You are currently viewing a new version of our website. To view the old version click .
Applied Sciences
  • Article
  • Open Access

9 December 2024

A WENO-Based Upwind Rotated Lattice Boltzmann Flux Solver with Lower Numerical Dissipation for Simulating Compressible Flows with Contact Discontinuities and Strong Shock Waves

,
,
,
and
1
College of Aerospace Engineering, Nanjing University of Aeronautics and Astronautics, Yudao Street 29, Nanjing 210016, China
2
State Key Laboratory of Mechanics and Control for Aerospace Structures, Nanjing University of Aeronautics and Astronautics, Yudao Street 29, Nanjing 210016, China
3
College of Civil Aviation, Nanjing University of Aeronautics and Astronautics, Yudao Street 29, Nanjing 210016, China
*
Author to whom correspondence should be addressed.
This article belongs to the Section Aerospace Science and Engineering

Abstract

This paper presents a WENO-based upwind rotated lattice Boltzmann flux solver (WENO-URLBFS) in the finite difference framework for simulating compressible flows with contact discontinuities and strong shock waves. In the method, the original rotating lattice Boltzmann flux solver is improved by applying the theoretical solution of the Euler equation in the tangential direction of the cell interface to reconstruct the tangential flux so that the numerical dissipation can be reduced. The fluxes at each interface are evaluated using a weighted summation of lattice Boltzmann solutions in two local perpendicular directions decomposed from the direction vector so that the stability performance can be improved. To achieve high-order accuracy, both fifth and seventh-order WENO reconstructions of the flow variables in the characteristic spaces are carried out. The order accuracy of the WENO-URLBFS is evaluated and compared with the traditional Lax–Friedrichs scheme, Roe scheme, and the LBFS by simulating the advection of the density disturbance problem. It is shown that the fifth and seventh-order accuracy can be achieved by all considered flux-evaluation schemes, and the present WENO-URLBFS has the lowest numerical dissipation. The performance of the WENO-URLBFS is further examined by simulating several 1D and 2D examples, including shock tube problems, Shu–Osher problems, blast wave problems, double Mach reflections, 2D Riemann problems, K-H instability problems, and High Mach number astrophysical jets. Good agreements with published data have been achieved quantitatively. Moreover, complex flow structures, including shock waves and contact discontinuities, are successfully captured. The present WENO-URLBFS scheme seems to present an effective numerical tool with high-order accuracy, lower numerical dissipation, and strong robustness for simulating challenging compressible flow problems.

1. Introduction

Computational fluid dynamics (CFD) uses advanced numerical methods to study fluid flow and related phenomena. Since the mid-20th century, the advancement of digital computers has made CFD essential in fluid mechanics research and engineering. It is widely applied in fields such as aerospace, automotive, civil engineering, energy, environmental science, and biomedical engineering for simulating complex flows, optimizing designs, and enhancing system performance [1]. Compressible flow problems involve complex characteristics such as multi-scale structures, strong shock waves, and contact discontinuities, making them extremely difficult to solve. The key to solving this challenge is to resolve small-scale vortex structures with minimal dissipation and accurately capture strong shock waves and discontinuities, thereby promoting the development of higher-precision numerical schemes [2].
In order to reduce numerical dissipation and improve the resolution of flow field results, one of the most important methods is to develop high-order numerical methods [3,4,5,6]. Collela and Woodward [3] introduced the Piecewise Parabolic Method, which uses a total variation diminishing (TVD) limiter to avoid oscillation when capturing high-gradient fluid features, improve stability, and thus achieve third-order accuracy. Reed and Hill [4] proposed the discontinuous Galerkin method, which uses high-order polynomials to interpolate within each cell and can accurately capture complex flow phenomena, thus achieving high-order accuracy. However, this method has a high computational cost, complex implementation, large storage requirements, and may have stability and numerical dissipation problems. Harten et al. [5] proposed a high-precision shock wave capture scheme, an essentially non-oscillatory scheme (ENO). This scheme selects the reconstruction polynomial by selecting multiple candidate templates and using the difference quotient to calculate the smoothness of the algebraic polynomial defined on the candidate template. This ensures the ENO scheme remains stable without oscillations at the shock wave, maintaining precision in smooth regions. Shu and Osher [6,7] proposed a high-precision ENO scheme based on the finite difference method, utilizing TVD Runge–Kutta time discretization. While the ENO scheme demonstrates robust numerical stability and superior accuracy, the rounding error near the zero point may affect the template selection, and the template change at adjacent points may cause the numerical flux to be non-smooth. In addition, when selecting the template, to achieve design accuracy, a large number of discarded templates will be generated, but only one will be chosen in the end, which will lead to a waste of computing resources and affect computing efficiency. In contrast to the ENO method, which only identifies the smoothest candidate template, it achieves high-precision spatial numerical discretization by combining all candidate templates. Liu [8] proposed a Weighted Essentially Non-Oscillatory (WENO) scheme based on finite volume, which reached the third order. Jiang and Shu [9] developed a structure for establishing a WENO scheme with 2 k + 1 order numerical accuracy from the k + 1 ENO scheme. The WENO-JS scheme they built is a milestone in the history of high-precision WENO schemes. On account of the high-order precision, distinguishability, and strong robustness to discontinuous, the WENO scheme has made significant progress in the finite difference method (FD-WENO) [10,11] and the finite volume method (FV-WENO) [12,13,14] in recent decades. Among them, the finite difference method makes constructing a high-precision and high-resolution numerical method easier than other methods.
In addition to the high-order interpolation reconstruction method, the methodology for flux evaluation is also essential for obtaining high-precision and low-dissipation simulation results. The Godunov scheme is the earliest shock wave capture scheme. It handles discontinuities in the fluid by solving the Riemann problem. It has the most negligible numerical viscosity in monotone flux, but the computational complexity is too large. The Lax–Friedrichs (LF) flux solver [15] ensures stability by adding a large amount of numerical viscosity. Although it is sufficiently stable, it introduces large numerical dissipation when solving discontinuities, resulting in low resolution of the calculation results. In contrast, the ROE flux solver [16] achieves more accurate discontinuity capture by linearizing the nonlinear system and handling the linear Riemann problem. The HLL solver proposed by Harten [17] introduces a simpler approximate Riemann solver that does not need to solve the complete characteristic structure. Instead, it calculates the flux through a double-wave approximation. However, it has poor resolution for contact discontinuities. In order to improve accuracy further, the HLLC [16,17] solver adds an intermediate contact wave based on HLL to capture the details in complex flows better. Lion [18,19] proposed the AUSM solver, which achieved efficient and accurate flux calculation by separating convection and pressure effects. Two years later, the AUMS+ [20] scheme was proposed, which overcame some limitations of the original AUSM method by improving the flux splitting method, enhancing low-speed stability, and improving shock wave capture accuracy. The HLLEM [21] solver improves the HLL method and enhances the ability to capture vortices and contact discontinuities.
Besides the aforementioned Riemann solver, the lattice Boltzmann method (LBM) [22,23,24], proposed in recent years, is being utilized as a selective computational fluid dynamics method and is widely used in various fields. However, when LBM is applied globally to address the control equations across the entire flow field, several issues arise, including limitations on uniform grid size and its relationship to the time step. To address these problems, an innovative approach called the lattice Boltzmann flux solver (LBFS) [25,26,27] was proposed, which is mainly applied at the cell interface, thus overcoming the aforementioned limitations of LBM. Lattice Boltzmann models have been widely used and verified for compressible and incompressible problems, multiphase flow, and other problems [28,29,30,31,32,33,34]. The one-dimensional lattice Boltzmann model proposed by Kataoka et al. [35,36], as well as Qu et al. [37,38], successfully simulates compressible flow problems with strong shock waves. However, when these models are applied to work out high-speed flow problems, the results may oscillate, become unstable and diverge, or even become unphysical solutions. To address these problems, Yang et al. [39] proposed the D1Q4 model with no free parameters, which performs well in high-speed Mach number flow situations, where D1 indicates that the model is a one-dimensional lattice Boltzmann model and Q4 indicates that the model contains four lattice velocities. Jiang [9] proposed a finite difference-based WENO scheme, which uses the Lax–Friedrichs flux splitting technique to separate the numerical flux into positive and negative parts, directly reconstructs the numerical flux using the WENO scheme, and adds dissipation to improve stability. The LBFS scheme based on molecular kinetic theory has good approximation performance for the Riemann solution and has been successfully coupled with the Monotonic Upstream-centered Scheme for Conservation Laws (MUSCL) scheme and the Piecewise Parabolic Method with Directional Elements (PPMDE) scheme [40]. Chen [41] developed a rotating lattice Boltzmann flux solver (RLBFS) based on LBFS and the finite volume method by decomposing the external normal of the cell interface into two mutually perpendicular vectors, making the calculation results more stable. It may be noted that the RLBFS was initially developed using the finite volume method and had only the second order of accuracy. Moreover, the flux in the tangential direction in both the LBFS and the RLBFS is considered by simple algebraic average, and this does not agree with the theoretical analysis of the Euler equation [42] and may introduce high numerical dissipation, which motives the present work.
In the present study, an improved RLBFS is presented by applying the upwind direction of the normal velocity to obtain more accurate tangential velocities on both sides of the interface. We call this method the upwind rotating lattice Boltzmann flux solver (URLBFS). By combining the WENO scheme and URLBFS scheme in the finite difference framework, a fifth and seventh-order WENO-URLBFS is proposed to simulate complex flow phenomena and improve the resolution of problems related to strong shock waves and contact discontinuities in compressible flows. A variety of challenging flow problems are studied for validation. The full article section structure is as follows: Section 2 is the methodology; Section 3 gives some numerical examples to further verify the method; Section 4 is the conclusion.

