning Application of fMRI. Children 2023, 10, 1654. [Google Scholar] [CrossRef]
- Zhang, J.; Feng, F.; Han, T.; Gong, X.; Duan, F. Detection of autism spectrum disorder using fMRI functional connectivity with feature selection and deep learning. Cogn. Comput. 2023, 15, 1106–1117. [Google Scholar] [CrossRef]
- Husna, R.N.S.; Syafeeza, A.R.; Hamid, N.A.; Wong, Y.C.; Raihan, R.A. Functional magnetic resonance imaging for autism spectrum disorder detection using deep learning. J. Teknol. 2021, 83, 45–52. [Google Scholar] [CrossRef]
- Rogala, J.; Żygierewicz, J.; Malinowska, U.; Cygan, H.; Stawicka, E.; Kobus, A.; Vanrumste, B. Enhancing autism spec-trum disorder classification in children through the integration of traditional statistics and classical machine learning techniques in EEG analysis. Sci. Rep. 2023, 13, 21748. [Google Scholar] [CrossRef]
- Grossi, E.; Olivieri, C.; Buscema, M. Diagnosis of autism through EEG processed by advanced computational algo-rithms: A pilot study. Comput. Methods Programs Biomed. 2017, 142, 73–79. [Google Scholar] [CrossRef]
- Lalawat, R.S.; Bajaj, V. An Automatic Framework For Detecting Autism Spectrum Disorder From EEG Signals Using TFD. IEEE Sens. J. 2024. [Google Scholar] [CrossRef]
- Menaka, R.; Karthik, R.; Saranya, S.; Niranjan, M.; Kabilan, S. An improved AlexNet model and cepstral coeffi-cient-based classification of autism using EEG. Clin. EEG Neurosci. 2024, 55, 43–51. [Google Scholar] [CrossRef] [PubMed]
- Sharma, A. Computerised detection of autism spectrum disorder using EEG signals. Int. J. Med. Eng. Inform. 2024, 16, 47–55. [Google Scholar] [CrossRef]
- Singh, J.K.; Kakkar, D. Chronological sewing training optimization enabled deep learning for autism spectrum dis-order using EEG signal. Multimed. Tools Appl. 2024, 83, 74177–74204. [Google Scholar] [CrossRef]
- Limpornpugdee, S.; Thanawirattananit, P.; Yimtae, K.; Chayaopas, N.; Priprem, A.; Soontornpas, C.; Lao-hasiriwong, S. Melatonin Niosome Gel vs. Chloral Hydrate for Sedation in Children Undergoing Auditory Brainstem Response: A Randomized Controlled Trial: Melatonin niosome gel vs. chloral hydrate for pediatric ABR testing. Vajira Med. J. J. Urban Med. 2023, 67, 621–630. [Google Scholar]
- Morley, A.; Hill, L.; Kaditis, A. 10–20 System EEG Placement; European Respiratory Society: Lausanne, Switzerland, 2016. [Google Scholar]
- Gilliam, J.E. Gilliam Autism Rating Scale: Examiner’s Manual; Pro-Ed: Austin, TX, USA, 1995. [Google Scholar]
- Schopler, E.; Reichler, R.J.; DeVellis, R.F.; Daly, K. Toward objective classification of childhood autism: Childhood Autism Rating Scale (CARS). J. Autism Dev. Disord. 1980, 10, 91–103. [Google Scholar] [CrossRef]
- Tanguay, P.E. Autism in DSM-5. Am. J. Psychiatry 2011, 168, 1142–1144. [Google Scholar] [CrossRef] [PubMed]
- Delorme, A.; Makeig, S. EEGLAB: An Open Source Toolbox for Analysis of Single-Trial EEG Dynamics Including Independent Component Analysis. J. Neurosci. Methods 2004, 134, 9–21. [Google Scholar] [CrossRef]
- Chang, C.Y.; Hsu, S.H.; Pion-Tonachini, L.; Jung, T.P. Evaluation of artifact subspace reconstruction for automatic artifact components removal in multi-channel EEG recordings. IEEE Trans. Biomed. Eng. 2019, 67, 1114–1121. [Google Scholar] [CrossRef]
