The Effect of the Particle Gradation and Pre-Treatment of Aggregate on the Performance of Alkali-Activated Slag Non-Sintered Lightweight Aggregate Concrete
Abstract
1. Introduction
2. Materials and Methods
2.1. Materials
| Particle Size (mm) | Bulk Density (kg/m3) | Apparent Density (kg/m3) | Cylinder Compressive Strength (MPa) | 24 h Water Absorption (%) |
|---|---|---|---|---|
| 3~5 | 1215 | 2153 | 12.9 | 9.8 |
| 6~10 | 1190 | 2093 | 10.8 | 12.1 |
| 11~15 | 1163 | 2001 | 8.6 | 15.4 |
2.2. Mixture Design
2.3. Test Methods
2.3.1. Mechanical Test
2.3.2. Drying Shrinkage Test
2.3.3. Analysis of Microscopic Characteristics
3. Results and Discussion
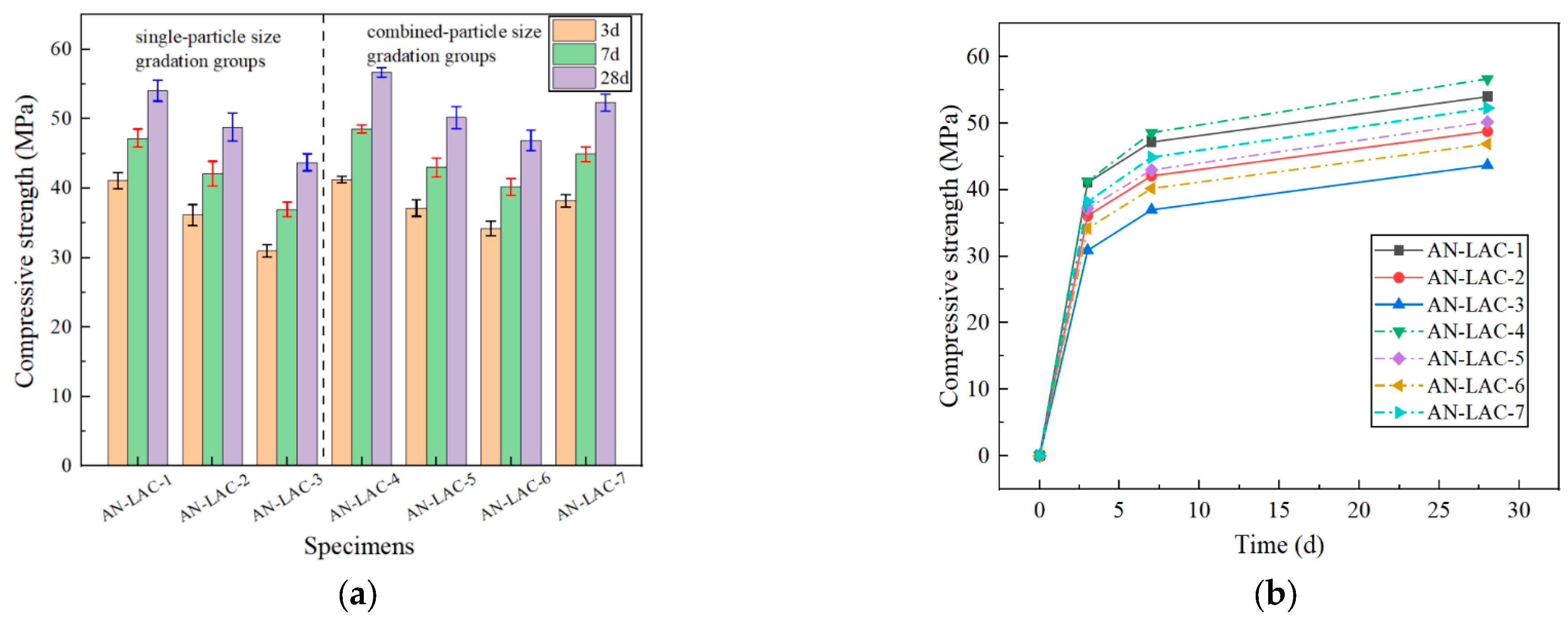
3.1. The Compressive Strength of AN-LAC
| Group | Relative Compressive Strength | 3 d | 7 d | 28 d |
|---|---|---|---|---|
| AN-LAC-1 | fcu, n/fcu, 28 * | 0.761 | 0.874 | 1.000 |
| AN-LAC-2 | 0.739 | 0.862 | 1.000 | |
| AN-LAC-3 | 0.707 | 0.846 | 1.000 | |
| AN-LAC-4 | 0.728 | 0.857 | 1.000 | |
| AN-LAC-5 | 0.741 | 0.856 | 1.000 | |
| AN-LAC-6 | 0.729 | 0.857 | 1.000 | |
| AN-LAC-7 | 0.730 | 0.858 | 1.000 |
