Modeling of Characteristics of Complex Microstructure and Heterogeneity at the Core Scale
Abstract
1. Introduction
2. Methods
2.1. Pore Structure Analysis Method
2.2. Squirt Flow Theory Considering Different Aspect Ratios
2.3. Random Medium Model
- The power spectral density of a stationary stochastic process can be obtained from the Fourier transform of its autocorrelation function :The autocorrelation function iswhere, a and b are the autocorrelation length, and the angle factor describes the orientation of the reconstructed rock particles.
- The initial random medium is generated with a uniform distribution using a random number generator with the interval [0, 2].
- A random medium power spectrum is generated:
- The random disturbance in the space domain is obtained with the inverse Fourier transform of the random power spectrum function ,and its mean and variance arewhere indicates the mean.
- Based on the above mean and variance, a spatial domain random medium distribution with as the autocorrelation function is generated:Its mean is zero, and its variance is .
2.4. Multiphysics Field Coupling and Workflow
3. Results
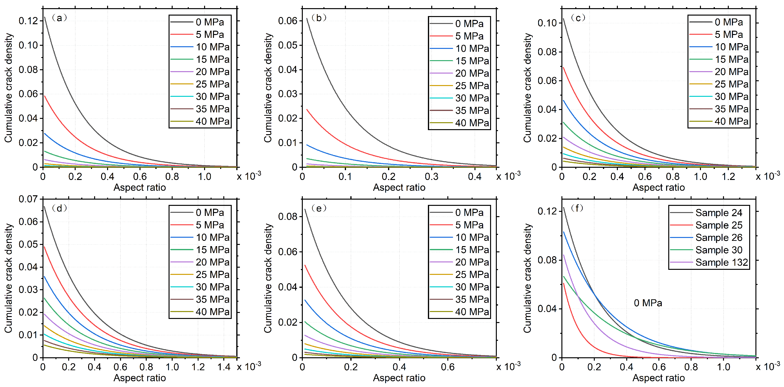
3.1. Pore Structure Parameter Analysis
3.2. Matrix Heterogeneity Parameter Analysis
3.3. Modified Squirt Model Application
4. Discussion
5. Conclusions
Author Contributions
Funding
Data Availability Statement
Conflicts of Interest
References
- Vanorio, T.; Scotellaro, C.; Mavko, G. The effect of chemical and physical processes on the acoustic properties of carbonate rocks. Lead. Edge 2008, 27, 1040–1048. [Google Scholar] [CrossRef]
- Nurmi, R.; Standen, E. Carbonates, the inside story. Middle East Well Eval. Rev. 1997, 18, 28–41. [Google Scholar]
- Thompson, L.; Oftebro, C. Salt gets in your eyes: The geological challenges and solutions to sub-salt exploration. First Break 2011, 29. [Google Scholar] [CrossRef]
- Wright, V.P. Lacustrine Carbonates in Rift Settings: The Interaction of Volcanic and Microbial Processes on Carbonate Deposition; Geological Society, London, Special Publications: London, UK, 2012; Volume 370, pp. 39–47. [Google Scholar] [CrossRef]
- Teng, T.; Pan, J.; Zhang, H.; Liu, J. Prediction technique of carbonate reservoir in Tazhong area. Lithol. Reserv. 2010, 22, 14–19. [Google Scholar] [CrossRef]
- Eshelby, J.D. The determination of the elastic field of an ellipsoidal inclusion, and related problems. Proc. R. Soc. Lond. Ser. A Math. Phys. Sci. 1957, 241, 376–396. [Google Scholar] [CrossRef]
- Dunn, M.L.; Ledbetter, H. Poisson’s ratio of porous and microcracked solids: Theory and application to oxide superconductors. J. Mater. Res. 1995, 10, 2715–2722. [Google Scholar] [CrossRef]
- Wu, T.T. The effect of inclusion shape on the elastic moduli of a two-phase material. Int. J. Solids Struct. 1966, 2, 1–8. [Google Scholar] [CrossRef]
- Kuster, G.T.; Toksöz, M.N. Velocity and attenuation of seismic waves in two-phase media: Part I. Theoretical formulations. Geophysics 1974, 39, 587–606. [Google Scholar] [CrossRef]