2. Methodology

2.1. Governing Equations for Inviscid Compressible Flows

This study focuses on the simulation of inviscid compressible flows governed by the Euler equations. It can be expressed as follows based on its conservation law:
W t + F x + G y = 0 ,
W = ρ ρ u ρ v ρ E , F = ρ u ρ u 2 + p ρ u v ρ u H , G = ρ v ρ v u ρ v 2 + p ρ v H .
where ρ and p are the density and pressure of the flow field, u and v are the velocity components. E and H represent the total energy and enthalpy, expressed as follows:
E = 1 γ 1 p ρ + 1 2 u 2 + v 2 , H = p ρ + E .
where the γ is the specific heat ratio, taken as γ = 1.4 in air.
The finite difference method is used to discretize Equation (1). The computational area is uniformly discretized to create a regular grid. Δ x and Δ y denote the size of the space. The finite difference scheme directly approximates spatial derivatives, constructing the conservative semi-discretization scheme.
d W i j ( t ) d t = 1 Δ x F ^ i + 1 / 2 , j F ^ i 1 / 2 , j 1 Δ y G ^ i , j + 1 / 2 G ^ i , j 1 / 2 ,
where F ^ i + 1 / 2 , j and G ^ i , j + 1 / 2 are the numerical fluxes at the x i + 1 / 2 , j and y i , j + 1 / 2 zone boundaries, respectively, in the following form:
F ^ i + 1 / 2 , j = F ^ W i r , j , , W i + s , j , G ^ i , j + 1 / 2 = G ^ W i , j r , , W i , j + s ,
The equation satisfies two conditions: the numerical flux function matches the physical flux function, and each component is Lipschitz continuous.
F ^ ( W , , W ) = F ( W ) ,   G ^ ( W , , W ) = G ( W ) .
The temporal discretization is achieved by transforming the system in Equation (4) into the following form
d W ( t ) d t = χ ( W ) ,
Then, we employ the TVD Range–Kutta methods developed by Shu and Osher [4] to integrate Equation (7) forward in time. As shown in the following equation:
W ( 1 ) = W n + Δ h χ ( W n ) , W ( 2 ) = 3 4 W n + 1 4 W ( 1 ) + 1 4 Δ h χ ( W ( 1 ) ) , W n + 1 = 1 3 W n + 2 3 W ( 2 ) + 2 3 Δ h χ ( W ( 2 ) ) .
where χ is the spatial discretization operator, Δ h is the time step.
The numerical flux in Equation (4) can be obtained by using Riemann solvers such as LF, ROE, and HLL [15,16,17], as mentioned in the introduction. Alternatively, it may also be assessed using mesoscopic approaches like LBFS and RLBFS [41,42]. To achieve a high-resolution flow field and better capture shocks and discontinuities, a numerical algorithm with high accuracy, low dissipation, and greater stability should be constructed. These objectives can be achieved by combining the WENO reconstruction scheme, FDM, and URLBFS. Next, we review the RLBFS scheme based on the D1Q4 model, make improvements, propose the URLBFS numerical scheme, and then introduce the higher-order WENO5 and WENO7 schemes.

2.2. Evaluating Numerical Flux for Compressible Flow

This section introduces a new scheme for evaluating the numerical flux of compressible flows. This scheme is an improvement on the RLBFS scheme proposed by Chen [41], and a new method for defining the tangential velocity is proposed to improve its accuracy in calculating the numerical flux.

2.2.1. The RLBFS Scheme

The key to the RLBFS scheme is to solve the numerical flux in different directions through LBFS based on the D1Q4 model. The model proposed by Yang et al. [39] overcomes the problem of LBFS scheme performance degradation caused by too many user-specified parameters in other 1D models [35,40]. This model mainly consists of equilibrium distribution functions g m m = 1 , 2 , 3 , 4 and respective velocities d m m = 1 , 2 , as shown in Figure 1. Using the conservation form of moments, they can be given by:
g 1 = ρ ( d 1 d 2 2 d 2 2 u + d 1 u 2 + d 1 ϑ 2 + u 3 + 3 u ϑ 2 ) 2 d 1 ( d 1 2 d 2 2 ) , g 2 = ρ ( d 1 d 2 2 + d 2 2 u + d 1 u 2 + d 1 ϑ 2 u 3 3 u ϑ 2 ) 2 d 1 ( d 1 2 d 2 2 ) , g 3 = ρ ( d 1 2 d 2 + d 1 2 u d 2 u 2 d 2 ϑ 2 u 3 3 u ϑ 2 ) 2 d 2 ( d 1 2 d 2 2 ) , g 4 = ρ ( d 1 2 d 2 d 1 2 u d 2 u 2 d 2 ϑ 2 + u 3 + 3 u ϑ 2 ) 2 d 2 ( d 1 2 d 2 2 ) , d 1 = u 2 + 3 ϑ 2 4 u 2 ϑ 2 + 6 ϑ 4 ,   d 2 = u 2 + 3 ϑ 2 + 4 u 2 ϑ 2 + 6 ϑ 4 .
where ϑ = D p / ρ is the peculiar velocity of particles, if it is a one-dimensional model, then D takes the value of 1. By solving the g m m = 1 , 2 , 3 , 4 and d m m = 1 , 2 , the Euler equation can be restored using the physical conservation laws [35,37]:
ρ = i = 1 4 g i , ρ u = i = 1 4 g i ξ i , ρ u u + p = i = 1 4 g i ξ i ξ i , ρ E = i = 1 4 g i ( 1 2 ξ i ξ i + e p ) , ( ρ E + p ) и = i = 1 4 g i 1 2 ξ i ξ i + e p ξ i .
where ξ i represents the particle velocity in i-direction, ξ 1 = d 1 ,   ξ 2 = d 1 ,   ξ 3 = d 2 ,   ξ 4 = d 2 , e p = [ 1 D 2 ( γ 1 ) ] e and e = p / γ 1 ρ . It is important to note that when addressing multidimensional problems, the previously mentioned model is applied solely in the normal direction of the interface [31,32], for instance, in the two-dimensional scenario depicted in Figure 2.
Figure 1. Distribution of discrete lattice velocities for 1D model.
Figure 2. Application of 1D LB model at cell interface in 2D cases.
Consider n x , n y to represent the normal vector at the interface, we can derive a relationship as follows:
U n = n x u + n y v , U τ = n x v n y u   , u = n x U n n y U τ , v = n x U τ + n y U n ,
Then, Equation (2) can be represented as:
W = ρ ρ n x U n n y U τ ρ n x U τ + n y U n ρ U n 2 / 2 + e + ρ U τ 2 / 2 , F c = ρ U n ρ U n 2 + p n x ρ U n U τ n y ρ U n 2 + p n y + ρ U n U τ n x ρ U n 2 / 2 + e + p U n + ρ U n U τ 2 / 2 .
Assume the position at the interface is x = 0. The inviscid flux at the interface is given by:
F c , i + 1 / 2 = ρ U n ρ U n U n + p ρ 1 2 U n U n + e + p U n T = i = 1 4 ξ i φ α f i ( 0 , t ) ,
where φ α = 1 , ξ i , 1 2 ξ i 2 + e p T , f i ( 0 , t ) is the distribution function of equilibrium. And superscript * represents the numerical solution. The expression is
f i ( 0 , t ) = g i ( 0 , t ) τ 0 [ g i ( 0 , t ) g i ( ξ i δ t , t δ t ) ] + O ( δ t ) ,
where g i ( 0 , t ) and g i ( ξ i δ t , t δ t ) represent the equilibrium distribution functions at the interface and the neighboring points, respectively. τ 0 = τ / δ t , δ t is the streaming time step, τ 0 is the dimensionless collision time. Then, the inviscid flux in Equation (13) can be expressed as
F c i + 1 / 2 = 1 τ 0 i = 1 4 ξ i φ α g i 0 , t + τ 0 i = 1 4 ξ i φ α g i ξ i δ t , t δ t = 1 τ 0 F c , i + 1 / 2 ( I ) + τ 0 F c , i + 1 / 2 ( I I ) .
Therefore, to accurately calculate the total inviscid flux, obtaining the values of the two equilibrium distribution functions g i ξ i δ t , t δ t and g i 0 , t is necessary.
We first consider calculating the function g i ξ i δ t , t δ t . In the D1Q4 model, the function g i ξ i δ t , t δ t is expressed as
g i ( ξ i δ t , t δ t ) = g i L ,   if   i = 1 , 3 , g i R ,   if   i = 2 , 4 .
where g i L represents the equilibrium distribution function on the left side of the interface, g i R represents that on the right side, as illustrated in Figure 3. Combined with Equation (9), g i ξ i δ t , t δ t could be directly calculated. We can receive the normal flux as
F c , i + 1 / 2 = ρ U n ρ U n U n + p ρ 1 2 U n U n + e + p U n T = i = 1 4 ξ i φ a g i ( ξ i δ t , t δ t ) ,
Figure 3. Streaming procedure of the D1Q4 model at the cell interface.
It can be expressed further as
F c , i + 1 / 2 = i = 1 4 ξ i φ α g i ( ξ i δ t , t δ t ) = i = 1 , 3 ξ i φ α g i L + i = 2 , 4 ξ i φ α g i R .
The conserved variables W 0 , t i + 1 / 2 * can be obtained through g i ξ i δ t , t δ t . Density, normal momentum, and energy at the cell interface are determined using the following formulas:
W 0 , t i + 1 / 2 * = ρ ρ U n 1 2 ρ U n U n + ρ e T = i = 1 4 φ α g i ( 0 , t ) = i = 1 4 φ α g i ξ i δ t , t δ t ,
It can be further expressed as
W 0 , t i + 1 / 2 * = i = 1 , 3 φ α g i L + i = 2 , 4 φ α g i R .
After W 0 , t i + 1 / 2 * is determined, we can obtain the primitive variables. Substituting this into Equation (9), we can obtain g i 0 , t at the interface.
Due to the adoption of the 1D LB model, Equation (20) neglects the impact of tangential velocity on the momentum flux as well as energy flux. The equation above contains the term U τ which is unknown. A possible way to figure up the ρ U τ * , ρ U n U τ * and ρ U n U τ 2 * are given as
( ρ U τ ) = i = 1 4 g i U τ = i = 1 , 3 g i L U τ L + i = 2 , 4 g i R U τ R , ρ U n U τ = i = 1 4 ξ i g i U τ = i = 1 , 3 ξ i g i L U τ L + i = 2 , 4 ξ i g i R U τ R , ρ U n U τ 2 = i = 1 4 ξ i g i ( U τ ) 2 = i = 1 , 3 ξ i g i L U τ L 2 + i = 2 , 4 ξ i g i R U τ R 2 .
among them, U τ is the tangential velocities. The tangential velocity on the left side of the interface is U τ L , and the velocity on the right side is U τ R . The primitive variables ρ * ,   U n * ,   U τ * ,   p * were obtained in this way. Afterward, the inviscid flux at i + 1 / 2 is
F c , i + 1 / 2 ( I ) = ρ U n ( ρ U n U n + p ) n x ρ U n U τ n y ( ρ U n U n + p ) n y + ρ U n U τ n x ( ρ E + p ) U n i + 1 / 2 ,
Combining Equations (18) and (21), we can achieve the convective flux as
F c , i + 1 / 2 ( I I ) = i = 1 4 ξ i g i i = 1 4 ξ i ξ i g i n x i = 1 4 ξ i g i U τ n y i = 1 4 ξ i ξ i g i n y + i = 1 4 ξ i g i U τ n x i = 1 4 ξ i 1 2 ξ i ξ i + e p g i + 1 2 i = 1 4 ξ i g i ( U τ ) 2 ,
Finally, the total numerical flux is
F c , i + 1 / 2 = 1 τ 0 F c , i + 1 / 2 ( I ) + τ 0 F c , i + 1 / 2 ( I I ) .
The τ 0 in above equation has been mentioned before and is expressed as dimensionless collision time. Since this research focuses solely on inviscid compressible flow, τ 0 can be considered as a coefficient controlling numerical dissipation. When τ 0 approaches zero, it indicates minimal dissipation while approaching one suggests significant dissipation. This article adopts a switching function proposed by Yang [32] to control τ 0 . When approaching the boundary layer, τ 0 can be controlled to be close to zero, and near a strong shock wave, τ 0 can be controlled to be close to one. The function is
τ 0 = tanh C p L p R p L + p R .
where C is a magnifying factor, the value is 1–100. p L and p R are the pressures at i + 1 / 2 .

