Next Article in Journal
A Comparative Analysis of Anomaly Detection Methods in IoT Networks: An Experimental Study
Previous Article in Journal
System Proposal for Supervision of Critical Adverse Processes in Patients with Implanted Ventricular Assist Devices
 
 
Font Type:
Arial Georgia Verdana
Font Size:
Aa Aa Aa
Line Spacing:
Column Width:
Background:
Article

Comparison of Particle Image Velocimetry and Planar Laser-Induced Fluorescence Experimental Measurements and Numerical Simulation of Underwater Thermal Jet Characteristics

by
Chengzhe Gao
1,
Changgeng Shuai
1,
Yongcheng Du
1,*,
Feiyang Luo
1 and
Baolin Wang
2
1
Institute of Noise and Vibration, Naval University of Engineering, Wuhan 430033, China
2
School of Naval Architecture, Ocean and Energy Power Engineering, Wuhan University of Technology, Wuhan 430063, China
*
Author to whom correspondence should be addressed.
Appl. Sci. 2024, 14(24), 11557; https://doi.org/10.3390/app142411557
Submission received: 8 October 2024 / Revised: 7 December 2024 / Accepted: 7 December 2024 / Published: 11 December 2024

Abstract

During the underwater movement of a submarine, cooling water at a specific temperature is discharged into the surrounding water through nuclear reactor secondary loop circulation, creating a thermal jet. Thermal jets are characterized by initial velocity and temperature properties that allow for complete mixing with the surrounding water through a combination of mixing and heat transfer processes. This paper aims to investigate the movement and diffusion of underwater thermal jets, specifically examining the temperature stratification of the ambient water, the initial velocity of the jet, and the effect of temperature on the velocity field and temperature field of the underwater thermal jet. This study utilizes particle velocity measurements and the laser-induced fluorescence method to measure the velocity field and temperature field of the thermal jet, as well as simulation methods to validate conclusions. The experimental and simulation conditions in this paper are mainly categorized into two types: uniform water body and thermally-stratified water body. Upon analysis and comparison of the experimental and simulation results, it has been observed that an increase in jet velocity will hinder the upward diffusion of jet temperature, decrease the floating height of the jet, and slow down the rate at which the jet temperature decays. Furthermore, as the difference between the jet temperature and the ambient water temperature increases, the upward diffusion of the jet temperature becomes predominant, resulting in a 40–50% increase in its floating rate. It is evident that the stratification conditions of the background environment have a significant impact on the jet temperature diffusion. When the jet temperature diffuses to the thermally-stratified interface of water in the tank, it ceases to float due to density differences; consequently, its temperature cannot diffuse further towards or reach the water surface.

1. Introduction

A jet is defined as a flow state in which fluid with initial momentum flows into an ambient fluid through a vent or nozzle and mixes strongly with the ambient fluid. Jets are characterized by the flow of a fluid with initial momentum through a vent or nozzle into the ambient fluid, where it then strongly mixes [1]. The size of the initial momentum of the fluid determines three categories of jets, as follows: pure jet, where the initial momentum is large and the buoyancy of the ambient fluid is small; volume flow, where the initial momentum is small and the buoyancy plays a dominant role; buoyancy jet, where there is certain initial momentum along with the effects from buoyancy [2]. Thermal jets are jets dominated by buoyancy and exhibit significant temperature differences compared to the surrounding fluids. For example, underwater vehicle thermal jets rely on circulating cooling systems for normal operation. The heat generated by these systems undergoes energy exchange before being discharged as high-temperature wastewater into surrounding water bodies. Advancements in infrared detection technology have improved environmental temperature change detection accuracy and reduced the risks of infrared detection for underwater vehicles. Therefore, studying the characteristics, such as formation, diffusion, and attenuation, and the laws governing buoyancy related to underwater thermal jets becomes crucial [3]. There are relevant studies in the literature to explain these problems [4,5,6,7,8,9,10,11,12].
During the process of thermal jet discharge, a strong doping heat transfer and thermal jet heat diffusion are produced between the thermal jet and the ambient water body [13]. Therefore, based on the development process of the thermal jet, it can be roughly divided into three regions, as follows: the pure jet region (dominated by initial momentum); the buoyant jet region (gradual weakening of initial momentum with increasing role of buoyancy force); and the volume flow stage (decreasing momentum attenuation with obvious role of buoyancy force). With advancements in laser detection methods, there has been a breakthrough in observing fluid motion. Techniques such as particle image velocimetry (PIV) and planar laser-induced fluorescence (PLIF) have gained popularity due to their advantages in observability. The inclusion of marker particles in the jet reflects its flow field state, while velocity vectors are determined using pulsed light sources for particle scattering to measure flow fields [14,15]. The actual ocean environment is characterized by a vertical gradient with spatially inhomogeneous seawater temperatures due to sunlight irradiation. Stable temperature stratification is often present within ocean interiors, leading to different temperature distributions across various ocean areas. The unevenness of seawater temperature, as well as the pressure and salinity variations, lead to a stratified vertical distribution of seawater density. This results in temperature differences between upper and lower layers of seawater, creating obvious temperature interfaces. Mirajkar [16] investigated the dynamics of forced plumes in linearly stable stratified environments by using PIV measurements, with a focus on turbulence and mixing behavior. Additionally, the response of jet outflow to influencing factors, such as outflow flow rate and depth of the jet in the water environment, were analyzed using the PIV technique for nonlinear stratified fluid environments [17]. Furthermore, Watanabe [18] studied the flow characteristics and structure of highly buoyant jets entering stagnant high-density fluids utilizing scanning stereoscopic PIV combined with proper orthogonal decomposition (POD) analysis. The results indicated that the formation of jet vortex structures is induced by highly sheared layers between upper and lower velocities. In another related study, experimental characterization was conducted on turbulent motion within a sphere wake collapsing under buoyancy in a linearly stable brine stratification environment [19]. Mirajkar [20] investigated the mean flow and turbulence characteristics of buoyant jets evolving in linearly stratified environments with varying stratified strengths. This was achieved through simultaneous particle image velocimetry and planar laser-induced fluorescence techniques, capturing the jet velocity and density fields under the experimental conditions. Bonnier [21] conducted an experimental investigation into the thermal jet characteristics under steady stratified conditions. Hassanzadeh [22] observed the jet mixing process with ambient fluid using a high-speed camera, laser imaging, and ultrasonic velocimetry. The jet mixing process was categorized into fully turbulent and semi-turbulent regions, with the semi-turbulent region further classified into momentum-dominated and buoyancy-dominated regions. It was concluded that the fluid flow was controlled by interactions between fluid inertia, viscosity, and buoyancy. It can be found from the above literature that PIV technology is mainly used to carry out relevant research on jet problems, and PIV combined with PLIF technology is rarely used. There are also few studies on jet flow in strong stratification environment.
In addition to the experimental research, some scholars use the simulation method to carry out computational research on the jet problem. Khosravi conducted an analysis of the flow state of a unilateral discharging thermal jet in a cross-flow environment using computational fluid dynamics (CFD). The results indicated that the ratio of the jet velocity to the ambient water flow velocity affects the initial temperature of the jet [23]. Bae [24] compared the simulation effectiveness of several low Reynolds number k-ε turbulence models and found that the Myong–Kasagi model (one of the low Reynolds number turbulence models) can better represent strongly buoyant flow states generated by walls compared with DNS and RANS. Ishigaki [25] investigated mesh non-orthogonality in numerical computational solutions for thermal jet flow by comparing divisions with hexahedral and prismatic grid cells. The results showed that prismatic grid cells increase computational instability compared to hexahedral grid cells; although, utilizing a non-orthogonal correction method improves computational stability, it also increases convergence computation time. Kumar [26] proposed a unified formulation for addressing mesh variability in thermal jet flows by deriving pressure correction equations from energy equations and simplifying Poisson’s equation into continuity constraints which can better simulate flows involving large density variations. Bloutsos [27] discussed the average flow mixing characteristics of vertical circular thermal jets in weak cross-flows using an integral method and established Reynolds mean partial differential equations with continuous tracer mass and momentum conservation under curvilinear column coordinate systems to describe the thermal jet phenomena effectively. In the simulation calculation, the selection of the turbulence model and the setting of grid calculation conditions have obvious effects on the jet calculation results, and the temperature stratification setting in the fluid calculation domain lacks attention. There are few comparative studies with experiments.
In this paper, the characteristics of the underwater thermal jet flow field are investigated, with a specific focus on the temperature diffusion region of the jet. The PIV and PLIF techniques are employed to measure both the temperature and velocity fields of the jet motion, allowing for a comparison with simulation calculations. The jet experiment is carried out in a water tank, and PIV and PLIF technologies are used to carry out fine measurement of the velocity and temperature characteristics of the jet field. At the same time, the jet movement process is simulated based on simulation software. The reliability of the test results is ensured by comparing the experimental results with the simulation results, and the logic is more complete. A two-phase flow model is used in the simulation. The calculation domain of the water tank is the wall boundary, the jet outlet was the velocity boundary, the turbulence model is the k-ε model, and the structure grid is used as a divide.
Some of the symbols and abbreviations that appear in this paper are defined below Table 1:

