Next Article in Journal
Comparing Average and Peak Physical Demands and Well-Being Status During Basketball Back-to-Back Games
Previous Article in Journal
Effectiveness and Mechanisms of CdS/Porous g-C3N4 Heterostructures for Adsorption and Photocatalytic Degradation of Tetracycline Hydrochloride Wastewater in Visible Light
 
 
Font Type:
Arial Georgia Verdana
Font Size:
Aa Aa Aa
Line Spacing:
Column Width:
Background:
Article

A Practical Approach to Modeling and Performance Analysis of a Turboshaft Engine Using Matlab

by
Robert Jakubowski
1,* and
Piotr Jakliński
2
1
Faculty of Mechanical Engineering and Aeronautics, Rzeszow University of Technology, Ave. Powstanców Warszawy 12, 35-959 Rzeszów, Poland
2
Department of Thermodynamics, Fluid Mechanics and Aviation Propulsion, Mechanical Faculty, Lublin University of Technology, Nadbystrzycka 36, 20-618 Lublin, Poland
*
Author to whom correspondence should be addressed.
Appl. Sci. 2024, 14(23), 11373; https://doi.org/10.3390/app142311373
Submission received: 7 November 2024 / Revised: 25 November 2024 / Accepted: 26 November 2024 / Published: 6 December 2024
(This article belongs to the Section Aerospace Science and Engineering)

Abstract

Featured Application

The developed turbine engine model forms part of ongoing work on a hybrid power system for heavy-duty vehicles, including armored vehicles and tanks. In this context, the turbine will serve as a power source for electricity generation or as a supplementary component to support electric motors in generating propulsion power.

Abstract

This article presents a detailed approach to constructing a numerical model of a free power turbine engine specifically designed for performance analysis in the Matlab R2024b environment. The core innovation of this model lies in its integration of precise engine geometry parameters, calculated at the design point, and performance characteristics of key components such as the compressor and power turbine. These components are modeled to reflect significant variations in their performance based on changing operational conditions, including rotor speed and environmental factors. To validate the model’s assumptions, data from the PZL-3W engine were used. The model was created by meticulously incorporating the engine’s specific design characteristics, allowing for an in-depth examination of how performance characteristics shift with adjustments to high-pressure rotor settings or changes in ambient conditions. The resulting calculations demonstrated a high level of agreement between the model’s output and empirical data available for the PZL-3W engine, as well as with data found in the relevant scientific literature. This alignment underscores the model’s robustness and reliability in simulating engine performance across a range of operating scenarios, making it a valuable tool for further engineering analyses and optimization of free power turbine engines and their possible application.

1. Introduction

Turboshaft engines, also known as gas turbines, have a wide range of applications in engineering, from aviation—where they are used to power turboprop airplanes and helicopters—to powering heavy vehicles, locomotives, tanks, and ships, as well as in the energy sector for electricity generation [1]. Their wide application drives broad research efforts in this field, encompassing both practical experimentation [2,3,4,5] and numerical studies [6,7,8]. However, numerical studies are typically supported by experimental research, as is the case in the study by [9].
Aircraft engine modeling involves adopting an appropriate, simplified representation that best reflects the features intended for numerical testing. It is a balancing act between model accuracy and complexity, preparation time, computational cost, accepted calculation error, and other important factors [10]. Classical models for design-point calculations of a turboshaft engine can be found in several studies [6,7,11]. These models are used to assess improvements in engine performance through modifications of cycle operating parameters [11,12] or enhancements in its component’s efficiency [6,7]. A similar approach, but with consideration of changes in the gas flow parameters within the engine, is presented in [8] for modeling engine performance with various fuels, including hydrogen.
More complex models for off-design performance calculations use correlations based on the interactions between engine components and parameters adjusted to reference conditions or the design point. This approach is presented in studies by [7,9], where, based on design-point data, engine performance under different operating conditions can be recalculated relatively quickly. Advanced models for performance determination additionally incorporate the characteristics of engine components, most often limiting themselves to the compressor performance map only [11,13] or to both the compressor and turbine maps [14,15].
Highly advanced numerical models of aircraft engines use fully 3D models in their calculations. The study by [16] includes a report on recent research conducted with 3D models. The scientists of Numeca conducted steady-state and unsteady-state three-dimensional numerical simulations of the micro turbojet engine KJ66 [17,18]. The model was more complex and needed time for preparation and calculation. The total number of grids was approximately 19.2 million, of which the computational domain includes one blade passage for every turbomachinery blade row, a 60° sector for the combustion chamber, and a half exhaust hood. The steady calculation of the whole engine used 288 cores and took about 52 h to reach the convergence state.
To reduce costs and time consumption, simplified models are often employed, taking into account 2D flow [19,20], or models where some components are modeled with greater precision using CFD while others are simplified, like in the multi-fidelity approach presented in [21,22]. The implementation of these methods provides a more accurate and comprehensive analysis method for whole-engine simulation and is expected to have a positive impact on aero-engine design and performance evaluation with lower calculation costs than in a fully 3D approach, but it still needs a lot of effort and time to model preparation and to run it.
The analysis of engine models for performance applications [11,12,14,15] shows that 1D models incorporating the characteristics of engine components—primarily compressors and turbines—continue to dominate. This is because they are the simplest to prepare and execute, while the accuracy of the obtained calculations remains at an acceptable level. A typical approach to model preparation involves creating it in the form of blocks that reflect the functional components of the engine, as seen in the GSP11 program applied in the studies by [23,24] or in the approach presented in [25]. This method allows for the preparation, verification, and testing of individual blocks/components, making it easy to identify and eliminate any errors. Subsequently, the entire engine model can be easily assembled, much like building with blocks, enabling the creation of not only models of existing designs but also hypothetical solutions, as illustrated in the study by [26].
This study will present a model of a turboshaft engine with a free power turbine, utilizing functional block models of engine assemblies and incorporating the necessary performance maps to achieve the most accurate representation of the engine’s performance.