2.2.2. The URLBFS Developed Based on RLBFS

From the above description, we know that in the process of solving the flux using LBFS, due to the use of the 1D D1Q4 model, it can be seen from Equations (10)–(19) that the model only considers the interface normal method. When applying the 1D LBM to calculate the inviscid flux, the contribution of the tangential velocity is not considered.
A common approach for calculating tangential velocity is to use Equation (21) to split it into values on the interface, substitute these into the respective equilibrium distribution functions, and obtain the complete numerical flux through the interface. In this study, we have redefined the value of U τ * using the upwind scheme. By Equation (20), we can calculate the density and the momentum at the interface.
ρ = i = 1 , 3 g i L + i = 2 , 4 g i R , ρ U n = i = 1 , 3 ξ i g i L + i = 2 , 4 ξ i g i R .
From the above equation, we can obtain the U n * at the interface. Let U n u p w i n d = U n * and determine the value of U τ * according to the windward direction of U n u p w i n d are given as
U τ * = U τ L ,   if   U n u p w i n d 0 , U τ R ,   if   U n u p w i n d < 0 .
Then, Equation (21) can be rewritten as
( ρ U τ ) = i = 1 4 g i U τ * = i = 1 , 3 g i L U τ L + i = 2 , 4 g i R U τ L , ρ U n U τ = i = 1 4 ξ i g i U τ * = i = 1 , 3 ξ i g i L U τ L + i = 2 , 4 ξ i g i R U τ L , ρ U n U τ 2 = i = 1 4 ξ i g i U τ * 2 = i = 1 , 3 ξ i g i L U τ L 2 + i = 2 , 4 ξ i g i R U τ L 2 , U n u p w i n d 0 , ( ρ U τ ) = i = 1 4 g i U τ * = i = 1 , 3 g i L U τ R + i = 2 , 4 g i R U τ R , ρ U n U τ = i = 1 4 ξ i g i U τ * = i = 1 , 3 ξ i g i L U τ R + i = 2 , 4 ξ i g i R U τ R , ρ U n U τ 2 = i = 1 4 ξ i g i U τ * 2 = i = 1 , 3 ξ i g i L U τ R 2 + i = 2 , 4 ξ i g i R U τ R 2 , U n u p w i n d < 0 .
Using this method to determine the tangential velocity can effectively suppress high-frequency oscillations and improve numerical stability. Combining it with the rotating lattice Boltzmann method will result in a new numerical scheme, the upwind rotating lattice Boltzmann flux solver. Unlike previous LBFS methods, the RLBFS by Chen [41] breaks down normal vectors n into two orthogonal vectors n 1 and n 2 , as shown in Figure 4.
Figure 4. Distribution of the normal vector at the cell interface.
The relationship between the vectors is given as
n 1 n 2 = 0 , n = α 1 n 1 + α 2 n 2 ,
where | n 1 | = | n 2 | = 1 , α 1 = n n 1 and α 2 = n n 2 . To ensure that n 1 and n 2 are on the same side of the interface is necessary, then α 1 and α 2 are greater than or equal to 0.
The final flux is
F R L B F S = F R L B F S n = α 1 F L B F S n 1 + α 2 F L B F S n 2 .
where F L B F S n 1 and F L B F S n 2 can be determined by Equation (24). It can be clearly seen from the above relationship that the value of α will directly affect the final flux, so the choice of n 1 will have a more significant impact on the result [43], as shown in the following equation [44]
n 1 = n ,   if ( Δ u ) 2 + ( Δ v ) 2 ε , Δ u i + Δ v j ( Δ u ) 2 + ( Δ v ) 2 ,   otherwise .  
where Δ u = u R u L ,   Δ v = v R v L , ε is a small positive number.
The value of n 1 can be determined through the above formula, and the value of n 2 = k × n 1 can further be obtained where k = i × j . Ren [45] pointed out through numerical testing that when the value is minimal, the calculation results are basically not affected unless the value is too large. In this article, ε = 10 6 .
From the above description, we can see that to obtain a numerical scheme with high resolution and high precision, the key lies in reconstructing the values of ρ ± ,   u ± ,   v ± ,   p ± using a high-precision interpolation method. Compared with the MUSCL scheme [46], ENO scheme [5], and the WENO scheme [9] mentioned above makes it easier to achieve high-order accuracy, suppress numerical oscillations, and improve computational stability. Therefore, we use WENO schemes of different accuracy to interpolate and reconstruct the physical quantities of the interface. The following will mainly introduce the WENO5 and WENO7 schemes used in this paper.

2.3. WENO Scheme Reconstruction Interface Flow Variables

The previous section presented the URLBFS scheme. To calculate the flux at the interface, we first obtain the flow variables on both sides. This section describes using the high-order WENO scheme to interpolate and reconstruct flow variables ρ ± ,   u ± ,   v ± ,   p ± .