2. Experimental Platforms and Devices Materials and Methods

2.1. Composition of Equipment Experimental Rig

The experimental platform and devices mentioned in this paper primarily consist of the following: (1) a thermally-stratified water tank, (2) a thermal jet generator, (3) a PIV and PLIF measurement system [28,29,30], and (4) a thermal imaging camera. These are illustrated in Figure 1.
Temperature stratification tanks utilize an insulating membrane to achieve stable temperature stratification, allowing for the connection of jets with different depths of entry. The flowmeter utilizes a double-ring glass rotor flowmeter to accurately measure the outlet flow rate and stabilize the temperature of the thermal jet within a range of 0.1–1 L/min, with a flow rate change range of 0.05–0.5 m/s. The outlet diameter of the jet pipe is 6 mm, and the size of the tank is 0.8 m × 0.35 m × 0.55 m. The water temperature in the tank is consistent with the indoor environment temperature, and relevant measures are not taken to ensure that the water temperature in the tank is constant at a specific temperature, only to ensure that the difference between the jet discharge temperature and the water temperature in the tank is a certain value. By standing for a period of time, the water temperature inside the tank tends to be consistent and evenly distributed.
Temperature control switches with thermocouples are used to maintain a constant temperature within the tank, automatically disconnecting when the set temperature is reached and reconnecting when it falls below the set value. The type of thermocouple is a type K, the temperature sensing end is placed in the jet heating pool, and the jet heating pool is independently placed on the right side of the thermally-stratified water tank. Additionally, a tee design at the jet outlet allows for precise discharge of cold water before filling with preset hot water, ensuring accurate experimenting within the temperature stratification tank.
The fundamental principle of the PIV technique is to disperse tracer particles within the flow field, utilizing a pulsed laser sheet as the light source to illuminate the area of interest in the flow field to capture images of the particles through two or more consecutive exposures using a negative or CCD camera, and then employing image processing technology to divide the resulting image into numerous small areas. Subsequently, utilizing optical Young’s stripes, autocorrelation or cross-correlation methods, process the size and direction of the recorded image on the PIV negative or CCD to calculate various motion parameters, including velocity vector map, velocity component map, and streamline map. In essence, PIV measures particle velocities in fluid flows by employing tracer particles with good followability to represent fluid velocities at their respective locations. The high-speed camera used is an I-SPEEDTR type capable of full frame shooting speed up to 2000 FPS with a resolution of 2048 × 1024 pixels and maximum shooting speed of 10,000 FPS. It features a large sampling frequency and high-resolution characteristics. The solid-state laser employed is an MGL-W-532 model with an output power of 15 W (Chinese Science Dean Chunguang Machinery Institute, Chunguang, China).
The PLIF temperature measurement technology utilizes laser excitation to induce fluorescence in a specific fluorescent substance (Rhodamine B) added to the fluid. The molecules of Rhodamine B absorb the laser radiation of a specific frequency and then undergo radiative excursion, resulting in molecular fluorescence. The intensity of Rhodamine B fluorescence is highly sensitive to changes in temperature, exhibiting a strong correlation with temperature variations. High-speed cameras are employed to record the fluorescence intensity, allowing for the inverse deduction of temperature.

2.2. Reliability Verification

To ensure the reliability of the proposed experimental techniques, specific experimental conditions are selected. Initially, a measuring cylinder and a thermometer are placed in an empty tank. The jet switch is then turned on, and the volume and temperature of the jet in the measuring cylinder are measured after 1 min. This process is repeated three times to obtain accurate results. The findings from these experiments are presented in Table 2. The difference between Number 1 and Number 2 lies in the difference in the initial jet velocity. The jet velocity used for testing in Number 1 is 0.1 m/s, and the jet velocity in Number 2 is 0.3 m/s, but the initial jet temperature in testing Number 1 and 2 is the same. The test is repeated three times at the same speed and temperature. The purpose of the test is to verify the stability of the jet generator. The speed and temperature are selected according to the typical working conditions.
In terms of the error in jet velocity and temperature, both are within acceptable limits, indicating good stability of the thermal jet generator.
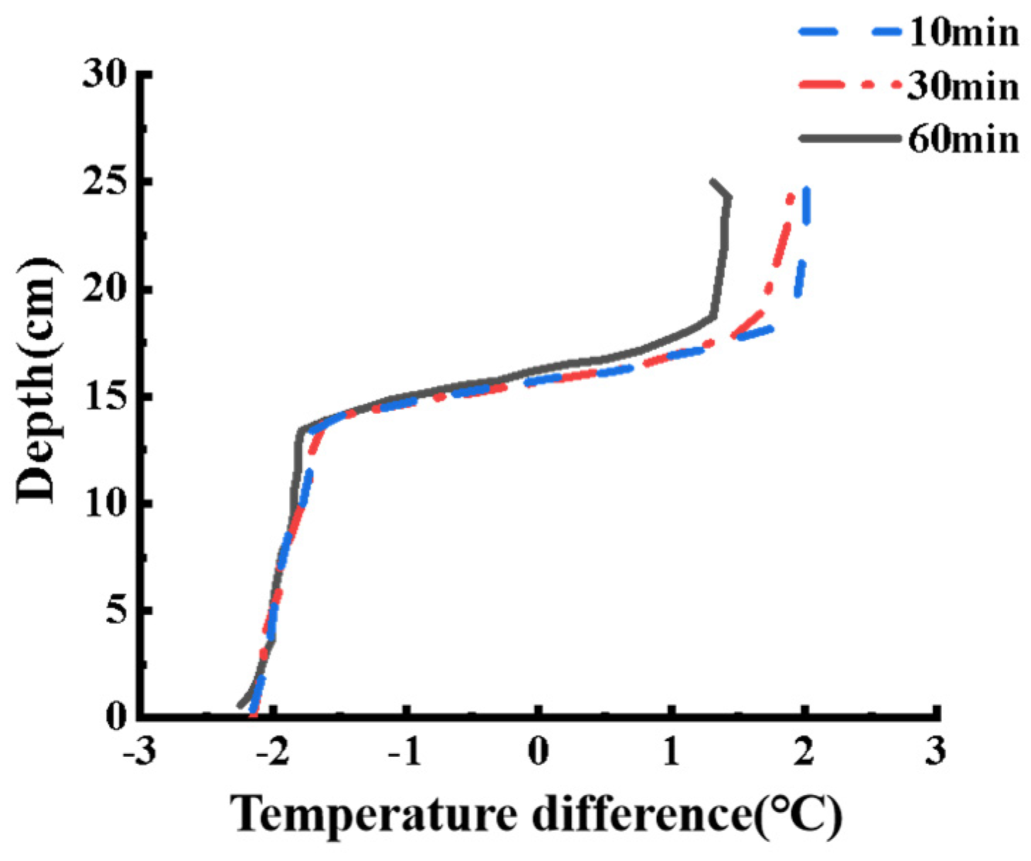
The reliability of the thermally-stratified water tank is primarily demonstrated through its minimal change of jet velocity and temperature over time. Figure 2 illustrates the variation in depth and temperature difference of the thermally-stratified water tank across different working times.
According to the change curve, it is evident that the temperature of the upper water body remains relatively stable over time, while the temperature of the lower water body fluctuates within a range of 1 °C. As a result, the temperature water tank meets the experimental requirements in terms of maintainability, and its impact on the temperature field of the thermal jet water surface can be considered negligible.

3. Mathematical Modeling

3.1. Governing Equations

(1) Mass conservation equation [31]
ρ t + d i v ( ρ u ¯ ) = 0
where ρ is the fluid density, and u ¯ is the velocity vector.
The ambient fluid density is fitted as a polynomial with temperature according to the empirical equation [32]:
ρ = 1001.05 0.0685 T 0.0038 T 2
(2) Momentum conservation equation [31]
ρ u t + d i v ρ u u ¯ = p x + τ x x x + τ y x y + τ z x z + F x ρ v t + d i v ρ v u ¯ = p y + τ x y x + τ y y y + τ z y z + F y ρ w t + d i v ρ w u ¯ = p z + τ x z x + τ y z y + τ z z z + F z
where p is pressure, u , v , w are the components of the velocity vector u ¯ in the x , y , z directions, τ x x , τ x y , τ x z et al. are the components of the viscous stress τ acting on the surface of the microelement due to the molecular viscosity action, and F x , F y , F z are volume forces on the element.
(3) Energy conservation equation [31]
ρ T t + d i v ρ u ¯ T = d i v λ c p g r a d T + S T
where c p is the constant pressure of specific heat capacity, T is temperature, λ is the heat transfer coefficient of fluid, and S T is the viscous dissipation term.