2. Modeling the Performance of a Turboshaft Engine with a Free Power Turbine

Figure 1 presents a schematic of the PZL-10W turboshaft engine with a free power turbine. This engine was chosen because it is of Polish construction and a lot of information about this engine's performance is available. Figure 1 highlights the control cross-sections of the engine and its main components. The engine structure incorporates the following elements: an intake, a compressor, a diffuser connecting the compressor to the combustion chamber, a combustion chamber, a high-pressure turbine (HPT), a free power turbine (FPT), and an exhaust diffuser.
The engine data available on the manufacturer’s website [28] and in publications prepared by the company staff [6,7] are compiled in Table 1.
The classical approach to modeling the performance of aircraft engines [1,15] requires calculations at the Design Point (DP), where the basic operational parameters of the engine and its characteristic dimensions are determined—particularly the minimum cross-section of the high-pressure turbine. Operational engine characteristics are calculated during OFF-DESIGN computation. To do this, an engine components performance map is needed as well as the results of the ON-DESIGN calculation. While some engine operating parameters at the Design Point (DP) are published by the producer, such as engine power, rotor speed, compressor pressure ratio, air mass flow, etc., component performance characteristics are not available, as they constitute company trade secrets. This presents a challenge in accurate modeling of engine performance, which can be addressed by adapting component characteristics from the literature or the internet for a specific component type (e.g., fan, axial compressor, radial compressor, high- or low-pressure turbine) and rescaling these maps to match the parameters of the engine being modeled.
This study proposes the following approach for developing the computational model of the engine:
  • Design Point calculations based on On-design analysis, determining key operating parameters of the engine, including the minimum cross-section of the high-pressure turbine and the expansion across the turbine.
  • Implementation of the compressor map in the Off-Design model to establish the turbine-compressor working line, using information on turbine expansion and the minimum turbine cross-sectional area, followed by representation in corrected parameters.
  • Implementation of the free power turbine map and its integration into engine performance calculations, including output shaft power.