- Kuster, G.T.; Toksoz, M.N. Velocity and attenuation of seismic waves in two-phase media; Part II, Experimental results. Geophysics 1974, 39, 607–618. [Google Scholar] [CrossRef]
- Yan, J.; Li, X.; Enru, L. Effects of pore aspect ratios on velocity prediction from well-log data. Geophys. Prospect. 2002, 50, 289–300. [Google Scholar] [CrossRef]
- Sun, S.; Stretch, S.; Brown, R. Comparison of borehole velocity-prediction models and estimation of fluid saturation effects: From rock physics to exploration problem. J. Can. Pet. Technol. 2004, 43, PETSOC-04-10-01. [Google Scholar] [CrossRef]
- Cheng, C.H.; Toksöz, M.N. Inversion of seismic velocities for the pore aspect ratio spectrum of a rock. J. Geophys. Res. Solid Earth 1979, 84, 7533–7543. [Google Scholar] [CrossRef]
- Berryman, J.G. Mixture theories for rock properties. In Rock Physics and Phase Relations: A Handbook of Physical Constants; American Geophysical Union: Washington, DC, USA, 1995; Volume 3, pp. 205–228. [Google Scholar] [CrossRef]
- Mori, T.; Tanaka, K. Average stress in matrix and average elastic energy of materials with misfitting inclusions. Acta Metall. 1973, 21, 571–574. [Google Scholar] [CrossRef]
- Norris, A.N. A differential scheme for the effective moduli of composites. Mech. Mater. 1985, 4, 1–16. [Google Scholar] [CrossRef]
- Mavko, G.; Jizba, D. Estimating grain-scale fluid effects on velocity dispersion in rocks. Geophysics 1991, 56, 1940–1949. [Google Scholar] [CrossRef]
- Dvorkin, J.; Nolen-Hoeksema, R.C.; Nur, A. The squirt-flow mechanism; macroscopic description. Geophysics 1994, 59, 428–438. [Google Scholar] [CrossRef]
- Dvorkin, J.; Mavko, G.; Nur, A. Squirt flow in fully saturated rocks. Geophysics 1995, 60, 97–107. [Google Scholar] [CrossRef]
- Mavko, G.; Nur, A. Melt squirt in the asthenosphere. J. Geophys. Res. 1975, 80, 1444–1448. [Google Scholar] [CrossRef]
- Alkhimenkov, Y.; Quintal, B. An accurate analytical model for squirt flow in anisotropic porous rocks—Part 1: Classical geometry. Geophysics 2022, 87, MR85–MR103. [Google Scholar] [CrossRef]
- Yang, Z.Q.; He, T.; Zou, C.C. A dynamic elastic model for squirt-flow effect and its application on fluid-viscosity-associated velocity dispersion in reservoir sandstones. Geophysics 2020, 85, MR201–MR212. [Google Scholar] [CrossRef]
- Cheng, W.; Ba, J.; Fu, L.Y.; Lebedev, M. Wave-velocity dispersion and rock microstructure. J. Pet. Sci. Eng. 2019, 183, 106466. [Google Scholar] [CrossRef]
- Han, X.; Wang, S.; Tang, G.; Dong, C.; He, Y.; Liu, T.; Zhao, L.; Sun, C. Coupled effects of pressure and frequency on velocities of tight sandstones saturated with fluids: Measurements and rock physics modelling. Geophys. J. Int. 2021, 226, 1308–1321. [Google Scholar] [CrossRef]
- Chen, Y.; Dong, P. Modeling Squirt Dispersion and Attenuation of Ultrasonic in Fluid-Saturated Rocks at the Core Scale. In Proceedings of the International Geomechanics Symposium, ARMA-IGS-2023-0314, Al Khobar, Saudi Arabia, 30 October–2 November 2023; Volume All Days. [Google Scholar] [CrossRef]
- de Paula, O.B.; Pervukhina, M.; Makarynska, D.; Gurevich, B. Modeling squirt dispersion and attenuation in fluid-saturated rocks using pressure dependency of dry ultrasonic velocities. Geophysics 2012, 77, WA157–WA168. [Google Scholar] [CrossRef]
