Simulation and Experimental Research on the Energy Loss of Confluence Pipelines
Abstract
1. Introduction
2. Numerical Simulation of the Flow Field of a Confluence Pipeline
2.1. Turbulent Flow Modeling of Bus-Tube
2.2. Simulation Setup and Result Analysis
3. Experimental System for the Energy Loss of the Arc Confluence Pipeline
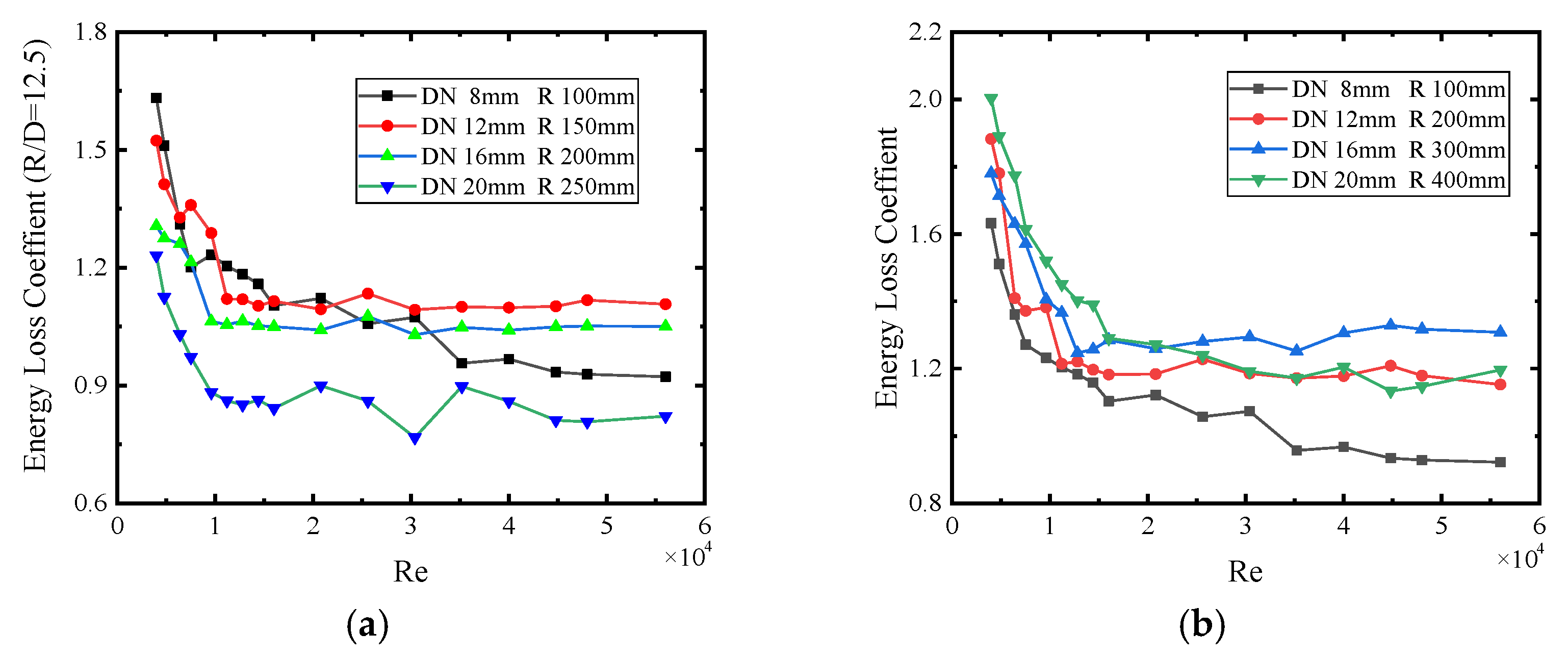
3.1. The Effect of Curvature Radius on the Energy Loss of the Arc Confluence Pipe
3.2. Influence of Pipe Diameter on the Energy Loss of the Arc Confluence Pipeline
3.3. Effect of Curvature Radius and Pipe Diameter Ratio (R/D) on the Energy Loss of the Arc Confluence Pipeline
3.4. Error Analysis of Experimental Results and Theoretical Calculations
4. Application
5. Conclusions
- (1)
- For arc confluence pipes with diameters of 12 mm, 16 mm, and 20 mm, as the curvature radius of the arc confluence pipe increases, its energy loss coefficient first decreases and then increases, with the curvature radius corresponding to the minimum energy loss being approximately 65 mm. This phenomenon may be related to the flow separation and reattachment when the fluid flows through the confluence pipe, especially under smaller curvature radii, where flow separation is more severe, leading to increased local energy loss. As the curvature radius increases, the flow becomes smoother, reducing energy loss. However, when the curvature radius is too large, the along-pipe losses begin to dominate, leading to an increase in total energy loss.