3.2. Turbulence Modeling

Compared with LES, the k - ε turbulence model requires fewer computing resources, shorter computing time, and has stability, economy, and calculation accuracy, which is more suitable for the calculation and solution of related problems in this paper. Therefore, the k - ε turbulence model is chosen.
Turbulent kinetic energy k Equation [33,34]
t ( ρ k ) + x i ρ k u i = x j σ k μ eff k x j + G k + G b ρ ε Y M + S k
where k is the turbulent kinetic energy, σ k is the turbulent Planck number of turbulent kinetic energy, μ eff is modified kinetic viscosity, G k is the turbulent energy due to mean velocity gradient, G b is the turbulent energy due to buoyancy, specific dissipation rate, and i , j are index symbols in tensor, value ranges are (1,2,3).
The specific dissipation rate ε Equation [33,34]
t ( ρ ε ) + x i ρ ε u i = x j σ ε μ eff ε x j + G 1 ε ε k G k + G 3 ε G b G 2 ε ρ ε 2 k R ε + S ε
For incompressible fluids, G b = 0 , Y M = 0 , S k = 0 and S ε = 0 . The source term does not need to be considered in the calculations in this paper. Equations (5) and (6) are simplified as follows [33,34]:
t ( ρ k ) + x i ρ k u i = x j σ k μ eff k x j + G k ρ ε
t ( ρ ε ) + x i ρ ε u i = x j σ ε μ eff ε x j + G 1 ε ε k G k G 2 ε ρ ε 2 k R ε
μ eff = μ + μ t ,   μ t = ρ C μ k 2 ε ,   G k = ρ u i u j ¯ u j x i ,   R ε = C μ ρ η 3 1 η / η 0 1 + β η 3 ε 2 k ,   η = S k ε ,   S = 2 S ij S ij ,   S ij = 1 2 u i x j + u j x i .
G 1 ε = 1.42   J / kg ,   G 2 ε = 1.68   J / kg ,   C μ = 0.0845 ,   σ k = 1.0 ,   σ ε = 1.3 ,   η 0 = 4.38 ,   β = 0.012 .

4. Numerical Simulation Model

4.1. Computational Models

The simulation calculation is conducted using the STAR-CCM+ software platform (version number: 2021.1 v16.02.008-R8). The water tank has dimensions of 80 cm × 35 cm × 55 cm. All faces of the water tank serve as wall boundaries, and the jet is discharged straight out from the pipe aperture as a velocity inlet. The mesh division is illustrated in Figure 3. The motion region of the jet and the location of the free liquid surface are controlled by body encryption, while the overall mesh size of the computational domain of the water tank is constrained by face control.

4.2. Irrelevance Verification

To ensure the accuracy of the simulation calculation results, the consistency of the calculation is confirmed by comparing the number of grids and time steps. The jet temperature data at a fixed depth and distance in the water tank are shown in Table 3 under the convergence residuals of the same order of magnitude, with grid numbers of 650,000, 780,000, and 970,000. It can be observed from Table 3 that increasing the number of grid points further has no effect on the calculation results; therefore, the grid setting conditions are the same as a grid size of 970,000. Similarly, comparing time steps set at 0.01 s, 0.02 s, and 0.05 s for velocity size of jets at fixed depth and distance positions is also shown in Table 4. The time step clearly affects stability of the calculation results; when set to 0.01 s and 0.02 s, there is only a small difference between results. Thus, for computational resource saving purposes, it is decided to fixate on a time step setting of 0.02 s. In the initial state of the jet, only the velocity in the X-axis direction exists, and the velocity is 0.1 m/s. When the time step is 0.02 s, the basic mesh size is set to 0.01 m, satisfying the CFL conditions.

5. Analysis of Experimental and Simulation Results

5.1. Uniform Water Body Conditions

The experimenting conditions involved a stationary, temperature-unstratified ambient water body. The details of the experimental set can be found in Table 5 (TD represents the temperature difference between the incoming jet and the surrounding water body).

5.1.1. Case 1 Working Conditions

Under Case 1 conditions, the initial velocity of the jet is 0.1 m/s, the water depth is 0.26 m, and the temperature difference with the ambient water body is 10 °C. PLIF technology is used to measure the thermal jet in a uniform water environment at intervals of 5 s, 10 s, 15 s, 20 s, 25 s, and 30 s to observe changes in the temperature field distribution. The experimental results are shown in Figure 4.
As depicted in Figure 4, at 5 s, the outflow distance of the thermal jet is slightly greater than 10 cm, with a floating height of no more than 5 cm. In the core area of the thermal jet, there remains a temperature difference of nearly 10 °C between the thermal jet and the environment; while in an area about 10 cm away from the outlet, it appears to float upwards, with a decreased temperature difference of about 4 °C. By 10 s, the outflow distance has increased to close to 20 cm, and the floating height is approximately 10 cm. The thermal jet appears more obvious in its upward stage after reaching a distance of around 10 cm from the outlet. During this stage, there is a gradual decrease in temperature difference between the thermal jet and the environmental water body from 4 °C to about 1 °C. At 15 s, the outflow distance exceeds slightly beyond 20 cm, and the floating height exceeds 10 cm. Compared with 10 s, the temperature field area of the temperature difference between the thermal jet and the environmental water body within 1 °C increases. At 20 s, the outflow distance of the thermal jet is about 25 cm, and the floating height is more than 15 cm. Compared with 15 s, the temperature field area of the temperature difference range of 2–4 °C is slightly reduced. At 25 s, the thermal jet outflow distance is close to 30 cm, and the rising height is more than 20 m. Compared with 20 s, the temperature difference range of 1° continues to expand, the diffusion distance is 30 cm, the rising height is 21 cm, and the temperature difference dissipates in some areas at the back end of the rising stage. At 30 s, the thermal jet emerges from a distance of more than 30 cm and floats to the surface of the environmental water body, with similar temperature distribution characteristics as at 25 s, but a large range of temperature difference dissipates when it rises to the surface of the water body.
Simulation calculations are performed according to the grid setup size and calculation time step in the irrelevance validation in Section 4.2 to save the temperature field data of thermal jets at 5 s, 10 s, 15 s, 20 s, 25 s, and 30 s in a homogeneous water environment. The results of the Case 1 simulation calculations are shown in Figure 5.
From the thermal jet temperature field over time trend graph, it is evident that the thermal jet discharge does not exhibit a significant upward trend within the first 5 s. As the thermal jet continues to discharge, there is a noticeable loss of momentum in the horizontal direction, leading to an initial upward diffusion of heat and an expansion of the temperature attenuation region into the surrounding area. Between 10 s and 20 s, vertical movement dominates as a result of horizontal momentum loss and a gradual increase in velocity loss. By 25 s, the buoyancy rate of the thermal jet begins to decrease, and its ascent slows down, causing a lateral diffusion of temperature at different depths. As the jet reaches the water surface, significant changes occur in its lateral temperature diffusion region with serious decay near the surface and disappearance of certain temperature field characteristics.
From a comparison of the experimental and simulation results, it is evident that the overall trend of the thermal jet discharge process remains consistent. As the discharge time increases, the horizontal movement of the jet gradually transitions to an upward floating motion, accompanied by a lateral diffusion of the temperature field. Ultimately, the jet floats to the water surface. In consideration of the jet motion trend and temperature field diffusion range, velocity data on the main axis of the jet motion are selected for comparison between experimental and simulation results, as depicted in Figure 6.
In the horizontal coordinate, floating height refers to the vertical rising height of the jet, and the vertical coordinate refers to the jet velocity magnitude.
In the process of upward floating, the thermal jet experiences a significant loss in velocity and decays rapidly within 5 cm of the floating height, with the jet velocity decreasing from an initial 0.1 m/s to approximately 0.04 m/s, resulting in a velocity loss of up to 60%. However, during the subsequent 15 cm of upward floating, the jet velocity decays slowly and gradually stabilizes at around 0.03 m/s, accounting for less than 10% in velocity loss. It is evident that while the initial decay of the thermal jet velocity field is rapid, as it floats upwards it begins to decline slowly due to density differences within the water body. This gradual change persists over a long range of floating depth with minimal amplitude variation. Furthermore, both simulation and experimental results exhibit consistent trends in velocity field decay with a maximum error rate of about 5%, maintaining reasonable accuracy and demonstrating good agreement between them.