3.2. The Splitting Tensile Strength and Tension–Compression Ratio of AN-LAC

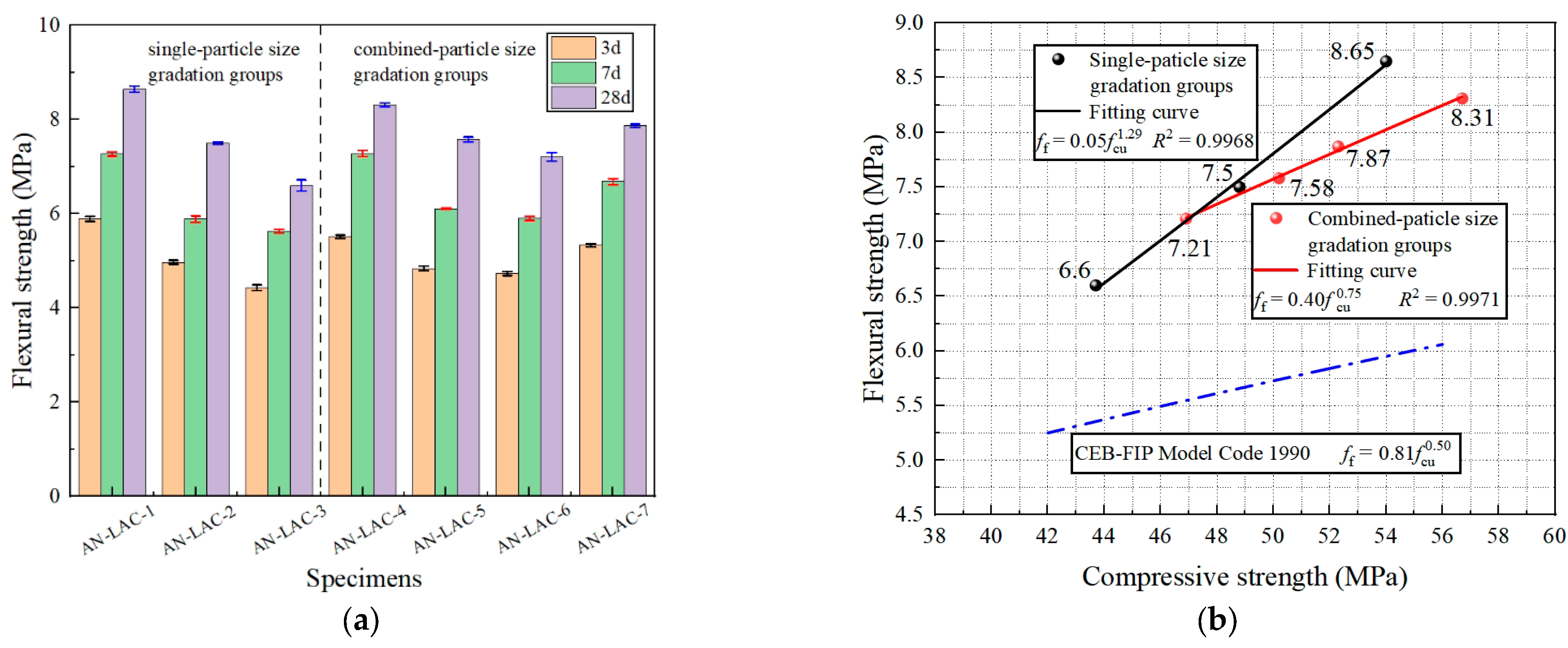
3.3. The Flexural Strength and Flexural–Compression Ratio of AN-LAC
3.4. The Apparent Density and Specific Strength of AN-LAC
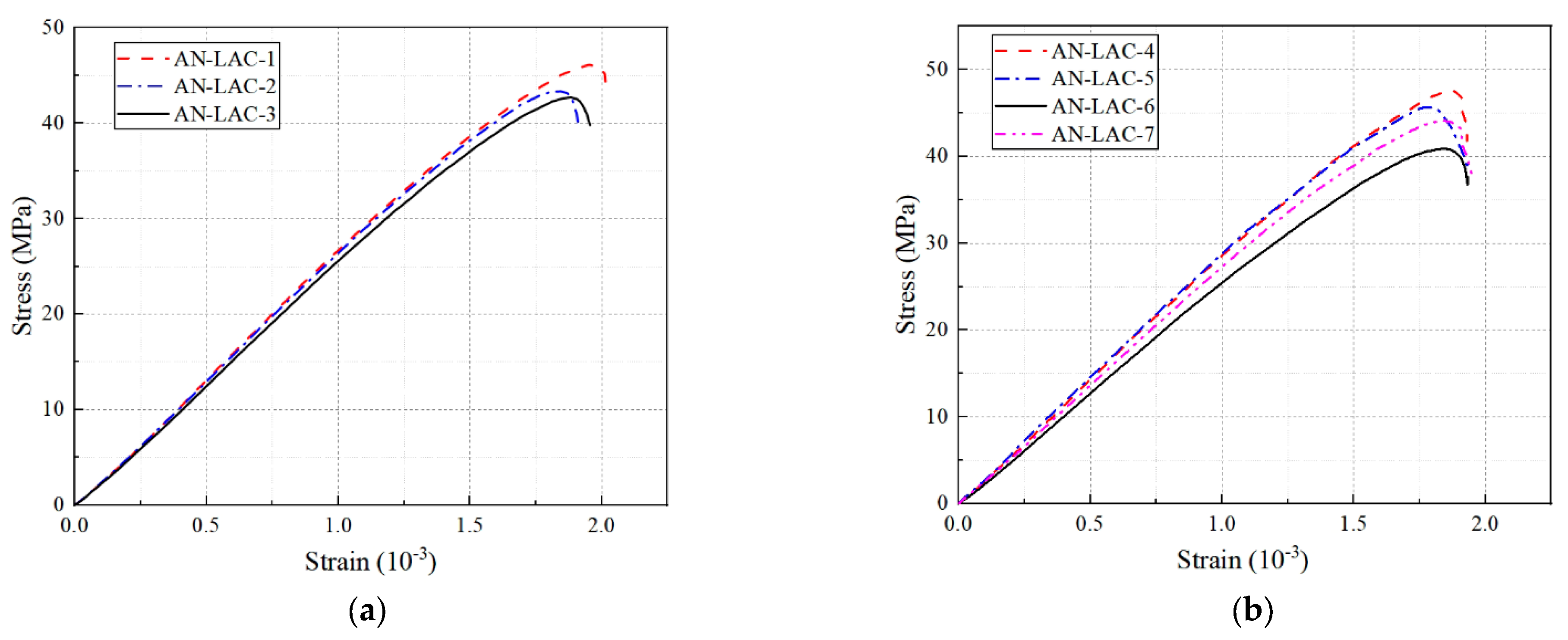
3.5. The Axial Compressive Performance of AN-LAC
3.5.1. The Failure Characteristics of AN-LAC
3.5.2. The Elastic Modulus of AN-LAC
4. The Effect of Pre-Treatment Methods for NSLA on the Performance of AN-LAC
4.1. The Mechanical Properties of AN-LAC
4.2. The Shrinkage of AN-LAC and Microstructure Analysis
5. Conclusions
- (1)
- The compressive strength, splitting tensile strength, and flexural strength of AN-LAC at 3 d, 7 d, and 28 d showed an increasing trend when the average particle size decreased. The compressive strength of AN-LAC-4 and AN-LAC-3 at 28 days reached the maximum value of 56.7 MPa and minimum value of 43.7 MPa, respectively. The main reason is that NSLA with a smaller particle size was important for AN-LAC to have reliable particle size distribution and possess excellent packing. Moreover, compared with ceramsite concrete, AN-LAC possessed better toughness;
- (2)
- Under axial compressive loading, the failure modes of all groups were shear failure. AN-LAC containing NSLA with a small particle size exhibited improved elastic modulus. The prediction results of the elastic modulus models of LWAC were closer to the experimental data than that of OPC concrete. Based on the existing models, the modified elastic modulus prediction model of AN-LAC was established considering the effect of particle size of NSLA;
- (3)
- The NSLA, which was modified by using a silicone hydrophobic agent and pre-wetted by soaking in water, respectively, could enhance the strength of AN-LAC at 28 days. The compressive strength and splitting tensile strength of the concrete with modified NSLA were higher than that of the concrete with pre-wetted NSLA;
- (4)
- The shrinkage rate of the concrete with pre-wetted NSLA and modified NSLA at 90 days was 17.7% and 10.3% lower than that of the concrete with untreated NSLA, respectively. According to the microscopic morphology of the ITZ, these pre-treatment methods could significantly reduce the number and length of cracks around the NSLA.