2.1. On Design Model of Turboshaft Engine

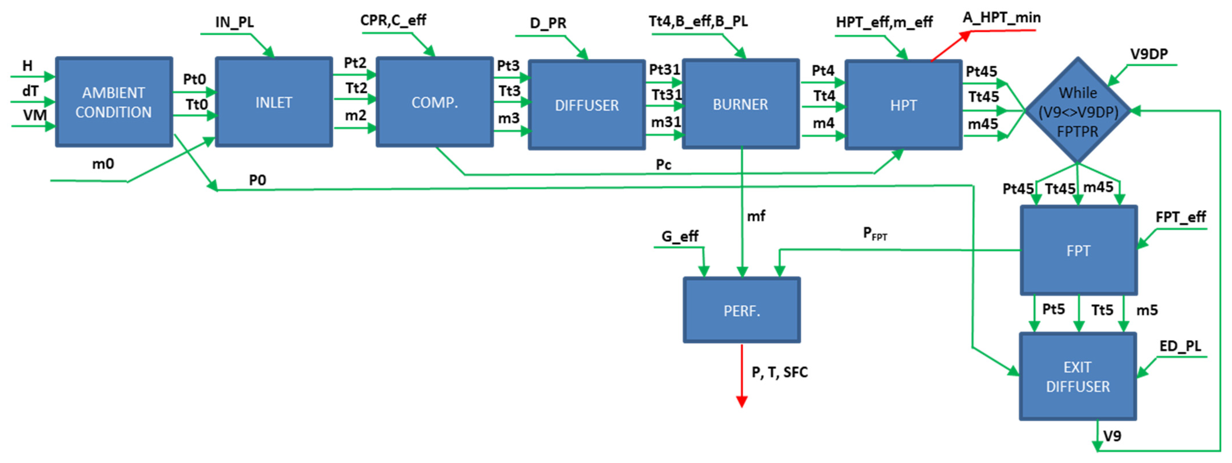
The engine calculation model for the Design Point (DP) is developed in the MATLAB 2024b environment based on functional blocks representing individual engine modules. The block diagram of the engine is presented in Figure 2 and its structure is consistent with the engine structure presented in Figure 1. In each engine block, the mainline averaged parameters of total temperature (Tt), total pressure (Pt), and mass flow rate (m) of the gas stream are calculated. Additionally, power is determined for the compressor and turbines, while fuel consumption is calculated for the burner. Calculations within the blocks are performed in accordance with the computational standards for these elements, as presented in studies by [25,26]. For this reason, additionally required parameters are the efficiencies (eff) and pressure loss coefficients (PL) of the individual components at the Design Point. The HP shaft is balanced to satisfy the compressor and high-pressure turbine power balance equation, while the burner is balanced to meet the energy balance equation. The determination of the operating parameters of the free power turbine (FPT) is done iteratively by adjusting the expansion ratio across the turbine (free power turbine pressure ratio FPTPR) until the desired gas velocity at the diffuser outlet is achieved, while simultaneously ensuring that the static pressure at the diffuser outlet matches the ambient pressure.
An additional parameter determined is the minimum cross-section area of the high-pressure turbine (A_HPT_min), which is calculated based on the critical flow condition in the HPT first stage guide vane. It is assumed that the total parameters of the gas flow in this section are equal to those at the turbine inlet (parameters in section 4).
Supporting calculation blocks included a block simulating ambient conditions according to the ISA standard and a performance calculation block, where the following parameters are computed:
Output shaft power:
P = G e f f   P F T P   =   G e f f m 45   c p T t 45 T t 5 ,
Output torque:
T = P ω ,
Specific fuel consumption SFC
S F C = m f P ,
where: P , P F T P [ W ] —output shaft power and power of the free power turbine, m 45   [ k g s ] —gas mass flow rate in section 45, c p [ J k g K ] —gas specific heat values at constant pressure, T t 45 , T t 5 [ K ] —total temperature in section 45 and 5, T [ N m ] —torque, ω [ 1 s ] —angular velocity of output shaft, S F C [ k g W s ] —specific fuel consumption, m f [ k g s ] —fuel mass flow, and G e f f [ ] —gear efficiency.
All calculations are performed considering irreversible processes and the semi-perfect gas model, with parameters determined according to the relations presented in [29] for pure air and hydrocarbon fumes. The presented model has been verified and applied in calculations conducted in [8,25,30]. For the average specific heat of the combustion process in the burner, the model described in [7] was used. The fuel used in the calculations is represented by its chemical formula C12.5H23.5, and its calorific value amounted to 43 MJ/kg. The computed average specific heat values for air in the compressor, the combustion process in the burner and fumes in the high-pressure turbine, and the free turbine, based on these models, are summarized in Table 2 for DP calculations. Based on the model presented in [29], the isentropic exponent is also calculated and added to Table 2. In off-design calculations, these values are assumed to remain constant, considering that their variation within the analyzed engine operating range would not be significant.
For clarity of the adopted designations, the table describing the control cross-sections of the engine is included in Appendix A, while the list of engine parameter symbols is provided in Appendix B.