5.1.2. Case 2 Working Conditions

In Case 2, the initial velocity of the jet is 0.2 m/s, with a water depth of 0.26 m and a temperature difference of 10 °C compared to the ambient water. The changes in temperature field distribution of the jet discharged in a uniform water environment at intervals of 5 s, 10 s, 15 s, 20 s, 25 s, and 30 s are illustrated in Figure 7 under the experiment conditions.
Upon doubling the initial velocity of the jet, it is observed that when the jet discharge time reaches 5 s, there is no longer an upward trend in the jet movement. Additionally, the jet temperature rapidly decays, resulting in a temperature difference of approximately 4 °C with the ambient water body. This represents a temperature decay of 55%, and it is noted that the temperature diffusion area is predominantly dominated by horizontal direction. By 10 s, a further decline in the jet temperature is observed, with the resultant temperature difference from the ambient water body being about 2 °C. Moreover, it is found that at this point, the vertical height of the jet remained within 5 cm. Subsequently, at around 15 s, there is evidence of buoyancy, as indicated by an increase in floating height to within an interval between 5 and 10 cm. As we approach 20 s, due to its high initial velocity, it can be seen that there has been minimal change in uplift height while maintaining motion dominantly along a horizontal trajectory towards rightward diffusion. Finally, at around 30 s, significant diffusion of the jet’s heat field, reaching up to approximately 50 cm, is recorded. It should also be noted that the uplift height experienced minimal change during this period, and remains within an interval between 10 and 20 cm.
From the trends in the diffusion region of the thermal jet temperature field, it can be observed that when the jet velocity is doubled, there is a significant decrease in the upward trend of the jet temperature. This results in a shift towards horizontal direction dominance in temperature diffusion. As a consequence, there is a reduction of 34.6% in the far-end jet temperature’s upward height, while the horizontal outgoing diffusion distance increases by 20%. Furthermore, it is noted that the jet temperature does not diffuse to the water surface. The area of the temperature dissipation region shows a significant increase, and there is an acceleration in the speed of temperature dissipation. By the 30 s mark, it is found that up to 50% of the thermal jet’s temperature dissipation area can be achieved.
The analysis is based on selected moments (5 s, 10 s, 15 s, 20 s, 25 s, and 30 s) under Case 2 simulation calculations as shown in Figure 8.
Based on the diffusion trend of the jet temperature field, it is observed that the simulation results are in agreement with the experimental data. Specifically, during the first 15 s of jet discharge, there is no significant increase in the jet temperature. The vertical temperature diffusion remains relatively unchanged until this point. Subsequently, an upward trend in the jet temperature is observed, which can be attributed to a temperature difference of over 5 °C between the jet and ambient water, accounting for 80% of the increase. Additionally, it is noted that an increase in jet velocity inhibited the rate of temperature decay and prolonged the time taken for temperature dissipation. As the duration of jet discharge increased from 15 s to 30 s, there is a gradual expansion in the area experiencing temperature diffusion, with a difference of 2–4 °C compared to the ambient water body temperatures. This expansion corresponds to an increase from 40% to 75%. In terms of simulation results, horizontal movement dominates the process of the jet temperature diffusion while vertical changes are minimal, and dissipation characteristics are less pronounced.
Furthermore, as jet velocity increases, horizontal movement becomes more dominant during the initial stages of discharge without significant upward floating. However, after some time has elapsed and with decreasing flow rates, upward diffusion begins but horizontal diffusion continues to prevail overall. Ultimately, though, it is noted that, despite efforts by increasing velocity inhibiting upward diffusion and slowing down decay speed due to reduced floating height, complete surface dispersion still could not be achieved.

5.1.3. Case 3 Working Conditions

For Case 3, the initial velocity of the jet is 0.1 m/s, the water depth is 0.26 m, and there is a temperature difference of 20 °C with the ambient water body. The temperature difference between the jet and the ambient water body remains at 20 °C. In comparison to Case 1, the initial temperature difference of the jet has doubled, while both the depth and velocity of the jet remain unchanged. Figure 9 shows the changes in temperature field distribution of the jet discharged in a uniform water environment at 5 s, 10 s, 15 s, 20 s, 25 s, and 30 s under these experimental conditions.
From the temperature field of the jet over time, it is observed that at 5 s, the jet temperature begins to rise due to upward diffusion. This is caused by a doubling of the difference in temperature between the jet and the ambient water, as well as an increase in the density difference between the jet and the ambient water at the same depth. According to Formula (2), when the temperature difference between the jet and the ambient water is 10 °C, there is a density difference of 1.065 kg/m3, However, when this temperature difference increases to 20 °C, there is a density difference of 2.89 kg/m3, approximately 2.7 times higher than before. Within just 5 s of discharge, it is evident that the jet’s temperature has already begun to float upwards due to diffusion. In fact, during this initial stage of movement, there is a significant decrease in horizontal diffusion area for temperatures by around 15 s, with a lateral diffusion distance still within about 20 cm, while upward floating height has reached approximately 20 cm, occurring about six seconds earlier than under Case 1 conditions, and resulting in an increased rate of upward floating by about 47%. When the jet discharge time reaches about 21 s, the jet temperature is diffused to the surface of the water, and the floating rate is increased by 43%. At this time, the lateral diffusion distance of the jet temperature is small, and the jet movement is still dominated by upward floating. At 25 s, the jet temperature diffusion area begins to develop laterally, in the vertical area of 5 cm from the water surface, the jet lateral diffusion area can reach 25 cm, until 30 s, in this vertical area, the jet temperature dissipation phenomenon.
When the initial temperature difference of the jet is doubled, the jet undergoes rapid uplift, leading to a 40% increase in the uplift rate. The overall motion of the jet is dominated by uplifting rather than horizontal movement. The time required for the jet temperature to spread to the water surface is significantly reduced, equivalent to 70% of that in Case 1 conditions. However, in the near-surface region, once the jet temperature spreads to the water surface, lateral spreading of the temperature field begins later and extends over a greater distance compared with Case 1, resulting in delayed dissipation of the jet temperature.
Based on the experimental conditions, measurements are taken at 5 s, 10 s, 15 s, 20 s, 25 s, and 30 s for analysis of Case 3 simulation calculation results as depicted in Figure 10.
When the jet is discharged at 5 s, there is a noticeable upward diffusion of temperature, with the jet floating upwards to a height of about 5 cm. Compared to the experiment results, there is an obvious difference in the horizontal diffusion distance of the jet’s temperature at this moment. By 10 s, the floating height of the jet’s temperature diffusion has nearly doubled, and there is a horizontal diffusion trend in the top temperature of the jet, although the range of diffusion is small. At 20 s after discharge, the jet’s temperature diffusion reaches near to the water surface, with a horizontal diffusion distance within 10 cm. As for when it reaches the water surface area, unlike what is observed in the results of this experiment, where a wide range lateral temperature diffusion area appears near the water surface; instead, only around that vicinity can we see attenuation on the left and right sides, which aligns more closely with the experimental results at approximately 25 cm. With increasing temperature differences between the ambient water body and the main body of jet as it spreads towards the water surface, upward levitation dominates in its dispersion process by enhancing levitation rate by up to 40%-50%, though no significant change occurs in the decay rate. Before reaching the water surface however, the main body temperature difference from ambient decreases to within 2–4 °C. Once reaching the water surface area—a lateral diffusing region forms near it—further highlighting the dissipation phenomenon.