2.3.1. WENO5 and WENO7 Reconstruction

To use the WENO5 scheme to interpolate the flow variables, it is necessary to use the information of the surrounding nodes, as illustrated in Figure 5:
Figure 5. Schematic of the global stencil and sub-stencils ( S 0 S 2 ) for WENO5.
The global stencil of the WENO5 scheme is S = U i 2 , U i 1 , U i , U i + 1 , U i + 2 . To construct the reconstruction polynomial, it is divided into three sub-stencils:
S 0 = U i 2 , U i 1 , U i ,   S 1 = U i 1 , U i , U i + 1 ,   S 2 = U i , U i + 1 , U i + 2 .
These three sub-stencils correspond to three low-order reconstruction methods, which are combined by weighted average to obtain the final WENO5 scheme [7]
U i + 1 / 2 L = w 0 1 3 U i 2 7 6 U i 1 + 11 6 U i + w 1 1 6 U i 1 + 5 6 U i + 1 3 U i + 1 + w 2 1 3 U i + 5 6 U i + 1 1 6 U i + 2 ,
In order to achieve the designed precision and avoid oscillation of the consequence, this paper adopts the WENO-JS scheme proposed by Shu [7] to calculate the weight coefficients and smoothness indicators, as shown in the following formula:
w k = α k α 0 + α 1 + α 2 , α k = d k β k + ϵ 2 , k = 0 , 1 , 2 .
β 0 = 13 12 ( U i 2 2 U i 1 + U i ) 2 + 1 4 ( U i 2 4 U i 1 + 3 U i ) 2 , β 1 = 13 12 ( U i 1 2 U i + U i + 1 ) 2 + 1 4 ( U i 1 U i + 1 ) 2 , β 2 = 13 12 ( U i 2 U i + 1 + U i + 2 ) 2 + 1 4 ( 3 U i 4 U i + 1 + U i + 2 ) 2 .
Following [7], the optimal linear weighting coefficients are d 0 = 1 10 , d 1 = 3 5 , d 2 = 3 10 . In order to avoid the denominator being zero, ε = 10 6 is usually set.
Through the above description, we can achieve the value of U i + 1 / 2 L , and the value of U i + 1 / 2 R can be obtained by a symmetrical method, which will not be described here.
Compared with the WENO5 scheme, WENO7 requires seven points to reconstruct the physical quantity of the interface, as illustrated in Figure 6:
Figure 6. Schematic of the global stencil and sub-stencils ( S 0 S 3 ) for WENO7.
The global stencil of the WENO7 scheme is S = U i 3 , , U i + 3 . In order to construct the reconstruction polynomial, it is divided into three sub-stencils:
  S 0 = U i 3 , U i 2 , U i 1 , U i ,   S 1 = U i 2 , U i 1 , U i , U i + 1 ,   S 2 = U i 1 , U i , U i + 1 , U i + 2 ,   S 3 = U i , U i + 1 , U i + 2 , U i + 3 ,
The left-state seventh-order WENO reconstruction is defined as
U i + 1 / 2 L = w 0 1 4 U i 3 + 13 12 U i 2 23 12 U i 1 + 25 12 U i + w 1 1 12 U i 2 5 12 U i 1 + 13 12 U i + 1 4 U i + 1 + w 2 1 12 U i 1 + 7 12 U i + 7 12 U i + 1 1 12 U i + 2 + w 3 1 4 U i + 13 12 U i + 1 5 12 U i + 2 + 1 12 U i + 3 ,
The definition of weight coefficient and smoothness indicators still adopts the WENO-JS scheme proposed by SHU [7].
w k = α k α 0 + α 1 + α 2 + α 3 , α k = d k β k + ϵ 2 , k = 0 , 1 , 2 , 3 .
β 0 = U i 3 ( 547 U i 3 3882 U i 2 + 4642 U i 1 1854 U i )   + U i 2 ( 7043 U i 2 17246 U i 1 + 7042 U i )   + U i 1 ( 11003 U i 1 9402 U i ) + U i ( 2107 U i ) , β 1 = U i 2 ( 267 U i 2 1642 U i 1 + 1602 U i 494 U i + 1 )   + U i 1 ( 2843 U i 1 5966 U i + 1922 U i + 1 )   + U i ( 3443 U i 2522 U i + 1 ) + U i + 1 ( 547 U i + 1 ) , β 2 = U i 1 ( 547 U i 1 2522 U i + 1922 U i + 1 494 U i + 2 ) + U i ( 3443 U i 5966 U i + 1 + 1602 U i + 2 ) + U i + 1 ( 2843 U i + 1 1642 U i + 2 ) + U i + 2 ( 267 U i + 2 ) , β 3 = U i ( 2107 U i 9402 U i + 1 + 7042 U i + 2 1854 U i + 3 )   + U i + 1 ( 11003 U i + 1 17246 U i + 2 + 4642 U i + 3 ) + U i + 2 ( 7043 U i + 2 3882 U i + 3 ) + U i + 3 ( 547 U i + 3 ) .
Following [7], the optimal linear weighting coefficients are d 0 = 1 35 ,   d 1 = 12 35 ,   d 2 = 18 35 ,   d 3 = 4 35 . The value of U i + 1 / 2 R can also be obtained by the symmetric method.

2.3.2. Characteristic Space Transform

Typically, conservative variables are reconstructed in physical space, followed by the calculation of the corresponding flow variables. However, when the reconstruction in the physical space cannot solve the shock wave problem well, there will still be problems such as low resolution and numerical oscillation. Therefore, this paper adopts the reconstruction in the characteristic space proposed by Shu [8].
We already have the conservative variables for all grid points. The eigenvectors of the eigenmatrix F U x i + 1 / 2 , y j in the x direction are
  R F = 1 1 1 1 u 1 c u 1 u 1 u 1 + c u 2 0 1 u 2 γ e + u 1 + 2 u 2 2 2 u 1 c u 1 2 u 2 2 2 u 2 + u 1 2 u 2 2 2 γ e + u 1 + 2 u 2 2 2 + u 1 c , L F = u 1 + 2 u 2 2 4 γ e + u 1 2 c 1 2 c u 1 2 γ e u 2 2 γ e 1 2 γ e 1 u 1 + 2 u 2 2 2 γ e + u 2 ( u 1 + 2 u 2 ) 2 2 γ e u 1 u 1 u 2 γ e u 2 u 2 2 γ e 1 u 2 1 γ e u 2 ( u 1 + 2 u 2 ) 2 2 γ e u 1 u 2 γ e 1 + u 2 2 γ e u 2 γ e u 1 + 2 u 2 2 4 γ e u 1 2 c 1 2 c u 1 2 γ e u 2 2 γ e 1 2 γ e .
The conservative variables U i + 1 / 2 , j at x i + 1 / 2 , j is
U i + 1 / 2 , j = 1 2 U i , j + U i + 1 , j ,
Through the left characteristic variable L F , the conservation variables U k , j can be converted to the local characteristic space to obtain the local characteristic variable V k , j
V k , j = L F U k , j ,
where k denotes the data points to construct the V i + 1 / 2 , j ± value on both sides of the interface. When reconstructed using the WENO5 scheme, the value range of k is i 2 , , i + 3 , and when reconstructed using the WENO7 scheme, the value range of k is i 3 , , i + 4 . After obtaining the local characteristic variable V i + 1 / 2 , j ± , we can convert it to the characteristic space through the right characteristic matrix
U i + 1 / 2 , j ± = R F V i + 1 / 2 , j ± .
Finally, the corresponding flow variable ρ i + 1 / 2 ± ,   u i + 1 / 2 ± ,   v i + 1 / 2 ± ,   p i + 1 / 2 ± can be obtained through the conservation variables.
The y direction is a similar process, except that the expression of the eigenvector matrix is different.
R G = 1 1 1 1 u 1 0 1 u 1 u 2 c u 2 u 2 u 2 + c γ e + u 1 + 2 u 2 2 2 u 2 c u 2 2 u 1 2 2 u + u 2 2 u 1 2 2 γ c + u 1 + 2 u 2 2 2 + u 2 c , L G = u 1 + 2 u 2 2 4 γ e + u 2 2 c u 1 2 γ e 1 2 c u 2 2 γ e 1 2 γ e 1 u 1 + 2 u 2 2 2 γ e + u 1 ( u 1 + 2 u 2 ) 2 2 γ e u 1 u 1 2 γ e 1 u 2 u 1 v γ e u 1 1 γ e u 1 ( u 1 + 2 u 2 ) 2 2 γ e 1 + u 1 2 γ e u 1 u 2 γ e u 1 γ e u 1 + 2 u 2 2 4 γ e u 2 2 c u 1 2 γ e 1 2 c u 2 2 γ e 1 2 γ e .
Unless otherwise specified, all reconstruction processes are performed in the characteristic space in this paper.

3. Numerical Examples

This section uses benchmark examples to verify the precision and distinguishability of the FD-WENO-URLBFS scheme, comparing it with LF, ROE, and LBFS schemes. The examples include density perturbations, Shock-tube problems, Shu–Osher problems, blast wave problems, several configurations of the Riemann problem, double Mach reflections, and KH instability problems. All schemes use WENO5 and WENO7 schemes to reconstruct interface flow variables, respectively. Unless otherwise stated, all test cases use third-order TVD Runge–Kutta time integration.