- Mavko, G.; Mukerji, T.; Dvorkin, J. The Rock Physics Handbook; Cambridge University Press: Cambridge, UK, 2020. [Google Scholar] [CrossRef]
- Alkhimenkov, Y. Simulating squirt flow in realistic rock models using Graphical Processing Units (GPUs). Geophys. J. Int. 2024, 238, 272–289. [Google Scholar] [CrossRef]
- Alkhimenkov, Y.; Quintal, B. An accurate analytical model for squirt flow in anisotropic porous rocks Part 2: Complex geometry. Geophysics 2022, 87, MR291–MR302. [Google Scholar] [CrossRef]
- Räss, L.; Utkin, I.; Duretz, T.; Omlin, S.; Podladchikov, Y.Y. Assessing the robustness and scalability of the accelerated pseudo-transient method. Geosci. Model Dev. 2022, 15, 5757–5786. [Google Scholar] [CrossRef]
- Räss, L.; Licul, A.; Herman, F.; Podladchikov, Y.Y.; Suckale, J. Modelling thermomechanical ice deformation using an implicit pseudo-transient method (FastICE v1. 0) based on graphical processing units (GPUs). Geosci. Model Dev. 2020, 13, 955–976. [Google Scholar] [CrossRef]
- Räss, L.; Duretz, T.; Podladchikov, Y. Resolving hydromechanical coupling in two and three dimensions: Spontaneous channelling of porous fluids owing to decompaction weakening. Geophys. J. Int. 2019, 218, 1591–1616. [Google Scholar] [CrossRef]
- Deng, J.; Zhou, H.; Wang, H.; Zhao, J.; Wang, S. The influence of pore structure in reservoir sandstone on dispersion properties of elastic waves. Chin. J. Geophys. 2015, 58, 3389–3400. [Google Scholar] [CrossRef]
- Duan, C.; Deng, J.; Li, Y.; Lu, Y.; Tang, Z.; Wang, X. Effect of pore structure on the dispersion and attenuation of fluid-saturated tight sandstone. J. Geophys. Eng. 2018, 15, 449–460. [Google Scholar] [CrossRef]
- Todoeschuck, J.; Jensen, O.; Labonte, S. Gaussian scaling noise model of seismic reflection sequences: Evidence from well logs. Geophysics 1990, 55, 480–484. [Google Scholar] [CrossRef]
- Müller, T.M.; Shapiro, S.A. Green’s function construction for 2D and 3D elastic random media. In SEG Technical Program Expanded Abstracts 1999; Society of Exploration Geophysicists: Houston, TX, USA, 1999; pp. 1797–1800. [Google Scholar] [CrossRef]
- Roth, M.; Korn, M. Single scattering theory versus numerical modelling in 2-D random media. Geophys. J. Int. 1993, 112, 124–140. [Google Scholar] [CrossRef]
- Biswal, B.; Øren, P.E.; Held, R.; Bakke, S.; Hilfer, R. Stochastic multiscale model for carbonate rocks. Phys. Rev. E 2007, 75, 061303. [Google Scholar] [CrossRef] [PubMed]
- Talukdar, M.; Torsaeter, O.; Ioannidis, M.; Howard, J. Stochastic reconstruction, 3D characterization and network modeling of chalk. J. Pet. Sci. Eng. 2002, 35, 1–21. [Google Scholar] [CrossRef]
- Tahmasebi, P.; Hezarkhani, A.; Sahimi, M. Multiple-point geostatistical modeling based on the cross-correlation functions. Comput. Geosci. 2012, 16, 779–797. [Google Scholar] [CrossRef]
- Khalili, A.D.; Arns, J.Y.; Hussain, F.; Cinar, Y.; Pinczewski, W.V.; Arns, C.H. Permeability Upscaling for Carbonates From the Pore Scale by Use of Multiscale X-Ray-CT Images. SPE Reserv. Eval. Eng. 2013, 16, 353–368. [Google Scholar] [CrossRef]