- Halaki, M.; Ginn, K. Normalization of EMG signals: To normalize or not to normalize and what to normalize to. Comput. Intell. Electromyogr. Anal. Perspect. Curr. Appl. Future Chall. 2012, 10, 49957. [Google Scholar]
- Urbach, T.P.; Kutas, M. Interpreting event-related brain potential (ERP) distributions: Implications of baseline potentials and variability with application to amplitude normalization by vector scaling. Biol. Psychol. 2006, 72, 333–343. [Google Scholar] [CrossRef] [PubMed]
- Yang, Y. A signal theoretic approach for envelope analysis of real-valued signals. IEEE Access 2017, 5, 5623–5630. [Google Scholar] [CrossRef]
- Lagopoulos, J. Event-related potentials. Acta Neuropsychiatr. 2007, 19, 256–257. [Google Scholar] [CrossRef]
- Banos, O.; Galvez, J.-M.; Damas, M.; Pomares, H.; Rojas, I. Window Size Impact in Human Activity Recognition. Sensors 2014, 14, 6474–6499. [Google Scholar] [CrossRef]
- Janidarmian, M.; Fekr, A.R.; Radecka, K.; Zilic, Z. A Comprehensive Analysis on Wearable Acceleration Sensors in Human Activity Recognition. Sensors 2017, 17, 529. [Google Scholar] [CrossRef] [PubMed]
- Dehghani, A.; Sarbishei, O.; Glatard, T.; Shihab, E. A Quantitative Comparison of Overlapping and Non-Overlapping Sliding Windows for Human Activity Recognition Using Inertial Sensors. Sensors 2019, 19, 5026. [Google Scholar] [CrossRef]
- Lara, O.D.; Labrador, M.A. A Survey on Human Activity Recognition using Wearable Sensors. IEEE Commun. Surv. Tutor. 2013, 15, 1192–1209. [Google Scholar] [CrossRef]
- Cristianini, N.; Shawe-Taylor, J. An Introduction to Support Vector Machines and Other Kernel-Based Learning Meth-Ods; Cambridge University Press: Cambridge, UK, 2000. [Google Scholar]
- Ting, K.M. Confusion Matrix. In Encyclopedia of Machine Learning and Data Mining; Sammut, C., Webb, G.I., Eds.; Springer: Boston, MA, USA, 2017; p. 206. [Google Scholar] [CrossRef]
- Kamrud, A.; Borghetti, B.; Schubert Kabban, C. The Effects of Individual Differences, Non-Stationarity, and the Importance of Data Partitioning Decisions for Training and Testing of EEG Cross-Participant Models. Sensors 2021, 21, 3225. [Google Scholar] [CrossRef] [PubMed]
- Schore, A.N. The right brain is dominant in psychotherapy. Psychotherapy 2014, 51, 388–397. [Google Scholar] [CrossRef] [PubMed]
- Schore, A.N. The right brain is dominant in psychotherapy. In The Divided Therapist; Routledge: London, UK, 2020; pp. 70–92. [Google Scholar]
- Samra, S.K.; Sneyd, J.R.; A Ross, D.; Henry, T.R. Effects of Propofol Sedation on Seizures and Intracranially Recorded Epileptiform Activity in Patients with Partial Epilepsy. Anesthesiology 1995, 82, 843–851. [Google Scholar] [CrossRef] [PubMed]
Figure 1.
Diagram of the 10–20 international electrode placement system, showing standardized electrode locations on the scalp for EEG recording to ensure accurate and reproducible EEG data collection.
Figure 1.
Diagram of the 10–20 international electrode placement system, showing standardized electrode locations on the scalp for EEG recording to ensure accurate and reproducible EEG data collection.
Figure 2.
The ASR results: red segments show excluded artifacts, while blue segments represent the reconstructed, artifact-free signasl for clean EEG analysis.
Figure 2.