3.1. Advection of Density Perturbation

The numerical precision of URLBFS in WENO5 and WENO7 schemes is verified using density perturbation advection and compared with the traditional numerical scheme. The initial conditions are as follows [47]:
ρ x , y = 1 + 0.2 sin π x + y u x , y = 1 v x , y = 1 p x , y = 1 ,
The exact solution is as follows:
ρ x , y , t = 1 + 0.2 sin π x + y t u x , y , t = 1 v x , y , t = 1 p x , y , t = 1 .
The computational domain is [0, 2] × [0, 2], and periodic boundary conditions are imposed on all sides. To avoid the error caused by the time step, a fixed-time step D T = 1 × 10 4 is used. The ultimate evolution time t = 2 and the sizes of the uniform grid h = 1 / 5 , 1 / 10 , 1 / 20 , 1 / 40 , respectively. The density accuracy errors and the order of the schemes under WENO5 and WENO7 are shown in the following table.
Table 1 shows the density errors and corresponding accuracy order obtained by the WENO5-LF, WENO5-ROE, WENO5-LBFS, and WENO5-URLBFS schemes. Figure 7a shows the relationship between the L 2 error and the grid size, and the accuracy order of different schemes is obtained by fitting the least squares method. It can be seen that the URLBFS scheme has a higher accuracy order. Figure 7b shows the relationship between the grid size and CPU calculation time of these schemes. Since the LF scheme reconstructs the numerical flux directly on the interface, while the other three schemes need to reconstruct at the interface to obtain the flow variables on both sides of the interface and then substitute them into the solver to obtain the numerical flux at the interface, the calculation time of the LF scheme is faster than the other three schemes, but at the same grid size, the URLBFS scheme has the highest accuracy.
Table 1. Accuracy order and error of different flux solvers based on the WENO5 scheme at different grid resolutions.
Figure 7. Advection of density perturbation problem. Figure (a) shows the accuracy of WENO5-LF, WENO5-ROE, WENO5-LBFS, and WENO5-URLBFS schemes; Figure (b) shows the CPU time and L 2 error comparison of WENO5-LF, WENO5-ROE, WENO5-LBFS and WENO5-URLBFS schemes.
Table 2 shows the density error and corresponding accuracy order obtained by the WENO7-LF, WENO7-ROE, WENO7-LBFS, and WENO7-URLBFS schemes. Figure 8a shows the relationship between the L 2 error and the grid size, and the accuracy order of different schemes is obtained by least squares fitting. It can be seen that the URLBFS scheme has a higher accuracy order. Figure 8b shows the relationship between the grid size and CPU calculation time of these schemes. It can be seen that the calculation time of all schemes will increase due to the use of higher-order reconstruction methods. The LF scheme directly reconstructs the numerical flux at the interface, so the procedure is relatively simple and the calculation time is faster than the other three schemes. However, at the same grid size, the URLBFS scheme has a smaller error and higher accuracy.
Table 2. Accuracy order and error of different flux solvers based on the WENO7 scheme at different grid resolutions.
Figure 8. Advection of density perturbation problem. Figure (a) shows the accuracy of WENO7-LF, WENO7-ROE, WENO7-LBFS, and WENO7-URLBFS schemes; Figure (b) shows the CPU time and L 2 error comparison of WENO7-LF, WENO7-ROE, WENO7-LBFS and WENO7-URLBFS schemes.

3.2. Shock-Tube Problems

This problem includes Lax’s [48] and Sod’s [49] problem, used to verify the shock wave capture capability. The initial condition for Lax’s problem is:
( ρ , u , p ) = ( 0.445 , 0.698 , 3.528 ) , if 0.5 x < 0 , ( 0.5 , 0 , 0.5710 ) , if   0 x 0.5 ,
The computational domain spans from [−0.5, 0.5] in the x, and the uniform grid space is 1/201. Non-reflecting boundary conditions are applied, with the ultimate time set to t = 0.14 . A fixed-time step size D T = 1 × 10 4 is adopted. Exact representation of the theoretical solution.
The initial condition for Sod’s problem is
( ρ , u , p ) = ( 1 , 0 , 1 ) , if 0 x < 0.5 , ( 0.125 , 0 , 0.1 ) , if 0.5 x 1 .
The computational area spans from [0, 1] in the x, with the ultimate time set to t = 0.25 , and other conditions are the same as the Lax problem. “-NCST” in Figure 9 indicates that the WENO reconstruction is carried out in physical space, while the others denote reconstruction in the eigenspace. Figure 9 and Figure 10 compare the numerical and exact solutions of these two problems. The results computed in physical space exhibit significant oscillations, indicating an inability to accurately capture the shock wave, a common challenge in numerical simulations of compressible flows. In contrast, the schemes reconstructed in eigenspace show excellent agreement with the exact solution. This is particularly important in problems involving strong discontinuities, which are often difficult to resolve with conventional methods. Comparatively speaking, the URLBFS scheme has better performance in solving shock waves and contact discontinuities in Lax and Sod problems.
Figure 9. Density distributions of the Lax problem at t = 1.4 were obtained using the LF, ROE, and URLBFS schemes compared to the exact solution. The results illustrate the differences in accuracy and resolution between these schemes. Panels (a,c) show the results using the WENO5 and WENO7 reconstruction methods, respectively, while panels (b,d) provide partial zoom−ins of key areas to visualize the differences better.
Figure 10. Density distributions of the Sod problem at t = 0.25 were obtained using the LF, ROE, and URLBFS schemes compared to the exact solution. The results illustrate the differences in accuracy and resolution between these schemes. Panels (a,c) show the results using the WENO5 and WENO7 reconstruction methods, respectively, while panels (b,d) provide partial zoom−ins of critical areas to visualize the differences better.

3.3. Shu–Osher Problem

This problem verifies the dissipative properties of the scheme. The initial condition is [5]:
ρ , u , p = 3.857143 , 2.629369 , 10.33333 , x 1 , 1 + 0.2 sin ( 5 x ) , 0 , 1 , 1 < x 10 .
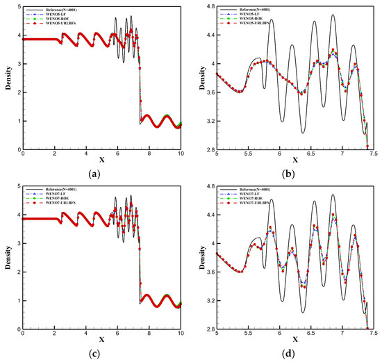
The computational domain spans from [0, 10] in the x and N = 201 uniform mesh points are used. Application of non-reflecting boundary conditions and the ultimate simulation time set to t = 1.8 . A fixed-time step size D T = 1 × 10 4 . Since this problem has no exact solution, the result obtained by ROE with N = 4001 is used as the exact solution. As can be seen from Figure 11, the proposed scheme exhibits excellent shock wave capture and high wavenumber density fluctuation capabilities, outperforming the LF scheme in these key areas. The ability to resolve density peaks more efficiently is crucial in simulations involving strongly compressible flows and discontinuities. The scheme’s high-resolution nature enables it to handle complex phenomena.
Figure 11. Density distributions of the Shu–Osher problem at t = 1.8 were obtained using the LF, ROE, and URLBFS schemes compared to the reference solution. The results illustrate the differences in accuracy and resolution between these schemes. Panels (a,c) show the results using the WENO5 and WENO7 reconstruction methods, respectively, while panels (b,d) provide partial zoom-ins of critical areas to visualize the differences better.

3.4. Blast Wave Problem

This example was proposed by Woodward and Colella [50]. The initial conditions are
( ρ , u , p ) = ( 1 , 0 , 1000 ) , 0 x < 0.1 , ( 1 , 0 , 0.01 ) , 0.1 x < 0.9 , ( 1 , 0 , 100 ) , 0.9 x 1 .
The simulation uses N = 301 uniform grid points in the area [0, 1], with reflective boundary conditions at all sides. A fixed-time step size D T = 1 × 10 5 and the ultimate evolution time set to t = 0.038 . Since there is no exact solution, the ROE scheme obtains the reference solution with N = 4001.
Figure 12 shows the comparison results of several numerical schemes and approximate exact solutions. As can be seen from the figure, the other schemes, especially the URLBFS scheme, show better shock wave capture capabilities than the LF scheme. When using the WENO7 reconstruction technique, the URLBFS scheme achieves a resolution similar to that of the ROE scheme. However, when using the WENO5 method, the URLBFS scheme shows a clear advantage in accurately resolving density peaks. These improvements show that the URLBFS scheme provides a more effective solution to complex fluid dynamics problems involving strong discontinuities than the LF and ROE schemes with enhanced resolution and shock wave capture capabilities.
Figure 12. Density distributions of the blast wave problem at t = 0.038 were obtained using the LF, ROE, and URLBFS schemes compared to the reference solution. The results illustrate the differences in accuracy and resolution between these schemes. Panels (a,c) show the results using the WENO5 and WENO7 reconstruction methods, respectively, while panels (b,d) provide partial zoom−ins of key areas to visualize the differences better.