Author Contributions
Funding
Institutional Review Board Statement
Informed Consent Statement
Data Availability Statement
Acknowledgments
Conflicts of Interest
References
- Yu, Z.; Tang, R.; Cao, P.; Huang, Q.; Xie, X.; Shi, F. Multi-axial test and failure criterion analysis on self-compacting lightweight aggregate concrete. Constr. Build. Mater. 2019, 215, 786–798. [Google Scholar] [CrossRef]
- Karthika, R.B.; Vidyapriya, V.; Sri, K.N.; Beaula, K.M.G.; Harini, R.; Sriram, M. Experimental study on lightweight concrete using pumice aggregate. Mater. Today Proc. 2021, 43, 1606–1613. [Google Scholar] [CrossRef]
- Cao, Y.; Liu, R.; Han, Y.; Xu, Y.; Yang, X.; Zhang, Y. Nonsintered lightweight aggregates produced from waste sludge and its characteristics affected by additives. Environ. Prog. Sustain. Energy 2020, 39, e13389. [Google Scholar] [CrossRef]
- Ozkan, H.; Kabay, N. Manufacture of sintered aggregate using washing aggregate sludge and ground granulated blast furnace slag: Characterization of the aggregate and effects on concrete properties. Constr. Build. Mater. 2022, 342, 128025. [Google Scholar] [CrossRef]
- Wie, Y.M.; Lee, K.G. Optimum bloating-activation zone of artificial lightweight aggregate by dynamic parameters. Materials 2019, 12, 267. [Google Scholar] [CrossRef]
- Ye, D.; Xu, Z.; Fu, Y.; Zhao, Y. Effects of electrolytic manganese residue (EMR) to co-sintering mechanism of ceramic aggregate. Int. J. Appl. Ceram. Technol. 2022, 19, 3017–3029. [Google Scholar] [CrossRef]
- Wang, S.; Yu, L.; Yang, F.; Zhang, W.; Xu, L.; Wu, K.; Tang, L.; Yang, Z. Resourceful utilization of quarry tailings in the preparation of non-sintered high-strength lightweight aggregates. Constr. Build. Mater. 2022, 334, 127444. [Google Scholar] [CrossRef]
- Bayoussef, A.; Loutou, M.; Taha, Y.; Mansori, M.; Benzaazoua, M.; Manoun, B.; Hakkou, R. Use of clays by-products from phosphate mines for the manufacture of sustainable lightweight aggregates. J. Clean. Prod. 2021, 280, 124361. [Google Scholar] [CrossRef]
- Lehner, P.; Horňáková, M.; Pizoń, J.; Gołaszewski, J. Effect of Chemical Admixtures on Mechanical and Degradation Properties of Metallurgical Sludge Waste Concrete. Materials 2022, 15, 8287. [Google Scholar] [CrossRef]
- Xu, F.; Liu, W.; Bu, S.; Zhang, L.; Fang, J.; Yu, Z.; Xu, W.; Ding, H.; Huo, G. Manufacturing non-sintered ceramsite from incinerated municipal solid waste ash (IMSWA): Production and performance. Process Saf. Environ. Prot. 2022, 163, 116–130. [Google Scholar] [CrossRef]
- Wang, D.; Cui, C.; Chen, X.-F.; Zhang, S.; Ma, H. Characteristics of autoclaved lightweight aggregates with quartz tailings and its effect on the mechanical properties of concrete. Constr. Build. Mater. 2020, 262, 120110. [Google Scholar] [CrossRef]
- Ma, K.; Huang, X.; Shen, J.; Hu, M.; Long, G.; Xie, Y.; Zeng, X.; Xu, Z.; Zhang, W. The morphological characteristics of brick-concrete recycled coarse aggregate based on the digital image processing technique. J. Build. Eng. 2021, 44, 103292. [Google Scholar] [CrossRef]
- Chen, Y.; Zhang, Y.; Zhang, Y.; Pang, B.; Zhang, W.; Liu, C.; Liu, Z.; Wang, D.; Sun, G. Influence of gradation on extrusion-based 3D printing concrete with coarse aggregate. Constr. Build. Mater. 2023, 403, 133135. [Google Scholar] [CrossRef]
- He, Y.; Zhang, X.; Zhang, Y.; Zhou, Y. Effects of particle characteristics of lightweight aggregate on mechanical properties of lightweight aggregate concrete. Constr. Build. Mater. 2014, 72, 270–282. [Google Scholar] [CrossRef]
