Power-Assisted Scissors Reduce Adductor Pollicis Muscle Fatigue: A Comparative Study in Female College Students
Abstract
1. Introduction
2. Materials and Methods
2.1. Study Design
2.2. Participants and Recruitment
2.3. Research Ethics
2.4. Experimental Setup
2.5. Measurement Procedures
2.6. Power-Support Mechanism
2.7. Electrode Placement
2.8. EMG Data Processing
2.9. Statistical Analyses
2.10. Handling Missing Data
3. Results
3.1. Enrollment and Student Characteristics
3.2. Difference Due to Assistance of Power Support Scissors
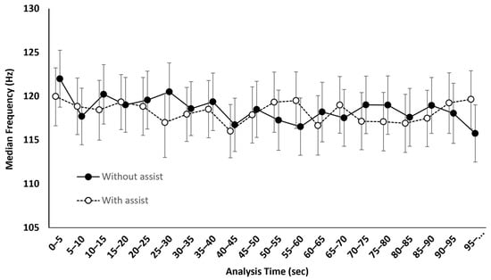
3.3. Differences in Muscle Activity Support with Power-Assisted Scissors
4. Discussion
5. Conclusions
Author Contributions
Funding
Institutional Review Board Statement
Informed Consent Statement
Data Availability Statement
Acknowledgments
Conflicts of Interest
Appendix A




References
- Mishra, S.; Sarkar, K. Work-related musculoskeletal disorders and associated risk factors among urban metropolitan hairdressers in India. J. Occup. Health 2021, 63, e12200. [Google Scholar] [CrossRef] [PubMed]
- Kaur Saini, R.; Khatavkar, M.; Pandey, N. Prevalence of musculoskeletal disorders among hair dressers in urban setup. Int. J. Sci. Healthc. Res. 2022, 7, 365–371. [Google Scholar] [CrossRef]
- Merbah, J.; Caré, B.R.; Gorce, P.; Gadea, F.; Prince, F. A new approach to quantifying muscular fatigue using wearable EMG sensors during surgery: An ergonomic case study. Sensors 2023, 23, 1686. [Google Scholar] [CrossRef] [PubMed]
- Suni, J.H.; Kolu, P.; Tokola, K.; Raitanen, J.; Rinne, M.; Taulaniemi, A.; Parkkari, J.; Kankaanpää, M. Effectiveness and cost-effectiveness of neuromuscular exercise and back care counseling in female healthcare workers with recurrent non-specific low back pain: A blinded four-arm randomized controlled trial. BMC Public Health 2018, 18, 1376. [Google Scholar] [CrossRef] [PubMed]
- Sackett, D.L.; Rosenberg, W.M.; Gray, J.A.; Haynes, R.B.; Richardson, W.S. Evidence based medicine: What it is and what it isn’t. BMJ 1996, 312, 71–72. [Google Scholar] [CrossRef] [PubMed]
- Durand, M.J.; Nastasia, I.; Coutu, M.F.; Bernier, M. Practices of return-to-work Coordinators Working in Large Organizations. J. Occup. Rehabil. 2017, 27, 137–147. [Google Scholar] [CrossRef]
- Brämberg, E.B.; Nyman, T.; Kwak, L.; Alipour, A.; Bergström, G.; Elinder, L.S.; Hermansson, U.; Jensen, I. Development of evidence-based practice in occupational health services in Sweden: A 3-year follow-up of attitudes, barriers and facilitators. Int. Arch. Occup. Environ. Health 2017, 90, 335–348. [Google Scholar] [CrossRef]
- Segning, C.M.; Ezzaidi, H.; da Silva, R.A.; Ngomo, S. A neurophysiological pattern as a precursor of work-related musculoskeletal disorders using EEG combined with EMG. Int. J. Environ. Res. Public Health 2021, 18, 2001. [Google Scholar] [CrossRef]
- Ercan, S.; İnce Parpucu, T.; Başkurt, Z.; Başkurt, F. Gender differences, ergonomics risks and upper quadrant musculoskeletal pain in hairdressers. Int. J. Occup. Saf. Ergon. 2023, 29, 685–689. [Google Scholar] [CrossRef]