5.1.4. Case 4 Working Conditions

For Case 4, the initial velocity of the jet is 0.1 m/s, the water depth is 0.52 m, and the temperature difference with the ambient water body is 10 °C. In comparison to Case 1, the depth of the jet is doubled while maintaining unchanged initial temperature difference and jet velocity. The changes in the temperature field distribution of the jet discharged in a uniform water environment at 5 s, 10 s, 15 s, 20 s, 25 s, and 30 s are depicted in Figure 11 under the experimental conditions.
From Figure 11, it is evident that at 5 s, the distance of the thermal jet outgoing is approximately 10 cm with minimal uplift. In the core area of the thermal jet, there is a temperature difference of nearly 10 °C compared to the surrounding environment. At a distance of 10 cm from the outlet, an uplift in the thermal jet can be observed, and the temperature difference between the thermal jet and ambient water at this position decreases to about 4 °C. By 10 s, the distance of the thermal jet has increased to close to 16 cm, with an uplift height of about 7 cm. The thermal jet displays more noticeable uplift after rising past 10 cm from the outlet; during this phase, there is a gradual decay in temperature difference between the thermal jet and ambient water body from 4 °C to about 2 °C. At 15 s, the distance of the thermal jet is slightly more than 20 cm, and the uplift height is close to 15 cm. Compared with 10 s, the temperature difference between the thermal jet and the ambient water body increased within a range of 1 °C.
At 20 s, the distance of the thermal jet is about 30 cm, and the uplift height is 20 cm. Compared with 15 s, there is a slight reduction in the temperature field within a range of 2–4 °C. At 25 s, the thermal jet reaches a distance of approximately 30 cm, with an uplift height of 25 m. In comparison to 20 s, the temperature difference range of 1° continues to expand, and the temperature difference dissipates in the rear part of the uplift stage. By 30 s, the thermal jet’s outgoing distance exceeds 30 cm, and it floats up to 27 cm. The temperature distribution characteristics are similar to those at 25 s, but there is a larger range of temperature dissipation as it rises to the surface of the water body.
Based on measurements taken at intervals of 5 s, 10 s, 15 s, 20 s, 25 s, and 30 s under the experimental conditions, Case 3 simulation calculation results are selected for analysis in Figure 12.
When the depth of the jet is doubled, the trend of temperature diffusion in the jet is essentially consistent with the conditions in Case 1. Within 5 s, there is virtually no upward trend in the thermal jet discharge. As the thermal jet continues to discharge, momentum in the horizontal direction is clearly lost and begins to float upwards, causing the temperature decay region to expand in all directions. In the time period from 10 s to 20 s, the temperature field of the thermal jet is predominantly influenced by a vertical floating motion. The horizontal distance of the outgoing jet increases slowly due to a loss of velocity. At around 25 s, the buoyancy rate of the jet begins to decrease and its increase in height slows down. Different depths of thermal jets begin to show lateral diffusion of temperature regions. At 30 s, it is observed that the floating height reached about 26 cm and did not diffuse up to reach the water surface level.

5.2. Thermally-Stratified Water Body Conditions

The experimental condition involved a stationary, temperature-stratified ambient water body with a 4 °C temperature difference in the stratification. The specifics of the experimental group are detailed in Table 6.

5.2.1. Case 5 Working Conditions

In Case 5 conditions, the initial velocity of the jet is 0.1 m/s, the water depth is 0.26 m, the temperature difference with the ambient water body is 10 °C, and the temperature difference of the ambient water body background stratification is 4 °C. The planar laser-induced fluorescence (PLIF) technique is utilized to measure variations in the temperature field distribution of the thermal jet at time intervals of 5 s, 10 s, 15 s, 20 s, 25 s, and 30 s in a uniform water body environment. The experimental findings are presented in Figure 13.
The figure illustrates the trend of the jet temperature diffusion. It can be observed that, when the jet ascends to the stratified interface, its temperature diffusion state is similar to Case 1 conditions. At 5 s, the horizontal temperature diffusion distance of the thermal jet is approximately 10 cm, with a vertical floating height of less than 5 cm. After discharging for 5 s, both the horizontal and vertical jet temperature diffusion distances double, resulting in a temperature difference of 2–4 °C between the core area and the ambient water body. By 15 s, as the jet temperature floats upwards to the stratified interface, it ceases to diffuse vertically and instead transitions to rightward horizontal diffusion from its core temperature region. The temperature difference between this core region and the ambient water is now less than 4 °C—less than background ambient stratified temperatures. At 20 s, the temperature of the jet continues to diffuse to the right in the horizontal direction. The area of horizontal temperature diffusion is approximately 70%, with a diffusion distance exceeding 30 cm. The temperature difference between the jet and the ambient water body in this region is less than 2 °C, and there is an apparent dissipation of the jet temperature at that time. At 25 s, there is no significant change in the area of the jet temperature diffusion. The increment in horizontal temperature diffusion distance is minimal. A noticeable dissipation of the jet temperature occurs within a horizontal distance of 15 cm from the discharge port. By contrast, within a range of horizontal distances from 15 cm to 35 cm, the area for horizontal temperature diffusion extends up to 20 cm with a vertical height of about 7.5 cm, and the overall temperature diffusion area of the jet is limited below the stratified interface.
Compared to Case 1, where the initial jet velocity, temperature difference, and jet depth are the same, the only difference in Case 5 is the temperature stratification of the background environmental water body. Prior to the diffusion of the jet temperature to the stratified interface, the trend of jet temperature diffusion is essentially identical, with minimal differences in diffusion distance and floating height. However, once the jet temperature diffuses to the stratified interface, it encounters a stratified temperature difference within the environmental water body. This results in a density difference between the upper and lower layers of 0.33 kg/m3. As a result, when the jet’s temperature decreases to that of the lower layer by 4 °C and matches that of the upper layer in terms of density, it can no longer continue floating.
Influenced by the stratified interface effect, there is an observable cessation in the upward movement of the jet after discharging for a period of time. Instead, it begins diffusing horizontally towards its right side. This horizontal diffusion covers a larger area with reduced dissipation, resulting in a 27% increase in horizontal temperature diffusion distance compared to before reaching this interface.
In the irrelevance validation in Section 4.2, simulation calculations are carried out to save the temperature field data of the thermal jet at intervals of 5 s, 10 s, 15 s, 20 s, 25 s, and 30 s in the uniform water environment according to the grid setup size and calculation time step. The results of the Case 5 simulation calculations are shown in Figure 14.
When the jet is discharged for 5 s, a temperature difference of 10 °C between the jet core area and the surrounding water causes minimal temperature attenuation. The horizontal diffusion distance of the temperature is approximately 10 cm, leading to an upward floating trend. As the discharge continues, the rate of temperature diffusion to the stratified interface decreases rapidly as it reaches a floating rate of 85%. Within the jet’s temperature diffusion region, about 60% of the ambient water temperature difference ranges within 2 °C. Constrained by the stratified interface, the upward floating stops and transitions to horizontal movement to the right, with a main body temperature difference below 2 °C.
The background environmental stratification conditions have a significant impact on the jet temperature diffusion. When reaching the stratification interface, influenced by density differences, it prevents further upward movement and diffusion towards the water surface. Instead, there is an increase in lateral diffusion near this interface.
Based on trends in the jet motion and the range of temperature field diffusion data along its main axis, the velocity selected from the experimental results and simulation calculations are compared, as shown in Figure 15.
At the initial stage of discharge, the jet velocity decays more rapidly. As the jet spreads to a height of 5 cm, the velocity decreases by 50%. Subsequently, as the jet moves towards the layered interface, its amplitude gradually reduces to 0.03 m/s, and the vertical velocity component diminishes to 0. Under the influence of the layered interface, the direction of the jet velocity initially experiences dominant vertical uplift, which then gradually transitions into horizontal transverse motion. This change occurs because, as the jet reaches the layered interface, uplift ceases and, therefore, vertical uplift only extends up to this point. Furthermore, once reaching this stratified interface, any further upward movement is halted resulting in a maximum vertical jet velocity amplitude only up to that specific height.

5.2.2. Case 6 Working Conditions

In Case 6, the initial velocity of the jet is 0.2 m/s, with a depth of 0.26 m and a temperature difference of 10 °C compared to the ambient water. The background stratification temperature difference of the ambient water is 4 °C. The initial velocity and depth remain unchanged from Case 5, but the initial velocity of the jet has doubled. Under these experimental conditions, changes in the temperature field distribution of the jet discharged into a uniform water body environment at time intervals of 5 s, 10 s, 15 s, 20 s, 25 s, and 30 s are shown in Figure 16.
When the jet velocity increased from 0.1 m/s to 0.2 m/s, during the initial 10 s of the jet discharge, the temperature diffusion of the jet is predominantly non-vertical, with a vertical temperature diffusion height of less than 3 cm and a horizontal temperature diffusion distance gradually increasing from 10 cm to 20 cm. The temperature difference between the main body temperature diffusion area of the jet and the surrounding water body is approximately 3 °C. By the 15th second of the jet discharge, there is a gradual vertical diffusion trend in the jet temperature, with a vertical temperature diffusion spacing of 4 cm and an upward height of 5 cm. The ambient water body’s temperature difference within the temperature diffusion area accounts for approximately half (50%). At 20 s, there is an upward diffusion of the jet temperature towards a layered interface, with a horizontal diffusion distance reaching 35 cm. In comparison to Case 5 conditions, this represents a 25% increase in the horizontal diffusion rate. However, due to density effects at these layers, upward vertical diffusion ceases. As time progresses and as it moves rightwards for another five seconds after arriving at a stratified interface, the overall decrease in temperature difference between its surroundings becomes less than 1 °C, while showing an increased horizontal spread reaching up to 42 cm. Compared to Case 5 conditions, both the horizontal diffusion distance of the jet temperature and the diffusion rate are increased by 20%. By 30 s, the temperature difference between the jet temperature diffusion area and the ambient water body stabilizes within 1 °C. The horizontal diffusion distance of the jet temperature reaches 49 cm. This is different from Case 5 conditions as a small part of the temperature diffusion area floats up to a height of 10–13 cm. However, the entire jet temperature diffusion area still remains situated beneath the stratified interface. Both the horizontal diffusion distance and the diffusion rate of the jet temperature have been enhanced by 32%.
Based on the experimental condition’s measurement time, moments of 5 s, 10 s, 15 s, 20 s, 25 s, and 30 s are selected from the Case 6 simulation calculations for analysis. These results are shown in Figure 17.
When the jet velocity doubles, the diffusion of the jet temperature is primarily driven by horizontal movement. Up until 15 s, there is an apparent upward floating trend in the diffusion of the jet temperature. The vertical range of temperature diffusion is limited, while the horizontal distance increases rapidly. In comparison to Case 5 conditions, there is a 20% increase in the overall jet temperature diffusion rate in the horizontal direction. As the jet temperature slowly diffuses upwards, it eventually reaches a layered interface where it is influenced by the density gradient. This causes a significant decrease in the vertical floating rate of the jet. However, due to its initial momentum, part of the jet’s temperature diffusion area remains above this layered interface. Subsequently, dominant horizontal diffusion movement begins, as opposed to the overall vertical temperature diffusion distance being relatively small for the jet at this point.