- Ma, Q.; Shi, Y.; Ma, D.; Huang, K.; Yang, X. Effect of sludge ceramsite particle grade on static and dynamic mechanical properties of alkali-activated slag lightweight concrete at early age. J. Build. Eng. 2023, 69, 106330. [Google Scholar] [CrossRef]
- Liu, K.; Yin, T.; Fan, D.; Wang, J.; Yu, R. Multiple effects of particle size distribution modulus (q) and maximum aggregate size (Dmax) on the characteristics of Ultra-High Performance concrete (UHPC): Experiments and modeling. Cem. Concr. Compos. 2022, 133, 104709. [Google Scholar] [CrossRef]
- Anburuvel, A.; Subramaniam, D.N. Influence of aggregate gradation and compaction on compressive strength and porosity characteristics of pervious concrete. Int. J. Pavement Eng. 2023, 24, 2055022. [Google Scholar] [CrossRef]
- Huang, D.; Chen, P.; Peng, H.; Yang, Y.; Yuan, Q.; Su, M. A review and comparison study on drying shrinkage prediction between alkali-activated fly ash/slag and ordinary Portland cement. Constr. Build. Mater. 2021, 305, 124760. [Google Scholar] [CrossRef]
- Ulewicz, M.; Jura, J.; Zieliński, A.; Pietraszek, J. The Application of Converter Sludge and Slag to Produce Ecological Cement Mortars. Materials 2024, 17, 4295. [Google Scholar] [CrossRef]
- He, H.; Zhi, X.; Fan, F.; Song, Y.; Zhang, R. Strain-rate-dependent performance of alkali-activated binder-based ultra-high strength concrete. J. Build. Eng. 2024, 94, 109911. [Google Scholar] [CrossRef]
- Chen, P.; Shi, Z.; Cao, S.; Liu, P.; Rong, X.; Wang, L. Mechanical properties of alkali-activated slag lightweight aggregate concrete. J. Clean. Prod. 2022, 359, 132136. [Google Scholar] [CrossRef]
- Portale, S.; Mazzoleni, P.; Barone, G. Alkali activated binders based on rock sawing sludges: Synthesis, characterization and future perspectives. Constr. Build. Mater. 2024, 450, 138669. [Google Scholar] [CrossRef]
- Shen, J.; Li, Y.; Lin, H.; Li, Y. The research on the mechanical properties, microstructure, environmental impacts of environmentally friendly Alkali-activated Ultra High Performance Concrete (AAUHPC) matrix with varied design parameters. J. Build. Eng. 2024, 94, 110037. [Google Scholar] [CrossRef]
- Yang, S.; Guan, X.; Lu, J.; Cui, H.; Poon, C.S. Micromechanical and chemical characteristics of interfacial transition zone in alkali-activated slag concrete containing lightweight iron-rich aggregates. Compos. Part B 2024, 283, 111671. [Google Scholar] [CrossRef]
- Vasanelli, E.; Calò, S.; Cascardi, A.; Aiello, M.A. The Use of Lightweight Aggregates in Geopolymeric Mortars: The Effect of Liquid Absorption on the Physical/Mechanical Properties of the Mortar. Materials 2024, 17, 1798. [Google Scholar] [CrossRef]
- Shang, X.; Fang, Z.; Huang, W.; Chen, Y.; Qu, N.; Zhong, R. Lightweight concrete with low-carbon artificial aggregates recycled from biomass ash and slurry waste. Constr. Build. Mater. 2024, 429, 136368. [Google Scholar] [CrossRef]
- Chen, P.; Tan, W.; Lu, J.-X.; Sun, Y.; Poon, C.S. Enhancing the performance of lightweight high-performance concrete through an alternative pre-wetting method for lightweight aggregates using simulated cement pore solution. Constr. Build. Mater. 2023, 409, 134024. [Google Scholar] [CrossRef]
- Marchi, T.; Diaz, E.G.; Salgues, M.; Souche, J.C.; Devillers, P. Internal curing capacity of recycled coarse aggregates incorporated in concretes with low water/cement ratios. Constr. Build. Mater. 2023, 409, 133893. [Google Scholar] [CrossRef]
- GB/T 17431.2-2010; Lightweight Aggregates and Its Test Methods-Part 2: Test Methods for Lightweight Aggregates. Standard Press of China: Beijing, China, 2010.