- Koizumi, K.; Sasao, K.; Koike, Y.; Okino, A.; Takeda, K.; Hamaguchi, T. Usefulness of scissors with a power-support mechanism to assist thumb movement: An observational study. Appl. Sci. 2021, 11, 7756. [Google Scholar] [CrossRef]
- Lameu, E.B.; Gerude, M.F.; Corrêa, R.C.; Lima, K.A. Adductor pollicis muscle: A new anthropometric parameter. Rev. Hosp. Clin. Fac. Med. Sao Paulo 2004, 59, 57–62. [Google Scholar] [CrossRef]
- Beretta-Piccoli, M.; Cescon, C.; D’Antona, G. Evaluation of performance fatigability through surface EMG in health and muscle disease: State of the art. Arab. J. Basic Appl. Sci. 2021, 28, 21–40. [Google Scholar] [CrossRef]
- Yin, P.; Yang, L.; Wang, C.; Qu, S. Effects of wearable power assist device on low back fatigue during repetitive lifting tasks. Clin. Biomech. 2019, 70, 59–65. [Google Scholar] [CrossRef] [PubMed]
- Poyil, A.T.; Steuber, V.; Amirabdollahian, F. Influence of muscle fatigue on electromyogram-kinematic correlation during robot-assisted upper limb training. J. Rehabil. Assist. Technol. Eng. 2020, 7, 2055668320903014. [Google Scholar] [CrossRef] [PubMed]
- Chai, G.; Wang, Y.; Wu, J.; Yang, H.; Tang, Z.; Zhang, L. Study on the recognition of exercise intensity and fatigue on runners based on subjective and objective information. Healthcare 2019, 7, 150. [Google Scholar] [CrossRef]
- Yousif, H.A.; Norasmadi, A.R.; Bin Salleh, A.F.; Ammar, Z.; Alfarhan, K.A. Assessment of muscles fatigue during 400-meters running strategies based on the surface EMG signals. JBBBE 2019, 42, 1–13. [Google Scholar] [CrossRef]
- Jarque-Bou, N.J.; Sancho-Bru, J.L.; Vergara, M. A systematic review of EMG applications for the characterization of forearm and hand muscle activity during activities of daily living: Results, challenges, and open issues. Sensors 2021, 21, 3035. [Google Scholar] [CrossRef]
- Chandra, S.; Hayashibe, M.; Thondiyath, A. Muscle fatigue induced hand tremor clustering in dynamic laparoscopic manipulation. IEEE Trans. Syst. Man Cybern Syst. 2020, 50, 5420–5431. [Google Scholar] [CrossRef]
- Hou, X.; Wang, X.; Griffin, L.; Liao, F.; Peters, J.; Jan, Y.K. Immediate and delayed effects of cupping therapy on reducing neuromuscular fatigue. Front. Bioeng. Biotechnol. 2021, 9, 678153. [Google Scholar] [CrossRef]
- Park, S.Y.; Park, C.H. Diagnosis of muscle fatigue using surface electromyography and analysis of associated factors in Type 2 diabetic patients with neuropathy: A preliminary study. Int. J. Environ. Res. Public Health 2021, 18, 9635. [Google Scholar] [CrossRef]
- Petit, A.; Ha, C.; Bodin, J.; Rigouin, P.; Descatha, A.; Brunet, R.; Goldberg, M.; Roquelaure, Y.Y.Y. Risk factors for carpal tunnel syndrome related to the work organization: A prospective surveillance study in a large working population. Appl. Ergon. 2015, 47, 1–10. [Google Scholar] [CrossRef] [PubMed]
- Bishop, D.V.; Ross, V.A.; Daniels, M.S.; Bright, P. The measurement of hand preference: A validation study comparing three groups of right-handers. Br. J. Psychol. 1996, 87, 269–285. [Google Scholar] [CrossRef] [PubMed]
