Freeze–Thaw Damage Characteristics of Soil–Rock Mixtures in Open-Pit Coal Mines and Stability Analysis of Slopes in Discharge Sites Based on Partial Flow Code
Abstract
1. Introduction
2. Preparation
2.1. Specimen Preparation
2.2. Test Process
2.3. Determination of Macro Parameters
Stress–Strain Curve
- Stress–strain curves of SRM after freeze–thaw cycles under different confining pressures:
- Stress–strain curves of SRM under different freeze–thaw cycles:
- The effect of the number of freeze–thaw cycles on the peak stress of soil–rock mixture:
3. Numerical Simulation
3.1. PFC
3.2. Simulation Methods
3.2.1. Rock Damage Mechanism
3.2.2. Parameter Calibration
3.2.3. Thermal Coupling Algorithm
3.3. Obtaining Mesoscopic Parameters
3.3.1. Distribution of Damage Forms
3.3.2. Damage Analysis of Different Freezing and Thawing Times
- Crack damage during the freezing and thawing process:
- Stress–strain curve:
3.4. Numerical Calculation Process
4. Results
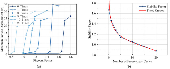
4.1. Simulation Results of Slopes with Different Freeze–Thaw Cycles
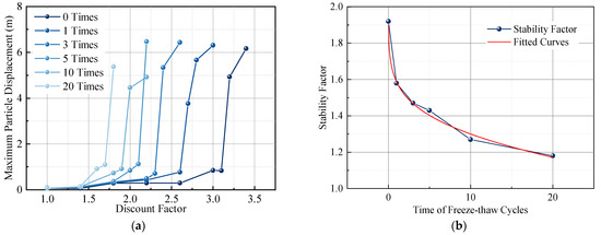
4.2. Simulation Results of the Freeze–Thaw Slope of the Dump Site Under Different Dumping Heights
5. Conclusions
- The stress–strain curves of soil–rock mixtures, tested under triaxial tests of different numbers of freezing and thawing cycles and different water contents, demonstrate similar trends. These curves show three stages: linear growth, stress yielding, and a stage that was unchanged. Additionally, at higher peripheral pressures, the strain hardening phenomenon is more obvious. Comparing the strength changes in a soil–stone mixture under different numbers of freeze–thaw cycles, its compressive strength under 100 kPa peripheral pressure decreases by 65 kPa as a quadratic function of the increase in the number of freeze–thaw cycles, cohesion decreases by 12 kPa, and the angle of internal friction decreases by 2.7° as a power function of the increase in the number of freeze–thaw cycles. Comparing the stress–strain curves of soil–stone mixture samples with different water content after freeze–thaw cycles, the lower the water content, the more obvious the strain hardening; the higher the water content, the greater the effect of freeze–thaw cycles on soil–stone mixtures, and the greater the decrease in compressive strength, cohesion, and internal friction angle.
- As the number of freezing and thawing cycle simulations increases, the number of internal fine cracks in the soil and rock mixture model also increases. When the number of cycles changes from 0 to 1, the number of cracks increases to 1408 due to damage caused by freezing and thawing. However, when the number of freezing and thawing cycles changes from 10 to 20, the change in the number of cracks is small, the compressive strength reduction is also small, the mechanical properties of soil and rock mixture tend to be stabilized, and the effect of the freezing and thawing cycle becomes smaller.
- For different numbers of freezing and thawing cycles under the row of slopes, the stability coefficient and model fissure change rule are similar; with the increase in the number of freezing and thawing cycles, the slope stability coefficient gradually decreased from 0 to 20; the stability of the slope decreased by about 0.74, resulting in a reduction in the magnitude of about 38.54%, of which the stability coefficient occurred between 0 and 1 cycle, after which the stability began to stabilize and remained unchanged.
- Under different discharging heights, the slope stability coefficient decreases with the increase in the number of freeze–thaw cycles in a power function trend; the higher the discharging height, the lower the slope stability coefficient. The slope becomes more unstable and more prone to landslides after undergoing more freeze–thaw cycles. It also has a larger impact after landslides with higher risks.