5.2.3. Case 7 Working Conditions

In Case 7, the initial velocity of the jet is 0.1 m/s, the depth is 0.26 m, and the temperature difference with the ambient water is 25 °C, with a background stratification temperature difference of the ambient water at 4 °C. The initial velocity and depth of the jet remain unchanged from Case 5 conditions; however, there has been a 2.5 times increase in the initial temperature difference of the jet. Under these experimental conditions, Figure 18 illustrates changes in the temperature field distribution of the jet discharged into a uniform water environment at time intervals of 5 s, 10 s, 15 s, 20 s, 25 s, and 30 s.
When the initial temperature difference of the jet increases significantly, there is a clear increase in the rate of the jet temperature diffusion. At 5 s, the horizontal diffusion distance of the jet temperature reaches approximately 10 cm, with minimal vertical floating. However, the vertical temperature diffusion spacing reaches 4 cm, doubling that compared to Case 5 conditions. The temperature difference between the core area of the jet and the ambient water body is about 15 °C. By 10 s, there is a wide range of upward diffusion for the jet temperature, with a floating rate reaching up to 0.015 m/s. The ambient temperature difference between the water body and the jet is about 8 °C and, at this moment, approximately 40% of the area is covered by the jet temperature diffusion. The dominant movement in vertical floating during this moment leads to only a small increase in horizontal direction for the diffusion distance. At 15 s, both the horizontal diffusion distance and the vertical floating height reach significant levels: 20 cm and 17 cm, respectively. This differs from the previous one, as in this case the jet temperature ceases to fluctuate after diffusing it to the layered interface. At this point, a portion of the temperature diffusion area appears to move horizontally towards the right side, while the main jet temperature diffusion area continues to rise. This phenomenon is attributed to the large initial temperature difference of the jet and a lower water density difference of 4.1 kg/m3. The main area continues to float upwards even after diffusing to the layered interface due to a large initial temperature. When the jet temperature diffuses to the layered interface, it attenuates to around 6–8 °C, and since the jet density is still less than the upper water density, the jet temperature continues to diffuse upwards and floats. Between 15 s and 20 s, the diffusion rate of the jet temperature floating upwards slows down, indicating that the layered interface plays a role in inhibiting the upward diffusion of the jet temperature. During this time period, the horizontal diffusion distance of the jet temperature is only about 2 cm. At 25 s, with further attenuation of the jet temperature, its upward floating diffusion stops, and it begins moving horizontally towards the right side at a rate of 0.02 m/s, with a diffusion distance reaching 30 cm. Until 30 s, there is continued horizontal diffusion of approximately 8 cm towards the right side within this range where there is also an observable phenomenon of dissipation in temperatures within certain limits. The overall difference between the jet temperature diffusion area and ambient water temperature within this range is maintained at 1–4 °C.
Based on measurement times under the experimental conditions (5 s, 10 s, 15 s, 20 s, 25 s, and 30 s), Case 7 simulation calculations are selected and analyzed as shown in Figure 19.
When the initial temperature difference of the jet significantly increases, the diffusion of the jet temperature in the vertical direction rapidly floats upwards. By 10 s of discharge, the jet temperature diffusion gradually approaches the stratified interface. The influence of the stratified interface inhibits the upward floating process of the jet temperature diffusion at 15 s and indicates a trend of horizontal diffusion to the right. However, due to higher temperatures from jet attenuation compared to those in the upper layer of water, there is continuous upward diffusion of the jet temperature resulting in noticeable perturbation at the stratified interface.
For jets with initially high temperatures, environmental water stratification still has an inhibitory effect on their rise and rate of thermal diffusion. When reaching a stratification interface during this process, if temperatures from attenuated jets remain higher than those in upper water layers, then upward thermal diffusion occurs, but at a reduced rate. This translates gradually into horizontal thermal dispersion while exhibiting more apparent dissipation phenomena for the jet temperatures.

6. Conclusions

The research in this paper conducts measurement experiments on the relevant features of the physical field of underwater thermal jets using PIV and PLIF techniques. Additionally, this paper performs numerical calculations using simulation software to compare the effects of different factors on the temperature diffusion of the jet. From the analysis of various influencing factors, this paper has drawn the following conclusions:
(1)
When the velocity of the jet increases, the diffusion of the jet temperature is primarily driven by horizontal movement. Initially, there is minimal upward floating at the onset of the jet discharge. However, as time progresses and the jet flow decays, the jet temperature begins to diffuse upwards. Overall, the horizontal temperature diffusion is predominantly influenced by the jet velocity. Ultimately, the jet temperature is unable to diffuse all the way to the water surface. Furthermore, an increase in jet velocity hinders upward diffusion of its temperature while a decrease in floating height slows down the decay rate of its temperature.
(2)
As the temperature difference of the jet increases, upward levitation dominates the jet temperature diffusion, resulting in a 40–50% enhancement in the levitation rate. However, there is no significant change in the temperature decay rate. Prior to the diffusion of the jet temperature to the water surface, the temperature difference between the main body of the jet and the surrounding water decreases to within 2–4 °C. Once the jet temperature spreads to the water surface, a lateral temperature diffusion region forms near the water surface, leading to more noticeable temperature dissipation.
(3)
The impact of background environmental stratification on the diffusion of the jet temperature is significant. When the jet temperature diffuses to the stratification interface, it stops floating due to density differences and cannot diffuse to the water surface. As a result, the lateral diffusion area near the stratification interface experiences an increase in the jet temperature. The environmental stratification status inhibits the floating diffusion of the jet temperature, thereby reducing its rate of diffusion.
In fact, this paper simplifies the problem of submarine cooling water discharge into a static thermal jet problem for research and analyzes the differences of jet floating diffusion in a strongly stratified environment. Based on the changes in jet velocity and depth, relevant suggestions can be given on whether there is a risk of infrared exposure on the surface of the water, and it is necessary to pay attention to the characteristics of the stratified state of the marine environment during the actual voyage of the submarine to ensure that the temperature signature of its discharged jet is not detected. The simplification of this study has brought about some problems, one is that the jet discharge process under the motion state is not simulated, the other is that the submarine model or the actual submarine is not studied. In the follow-up work, it can be further discussed.

Author Contributions

Conceptualization, C.G. and Y.D.; methodology, C.G. and F.L.; software, C.G.; validation, C.G. and B.W.; formal analysis, C.G.; investigation, C.S.; resources, C.S.; data curation, C.G.; writing—original draft preparation, C.G.; writing—review and editing, C.G.; visualization, C.G.; supervision, C.S.; project administration, C.S. All authors have read and agreed to the published version of the manuscript.

Funding

This research received no external funding.

Institutional Review Board Statement

Approved for publication after confidential review (2024-2639).

Informed Consent Statement

Informed consent was obtained from all subjects involved in the study.

Data Availability Statement

The original contributions presented in the study are included in the article, further inquiries can be directed to the corresponding author.

Conflicts of Interest

The authors declare no conflict of interest.