- Imaeda, T.; Uchiyama, S.; Toh, S.; Wada, T.; Okinaga, S.; Sawaizumi, T.; Nishida, J.; Kusunose, K.; Omokawa, S.; Clinical Outcomes Committee of the Japanese Orthopaedic Association; et al. Validation of the Japanese Society for Surgery of the Hand version of the carpal tunnel syndrome Instrument. J. Orthop. Sci. 2007, 12, 14–21. [Google Scholar] [CrossRef] [PubMed]
- Lin, Y.T.; Kuo, C.H.; Hwang, I.S. Fatigue effect on low-frequency force fluctuations and muscular oscillations during rhythmic isometric contraction. PLoS ONE 2014, 9, e85578. [Google Scholar] [CrossRef]
- Wahlström, J.; Mathiassen, S.E.; Liv, P.; Hedlund, P.; Ahlgren, C.; Forsman, M. Upper arm postures and movements in female hairdressers across four full working days. Ann. Occup. Hyg. 2010, 54, 584–594. [Google Scholar] [CrossRef]
- Luchetti, R.; Schoenhuber, R.; Nathan, P. Correlation of segmental carpal tunnel pressures with changes in hand and wrist positions in patients with carpal tunnel syndrome and controls. J. Hand Surg. Br. 1998, 23, 598–602. [Google Scholar] [CrossRef]
- Yamanaka, S.; Miyashita, H. Paper-cutting operations using scissors in Drury’s law tasks. Appl. Ergon. 2018, 69, 32–39. [Google Scholar] [CrossRef]
- Barron, S.M.; Diaz, T.O.; Pozzi, F.; Vasilopoulos, T.; Nichols, J.A. Linear relationship between electromyography and shear wave elastography measurements persists in deep muscles of the upper extremity. J. Electromyogr. Kinesiol. 2022, 63, 102645. [Google Scholar] [CrossRef]
- Bendat, J.S.; Piersol, A.G. Random Data: Analysis and Measurement Procedures; John Wiley & Sons: Hoboken, NJ, USA, 2011. [Google Scholar] [CrossRef]
- Siddiqi, A.; Arjunan, S.P.; Kumar, D.K. Age-associated changes in the spectral and statistical parameters of surface electromyogram of tibialis anterior. BioMed Res. Int. 2016, 2016, 7159701. [Google Scholar] [CrossRef]
- Bland, J.M.; Altman, D.G. Statistical methods for assessing agreement between two methods of clinical measurement. Lancet 1986, 1, 307–310. [Google Scholar] [CrossRef]
- Wang, Z.; Wan, H.; Meng, L.; Zeng, Z.; Akay, M.; Chen, C.; Chen, W. Optimization of inter-subject sEMG-based hand gesture recognition tasks using unsupervised domain adaptation techniques. Biomed. Signal Process Control 2024, 92, 106086. [Google Scholar] [CrossRef]
- Bigland-Ritchie, B.; Jones, D.A.; Hosking, G.P.; Edwards, R.H. Central and peripheral fatigue in sustained maximum voluntary contractions of human quadriceps muscle. Clin. Sci. Mol. Med. 1978, 54, 609–614. [Google Scholar] [CrossRef] [PubMed]
- Gandevia, S.C. Spinal and supraspinal factors in human muscle fatigue. Physiol. Rev. 2001, 81, 1725–1789. [Google Scholar] [CrossRef] [PubMed]
- Fletcher, W.M.; Hopkins, F.G. Lactic acid in amphibian muscle. J. Physiol. 1907, 35, 247–309. [Google Scholar] [CrossRef] [PubMed]