3.5. Double Mach Reflection

This case was proposed by Woodward and Colella [50]. Features a shock wave with a Mach number of 10 and an incidence angle of 60°. The initial conditions are:
( ρ , u , v , p ) = ( 8 , 8.25 cos ( π / 6 ) , 8.25 sin ( π / 6 ) , 116.5 ) , x < 1 6 + y 3 , ( 1.4 , 0 , 0 , 1 ) , x 1 6 + y 3 .
Generate a uniform grid with a resolution of 960 × 240 in the computational domain of [0, 4] × [0, 1]. The shock wave starts at x = 1 / 6 , with a post-shock flow condition at the bottom boundary when x < 1 / 6 , and reflecting a boundary condition when x > 1 / 6 . The top boundary applies a time-dependent condition to match the shock wave motion, the left boundary enforces a post-shock flow condition, and the right boundary applies a zero-gradient condition. The ultimate simulation time is set to t = 0.2 and a fixed-time step size of D T = 1 × 10 4 .
Figure 13 shows the modeling consequence of LF, LBFS, and URLBFS schemes at a resolution of 960 × 240. The flow field produced by the WENO7 reconstruction method exhibits a significantly higher resolution than that of WENO5, enabling it to capture finer small-scale vortex structures under the same solver conditions. This increased resolution allows for better representation of complex flow features, including vortices and shock interactions. When comparing the reconstruction methods, the URLBFS scheme introduced in this study consistently outperforms the LF and LBFS schemes in capturing intricate flow structures, particularly near slip lines. Moreover, the URLBFS method demonstrates superior accuracy in resolving strong shock fronts, providing more precise shock-capturing capabilities.
Figure 13. Double Mach Reflection problem: Density contours with 43 equally spaced isolines ranging from 1.887 to 20.9, obtained using the LF, LBFS, and URLBFS schemes. The color gradient represents the corresponding density values, with blue indicating the minimum density value. The simulation was conducted at t = 0.2 with a resolution of 960 × 240. Panels (ac) show results using the WENO5 reconstruction method with LF, LBFS, and URLBFS schemes, respectively. Panels (df) display corresponding results with the WENO7 reconstruction method.

3.6. 2D-Riemann Problem

This section uses the classic 2D Riemann problem to test the resolution of the scheme and its capacity to capture shock waves and discontinuities. Three examples of different shock wave structures and multi-scale structures are used [45].

3.6.1. Configuration 3

The initial conditions are
( ρ , u , v , p ) = ( 1.5 , 0 , 0 , 1.5 ) , 0.8 x 1 ,   0.8 y 1 , ( 0.5323 , 1.206 , 0 , 0.3 ) , 0 x < 0.8 ,   0.8 y 1 , ( 0.138 , 1.206 , 1.206 , 0.029 ) , 0 x < 0.8 ,   0 y < 0.8 , ( 0.5323 , 0 , 1.206 , 0.3 ) , 0.8 x 1 ,   0 y < 0.8 .
Generate a uniform grid with a resolution of 400 × 400 in the computational domain of [0, 1] × [0, 1]. The area is divided into four regions by the two lines x = 0.8 and y = 0.8. All boundaries are non-reflecting boundary conditions. The total simulation time is t = 0.8 , a fixed time step size of D T = 1 × 10 4 .
Figure 14 demonstrates that the solver utilizing the WENO7 scheme provides higher accuracy compared to WENO5, resulting in a more refined and precise flow field resolution. The LF scheme, with its higher dissipation, smooths out the flow field, reducing instability and leading to less detailed results. In contrast, the URLBFS method, characterized by its lower dissipation, is able to resolve a greater number of vortex structures, thus capturing finer flow details.
Figure 14. Two-dimensionalRiemann problem (configuration 3): Density contours with 31 equally spaced isolines ranging from 0.135 to 1.725 were obtained using the LF, ROE, and URLBFS schemes. The color gradient represents the corresponding density values, with blue indicating the minimum density value. The simulation was conducted at t = 0.8 with a resolution of 400 × 400. Panels (ac) show results using the WENO5 reconstruction method with LF, ROE, and URLBFS schemes, respectively. Panels (df) display corresponding results with the WENO7 reconstruction method.

3.6.2. Configuration 6

The initial conditions are
( ρ , u , v , p ) = ( 1.0 , 0.75 , 0.5 , 1.0 ) , 1.0 x 2.0 ,   1.0 y 2.0 , ( 2.0 , 0.75 , 0.5 , 1.0 ) , 0.0 x < 1.0 ,   1.0 y 2.0 , ( 1.0 , 0.75 , 0.5 , 1.0 ) , 0.0 x < 1.0 ,   0.0 y < 1.0 , ( 3.0 , 0.75 , 0.5 , 1.0 ) , 1.0 x 2.0 ,   0.0 y < 1.0 .
The computational domain spans from [0, 2] in both the x and y directions, divided into four regions by x = 1.0 and y = 1.0 , using a regular grid with a mesh of 400 × 400 . The ultimate simulation time is set to t = 1.6 . Other conditions are the same as configuration 3.
The simulation results of LF, ROE, and URLBFS schemes are given in Figure 15. We can see that the URLBFS exhibits stable and sharp shock wave capture capabilities in both the WENO5 and WENO7 schemes.
Figure 15. Two-dimensional Riemann problem (configuration 6): Density contours with 35 equally spaced isolines ranging from 0.15 to 2.4 were obtained using the LF, ROE, and URLBFS schemes. The color gradient represents the corresponding density values, with blue indicating the minimum density value. The simulation was conducted at t = 1.6 with a resolution of 400 × 400. Panels (ac) show results using the WENO5 reconstruction method with LF, ROE, and URLBFS schemes, respectively. Panels (df) display corresponding results with the WENO7 reconstruction method.

3.6.3. Configuration 11

The initial conditions are
( ρ , u , v , p ) = ( 1.0 , 0.1 , 0 , 1.0 ) , if   x > 0.5 ,   y > 0.5 , ( 0.5313 , 0.8276 , 0.0.4 ) , if   x < 0.5 ,   y > 0.5 , ( 0.8 , 0.1 , 0 , 0.4 ) , if   x < 0.5 ,   y < 0.5 , ( 0.5313 , 0.1 , 0.7276 , 0.4 ) , if   x > 0.5 ,   y < 0.5 .
The computational domain spans from [0, 1] in both the x and y directions, divided into four regions by x = 0.5 and y = 0.5 , using a regular grid with a mesh 400 × 400 . The total calculated time is t = 0.4 . Other conditions are the same as configuration 3.
The simulation results of the approximate Riemann solver based on the WENO5 and WENO7 reconstruction schemes are shown in Figure 16. It shows that the flow field obtained by the URLBFS scheme has a higher resolution and can better capture the fine vortex structure.
Figure 16. Two-dimensional Riemann problem (configuration 11): Density contours with 35 equally spaced isolines ranging from 0.5 to 1.2 were obtained using the LF, ROE, and URLBFS schemes. The color gradient represents the corresponding density values, with blue indicating the minimum density value. The simulation was conducted at t = 0.4 with a resolution of 400 × 400. Panels (ac) show results using the WENO5 reconstruction method with LF, ROE, and URLBFS schemes, respectively. Panels (df) display corresponding results with the WENO7 reconstruction method.

3.7. Kelvin–Helmholtz Instability

This problem is simulated by using a two-dimensional single-mode perturbed initial condition to assess the precision and detail of the numerical scheme [51]. The perturbation takes the form of a sinusoidal wave with a wavelength along the x-direction, perturbing the vertical velocity component with an amplitude of δ = 0.01 .
( ρ , u , v , p ) = ( 2 , 0.5 , 0.01 sin ( 2 π x ) , 2.5 ) ,       0.25 y 0.75 , ( 1 , 0.5 , 0.01 sin ( 2 π x ) , 2.5 ) ,     otherwise .
The computational domain spans from [0, 1] in both the x and y directions, and a regular grid of 400 × 400 is applied. Apply periodic boundary conditions on all boundaries and the ultimate time is t = 0.5 with a fixed-time step size of D T = 1 × 10 4 .
Figure 17 illustrates the density distributions calculated using the LF, ROE, and URLBFS schemes. It is evident that the high-order WENO7 reconstruction method offers a better resolution compared to WENO5, enabling a more detailed representation of the flow. Among the three schemes, the URLBFS method captures small-scale vortices with greater accuracy, showcasing its superior ability to resolve intricate flow features, such as fine vortices, which are crucial for accurately modeling complex fluid dynamics.
Figure 17. KH instability problem: Density contours with 40 equally spaced isolines ranging from 0.866 to 2.125 were obtained using the LF, ROE, and URLBFS schemes. The color gradient represents the corresponding density values, with blue indicating the minimum density value. The sim-ulation was conducted at t = 0.5 with a resolution of 400 × 400. Panels (ac) display results using the WENO5 reconstruction method, while panels (df) show corresponding results with the WENO7 method. Each scheme’s ability to capture the development of vortices, maintain solution smoothness, and suppress numerical artifacts is compared.