References

  1. Kotsovinos, N.E. Axisymmetric submerged intrusion in stratified fluid. J. Hydraul. Eng. 2000, 126, 446–456. [Google Scholar] [CrossRef]
  2. Kaye, N.B. Turbulent plumes in stratified environments: A review of recent work. Atmos.-Ocean 2008, 46, 433–441. [Google Scholar] [CrossRef]
  3. Papanicolaou, P.; Stamoulis, G. Spreading of buoyant jets and fountains in a calm, linearly density-stratified fluid. In Environmental Hydraulics; CRC Press: Boca Raton, FL, USA, 2010; pp. 123–128. [Google Scholar]
  4. Xue, X.; Chandrala, L.D.; Katz, J. Flow structure and turbulence in the near field of an immiscible buoyant oil jet. Phys. Rev. Fluids 2021, 6, 024301. [Google Scholar] [CrossRef]
  5. Pérez-Díaz, B.; Palomar, P.; Castanedo, S.; Álvarez, A. PIV-PLIF characterization of nonconfined saline density currents under different flow conditions. J. Hydraul. Eng. 2018, 144, 04018063. [Google Scholar] [CrossRef]
  6. Ibarra, E.; Shaffer, F.; Savaş, Ö. On the near-field interfaces of homogeneous and immiscible round turbulent jets. J. Fluid Mech. 2020, 889, A4. [Google Scholar] [CrossRef]
  7. García-Alba, J.; Bárcena, J.F.; García, A. Zonation of positively buoyant jets interacting with the water-free surface quantified by physical and numerical modelling. Water 2020, 12, 1324. [Google Scholar] [CrossRef]
  8. Daskiran, C.; Xue, X.; Cui, F.; Katz, J.; Boufadel, M.C. Impact of a jet orifice on the hydrodynamics and the oil droplet size distribution. Int. J. Multiph. Flow 2022, 147, 103921. [Google Scholar] [CrossRef]
  9. McCutchan, A.L.; Johnson, B.A. Laboratory experiments on ice melting: A need for understanding dynamics at the ice-water interface. J. Mar. Sci. Eng. 2022, 10, 1008. [Google Scholar] [CrossRef]
  10. Ferrari, S.; Badas, M.G.; Querzoli, G. On the effect of regular waves on inclined negatively buoyant jets. Water 2018, 10, 726. [Google Scholar] [CrossRef]
  11. Hu, B.; Wang, C.; Wang, H.; Yu, Q.; Liu, J.; Zhu, Y.; Ge, J.; Chen, X.; Yang, Y. Numerical Simulation Study of the Horizontal Submerged Jet Based on the Wray–Agarwal Turbulence Model. J. Mar. Sci. Eng. 2022, 10, 1217. [Google Scholar] [CrossRef]
  12. Suleman, M.; Gas, P. Analytical, Experimental and Computational Analysis of Heat Released from a Hot Mug of Tea Coupled with Convection, Conduction, and Radiation Thermal Energy Modes. Int. J. Heat Technol. 2024, 42, 359–372. [Google Scholar] [CrossRef]
  13. Richards, T.S.; Aubourg, Q.; Sutherland, B.R. Radial intrusions from turbulent plumes in uniform stratification. Phys. Fluids 2014, 26, 036602. [Google Scholar] [CrossRef]
  14. Ben Kalifa, R.; Habli, S.; Saïd, N.M.; Bournot, H.; Le Palec, G. Parametric analysis of a round jet impingement on a heated plate. Int. J. Heat Fluid Flow 2016, 57, 11–23. [Google Scholar] [CrossRef]
  15. Bhushan, S.; Yoon, H.; Stern, F. Detached eddy simulations and tomographic PIV measurements of flows over surface combatant 5415 at straight-ahead and static drift conditions. Ocean Eng. 2021, 238, 109658. [Google Scholar] [CrossRef]
  16. Mirajkar, H.N.; Mukherjee, P.; Balasubramanian, S. PIV study of the dynamics of a forced plume in a stratified ambient. J. Flow Vis. Image Process. 2020, 27, 29–450. [Google Scholar] [CrossRef]
  17. Song, Q.; Sun, B.; Gao, X.; Zhang, C. PIV experimental investigation of the outflow temperature from nonlinearly stratified reservoir regulated by floating intake. Exp. Therm. Fluid Sci. 2019, 109, 109893. [Google Scholar] [CrossRef]
  18. Watanabe, R.; Gono, T.; Yamagata, T.; Fujisawa, N. Three-dimensional flow structure in highly buoyant jet by scanning stereo PIV combined with POD analysis. Int. J. Heat Fluid Flow 2015, 52, 98–110. [Google Scholar] [CrossRef]
  19. Milton-McGurk, L.; Williamson, N.; Armfield, S.W.; Kirkpatrick, M.P. Experimental investigation into turbulent negatively buoyant jets using combined PIV and PLIF measurements. Int. J. Heat Fluid Flow 2020, 82, 108561. [Google Scholar] [CrossRef]
  20. Mirajkar, H.N.; Mukherjee, P.; Balasubramanian, S. On the dynamics of buoyant jets in a linearly stratified ambient. Phys. Fluids 2023, 35, 016609. [Google Scholar] [CrossRef]
  21. Bonnier, M.; Eiff, O. Experimental investigation of the collapse of a turbulent wake in a stably stratified fluid. Phys. Fluids 2002, 14, 791–801. [Google Scholar] [CrossRef]
  22. Hassanzadeh, H.; Eslami, A.; Taghavi, S.M. Positively buoyant jets: Semiturbulent to fully turbulent regimes. Phys. Rev. Fluids 2021, 6, 054501. [Google Scholar] [CrossRef]
  23. Khosravi, M.; Javan, M. Three-dimensional flow structure and mixing of the side thermal buoyant jet discharge in cross-flow. Acta Mech. 2020, 231, 3729–3753. [Google Scholar] [CrossRef]
  24. Bae, Y.-Y.; Kim, E.-S.; Kim, M. Assessment of low-Reynolds number k-ε turbulence models against highly buoyant flows. Int. J. Heat Mass Transf. 2017, 108, 529–536. [Google Scholar] [CrossRef]
  25. Ishigaki, M.; Abe, S.; Sibamoto, Y.; Yonomoto, T. Influence of mesh non-orthogonality on numerical simulation of buoyant jet flows. Nucl. Eng. Des. 2017, 314, 326–337. [Google Scholar] [CrossRef]
  26. Kumar, M.; Natarajan, G. Unified solver for thermobuoyant flows on unstructured meshes. In Fluid Mechanics and Fluid Power–Contemporary Research, Proceedings of the 5th International and 41st National Conference on FMFP, Kanpur, India, 12–14 December 2014; Springer: New Delhi, India, 2017. [Google Scholar]
  27. Bloutsos, A.A.; Yannopoulos, P.C. Mean flow and mixing properties of a vertical round turbulent buoyant jet in a weak crosscurrent. Environ. Process. 2022, 9, 30. [Google Scholar] [CrossRef]
  28. Westerweel, J.; Elsinga, G.E.; Adrian, R.J. Particle Image Velocimetry for Complex and Turbulent Flows. Annu. Rev. Fluid Mech. 2013, 45, 409. [Google Scholar] [CrossRef]
  29. Tauro, F.; Porfiri, M.; Grimaldi, S. Orienting the camera and firing lasers to enhance large scale particle image velocimetry for streamflow monitoring. Water Resour. Res. 2015, 50, 7470–7483. [Google Scholar] [CrossRef]
  30. Chen, W.C.; Chang, K.C. Experimental study of two-phase turbulent wake using piv technique. Multiph. Sci. Technol. 2024, 36, 69–95. [Google Scholar] [CrossRef]
  31. Versteeg, H.K.; Malalasekera, W. An Introduction to Computational Fluid Dynamics: The Finite Volume Method; Wiley: New York, NY, USA, 1995. [Google Scholar]
  32. Zhang, Z.H.; Du, Y.C.; Wang, B.L.; Wu, T.F.; Yang, L. Study on the law of floating and diffusion of water mass of single thermal jet. Ship Sci. Technol. 2022, 44, 4. (In Chinese) [Google Scholar]
  33. Fluent Inc. Fluent User’s Guide; Fluent Inc.: New York, NY, USA, 2003. [Google Scholar]
  34. Launder, B.E.; Spalding, D.B. Lectures in Mathematical Models of Turbulence; Academic Press: London, UK, 1972. [Google Scholar]
Figure 1. Experimental platform and device. (a) Schematic diagram; (b) Physical image.
Figure 1. Experimental platform and device. (a) Schematic diagram; (b) Physical image.
Applsci 14 11557 g001
Figure 2. Temperature stratification change curve.
Figure 2. Temperature stratification change curve.
Applsci 14 11557 g002
Figure 3. Schematic diagram of the experimental tank and simulation computational domain grid.
Figure 3. Schematic diagram of the experimental tank and simulation computational domain grid.
Applsci 14 11557 g003
Figure 4. Temporal variation of the thermal jet temperature field under the experimental conditions.
Figure 4. Temporal variation of the thermal jet temperature field under the experimental conditions.
Applsci 14 11557 g004
Figure 5. Simulation calculated results of the thermal jet temperature field.
Figure 5. Simulation calculated results of the thermal jet temperature field.
Applsci 14 11557 g005
Figure 6. Vertical variation of spindle linear velocity of thermal jet.
Figure 6. Vertical variation of spindle linear velocity of thermal jet.
Applsci 14 11557 g006
Figure 7. Temporal variation of the thermal jet temperature field under the experimental conditions.
Figure 7. Temporal variation of the thermal jet temperature field under the experimental conditions.
Applsci 14 11557 g007
Figure 8. Simulation calculated results of the thermal jet temperature field.
Figure 8. Simulation calculated results of the thermal jet temperature field.
Applsci 14 11557 g008
Figure 9. Temporal variation of the thermal jet temperature field under the experimental conditions.
Figure 9. Temporal variation of the thermal jet temperature field under the experimental conditions.
Applsci 14 11557 g009
Figure 10. Simulation calculated results of the thermal jet temperature field.
Figure 10. Simulation calculated results of the thermal jet temperature field.
Applsci 14 11557 g010
Figure 11. Temporal variation of the thermal jet temperature field under the experimental conditions.
Figure 11. Temporal variation of the thermal jet temperature field under the experimental conditions.
Applsci 14 11557 g011
Figure 12. Simulation calculated results of the thermal jet temperature field.
Figure 12. Simulation calculated results of the thermal jet temperature field.
Applsci 14 11557 g012
Figure 13. Temporal variation of the thermal jet temperature field under the experimental conditions.
Figure 13. Temporal variation of the thermal jet temperature field under the experimental conditions.
Applsci 14 11557 g013
Figure 14. Simulation calculated results of the thermal jet temperature field.
Figure 14. Simulation calculated results of the thermal jet temperature field.
Applsci 14 11557 g014
Figure 15. Vertical variation of spindle linear velocity of thermal jet.
Figure 15. Vertical variation of spindle linear velocity of thermal jet.
Applsci 14 11557 g015
Figure 16. Temporal variation of the thermal jet temperature field under the experimental conditions.
Figure 16. Temporal variation of the thermal jet temperature field under the experimental conditions.
Applsci 14 11557 g016
Figure 17. Simulation calculated results of the thermal jet temperature field.
Figure 17. Simulation calculated results of the thermal jet temperature field.
Applsci 14 11557 g017
Figure 18. Temporal variation of the thermal jet temperature field under the experimental conditions.
Figure 18. Temporal variation of the thermal jet temperature field under the experimental conditions.
Applsci 14 11557 g018
Figure 19. Simulation calculated results of the thermal jet temperature field.
Figure 19. Simulation calculated results of the thermal jet temperature field.
Applsci 14 11557 g019
Table 1. Definitions of Symbols and Abbreviations.
Table 1. Definitions of Symbols and Abbreviations.
Symbol or AbbreviationDefinitionUnitsSymbol or AbbreviationDefinition (Units)Units
c p Constant Pressure Specific Heat CapacityJ·kg−1K−1 μ eff Kinetic Viscositym2/s
F x , F y , F z Volume Forces on the elementN/m3 ρ Fluid Densityg/cm3
G b Turbulent Energy due to BuoyancyJ/kg σ k Turbulent Planck Number of Turbulent Kinetic Energy-
G k Turbulent Energy due to Mean Velocity GradientJ/kg τ Viscous StressN·s/m2
k Turbulent Kinetic Energym2·s−2 τ x x , τ x y , τ x z Components of the viscous stressN·s/m2
p PressurepaCCDCharge Coupled Device -
S T Viscous Dissipation Term-CFDComputational Fluid Dynamics -
T TemperatureKDNSDirect Numerical Simulation -
u ¯ Velocity Vectorm/sPIVParticle Image Velocimetry -
u , v , w Components of the velocity vectorm/sPLIFPlanar Laser-Induced Fluorescence -
ε Specific Dissipation RateW·m−3PODProper Orthogonal Decomposition -
λ Heat Transfer CoefficientW·m−2K−1RANSReynolds-Averaged Navier–Stokes -
Table 2. Thermal jet Generator Experimental Results.
Table 2. Thermal jet Generator Experimental Results.
NumberVolume (L)Velocity (m/s)Error (%)Temperature (°C)Error (%)
10.1730.1022.0%35.10.3%
0.1660.0982.0%35.30.9%
0.1710.1011.0%34.90.3%
20.5170.3051.7%35.30.9%
0.5230.3082.7%35.00.0%
0.5110.3010.3%35.10.3%
Table 3. The temperature of the flow field at different positions of y = 0 section under the condition of different number of grids. (K is thermodynamic temperature.)
Table 3. The temperature of the flow field at different positions of y = 0 section under the condition of different number of grids. (K is thermodynamic temperature.)
CaseMesh Numbers(x, z)
(0.05, 0.25) m(0.1, 0.2) m(0.15, 0.15) m(0.2, 0.1) m(0.25, 0.05) m
a6.5 × 105300.016 K295.678 K291.451 K290.899 K290.872 K
b7.8 × 105299.911 K294.852 K292.416 K292.012 K291.164 K
c9.7 × 105299.936 K294.813 K292.422 K291.894 K291.341 K
Table 4. The temperature of the flow field at different positions of y = 0 section under the condition of different time steps. (K is thermodynamic temperature.)
Table 4. The temperature of the flow field at different positions of y = 0 section under the condition of different time steps. (K is thermodynamic temperature.)
CaseTime Step/s(x, z)
(0.05, 0.25) m(0.1, 0.2) m(0.15, 0.15) m(0.2, 0.1) m(0.25, 0.05) m
d0.01299.928 K294.805 K292.419 K291.902 K290.855 K
e0.02299.936 K294.813 K292.422 K291.894 K291.341 K
f0.05300.121 K295.215 K291.688 K290.155 K299.155 K
Table 5. Hydrostatic-uniform water experimental conditions.
Table 5. Hydrostatic-uniform water experimental conditions.
CaseVelocity (m/s)Depth (cm)TD (°C)
10.12610
20.22610
30.12620
40.15210
Table 6. Hydrostatic-thermally-stratified Water Experiment Conditions.
Table 6. Hydrostatic-thermally-stratified Water Experiment Conditions.
CaseVelocity (m/s)Depth (cm)TD (°C)
50.12610
60.22610
70.12625
Disclaimer/Publisher’s Note: The statements, opinions and data contained in all publications are solely those of the individual author(s) and contributor(s) and not of MDPI and/or the editor(s). MDPI and/or the editor(s) disclaim responsibility for any injury to people or property resulting from any ideas, methods, instructions or products referred to in the content.