- Gerke, K.M.; Karsanina, M.V.; Mallants, D. Universal stochastic multiscale image fusion: An example application for shale rock. Sci. Rep. 2015, 5, 15880. [Google Scholar] [CrossRef]
- Ji, L.; Lin, M.; Cao, G.; Jiang, W. A core-scale reconstructing method for shale. Sci. Rep. 2019, 9, 4364. [Google Scholar] [CrossRef]
- David, E.C.; Zimmerman, R.W. Pore structure model for elastic wave velocities in fluid-saturated sandstones. J. Geophys. Res. Solid Earth 2012, 117. [Google Scholar] [CrossRef]
- Gurevich, B.; Makarynska, D.; de Paula, O.B.; Pervukhina, M. A simple model for squirt-flow dispersion and attenuation in fluid-saturated granular rocks. Geophysics 2010, 75, N109–N120. [Google Scholar] [CrossRef]
- David, E.; Zimmerman, R.W. Elastic moduli of solids containing spheroidal pores. Int. J. Eng. Sci. 2011, 49, 544–560. [Google Scholar] [CrossRef]
- Zimmerman, R.W. Compressibility of Sandstones; Elsevier: Amsterdam, The Netherlands, 1990. [Google Scholar]
- Shapiro, S.A. Elastic piezosensitivity of porous and fractured rocks. Geophysics 2003, 68, 482–486. [Google Scholar] [CrossRef]
- Ouyang, F.; Zhao, J.; Li, Z.; Xiao, Z.; He, Y.; Deng, J.; Zhao, H.; Ren, J. Inversion of pore aspect ration distribution based on effective medium theorie. Chin. J. Geophys. 2021, 64, 1016–1033. [Google Scholar] [CrossRef]
- Gassmann, F. Uber die elastizitat poroser medien. Vierteljahrsschr. Naturforschenden Ges. Zur. 1951, 96, 1–23. [Google Scholar]
- Birch, F. The velocity of compressional waves in rocks to 10 kilobars, part 2. Elastic Prop. Equ. State 1988, 26, 91–116. [Google Scholar] [CrossRef]
- Ikelle, L.T.; Yung, S.K.; Daube, F. 2-D random media with ellipsoidal autocorrelation functions. Geophysics 1993, 58, 1359–1372. [Google Scholar] [CrossRef]
- Wu, H.; Fu, L.; Lan, X. Analysis of reservoir heterogeneity based on random media models. Prog. Geophys. 2008, 23, 793–799. [Google Scholar]
- Birch, F. The velocity of compressional waves in rocks to 10 kilobars: 1. J. Geophys. Res. 1960, 65, 1083–1102. [Google Scholar] [CrossRef]
- Toksöz, M.; Johnston, D.H.; Timur, A. Attenuation of seismic waves in dry and saturated rocks: I. Laboratory measurements. Geophysics 1979, 44, 681–690. [Google Scholar] [CrossRef]
- Best, A.; McCann, C.; Sothcott, J. The relationships between the velocities, attenuations and petrophysical properties of reservoir sedimentary rocks 1. Geophys. Prospect. 1994, 42, 151–178. [Google Scholar] [CrossRef]
- Winkler, K.W.; Nur, A. Seismic attenuation: Effects of pore fluids and frictional-sliding. Geophysics 1982, 47, 1–15. [Google Scholar] [CrossRef]
- King, M.S.; Marsden, J.R. Velocity dispersion between ultrasonic and seismic frequencies in brine-saturated reservoir sandstones. Geophysics 2002, 67, 254–258. [Google Scholar] [CrossRef]
- Krishnamurthi, M.; Balakrishna, S. Attenuation of sound in rocks. Geophysics 1957, 22, 268–274. [Google Scholar] [CrossRef]
- Reddy, J.N. An Introduction to Continuum Mechanics; Cambridge University Press: Cambridge, UK, 2013. [Google Scholar] [CrossRef]