Author Contributions
Funding
Institutional Review Board Statement
Informed Consent Statement
Data Availability Statement
Conflicts of Interest
References
- Coli, N.; Berry, P.; Boldini, D. In situ non-conventional shear tests for the mechanical characterisation of a bimrock. Int. J. Rock Mech. Min. Sci. 2011, 48, 95–102. [Google Scholar] [CrossRef]
- Xu, W.; Hu, R. Particle size fractal characteristics of the soil-rock mixtures in the right bank slope of jinsha river at longpan, tiger-leaping gorge area. J. Eng. Geol. 2006, 14, 496–501. [Google Scholar]
- Hamidi, A.; Yazdanjou, V.; Salimi, N. Shear strength characteristics of sand-gravel mixtures. Int. J. Geotech. Eng. 2009, 3, 29–38. [Google Scholar] [CrossRef]
- Salimi, S.; Yazdanjou, V.; Hamidi, A. Shape and size effects of gravel grains on the shear behavior of sandy soils. In Landslides and Engineered Slopes. From the Past to the Future, Two Volumes+ CD-ROM; CRC Press: Boca Raton, FL, USA, 2008; pp. 491–496. [Google Scholar]
- Seif El Dine, B.; Dupla, J.C.; Frank, R.; Canou, J.; Kazan, Y. Mechanical characterization of matrix coarse-grained soils with a large-sized triaxial device. Can. Geotech. J. 2010, 47, 425–438. [Google Scholar] [CrossRef]
- Shan, P.; Lai, X. Mesoscopic structure PFC∼ 2D model of soil rock mixture based on digital image. J. Vis. Commun. Image Represent. 2019, 58, 407–415. [Google Scholar] [CrossRef]
- Tan, X.; Chen, W.; Yang, J.; Cao, J. Laboratory investigations on the mechanical properties degradation of granite under freeze–thaw cycles. Cold Reg. Sci. Technol. 2011, 68, 130–138. [Google Scholar] [CrossRef]
- Yamabe, T.; Neaupane, K.M. Determination of some thermo-mechanical properties of Sirahama sandstone under subzero temperature condition. Int. J. Rock Mech. Min. Sci. 2001, 38, 1029–1034. [Google Scholar] [CrossRef]
- De Argandona, V.R.; Rey, A.R.; Celorio, C.; Del Río, L.S.; Calleja, L.; Llavona, J. Characterization by computed X-ray tomography of the evolution of the pore structure of a dolomite rock during freeze-thaw cyclic tests. Phys. Chem. Earth Part A: Solid Earth Geod. 1999, 24, 633–637. [Google Scholar] [CrossRef]
- Zhou, Z.; Yang, H.; Xing, K.; Gao, W. Prediction models of the shear modulus of normal or frozen soil-rock mixtures. Geomech. Eng. 2018, 15, 783–791. [Google Scholar]
- Zhou, Z.; Xing, K.; Yang, H.; Wang, H. Damage mechanism of soil-rock mixture after freeze-thaw cycles. J. Cent. South Univ. 2019, 26, 13–24. [Google Scholar] [CrossRef]
- Xing, K.; Zhou, Z.; Yang, H.; Liu, B. Macro–meso freeze–thaw damage mechanism of soil–rock mixtures with different rock contents. Int. J. Pavement Eng. 2020, 21, 9–19. [Google Scholar] [CrossRef]
- Harris, C.; Lewkowicz, A.G. An analysis of the stability of thawing slopes, Ellesmere Island, Nunavut, Canada. Can. Geotech. J. 2000, 37, 449–462. [Google Scholar] [CrossRef]
- Griffiths, D.V. Finite Element Analysis of Walls, Footings and Slopes. Ph.D. Thesis, University of Manchester, Manchester, UK, 1981. [Google Scholar]
- Blijenberg, H.M. Application of physical modelling of debris flow triggering to field conditions: Limitations posed by boundary conditions. Eng. Geol. 2007, 91, 25–33. [Google Scholar] [CrossRef]
- Ugai, K.; Leshchinsky, D. Three-dimensional limit equilibrium and finite element analyses: A comparison of results. Soils Found. 1995, 35, 1–7. [Google Scholar] [CrossRef]
- Park, C.; Synn, J.; Shin, H.; Cheon, D.; Lim, H.; Jeon, S. Experimental study on the thermal characteristics of rock at low temperatures. Int. J. Rock Mech. Min. Sci. 2004, 41, 81–86. [Google Scholar] [CrossRef]
- Bar, N.; Dixon, R. Unveiling unknowns: Practical application of InSAR for slope performance monitoring and risk management across multiple surface mines. Eng. Geol. 2021, 293, 106326. [Google Scholar] [CrossRef]
- Pilecka, E.; Stanisz, J.; Kaczmarczyk, R.; Gruchot, A. The setting of strength parameters in stability analysis of open-pit slope using the random set method in the Bełchatów lignite mine, central Poland. Energies 2021, 14, 4609. [Google Scholar] [CrossRef]