Share and Cite

MDPI and ACS Style

Gao, C.; Shuai, C.; Du, Y.; Luo, F.; Wang, B. Comparison of Particle Image Velocimetry and Planar Laser-Induced Fluorescence Experimental Measurements and Numerical Simulation of Underwater Thermal Jet Characteristics. Appl. Sci. 2024, 14, 11557. https://doi.org/10.3390/app142411557

AMA Style

Gao C, Shuai C, Du Y, Luo F, Wang B. Comparison of Particle Image Velocimetry and Planar Laser-Induced Fluorescence Experimental Measurements and Numerical Simulation of Underwater Thermal Jet Characteristics. Applied Sciences. 2024; 14(24):11557. https://doi.org/10.3390/app142411557

Chicago/Turabian Style

Gao, Chengzhe, Changgeng Shuai, Yongcheng Du, Feiyang Luo, and Baolin Wang. 2024. "Comparison of Particle Image Velocimetry and Planar Laser-Induced Fluorescence Experimental Measurements and Numerical Simulation of Underwater Thermal Jet Characteristics" Applied Sciences 14, no. 24: 11557. https://doi.org/10.3390/app142411557

APA Style

Gao, C., Shuai, C., Du, Y., Luo, F., & Wang, B. (2024). Comparison of Particle Image Velocimetry and Planar Laser-Induced Fluorescence Experimental Measurements and Numerical Simulation of Underwater Thermal Jet Characteristics. Applied Sciences, 14(24), 11557. https://doi.org/10.3390/app142411557

Note that from the first issue of 2016, this journal uses article numbers instead of page numbers. See further details here.

Article Metrics

Back to TopTop