- (2)
- For arc confluence pipes with the same curvature radius and diameters of 8 mm, 12 mm, 16 mm, 20 mm, and 25 mm, the energy loss coefficient gradually decreases as the pipe diameter increases. This may be because a larger diameter helps to reduce the local velocity of the flow, thereby reducing the energy loss caused by turbulence and flow separation.
- (3)
- For an arc confluence pipeline with different pipe diameters and curvature radii, there is no established rule to follow between the ratio of curvature radius to pipe diameter R/D and confluence energy loss. This indicates that a single geometric parameter is not sufficient to predict energy loss, and it may be necessary to consider more flow characteristics and boundary conditions.
Author Contributions
Funding
Institutional Review Board Statement
Informed Consent Statement
Data Availability Statement
Conflicts of Interest
References
- Costa, N.P.; Maia, R.; Proença, M.F.; Pinho, F.T. Edge effect on the flow characteristics in a 90 deg tee junction. J. Fluid Eng. 2006, 128, 1204–1218. [Google Scholar] [CrossRef]
- Ito, H.; Oka, K. T-junction Piping System. Annu. J. Eng. 2005, 3, 21–27. [Google Scholar]
- Stevens, J.C. Theoretical energy loss in intersecting pipes. Engin. News Rec. 1926, 97, 140–141. [Google Scholar]
- Ando, T.; Satoru Takamura, S. Effect on flow rate on the loss reduction of T-junction pipe. Jpn. Soc. Mech. Eng. 2014, 9, 26–38. [Google Scholar] [CrossRef]
- Abdulwahhab, M.; Injeti, N.K.; Dakhil, S.F. Numerical prediction of pressure loss of fluid in a T-junction. Int. J. Energy Environ. 2013, 4, 253–264. [Google Scholar]
- Keslerová, R.; Trdlička, D. Numerical Simulation of 3D Flow of Viscous and Viscoelastic Fluids in T-Junction Channel. In Numerical Mathematics and Advanced Applications ENUMATH 2015 (Lecture Notes in Computational Science and Engineering); Springer: Cham, Switzerland, 2016; pp. 491–499. [Google Scholar]
- Beneš, L.; Louda, P.; Kozel, K.; Keslerová, R.; Štigler, J. Numerical simulation of flow through channels with T-junction. Appl. Math. Comput. 2013, 219, 7225–7235. [Google Scholar] [CrossRef]
- Paritosh, R.V. Fluid Flow in T-Junction of Pipes. Master’s Thesis, Lappeenranta University of Technology, Lappeenranta, Finland, 2007. [Google Scholar]
- Mao, Z.Y.; Zhao, K. Experimental Study on Local Resistance at Pipeline. Conflu. J. Water Resour. 2007, 7, 812–818. [Google Scholar]
- Mao, Z.Y.; Luo, S. Local energy loss at the confluence of rectangular cross-section pressure pipelines. Prog. Water Resour. Hydropower Technol. 2006, 26, 62–67. [Google Scholar]
- Cao, H.B.; Gao, L.L. Numerical simulation of fluid flow characteristics in three-way pipes with different structures. Guangdong Chem. Ind. 2016, 43, 72–73. [Google Scholar]
- Sun, Q.G.; Chen, C.Z. Distribution characteristics of oil air lubricated annular flow in circular arc three-way pipes. Mech. Res. Appl. 2015, 28, 74–79. [Google Scholar]
- Liu, P.Q.; Qu, Q.L. Numerical simulation of hydraulic characteristics of internally reinforced crescent rib three-way pipe. J. Water Resour. 2004, 3, 42–47. [Google Scholar]
- Feng, Y.H.; Li, S.Y. Numerical analysis of water surface morphology characteristics at Y-shaped intersections. People's Yangtze River 2008, 39, 63–67. [Google Scholar]
- Rong, G.W.; Wei, W.L. Numerical simulation of three-dimensional turbulent hydraulic characteristics of bifurcation pipelines. J. Hydrol. 2010, 41, 398–406. [Google Scholar]
- De la Cruz-Ávila, M.; Carvajal-Mariscal, I.; Sigalotti, L.D.G.; Klapp, J. Numerical study of water-oil two-phase flow evolution in a y-junction horizontal pipeline. Water 2022, 14, 3451. [Google Scholar] [CrossRef]