3.8. High Mach Number Astrophysical Jets

This numerical experiment simulates a two-dimensional high Mach number astrophysical jet without radiation cooling [52]. The simulated Mach number is 80, and the computational domain spans from [0, 2] in x and [−0.5, 0.5] in y directions. The environmental gas parameters are ρ , u , v , p = 5 , 0 , 0 , 0.4127 . At the left boundary, when 0.05 y 0.05 , then ρ , u , v , p = 5 , 30 , 0 , 0.4127 , or else, ρ , u , v , p = 5 , 0 , 0 , 0.4127 . The remaining boundaries are outlet boundary conditions. A uniform grid is used with a grid resolution of 448 × 224. The total simulation time is t = 0.07 , with a fixed time step size of D T = 1 × 10 5 .
Figure 18 and Figure 19 present the density and pressure distributions at the final simulation time, computed using the ROE and URLBFS schemes. As seen in the figures, the ROE scheme, due to its high numerical dissipation, struggles to accurately capture fine structures within the flow field. This leads to oscillations in the results and the appearance of non-physical solutions, which is especially noticeable with the WENO5 reconstruction scheme. While the WENO7 reconstruction method improves stability and accuracy, it still fails to capture the shock wave with sufficient precision. In contrast, the URLBFS scheme demonstrates superior performance, offering both accurate reproduction of the astrophysical jet phenomenon and enhanced resolution of the flow field, making it an ideal choice for simulating complex fluid dynamics with high fidelity.
Figure 18. High Mach number astrophysical jet problem: Density contours from ROE and URLBFS schemes with a grid resolution of 448 × 224. The results are shown at t = 0.2, capturing the flow dynamics in a highly compressible, high−velocity jet. Panels (a,b) display results using the WENO5 and WENO7 reconstruction methods combined with the ROE scheme, while panels (c,d) show results using WENO5 and WENO7 with the URLBFS scheme.
Figure 19. High Mach number astrophysical jet problem: Pressure contours from ROE and URLBFS schemes with a grid resolution of 448 × 224. The results are shown at t = 0.2. Panels (a,b) display results using the WENO5 and WENO7 reconstruction methods combined with the ROE scheme, while panels (c,d) show results using WENO5 and WENO7 with the URLBFS scheme.

4. Conclusions

In this paper, a new high-precision and low-dissipation numerical method, WENO-URLBFS, has been proposed based on the finite difference framework. In order to enhance the accuracy and reduce the numerical dissipation, the URLBFS is introduced, which uses the theoretical solution of the Euler equation and adopts the upwind direction of the normal velocity at the cell interface to redefine the tangential velocity. Different from the traditional FD-WENO scheme that directly reconstructs the numerical flux on the interface, this paper adopts two high-order methods, WENO5 and WENO7, to reconstruct the flow variables on both sides of the interface and then brings the reconstructed flow variables into the URLBFS scheme to calculate the numerical flux. To avoid unphysical oscillations around the shock waves that would lead to divergent results, the eigenvector of the Jacobian matrix is introduced to transform the reconstruction process into the characteristic space, which finally produces a stable, high-precision, and high-resolution numerical scheme.
The order of accuracy of the present WENO-URLBFS scheme has been successfully validated by simulating the density perturbation advection example. Both WENO5-URLBFS and WENO7-URLBFS have reached the fifth and seventh-order accuracy, respectively. In addition, many challenging benchmark examples are used to verify the scheme’s resolution and shock wave capture capabilities. The one-dimensional examples include shock tube problems, Shu–Osher problems, and blast wave problems. The two-dimensional examples include double Mach reflections, several configurations of two-dimensional Riemann problems, KH instability problems, and High Mach number astrophysical jets.
The numerical results of many challenging one-dimensional and two-dimensional examples mentioned above show that the WENO-URLBFS scheme has very low numerical dissipation and is robust when capturing small-scale flow structures and resolving strong shock waves and contact waves. This indicates that the WENO-URLBFS scheme is advantageous in solving complex flow problems with strong shock waves and contact discontinuities in compressible flows, which may promote its wide applications in engineering and scientific research. It is worth noting that this paper only focuses on inviscid compressible flows, which can be further expanded to the simulation of incompressible and viscous flows in the future. In terms of numerical methods, this paper uses the most basic WENO-JS scheme. In the future, we can try to make various improvements to the WENO scheme, such as introducing weighted restrictive correction, convection restrictive enhancement, etc., to improve the calculation accuracy and stability. These improvements will provide stronger numerical solution capabilities for more complex flow problems and further broaden this method’s application scope.

Author Contributions

Conceptualization, Y.Z.; Methodology, Y.W. (Yunhao Wang), J.C., Y.W. (Yan Wang) and Y.Z.; Validation, Y.W. (Yunhao Wang), Y.W. (Yan Wang) and S.K.; Formal analysis, J.C., Y.W. (Yan Wang) and S.K.; Investigation, J.C.; Resources, S.K.; Writing—original draft, Y.W. (Yunhao Wang); Writing—review & editing, Y.W. (Yan Wang); Supervision, Y.W. (Yan Wang); Funding acquisition, Y.Z. and S.K. All authors have read and agreed to the published version of the manuscript.

Funding

This work is supported by the National Natural Science Foundation of China (Grant No. 12272178 and 52321165649), Aeronautical Science Foundation of China (Grant No. 20220012052004) and the Spring Sunshine Program of the Ministry of Education of China and the Funding for Outstanding Doctoral Dissertation in NUAA (Grant No. BCXJ24-01). This work is also partially supported by High Performance Computing Platform of Nanjing University of Aeronautics and Astro-nautics.

Institutional Review Board Statement

Not applicable.

Data Availability Statement

The original contributions presented in the study are included in the article, further inquiries can be directed to the corresponding author.

Conflicts of Interest

The authors declare no conflict of interest.