The ASR results: red segments show excluded artifacts, while blue segments represent the reconstructed, artifact-free signasl for clean EEG analysis.
Figure 3.
A two-second window of the decomposed EEG bands (Delta, Theta, Alpha, Beta, and Gamma) extracted using sixth-order Chebyshev Type-II band-pass filters. The Delta band represents the lowest frequency range (0.5–4 Hz), while the Gamma band corresponds to the highest frequency range (31–49 Hz).
Figure 3.
A two-second window of the decomposed EEG bands (Delta, Theta, Alpha, Beta, and Gamma) extracted using sixth-order Chebyshev Type-II band-pass filters. The Delta band represents the lowest frequency range (0.5–4 Hz), while the Gamma band corresponds to the highest frequency range (31–49 Hz).
Figure 4.
FFT representation of each decomposed EEG band (Delta, Theta, Alpha, Beta, and Gamma) in the frequency domain after zero-phase filtering. Each color in each sub-band represents an EEG channel. The sixth-order Chebyshev Type-II band-pass filters, with a stopband attenuation of 50 dB, effectively separate the EEG signal into distinct frequency ranges, ensuring minimal signal distortion and clear isolation of each band.
Figure 4.
FFT representation of each decomposed EEG band (Delta, Theta, Alpha, Beta, and Gamma) in the frequency domain after zero-phase filtering. Each color in each sub-band represents an EEG channel. The sixth-order Chebyshev Type-II band-pass filters, with a stopband attenuation of 50 dB, effectively separate the EEG signal into distinct frequency ranges, ensuring minimal signal distortion and clear isolation of each band.
Figure 5.
Example of a peak envelope: The black dotted lines represent the envelopes of each of the 10 individual channels, while the red line indicates the mean of 10 envelopes from the left hemisphere. Each different color’s signal represents a separate EEG channel.
Figure 5.
Example of a peak envelope: The black dotted lines represent the envelopes of each of the 10 individual channels, while the red line indicates the mean of 10 envelopes from the left hemisphere. Each different color’s signal represents a separate EEG channel.
Figure 6.
Difference between the mean envelopes of the left and right brain hemispheres.
Figure 6.
Difference between the mean envelopes of the left and right brain hemispheres.
Figure 7.
Workflow of EEG-based ASD classification: preprocessing, band decomposition, feature extraction, and SVM-based classification of hemisphere features into ASD or TD.
Figure 7.
Workflow of EEG-based ASD classification: preprocessing, band decomposition, feature extraction, and SVM-based classification of hemisphere features into ASD or TD.
Figure 8.
An example of k-folds in cross-validation (k = 5).
Figure 8.
An example of k-folds in cross-validation (k = 5).
Figure 9.
Classification results for each decomposed EEG band using maximum energy windows with an 87.5% overlap ratio and SVM-Linear, reported as mean% (SD%).
Figure 9.
Classification results for each decomposed EEG band using maximum energy windows with an 87.5% overlap ratio and SVM-Linear, reported as mean% (SD%).
Table 1.
An example of a confusion matrix.
Table 1.
An example of a confusion matrix.
| | | Predicted Class |
|---|
| | | TD | ASD |
|---|
| Actual Class | TD | TN | FP |
| ASD | FN | TP |
Table 2.
Results for each decomposed EEG band using maximum energy windows with an 87.5% overlap ratio and SVM-L, presented as mean% (SD%).
Table 2.
Results for each decomposed EEG band using maximum energy windows with an 87.5% overlap ratio and SVM-L, presented as mean% (SD%).