- Liu, S.H.; Chang, K.M.; Cheng, D.C. The progression of muscle fatigue during exercise estimation with the aid of high-frequency component parameters derived from ensemble empirical mode decomposition. IEEE J. Biomed. Health Inform. 2014, 18, 1647–1658. [Google Scholar] [CrossRef]
- Yun, I.; Jeung, J.; Song, Y.; Chung, Y. Non-invasive quantitative muscle fatigue estimation based on correlation between sEMG signal and muscle Mass. IEEE Access 2020, 8, 191751–191757. [Google Scholar] [CrossRef]
- Wang, J.; Pang, M.; Yu, P.; Tang, B.; Xiang, K.; Ju, Z. Effect of muscle fatigue on surface electromyography-based hand grasp force estimation. Appl. Bionics Biomech. 2021, 2021, 8817480. [Google Scholar] [CrossRef]
- Mateo, S.; Revol, P.; Fourtassi, M.; Rossetti, Y.; Collet, C.; Rode, G. Kinematic characteristics of tenodesis grasp in C6 quadriplegia. Spinal Cord. 2013, 51, 144–149. [Google Scholar] [CrossRef]
- Johnston, J.A.; Bobich, L.R.; Santello, M. Coordination of intrinsic and extrinsic hand muscle activity as a function of wrist joint angle during two-digit grasping. Neurosci. Lett. 2010, 474, 104–108. [Google Scholar] [CrossRef]
- Ambike, S.S.; Paclet, F.; Latash, M.L.; Zatsiorsky, V.M. Grip-force modulation in multi-finger prehension during wrist flexion and extension. Exp. Brain Res. 2013, 227, 509–522. [Google Scholar] [CrossRef]
- An, K.N.; Hui, F.C.; Morrey, B.F.; Linscheid, R.L.; Chao, E.Y. Muscles across the elbow joint: A biomechanical analysis. J. Biomech. 1981, 14, 659–669. [Google Scholar] [CrossRef] [PubMed]
- Beringer, C.R., 3rd; Mansouri, M.; Fisher, L.E.; Collinger, J.L.; Munin, M.C.; Boninger, M.L.; Gaunt, R.A. The effect of wrist posture on extrinsic finger muscle activity during single joint movements. Sci. Rep. 2020, 10, 8377. [Google Scholar] [CrossRef] [PubMed]
- Axelson, H.W.; Hagbarth, K.E. Human motor control consequences of thixotropic changes in muscular short-range stiffness. J. Physiol. 2001, 535, 279–288. [Google Scholar] [CrossRef] [PubMed]
- Kim, S.; Lee, J.Y.; Yi, B.-J. Evaluation of ergonomic design based on dynamic model of scissor. IEEE Access 2023, 11, 89958–89964. [Google Scholar] [CrossRef]
- Mogk, J.P.; Keir, P.J. The effects of posture on forearm muscle loading during gripping. Ergonomics 2003, 46, 956–975. [Google Scholar] [CrossRef]
- Roman-Liu, D.; Bartuzi, P. The influence of wrist posture on the time and frequency EMG signal measures of forearm muscles. Gait Posture 2013, 37, 340–344. [Google Scholar] [CrossRef]
- Punnett, L.; Wegman, D.H. Work-related musculoskeletal disorders: The epidemiologic evidence and the debate. J. Electromyogr. Kinesiol. 2004, 14, 13–23. [Google Scholar] [CrossRef]
- Van Eerd, D.; Irvin, E.; Le Pouésard, M.; Butt, A.; Nasir, K. Workplace musculoskeletal disorder prevention practices and experiences. Inquiry 2022, 59, 469580221092132. [Google Scholar] [CrossRef]
- Kozak, A.; Wirth, T.; Verhamme, M.; Nienhaus, A. Musculoskeletal health, work-related risk factors and preventive measures in hairdressing: A scoping review. J. Occup. Med. Toxicol. 2019, 14, 24. [Google Scholar] [CrossRef]