References

  1. Shang, J.S. Three Decades of Accomplishments in Computational Fluid Dynamics. Prog. Aerosp. Sci. 2004, 40, 173–197. [Google Scholar] [CrossRef]
  2. Pirozzoli, S. Numerical Methods for High-Speed Flows. Annu. Rev. Fluid Mech. 2011, 43, 163–194. [Google Scholar] [CrossRef]
  3. Colella, P.; Woodward, P.R. The Piecewise Parabolic Method (PPM) for Gas-Dynamical Simulations. J. Comput. Phys. 1984, 54, 174–201. [Google Scholar] [CrossRef]
  4. Reed, W.H.; Hill, T.R. Triangular Mesh Methods for the Neutron Transport Equation; LosAlamos Report LA-UR-73-479; Los Alamos Scientific Laboratory: Santa Fe, NM, USA, 1973. [Google Scholar]
  5. Harten, A.; Engquist, B.; Osher, S.; Chakravarthy, S.R. Uniformly High Order Accurate Essentially Non-Oscillatory Schemes, III. J. Comput. Phys. 1987, 71, 231–303. [Google Scholar] [CrossRef]
  6. Shu, C.-W.; Osher, S. Efficient Implementation of Essentially Non-Oscillatory Shock-Capturing Schemes. J. Comput. Phys. 1988, 77, 439–471. [Google Scholar] [CrossRef]
  7. Shu, C.-W.; Osher, S. Efficient Implementation of Essentially Non-Oscillatory Shock-Capturing Schemes, II. J. Comput. Phys. 1989, 83, 32–78. [Google Scholar] [CrossRef]
  8. Liu, X.-D.; Osher, S.; Chan, T. Weighted Essentially Non-Oscillatory Schemes. J. Comput. Phys. 1994, 115, 200–212. [Google Scholar] [CrossRef]
  9. Jiang, G.-S.; Shu, C.-W. Efficient Implementation of Weighted ENO Schemes. J. Comput. Phys. 1996, 126, 202–228. [Google Scholar] [CrossRef]
  10. Shu, C.-W. Essentially Non-Oscillatory and Weighted Essentially Non-Oscillatory Schemes for Hyperbolic Conservation Laws. In Advanced Numerical Approximation of Nonlinear Hyperbolic Equations; Quarteroni, A., Ed.; Lecture Notes in Mathematics; Springer: Berlin/Heidelberg, Germany, 1998; Volume 1697. [Google Scholar]
  11. Balsara, D.S.; Shu, C.-W. Monotonicity Preserving Weighted Essentially Non-Oscillatory Schemes with Increasingly High Order of Accuracy. J. Comput. Phys. 2000, 160, 405–452. [Google Scholar] [CrossRef]
  12. Hu, C.; Shu, C.-W. Weighted Essentially Non-Oscillatory Schemes on Triangular Meshes. J. Comput. Phys. 1999, 150, 97–127. [Google Scholar] [CrossRef]
  13. Shi, J.; Hu, C.; Shu, C.-W. A Technique of Treating Negative Weights in WENO Schemes. J. Comput. Phys. 2002, 175, 108–127. [Google Scholar] [CrossRef]
  14. Friedrich, O. Weighted Essentially Non-Oscillatory Schemes for the Interpolation of Mean Values on Unstructured Grids. J. Comput. Phys. 1998, 144, 194–212. [Google Scholar] [CrossRef]
  15. Ding, X.; Chen, G.; Luo, P. Convergenceof the Lax-Friedrichs Scheme for Isentropic Gas Dynamics (I). Acta Math. Sci. 1985, 5, 415–432. [Google Scholar] [CrossRef]
  16. Roe, P.L. Approximate Riemann Solvers, Parameter Vectors, and Difference Schemes. J. Comput. Phys. 1997, 135, 250–258. [Google Scholar] [CrossRef]
  17. Harten, A.; Lax, P.D.; Leer, B.V. On Upstream Differencing and Godunov-Type Schemes for Hyperbolic Conservation Laws. SIAM Rev. 1983, 25, 35–61. [Google Scholar] [CrossRef]
  18. Liou, M.-S.; Steffen, C.J. A New Flux Splitting Scheme. J. Comput. Phys. 1993, 107, 23–39. [Google Scholar] [CrossRef]
  19. Liou, M.-S. On a New Class of Flux Splittings. In Proceedings of the Thirteenth International Conference on Numerical Methods in Fluid Dynamics, Rome, Italy, 6–10 July 1992; Napolitano, M., Sabetta, F., Eds.; Springer: Berlin/Heidelberg, Germany, 1993; pp. 115–119. [Google Scholar]
  20. Liou, M.-S. A Sequel to AUSM: AUSM+. J. Comput. Phys. 1996, 129, 364–382. [Google Scholar] [CrossRef]
  21. Einfeldt, B.; Munz, C.D.; Roe, P.L.; Sjögreen, B. On Godunov-Type Methods near Low Densities. J. Comput. Phys. 1991, 92, 273–295. [Google Scholar] [CrossRef]
  22. Arshed, G.M.; Hoffmann, K.A. Minimizing Errors from Linear and Nonlinear Weights of WENO Scheme for Broadband Applications with Shock Waves. J. Comput. Phys. 2013, 246, 58–77. [Google Scholar] [CrossRef]
  23. Guo, Z.; Shu, C. Lattice Boltzmann Method and Its Applications in Engineering; Advances in Computational Fluid Dynamics; World Scientific: Singapore, 2013; Volume 3, ISBN 978-981-4508-29-2. [Google Scholar]
  24. Flouris, K.; Jimenez, M.M.; Munglani, G.; Wittel, F.K.; Debus, J.-D.; Herrmann, H.J. Fluid Structure Interaction with Curved Space Lattice Boltzmann. Comput. Fluids 2018, 168, 32–45. [Google Scholar] [CrossRef]
  25. Ji, C.Z.; Shu, C.; Zhao, N. A Lattice Boltzmann Method-bsaed Flux Solver and Its Application to Solve Shock Tube Problem. Mod. Phys. Lett. B 2009, 23, 313–316. [Google Scholar] [CrossRef]
  26. Shu, C.; Wang, Y.; Teo, C.J.; Wu, J. Development of Lattice Boltzmann Flux Solver for Simulation of Incompressible Flows. Adv. Appl. Math. Mech. 2014, 6, 436–460. [Google Scholar] [CrossRef]
  27. Wang, Y.; Yang, L.; Shu, C. From Lattice Boltzmann Method to Lattice Boltzmann Flux Solver. Entropy 2015, 17, 7713–7735. [Google Scholar] [CrossRef]
  28. Wang, Y.; Shu, C.; Teo, C.J. Thermal Lattice Boltzmann Flux Solver and Its Application for Simulation of Incompressible Thermal Flows. Comput. Fluids 2014, 94, 98–111. [Google Scholar] [CrossRef]
  29. Wang, Y.; Shu, C.; Huang, H.B.; Teo, C.J. Multiphase Lattice Boltzmann Flux Solver for Incompressible Multiphase Flows with Large Density Ratio. J. Comput. Phys. 2015, 280, 404–423. [Google Scholar] [CrossRef]
  30. Zhang, L.Q.; Chen, Z.; Shu, C.; Zhang, M.Q. A Kinetic Theory-Based Axisymmetric Lattice Boltzmann Flux Solver for Isothermal and Thermal Swirling Flows. J. Comput. Phys. 2019, 392, 141–160. [Google Scholar] [CrossRef]
  31. Yang, L.M.; Shu, C.; Wu, J. Development and Comparative Studies of Three Non-Free Parameter Lattice Boltzmann Models for Simulation of Compressible Flows. Adv. Appl. Math. Mech. 2012, 4, 454–472. [Google Scholar] [CrossRef]
  32. Yang, L.M.; Shu, C.; Wu, J. A Hybrid Lattice Boltzmann Flux Solver for Simulation of Viscous Compressible Flows. Adv. Appl. Math. Mech. 2016, 8, 887–910. [Google Scholar] [CrossRef]
  33. Zhao, X.; Yang, L.; Shu, C. An Implicit Lattice Boltzmann Flux Solver for Simulation of Compressible Flows. Comput. Math. Appl. 2022, 107, 82–94. [Google Scholar] [CrossRef]
  34. Zeng, Y.; Wang, Y.; Wang, T.; Chen, Q. Numerical Study on Flow-Induced Vibrations of Elastically Mounted Rectangular Cylinders without and with Barrier Walls. Phys. Fluids 2022, 34, 083613. [Google Scholar] [CrossRef]
  35. Kataoka, T.; Tsutahara, M. Lattice Boltzmann Method for the Compressible Euler Equations. Phys. Rev. E 2004, 69, 056702. [Google Scholar] [CrossRef] [PubMed]
  36. Kataoka, T.; Tsutahara, M. Lattice Boltzmann Model for the Compressible Navier-Stokes Equations with Flexible Specific-Heat Ratio. Phys. Rev. E 2004, 69, 035701. [Google Scholar] [CrossRef] [PubMed]
  37. Qu, K.; Shu, C.; Chew, Y.T. Alternative Method to Construct Equilibrium Distribution Functions in Lattice-Boltzmann Method Simulation of Inviscid Compressible Flows at High Mach Number. Phys. Rev. E 2007, 75, 036706. [Google Scholar] [CrossRef] [PubMed]
  38. Qu, K.; Shu, C.; Chew, Y.T. Simulationof Shock-Wave Propagation With Finite Volume Lattice Boltzmann Method. Int. J. Mod. Phys. C 2007, 18, 447–454. [Google Scholar] [CrossRef]
  39. Yang, L.M.; Shu, C.; Wu, J. A Moment Conservation-Based Non-Free Parameter Compressible Lattice Boltzmann Model and Its Application for Flux Evaluation at Cell Interface. Comput. Fluids 2013, 79, 190–199. [Google Scholar] [CrossRef]
  40. Li, Q.; He, Y.L.; Wang, Y.; Tang, G.H. Three-Dimensional Non-Free-Parameter Lattice-Boltzmann Model and Its Application to Inviscid Compressible Flows. Phys. Lett. A 2009, 373, 2101–2108. [Google Scholar] [CrossRef]
  41. Chen, J.; Yang, D.; Chen, Q.; Sun, J.; Wang, Y. A Rotated Lattice Boltzmann Flux Solver with Improved Stability for the Simulation of Compressible Flows with Intense Shock Waves at High Mach Number. Comput. Math. Appl. 2023, 132, 18–31. [Google Scholar] [CrossRef]
  42. Toro, E.F. Riemann Solvers and Numerical Methods for Fluid Dynamics; Springer: Berlin/Heidelberg, Germany, 1997; ISBN 978-3-662-03492-7. [Google Scholar]
  43. Ren, Y.-X. A Robust Shock-Capturing Scheme Based on Rotated Riemann Solvers. Comput. Fluids 2003, 32, 1379–1403. [Google Scholar] [CrossRef]
  44. Levy, D.W.; Powell, K.G.; Van Leer, B. Use of a Rotated Riemann Solver for the Two-Dimensional Euler Equations. J. Comput. Phys. 1993, 106, 201–214. [Google Scholar] [CrossRef]
  45. Kurganov, A.; Tadmor, E. Solution of Two-dimensional Riemann Problems for Gas Dynamics without Riemann Problem Solvers. Numer. Methods Partial Differ. Equ. 2002, 18, 584–608. [Google Scholar] [CrossRef]
  46. Van Leer, B. Towards the Ultimate Conservative Difference Scheme. IV. A New Approach to Numerical Convection. J. Comput. Phys. 1977, 23, 276–299. [Google Scholar] [CrossRef]
  47. Liu, Y.Y.; Yang, L.M.; Shu, C.; Zhang, H.W. Three-Dimensional High-Order Least Square-Based Finite Difference-Finite Volume Method on Unstructured Grids. Phys. Fluids 2020, 32, 123604. [Google Scholar] [CrossRef]
  48. Lax, P.D. Weak Solutions of Nonlinear Hyperbolic Equations and Their Numerical Computation. Commun. Pure Appl. Math. 1954, 7, 159–193. [Google Scholar] [CrossRef]
  49. Sod, G.A. A Survey of Several Finite Difference Methods for Systems of Nonlinear Hyperbolic Conservation Laws. J. Comput. Phys. 1978, 27, 1–31. [Google Scholar] [CrossRef]
  50. Woodward, P.; Colella, P. The Numerical Simulation of Two-Dimensional Fluid Flow with Strong Shocks. J. Comput. Phys. 1984, 54, 115–173. [Google Scholar] [CrossRef]
  51. Frank, A.; Jones, T.W.; Ryu, D.; Gaalaas, J.B. The Magnetohydrodynamic Kelvin-Helmholtz Instability: A Two-dimensional Numerical Study. Astrophys. J. 1996, 460, 777. [Google Scholar] [CrossRef]
  52. Ha, Y.; Gardner, C.L.; Gelb, A.; Shu, C.-W. Numerical simulation of high Mach number astrophysical jets with radiative cooling. J. Comput. Phys. 2005, 24, 29–44. [Google Scholar] [CrossRef]
Disclaimer/Publisher’s Note: The statements, opinions and data contained in all publications are solely those of the individual author(s) and contributor(s) and not of MDPI and/or the editor(s). MDPI and/or the editor(s) disclaim responsibility for any injury to people or property resulting from any ideas, methods, instructions or products referred to in the content.

Article Metrics

Citations

Article Access Statistics

Multiple requests from the same IP address are counted as one view.