| | Delta | Theta | Alpha | Beta | Gamma |
|---|
| Acc. | 70.1 (10.1) | 91.7 (7.0) | 82.7 (9.8) | 64.6 (11.8) | 58.4 (12.3) |
| Sen. | 73.2 (18.4) | 91.4 (9.7) | 79.7 (13.1) | 52.5 (18.2) | 38.6 (13.7) |
| Spec. | 67.1 (15.5) | 92.1 (8.6) | 85.8 (12.2) | 77 (15.0) | 78.2 (18.0) |
| Prec. | 70.8 (12.1) | 92 (9) | 86 (11.6) | 70.2 (18.3) | 68.8 (20) |
| G-Mean | 69.5 (11.3) | 91.2 (6.9) | 82.2 (10.6) | 61.8 (13.9) | 55.5 (11.7) |
| F1-Score | 70.1 (12.3) | 91.6 (6.4) | 81.8 (11.3) | 58.3 (16.5) | 49.5 (13.8) |
| Jaccard | 55.3 (13.9) | 85.2 (10.6) | 70.7 (15.8) | 43 (16.1) | 34 (12.3) |
Table 3.
Results of each decomposed EEG band and method.
Table 3.
Results of each decomposed EEG band and method.
| Parameters | Accuracy of SVM-L Mean % (SD%) | Accuracy of SVM-RBF Mean % (SD%) | Accuracy of SVM-Quadratic Mean % (SD%) |
|---|
| Energy Window | Strides | Overlap % | Γ | β | α | θ | Δ | Γ | β | α | θ | Δ | Γ | β | α | θ | Δ |
|---|
| Max. | 250 | 87.5 | 58.4 (12.3) | 64.6 (11.8) | 82.7 (9.8) | 91.7 (7) | 70.1 (10.1) | 51.9 (10.6) | 58.5 (11.2) | 78 (8.4) | 84 (8.2) | 66.6 (9.6) | 46.7 (11.7) | 61.2 (12) | 81.4 (9.4) | 84.2 (10.1) | 63.7 (9.7) |
| 500 | 75 | 47.5 (3.4) | 63.75 (7.6) | 78.9 (11.7) | 90.7 (7.3) | 67.6 (9) | 86.5 (8) | 56 (10.5) | 78.2 (9.9) | 83.9 (8.6) | 65.5 (10.8) | 82 (9.8) | 60.6 (12) | 83 (10.5) | 82.5 (10.2) | 63.5 (9.9) |
| 750 | 62.5 | 57.4 (11.6) | 65.4 (11) | 81.1 (10) | 88.1 (7.6) | 69.7 (10.1) | 48.7 (10.1) | 59.2 (9.9) | 77.7 (9.1) | 86.4 (9.2) | 67.2 (10.1) | 45.3 (11.7) | 62.5 (11.8) | 80.4 (9.7) | 87.1 (5.9) | 64.4 (9.5) |
| 1000 | 50 | 57.3 (7.3) | 65.6 (7.5) | 72.2 (11.5) | 87.9 (9.1) | 66.7 (9.1) | 52.7 (9.7) | 58.4 (10.7) | 78.5 (9.8) | 83.4 (7.9) | 66.6 (9.9) | 48.7 (10.2) | 62.7 (10.9) | 81.6 (10.6) | 82 (10.3) | 60.9 (10.2) |
| 1250 | 37.5 | 58.9 (11.2) | 62.9 (12) | 85.5 (9) | 86.4 (6.9) | 65.2 (10) | 53.5 (9.6) | 57.8 (11.2) | 79.2 (10) | 80 (8.8) | 65.3 (8.9) | 47.8 (11.5) | 62.2 (12.4) | 81.7 (9.1) | 77.5 (10) | 62.9 (9.4) |
| 1500 | 25 | 50.7 (9.9) | 58.2 (10.1) | 79.6 (11.1) | 85.6 (9.6) | 74 (10.7) | 55.9 (11.7) | 64 (11.3) | 83.4 (10.8) | 86.1 (9.8) | 73.6 (9.9) | 44.8 (10.8) | 61.6 (10.9) | 84 (11.3) | 86.2 (9.9) | 69.9 (11.3) |
| 1750 | 12.5 | 57 (6.5) | 61.6 (6.6) | 75 (11.9) | 86.5 (7.3) | 67.9 (9) | 54.4 (9.4) | 56.9 (10.3) | 80.3 (8.9) | 82.5 (9.2) | 62 (11) | 48.4 (10.6) | 61.9 (11.1) | 80.6 (8.8) | 83.4 (9.1) | 64.9 (10.3) |