- López-Vinielles, J.; Ezquerro, P.; Fernández-Merodo, J.A.; Béjar-Pizarro, M.; Monserrat, O.; Barra, A.; Blanco, P.; García-Robles, J.; Filatov, A.; García-Davalillo, J.C. Remote analysis of an open-pit slope failure: Las Cruces case study, Spain. Landslides 2020, 17, 2173–2188. [Google Scholar] [CrossRef]
- Zhang, Y.; Wang, W.; Wang, P.; Kuang, H. Prediction Model of Slope Stability of Open Pit Mine Based on PCA-RVM. Min. Res. Dev. 2021, 41, 13–18. [Google Scholar] [CrossRef]
- Liu, J.; Si, G. Study on mechanism of slope disaster in inner dump in Yimin Open-pit Mine. Saf. Coal Mines 2021, 52, 234–236. [Google Scholar]
- Lin, Y.N.; Park, E.; Wang, Y.; Quek, Y.P.; Lim, J.; Alcantara, E.; Loc, H.H. The 2020 Hpakant Jade Mine Disaster, Myanmar: A multi-sensor investigation for slope failure. ISPRS J. Photogramm. Remote Sens. 2021, 177, 291–305. [Google Scholar] [CrossRef]
- Jinwei, L. Discontinuous Deformation Analysis of Open-pit Slope Based on Photogrammetry of Unmanned Aerial Vehicle. Met. Mine 2023, 134–139. [Google Scholar]
- Shi, X.; Cai, Q.; Li, Z.; Zhou, W.; Li, M. Shear mechanical properties and fracture characteristics of slope rocks in open-pit mining. J. Min. Saf. Eng. 2021, 38, 334. [Google Scholar]
- Sun, M.; Sun, H.; Zhong, X.; Cao, X.; Chen, X. Study on dynamic early warning method of high and steep slope in Qidashan Surface Mine. Min. Saf. Environ. Prot. 2020, 47, 85–88, 93. [Google Scholar]
- Yang, T.; Wang, H.; Dong, X.; Liu, F.; Zhang, P.; Deng, W. Current situation, problems and countermeasures of intelligent evaluation of slope stability in open pit. J. China Coal Soc. 2020, 45. [Google Scholar]
- Azarfar, B.; Ahmadvand, S.; Sattarvand, J.; Abbasi, B. Stability analysis of rock structure in large slopes and open-pit mine: Numerical and experimental fault modeling. Rock Mech. Rock Eng. 2019, 52, 4889–4905. [Google Scholar]
- Xu, L.; Liu, L.; Xu, Z. Integrated protection technology for expansive soil slopes in seasonally frozen zones. China J. Geotech. Eng. 2016, 38, 216–220. [Google Scholar]
- Xu, S.; Li, N.; Yuan, K.; Wang, X.; Xu, G.; Wu, B.; Zhu, S. Strength behavior of frozen fractured ice-filled rock mass and research status of slope instability during thawing. J. Glaciol. Geocryol. 2016, 38, 1106–1120. [Google Scholar]
- Jhanwar, J.; Thote, N. Slope failures in the opencast coal mines of Wardha Valley Coalfield in central India: A study. Rock Mech. Rock Eng. 2011, 44, 635–640. [Google Scholar] [CrossRef]
- Geertsema, M.; Clague, J.J.; Schwab, J.W.; Evans, S.G. An overview of recent large catastrophic landslides in northern British Columbia, Canada. Eng. Geol. 2006, 83, 120–143. [Google Scholar]
- Dramis, F.; Govi, M.; Guglielmin, M.; Mortara, G. Mountain permafrost and slope instability in the Italian Alps: The Val Pola landslide. Permafr. Periglac. Process. 1995, 6, 73–81. [Google Scholar] [CrossRef]
- Yang, J.; Ning, C.; Guan, H. Investgation on governance of discontinuouspermafrost slope in Muli mine of Yihai company. China Coal 2010, 58–59. [Google Scholar]
- Wang, X.; Xu, S.; Xu, G.; Wang, H.; Zhu, S.; Wu, B. Medium characteristics and stability of frozen rock (soil) slope in open-pit coal mine. Coal Geol. Explor. 2018, 46, 104–112. [Google Scholar]
- Li, G.; Li, N.; Liu, N.; Zhu, C. Local stability of open-pit coal mine slope in permafrost regions. J. Xi’an Univ. Technol. 2019, 35, 53–61. [Google Scholar]
- Cai, Q.; Chen, Y. Review of 70 years’ achievements and high-quality development architecture system of surface coal mining in China. J. China Coal Soc. 2024, 49, 235–260. [Google Scholar] [CrossRef]
- Huaiting, L. Strength testing and stability research on soil slope with freezing and thawing in surface mine. Coal Sci. Technol. 2017, 45, 23–27. [Google Scholar]
- Wu, S.; Chen, Q.; Meng, L.; Tong, Y. Study on slope stability under mining disturbance in cold area. China Coal 2020, 29, 125–130. [Google Scholar]
- Yan, X.; Liu, H.; Xing, C.; Li, C. Variability of elastic modulus in rock under freezing-thawing cycles. Rock Soil Mech. 2015, 36, 2315–2322. [Google Scholar]
- National Cryosphere Desert Data Center. Distribution Map of Frozen Ground in China based on Map of Snow, Ice and Frozen Ground in China. 2018. Available online: www.ncdc.ac.cn (accessed on 28 November 2024).