- Li, Z.; Chen, S.; Sun, B.; Wang, F.; Zhang, L.; Wang, B. The characteristics of water and sediment movement in the confluence area of pipeline. Urban Water J. 2024, 21, 927–940. [Google Scholar] [CrossRef]
- Wang, L.; Guo, W. Optimization of hydraulic parameters for pipeline system of hydropower station with super long headrace tunnel based on mayfly algorithm considering operational scenarios. Energy Sci. Eng. 2024, 12, 2341–2364. [Google Scholar] [CrossRef]
- Naramoto, I.; Kasai, T. On the loss of energy at impact of two confined streams of water. Kyushu Imp. Univ. College of Engin. Mem. 1931, 189–261. [Google Scholar]
- Giesecke, F.E.; Bangett, W.H. Supplementary friction heads in one-inch cast-iron tees. ASHVE Trans. 1995, 111–120. [Google Scholar]
- Serre, M.; Odgaard, A.J.; Elder, R.A. Energy loss at combining pipe junction. J. Hydraul. Eng. 1994, 120, 808–830. [Google Scholar] [CrossRef]
- Mao, G.H.; Zhang, J.J. Research on the Hydraulic Model Test and Three dimensional Numerical Calculation of B-type Fork Pipe. J. Hydroelectr. Power 2005, 24, 16–22. [Google Scholar]
- Jiang, S. Analysis of the internal flow field of a 90’’ circular bend based on Fluent. China Shipbuild. Res. 2008, 1, 34–45. [Google Scholar]
- Duan, Y.H. Three dimensional numerical simulation of tees based on FLUENT. Inn. Mong. Petrochem. 2008, 5, 51–54. [Google Scholar]
- Han, F.J.; Sun, X. Numerical simulation and structural optimization of internal flow field of T-shaped three-way pipe. Xinjiang Water Resour. 2010, 4, 1–3. [Google Scholar]
- Zhao, Y. Numerical Simulation of Local Resistance of Pipeline Based on CFD; Northeast Petroleum University: Daqing, China, 2011. [Google Scholar]
- Wang, L.; Zhou, Q.; Gao, Y. Prediction of oil pipeline process operating parameters based on mechanism and data mining. ASME J. Energy Resour. Technol. 2024, 146, 113001-1–113001-8. [Google Scholar]
- Mei, J.; Cui, J.; Wu, L.; Xu, S.; Guo, Q.; Xiao, W.; Ye, S.; Zhang, H. Design optimization method of pipeline parameter based on improved artificial neural network. Knowl. Based Syst. 2024, 304, 112409. [Google Scholar] [CrossRef]
- Westerhof, N.; Stergiopulos, N.; Noble, M.I.M.; Westerhof, B.E. Bernoulli’s Equation. Snapshots of Hemodynamics; Springer: Cham, Switzerland, 2018; pp. 1–5. [Google Scholar]











Disclaimer/Publisher’s Note: The statements, opinions and data contained in all publications are solely those of the individual author(s) and contributor(s) and not of MDPI and/or the editor(s). MDPI and/or the editor(s) disclaim responsibility for any injury to people or property resulting from any ideas, methods, instructions or products referred to in the content. |
© 2024 by the authors. Licensee MDPI, Basel, Switzerland. This article is an open access article distributed under the terms and conditions of the Creative Commons Attribution (CC BY) license (https://creativecommons.org/licenses/by/4.0/).
Share and Cite
Zhou, S.; Pang, C.; Lin, J.; Han, Q.; Luo, Z. Simulation and Experimental Research on the Energy Loss of Confluence Pipelines. Appl. Sci. 2024, 14, 11415. https://doi.org/10.3390/app142311415
Zhou S, Pang C, Lin J, Han Q, Luo Z. Simulation and Experimental Research on the Energy Loss of Confluence Pipelines. Applied Sciences. 2024; 14(23):11415. https://doi.org/10.3390/app142311415
Chicago/Turabian StyleZhou, Shenghao, Chao Pang, Junzhe Lin, Qingkai Han, and Zhong Luo. 2024. "Simulation and Experimental Research on the Energy Loss of Confluence Pipelines" Applied Sciences 14, no. 23: 11415. https://doi.org/10.3390/app142311415
APA StyleZhou, S., Pang, C., Lin, J., Han, Q., & Luo, Z. (2024). Simulation and Experimental Research on the Energy Loss of Confluence Pipelines. Applied Sciences, 14(23), 11415. https://doi.org/10.3390/app142311415