| Mean | 250 | 87.5 | 56.3 (9.7) | 65 (9.7) | 76.6 (11.1) | 81.7 (8.4) | 84.3 (8.7) | 65.4 (10.1) | 63.5 (8.9) | 66.1 (11.1) | 78.2 (9.9) | 81.8 (9.5) | 57 (9.7) | 60 (9.1) | 75.8 (12.7) | 78.8 (9.9) | 85 (9.2) |
| 500 | 75 | 54.9 (12.4) | 62.5 (10.5) | 77.6 (11.3) | 80.6 (9.1) | 82.6 (9.5) | 66.1 (10.8) | 61 (9.9) | 66.8 (10.6) | 78 (10.3) | 81.6 (9.2) | 55.9 (10.8) | 60.5 (9.1) | 77.2 (11.7) | 80.8 (9.1) | 84.8 (10.5) |
| 750 | 62.5 | 54.4 (11.1) | 62.1 (10) | 75.4 (12.4) | 82 (7.8) | 83.5 (4.7) | 65 (10.7) | 63.4 (10.6) | 64.1 (11.2) | 79.7 (9.3) | 81.5 (8.5) | 56.6 (9.9) | 59.7 (9.1) | 73 (12.7) | 80.8 (9.3) | 83.5 (9.7) |
| 1000 | 50 | 52.1 (11.1) | 64.7 (10.5) | 78 (11.3) | 79.6 (10.5) | 82.1 (9.3) | 62.5 (10.2) | 64.5 (9.2) | 67.3 (12) | 77.3 (11.9) | 82.7 (9.2) | 55.1 (9.7) | 60.2 (9.8) | 76.6 (12.3) | 79.8 (10.3) | 83.9 (10.8) |
| 1250 | 37.5 | 55.2 (10.2) | 64.1 (11.6) | 77.2 (10.2) | 79.2 (10.1) | 84.4 (8.7) | 65.5 (9.8) | 63.5 (10.2) | 66.4 (10.6) | 75.5 (11.1) | 81.3 (9.36) | 56.3 (9.7) | 63.5 (10.2) | 76.3 (11.9) | 78.8 (9.7) | 83.9 (11.1) |
| 1500 | 25 | 53.5 (11.3) | 62.6 (9.2) | 77.3 (11.7) | 80.1 (8.5) | 84.2 (9.3) | 64.8 (10.8) | 61.5 (9.4) | 65.1 (10.4) | 78.1 (9.7) | 80.7 (10.5) | 57 (10.3) | 58.9 (9.8) | 73.4 (13.3) | 80.3 (9) | 83.5 (10.7) |
| 1750 | 12.5 | 53.9 (10.2) | 63.9 (10.9) | 78.3 (10.6) | 80.5 (7.9) | 82.4 (11.3) | 64.7 (11) | 62.3 (9.4) | 66.4 (11.4) | 80.1 (8.8) | 81.1 (8.8) | 57.2 (9.9) | 62.4 (9.5) | 75 (12.7) | 81 (8.3) | 82.4 (11.3) |
| Min. | 250 | 87.5 | 45.3 (7.4) | 45.3 (8.1) | 57 (9.1) | 52 (8.4) | 57.5 (13.2) | 81 (8.7) | 68.5 (6.7) | 75.7 (10.2) | 76.4 (6.6) | 67.8 (9.1) | 73.2 (10.3) | 65.7 (9.9) | 72.1 (9.8) | 79.6 (7.7) | 69.6 (10.5) |
| 500 | 75 | 45.8 (7.3) | 48.3 (8.4) | 58.6 (9.8) | 57.9 (10.5) | 59 (9.4) | 79.5 (8.9) | 70.9 (9) | 76.9 (8.6) | 77.3 (9) | 68.3 (8.7) | 73.3 (10.5) | 66. (10.3) | 67.5 (11.6) | 79.7 (8.2) | 68.6 (9.5) |
| 750 | 62.5 | 46.5 (8) | 49.2 (8.9) | 58.5 (9.6) | 60.8 (10.1) | 66 (11.3) | 77.8 (9.8) | 68.1 (9.8) | 72.5 (9.6) | 76.3 (8.5) | 67.6 (9.1) | 73.3 (9.2) | 64.9 (10.6) | 64.4 (10) | 78.2 (10.1) | 74.1 (9.9) |
| 1000 | 50 | 46.2 (9.2) | 48.6 (9.2) | 55.4 (9.9) | 59.9 (9.4) | 61.7 (9.9) | 76.2 (9.4) | 71.4 (9.5) | 72.8 (10.9) | 76.8 (9.6) | 63.8 (10.2) | 46.7 (11.7) | 61.2 (12) | 81.4 (9.4) | 84.2 (10.1) | 63.7 (9.7) |