- GB/T 17431.1-2010; Lightweight Aggregates and Its Test Methods-Part 1: Lightweight Aggregates. Standard Press of China: Beijing, China, 2010.
- GB/T 50081-2019; Standard for Test Methods of Concrete Physical and Mechanical Properties. China Construction Industry Press: Beijing, China, 2019.
- GB/T 50082-2009; Standard for Test Methods of Long-Term Performance and Durability of Ordinary Concrete. China Construction Industry Press: Beijing, China, 2009.
- Richard, P.; Cheyrezy, M. Composition of reactive powder concretes. Cem. Concr. Res. 1995, 25, 1501–1511. [Google Scholar] [CrossRef]
- Wei, H.; Liu, Y.; Wu, T.; Liu, X. Effect of aggregate size on strength characteristics of high strength lightweight concrete. Materials 2020, 13, 1314. [Google Scholar] [CrossRef]
- Yang, W.J.; Wang, P. Experimental research on compressive age strength of ceramisite concrete. Adv. Mater. Res. 2012, 455, 1423–1428. [Google Scholar] [CrossRef]
- Comité Euro-International du Béton. CEB-FIP Model Code 1990: Design Code; Thomas Telford Publishing: London, UK, 1993. [Google Scholar]
- Tang, S.; Ying, W.; Liu, Y.; Yang, X. Investigation on compressive strength of ceramsite concrete at early age. Hans. J. Civil. Eng. 2020, 9, 741–754. [Google Scholar] [CrossRef]
- Sifan, M.; Nagaratnam, B.; Thamboo, J.; Poologanathan, K.; Corradi, M. Development and prospectives of lightweight high strength concrete using lightweight aggregates. Constr. Build. Mater. 2023, 362, 129628. [Google Scholar] [CrossRef]
- Jin, L.; Yu, W.; Du, X.; Yang, W. Meso-scale simulations of size effect on concrete dynamic splitting tensile strength: Influence of aggregate content and maximum aggregate size. Eng. Fract. Mech. 2020, 230, 106979. [Google Scholar] [CrossRef]
- ACI 363R-92; State-of-the-Art Report on High-Strength Concrete. American Concrete Institute: Detroit, MI, USA, 1992.
- Kockal, N.U.; Ozturan, T. Effects of lightweight fly ash aggregate properties on the behavior of lightweight concretes. J. Hazard. Mater. 2010, 179, 954–965. [Google Scholar] [CrossRef]
- Zhu, C.; Niu, J.; Li, J.; Wan, C.; Peng, J. Effect of aggregate saturation degree on the freeze–thaw resistance of high performance polypropylene fiber lightweight aggregate concrete. Constr. Build. Mater. 2017, 145, 367–375. [Google Scholar] [CrossRef]
- GB 50010-2010; Code for Design of Concrete Structures. China Construction Industry Press: Beijing, China, 2011.
- JGJ 51-2002; Technical Specification for Lightweight Aggregate Concrete. China Construction Industry Press: Beijing, China, 2002.
- ACI 318-11; Building Code Requirements for Structural Concrete and Commentary. American Concrete Institute: Farmington Hills, MI, USA, 2011.