- Schenk, O.; Gärtner, K. Solving unsymmetric sparse systems of linear equations with PARDISO. Future Gener. Comput. Syst. 2004, 20, 475–487. [Google Scholar] [CrossRef]
- Long, T. Rock Physics Modeling and Broad-Band Experimental Measurement of Carbonates. Ph.D. Thesis, China University of Petroleum-Beijing, Beijing, China, 2019. [Google Scholar] [CrossRef]
- Choquette, P.W.; Pray, L.C. Geologic nomenclature and classification of porosity in sedimentary carbonates. AAPG Bull. 1970, 54, 207–250. [Google Scholar] [CrossRef]
- Han, D. Velocity in carbonate rocks. In Annual Report, Rock Physics and Fluid Consortium; 2004. [Google Scholar]
- Eberli, G.P.; Baechle, G.T.; Anselmetti, F.S.; Incze, M.L. Factors controlling elastic properties in carbonate sediments and rocks. Lead. Edge 2003, 22, 654–660. [Google Scholar] [CrossRef]
- Xi, X.; Yao, Y. Simulations of Random Medium Model and Intermixed Random Medium. Earth Sci. 2002, 27, 67–71. [Google Scholar]
- Rao, Y.; Fu, L.; Wu, Y.; Boateng, C.D. Heterogeneous characteristic analysis of shale based on multi-component and multi-scale rendom media method. Chin. J. Geophys. 2020, 63, 2800–2809. (In Chinese) [Google Scholar] [CrossRef]















| Number | No. 24 | No. 25 | No. 26 | No. 30 | No. 132 |
|---|---|---|---|---|---|
| Lithology | limestone | limestone | limestone | limestone | dolomite |
| Dry density (g/m3) | 2.53 | 2.535 | 2.539 | 2.674 | 2.75 |
| Porosity (%) | 12.298 | 5.904 | 4.092 | 4.391 | 2.671 |
| Permeability (mD) | 3.293 | 8.518 | 0.176 | 1.641 | 0.0029 |
| Grain bulk modulus (GPa) | 75.47 | 76.61 | 76.8 | 76.8 | 87.83 |
| Grain shear modulus (GPa) | 32.22 | 32.03 | 32 | 32 | 44.92 |
Disclaimer/Publisher’s Note: The statements, opinions and data contained in all publications are solely those of the individual author(s) and contributor(s) and not of MDPI and/or the editor(s). MDPI and/or the editor(s) disclaim responsibility for any injury to people or property resulting from any ideas, methods, instructions or products referred to in the content. |
© 2024 by the authors. Licensee MDPI, Basel, Switzerland. This article is an open access article distributed under the terms and conditions of the Creative Commons Attribution (CC BY) license (https://creativecommons.org/licenses/by/4.0/).
Share and Cite
Chen, Y.; Dong, P. Modeling of Characteristics of Complex Microstructure and Heterogeneity at the Core Scale. Appl. Sci. 2024, 14, 11385. https://doi.org/10.3390/app142311385
Chen Y, Dong P. Modeling of Characteristics of Complex Microstructure and Heterogeneity at the Core Scale. Applied Sciences. 2024; 14(23):11385. https://doi.org/10.3390/app142311385
Chicago/Turabian StyleChen, Yiwei, and Pingchuan Dong. 2024. "Modeling of Characteristics of Complex Microstructure and Heterogeneity at the Core Scale" Applied Sciences 14, no. 23: 11385. https://doi.org/10.3390/app142311385
APA StyleChen, Y., & Dong, P. (2024). Modeling of Characteristics of Complex Microstructure and Heterogeneity at the Core Scale. Applied Sciences, 14(23), 11385. https://doi.org/10.3390/app142311385