| 1250 | 37.5 | 64.4 (7.4) | 49.8 (10.3) | 57.3 (11.4) | 56.9 (9.3) | 57.5 (12) | 75.8 (8.7) | 68.5 (9) | 70.3 (9.5) | 73.4 (8.4) | 68.4 (9.4) | 82 (9.8) | 60.6 (12) | 83 (10.5) | 82.5 (10.2) | 63.5 (9.9) |
| 1500 | 25 | 47.2 (8) | 49.3 (9.7) | 57.1 (10.1) | 57.3 (9.5) | 62.5 (11.1) | 74.8 (9.5) | 68.8 (9.3) | 69.7 (8.7) | 74.5 (8.9) | 65.3 (11.8) | 45.3 (11.7) | 62.5 (11.8) | 80.4 (9.7) | 87.1 (5.9) | 64.4 (9.5) |
| 1750 | 12.5 | 45.7 (8.3) | 49.6 (8.6) | 55 (10.2) | 57 (8.7) | 63 (8.5) | 72.1 (8.5) | 67.8 (8.5) | 72.2 (10.2) | 73.9 (9.3) | 73.1 (10.9) | 48.7 (10.2) | 62.7 (10.9) | 81.6 (10.6) | 82 (10.3) | 60.9 (10.2) |
Table 4.
Comparison of the performance of the proposed method with that of other studies.
Table 4.
Comparison of the performance of the proposed method with that of other studies.
| Source | Test method | Male (No.) Female (No.) | Age Years | Method | Accuracy Mean % ± SD % |
|---|
| Current study | GARS CARS DSM-5-TR Medical history | ASD: M (18); F (4) TD: M (18); F (12) | ASD: 4.85 ± 1.5 TD: 5.9 ± 3.5 | Energies Windowing SVM | 91.7 ± 7 |
[23] 2024 | Not available | ASD: 28 TD: 28 | ASD:18–68 TD: 18–68 | Statistical and spectral features+CSTO-DRN | 88.6 |
[18] 2023 | PANS DSM-V Medical history Professional Clinical | ASD: M (12); F (6) TD: M (12); F (6) | ASD: 3.92 ± 1.38 TD: 3.84 ± 1.24 | Statistical and spectral brain connectivity | 83 ± 14 to 86 ± 18 |
[17] 2021 | Two datasets (ABIDE I and ABIDE II)–images/5–64 years | FMRI+CNN VGG16, ResNet50 | 63.4 –87.0 |
[19] 2017 | DSM-V ADOS scale | ASD: M (13); F (2) TD: M (4); F (6) | ASD: 10.4 TD: 9.2 | MS-ROM/I-FAST, TWIST + ANN | 84–92.8 |
| Disclaimer/Publisher’s Note: The statements, opinions and data contained in all publications are solely those of the individual author(s) and contributor(s) and not of MDPI and/or the editor(s). MDPI and/or the editor(s) disclaim responsibility for any injury to people or property resulting from any ideas, methods, instructions or products referred to in the content. |
© 2024 by the authors. Licensee MDPI, Basel, Switzerland. This article is an open access article distributed under the terms and conditions of the Creative Commons Attribution (CC BY) license (https://creativecommons.org/licenses/by/4.0/).