- GB/T 50123-2019; Standard for Geotechnical Testing Method. General Institute of Water Resources and Hydropower Planning and Design, M.o.W.R.N.I.o.W.R.S.a.T.: Beijing, China, 2019; p. 717.
- Shi, C.; Zhang, Q.; Wang, S. Numerical Simulation Technology and Application with Particle Flow Code(PFC5.0). Rock Soil Mech. 2018, 36. [Google Scholar]
- Xiang, L. Research on Freeze-Thaw Damage Mechanism of Mudstone Slope and Seasonal Control Mining Method in Open-pit Mines of Cold Regions; China University of Mining and Technology: Xuzhou, China, 2021. [Google Scholar]
























| Number of Freeze–Thaw Cycles (Times) | Compressive Strength (kPa) | ||
|---|---|---|---|
| 100 kPa Perimeter Pressure | 200 kPa Perimeter Pressure | 300 kPa Perimeter Pressure | |
| 0 | 345.65 | 554.63 | 735.60 |
| 1 | 325.59 | 523.50 | 724.18 |
| 3 | 310.24 | 500.49 | 687.45 |
| 5 | 296.75 | 511.27 | 661.69 |
| 10 | 280.19 | 476.62 | 666.16 |
| Parametric | Value | Parametric | Value |
|---|---|---|---|
| emod | 40 MPa | pb_ten | 300 kPa |
| kratio | 5.0 | pb_coh | 60 kPa |
| pb_emod | 40 MPa | fric | 0.8 |
| Number of Freeze–Thaw Cycles | 0 | 1 | 3 | 5 | 10 | 20 |
|---|---|---|---|---|---|---|
| Discount Factor | 1.95 | 1.60 | 1.50 | 1.50 | 1.30 | 1.20 |
| Maximum particle displacement (m) | 21.58 | 18.82 | 11.30 | 16.58 | 11.93 | 12.53 |
| Measuring Point | 1 | 2 | 3 | 4 | 5 | 6 | 7 | 8 |
|---|---|---|---|---|---|---|---|---|
| Stress in the X-direction/kPa | 20 | 14 | 27 | 71 | 32 | 140 | 160 | 100 |
| Stress in the Y-direction/kPa | 49 | 25 | 49 | 62 | 27 | 64 | 420 | 320 |
Disclaimer/Publisher’s Note: The statements, opinions and data contained in all publications are solely those of the individual author(s) and contributor(s) and not of MDPI and/or the editor(s). MDPI and/or the editor(s) disclaim responsibility for any injury to people or property resulting from any ideas, methods, instructions or products referred to in the content. |
© 2024 by the authors. Licensee MDPI, Basel, Switzerland. This article is an open access article distributed under the terms and conditions of the Creative Commons Attribution (CC BY) license (https://creativecommons.org/licenses/by/4.0/).
Share and Cite
Li, R.; Guo, Y.; Zhou, W.; Lu, X.; Zhang, Z.; Tian, Y.; Qi, X. Freeze–Thaw Damage Characteristics of Soil–Rock Mixtures in Open-Pit Coal Mines and Stability Analysis of Slopes in Discharge Sites Based on Partial Flow Code. Appl. Sci. 2024, 14, 11585. https://doi.org/10.3390/app142411585
Li R, Guo Y, Zhou W, Lu X, Zhang Z, Tian Y, Qi X. Freeze–Thaw Damage Characteristics of Soil–Rock Mixtures in Open-Pit Coal Mines and Stability Analysis of Slopes in Discharge Sites Based on Partial Flow Code. Applied Sciences. 2024; 14(24):11585. https://doi.org/10.3390/app142411585
Chicago/Turabian StyleLi, Rui, Yihan Guo, Wei Zhou, Xiang Lu, Zhiyuan Zhang, Ya Tian, and Xiang Qi. 2024. "Freeze–Thaw Damage Characteristics of Soil–Rock Mixtures in Open-Pit Coal Mines and Stability Analysis of Slopes in Discharge Sites Based on Partial Flow Code" Applied Sciences 14, no. 24: 11585. https://doi.org/10.3390/app142411585
APA StyleLi, R., Guo, Y., Zhou, W., Lu, X., Zhang, Z., Tian, Y., & Qi, X. (2024). Freeze–Thaw Damage Characteristics of Soil–Rock Mixtures in Open-Pit Coal Mines and Stability Analysis of Slopes in Discharge Sites Based on Partial Flow Code. Applied Sciences, 14(24), 11585. https://doi.org/10.3390/app142411585