- Carreira, D.J.; Chu, K.H. Stress-strain relationship for plain concrete in compression. J. Proc. 1985, 82, 797–804. [Google Scholar]
- Smadi, M.; Migdady, E. Properties of high strength tuff lightweight aggregate concrete. Cem. Concr. Compos. 1991, 13, 129–135. [Google Scholar] [CrossRef]














| Element | CaO | SiO2 | Al2O3 | MgO | TiO2 | Fe2O3 | MnO |
| Content | 39.5 | 30.8 | 14.7 | 8.0 | 1.3 | 1.2 | 0.4 |
| Group | Gradation and Proportion (%) | Average Particle Size (mm) | ||
|---|---|---|---|---|
| 2.36~4.75 mm | 4.75~9.5 mm | 9.5~16 mm | ||
| AN-LAC-1 | 100 | 0 | 0 | 4 |
| AN-LAC-2 | 0 | 87 | 13 | 8 |
| AN-LAC-3 | 0 | 0 | 100 | 13 |
| AN-LAC-4 | 49 | 42 | 9 | 6.5 |
| AN-LAC-5 | 50 | 0 | 50 | 9.6 |
| AN-LAC-6 | 0 | 41 | 59 | 10.5 |
| AN-LAC-7 | 34 | 27 | 39 | 9 |
| Group | Slag | Sand | NSLA | NaOH | Water Glass Solution | Water | Water Reducer | ||
|---|---|---|---|---|---|---|---|---|---|
| 3~5 mm | 6~10 mm | 11~15 mm | |||||||
| AN-LAC-1 | 520 | 672 | 780 | - | - | 21.4 | 170.9 | 129.4 | 0.5 |
| AN-LAC-2 | 520 | 672 | - | 780 | - | 21.4 | 170.9 | 129.4 | 0.5 |
| AN-LAC-3 | 520 | 672 | - | - | 780 | 21.4 | 170.9 | 129.4 | 0.5 |
| AN-LAC-4 | 520 | 672 | 390 | 390 | - | 21.4 | 170.9 | 129.4 | 0.5 |
| AN-LAC-5 | 520 | 672 | 390 | - | 390 | 21.4 | 170.9 | 129.4 | 0.5 |
| AN-LAC-6 | 520 | 672 | - | 390 | 390 | 21.4 | 170.9 | 129.4 | 0.5 |
| AN-LAC-7 | 520 | 672 | 260 | 260 | 260 | 21.4 | 170.9 | 129.4 | 0.5 |
| Group | fc (MPa) | Fa (N) | Ec (MPa) | fcu (MPa) |
|---|---|---|---|---|
| AN-LAC-1 | 46.10 | 184,400 | 25,793 | 54.0 |
| AN-LAC-2 | 43.34 | 173,360 | 25,621 | 48.8 |
| AN-LAC-3 | 42.71 | 169,640 | 24,539 | 43.7 |
| AN-LAC-4 | 45.63 | 182,520 | 29,153 | 56.7 |
| AN-LAC-5 | 47.59 | 190,360 | 28,401 | 50.2 |
| AN-LAC-6 | 40.88 | 163,520 | 24,864 | 46.9 |
| AN-LAC-7 | 44.09 | 176,360 | 26,965 | 52.3 |
Disclaimer/Publisher’s Note: The statements, opinions and data contained in all publications are solely those of the individual author(s) and contributor(s) and not of MDPI and/or the editor(s). MDPI and/or the editor(s) disclaim responsibility for any injury to people or property resulting from any ideas, methods, instructions or products referred to in the content. |
© 2024 by the authors. Licensee MDPI, Basel, Switzerland. This article is an open access article distributed under the terms and conditions of the Creative Commons Attribution (CC BY) license (https://creativecommons.org/licenses/by/4.0/).
Share and Cite
Deng, P.; Zhang, X.; Bai, W.; Guo, J.; Chang, D. The Effect of the Particle Gradation and Pre-Treatment of Aggregate on the Performance of Alkali-Activated Slag Non-Sintered Lightweight Aggregate Concrete. Appl. Sci. 2024, 14, 11645. https://doi.org/10.3390/app142411645
Deng P, Zhang X, Bai W, Guo J, Chang D. The Effect of the Particle Gradation and Pre-Treatment of Aggregate on the Performance of Alkali-Activated Slag Non-Sintered Lightweight Aggregate Concrete. Applied Sciences. 2024; 14(24):11645. https://doi.org/10.3390/app142411645
Chicago/Turabian StyleDeng, Peng, Xianglong Zhang, Weiting Bai, Jian Guo, and Dongsong Chang. 2024. "The Effect of the Particle Gradation and Pre-Treatment of Aggregate on the Performance of Alkali-Activated Slag Non-Sintered Lightweight Aggregate Concrete" Applied Sciences 14, no. 24: 11645. https://doi.org/10.3390/app142411645
APA StyleDeng, P., Zhang, X., Bai, W., Guo, J., & Chang, D. (2024). The Effect of the Particle Gradation and Pre-Treatment of Aggregate on the Performance of Alkali-Activated Slag Non-Sintered Lightweight Aggregate Concrete. Applied Sciences, 14(24), 11645. https://doi.org/10.3390/app142411645