- Acar, G.A.; Acımıs, N.M. Neck and upper extremity musculoskeletal problems in cosmetologists caused by work-related ergonomic risk factors in Denizli, Turkey. Work 2023, 75, 953–964. [Google Scholar] [CrossRef]
- Albanesi, B.; Piredda, M.; Bravi, M.; Bressi, F.; Gualandi, R.; Marchetti, A.; Facchinetti, G.; Ianni, A.; Cordella, F.; Zollo, L.; et al. Interventions to prevent and reduce work-related musculoskeletal injuries and pain among healthcare professionals. A comprehensive systematic review of the literature. J. Saf. Res. 2022, 82, 124–143. [Google Scholar] [CrossRef] [PubMed]
- Lee, S.J.; Lee, J.H.; Harrison, R. Impact of California’s safe patient handling legislation on musculoskeletal injury prevention among nurses. Am. J. Ind. Med. 2019, 62, 50–58. [Google Scholar] [CrossRef] [PubMed]
- da Costa, B.R.; Vieira, E.R. Risk factors for work-related musculoskeletal disorders: A systematic review of recent longitudinal studies. Am. J. Ind. Med. 2010, 53, 285–323. [Google Scholar] [CrossRef] [PubMed]




| Survey Items | Classifications | Participant Ratio | p-Value a | |
|---|---|---|---|---|
| n | % | |||
| Height (cm) | 149≤ | 1 | 4 | p = 0.002 |
| 150 ≤ 159 | 16 | 70 | ||
| 160 ≤ 169 | 6 | 26 | ||
| Weight (kg) | 49≤ | 9 | 39 | p = 0.042 |
| 50 ≤ 59 | 14 | 61 | ||
| EHI score | 80 ≤ 89 | 11 | 48 | p = 0.001 |
| 90 ≤ 100 | 12 | 52 | ||
| CTSI-JSSH score | 0≤ | 23 | 100 | |
| Body mass index (kg/m2) | Mean | SD | ||
| 20.55 | 1.63 | |||
Disclaimer/Publisher’s Note: The statements, opinions and data contained in all publications are solely those of the individual author(s) and contributor(s) and not of MDPI and/or the editor(s). MDPI and/or the editor(s) disclaim responsibility for any injury to people or property resulting from any ideas, methods, instructions or products referred to in the content. |
© 2024 by the authors. Licensee MDPI, Basel, Switzerland. This article is an open access article distributed under the terms and conditions of the Creative Commons Attribution (CC BY) license (https://creativecommons.org/licenses/by/4.0/).
Share and Cite
Koizumi, K.; Sasao, K.; Senju, Y.; Hamaguchi, T. Power-Assisted Scissors Reduce Adductor Pollicis Muscle Fatigue: A Comparative Study in Female College Students. Appl. Sci. 2024, 14, 11375. https://doi.org/10.3390/app142311375
Koizumi K, Sasao K, Senju Y, Hamaguchi T. Power-Assisted Scissors Reduce Adductor Pollicis Muscle Fatigue: A Comparative Study in Female College Students. Applied Sciences. 2024; 14(23):11375. https://doi.org/10.3390/app142311375
Chicago/Turabian StyleKoizumi, Kohei, Kumiko Sasao, Yoshihiro Senju, and Toyohiro Hamaguchi. 2024. "Power-Assisted Scissors Reduce Adductor Pollicis Muscle Fatigue: A Comparative Study in Female College Students" Applied Sciences 14, no. 23: 11375. https://doi.org/10.3390/app142311375
APA StyleKoizumi, K., Sasao, K., Senju, Y., & Hamaguchi, T. (2024). Power-Assisted Scissors Reduce Adductor Pollicis Muscle Fatigue: A Comparative Study in Female College Students. Applied Sciences, 14(23), 11375. https://doi.org/10.3390/app142311375