2.2. Off Design Model of Turboshaft Engine

It is assumed that the model will be applicable for calculations relevant to the steady-state calculation of the turboshaft engine at higher rotational speeds of the high-pressure shaft HPS. According to [15], under these conditions, critical flow can be assumed in the minimum cross-section of the turbine, and the expansion ratio across the HPT, as well as its efficiency, remain practically constant. Additionally, it is assumed that the process indices in engine components, apart from the compressor and the power turbine, remain constant. However, if reliable characteristics of these parameter variations are available, they can be implemented into the model. In practice, this means that the compressor map and the power turbine map are additional required.
To prepare a numerical representation of the turbine and compressor maps, an approach using an additional variable, the Beta line, was employed, as presented in studies by [13,31]. This approach is illustrated in Figure 3, where the Beta line is depicted on the compressor and turbine maps as an additional parameter. This allows for the representation of the compressor parameters: corrected compressor mass flow m C   c o r , compressor pressure ratio CPR, and compressor efficiency, in the form of two-dimensional tables, as follows:
m C   c o r = f N c o r , B e t a c C P R = f N c o r , B e t a c C   E F F = f N c o r , B e t a c ,
and for the free power turbine the product of the corrected rotational speed and the corrected mass flow rate N F P R   c o r   m F P R   c o r , free power turbine pressure ratio F P T P R and free power turbine efficiency P T   E F F , as follows:
N F P R   c o r   m F P R   c o r = f N F P T   c o r , B e t a F P T F P T P R = f N F P T   c o r , B e t a F P T F P T   E F F = f N F P T   c o r , B e t a F P T ,
where: corrected compressor mass flow
m C   c o r = m 2 P t 0 P t 2 T t 2 T t 0 ,
corrected free power turbine mass flow
m F T P   c o r = m 45 P t 0 P t 45 T t 45 T t 0 ,
corrected compressor rotor speed
N C   c o r = N C T t 0 T t 2 ,
corrected free power turbine rotor speed
N F T P   c o r = N F P T T t 0 T t 45 ,
The proposed methods for Beta lines construction are slightly modified in this study to adapt them to the specific characteristics observed, primarily for turbines. In such cases, it is difficult to draw straight lines connecting the ends of the characteristics, as these often have a significantly shorter range at lower rotational speeds. Therefore, the Beta lines are constructed as polylines, which evenly divide the lines of constant reduced rotational speed. This is illustrated, for instance, in the turbine characteristic shown in Figure 4. A similar methodology is applied to compressor characteristics modeling.
This approach allows for an accurate representation of the limitations and extreme points of the modeled component characteristics. To enhance accuracy, the number of Beta lines can be increased. In the presented example, 11 Beta lines were used to model the turbine characteristics, while 7 Beta lines were used for the compressor because its “modeling area” was smaller. Nevertheless, it should be considered that for more complex efficiency contour shapes, it might not be possible to model all areas of the map with complete accuracy using this approach. In such cases, some local refinement of the Beta lines and reduced speed lines will be required. However, this issue was not addressed in this study.
The turboprop engine model for performance calculations can be divided into two somewhat independent blocks: the core engine and the free power turbine. In the first stage, the operating conditions for the core engine (compressor, burner, and high-pressure turbine) are determined. To evaluate a compressor—turbine working line, the calculating process is provided in the proposed approach. It is done by solving a system of equations for the compressor rotational speed (Nc) variable, where the input parameters were the Beta line for the compressor and the turbine inlet temperature (TIT) Tt4. The solution criteria are that the minimum turbine flow area from the iterating process matched the minimum turbine flow area at DP ( A H P T m i n = A H P T m i n D P ) and that the high-pressure turbine pressure ratio (HPTPR) equaled the HPTPR at DP ( H P T P R = H P T P R _ D P ). As a result, the operating line for the compressor and turbine work is determined in the form of data: N C   c o r N C , C P R N C   c o r , m 2 c o r N C   c o r , C   E F N C   c o r , T t 4 / T t 0 ( N C   c o r ) . The algorithm of this process is presented in Figure 5. It was applied to MATLAB 2024b and sorted out by the fsolve function.
In the practical approach, this involves preparing a function in Matlab: hp_spool_balance, which encompasses the compressor characteristic, as well as the blocks representing the compressor, diffuser, burner, and turbine, the same as in the calculations for DP. The output parameters Y are A H P T m i n A H P T m i n D P and H P T P R H P T P R _ D P , while the input parameters are X consist of Beta line for the compressor and TIT, along with all other performance indicators of the mentioned components (components_param) plus the compressor map, rotational speed NC, and operating parameters at the compressor inlet (inlet_param). The proposed numerical model is presented in a compact form of Matlab code in Algorithm 1.
Algorithm 1 Function for HP spool balance calculation
1function [Y] = hp_spool_balance(X, components_param, compressor_map, …
2   inlet_param, NC, A H P T m i n D P , H P T P R _ D P )
3
4   N_cor = f(NC, inlet_param);
5   [m_cor,CPR,C_eff] = compressor_map(N_cor,X1);
6   m2 = f(m_cor, inlet_param);
7    [parameters_3,Pc] = compressor(inlet_param,m2,CPR,C_eff);
8    [parameters_31] = diffuser(parameters_3,components_param(1));
9    [parameters_4] = burner(parameters_31,X2,components_param(2,3));
10    [parameters_45] = turbine(parameters_4,Pc,components_param(4,5));
11    Y(1) = A H P T m i n A H P T m i n D P ;
12    Y(2) = H P T P R H P T P R _ D P ;
13end
In the presented algorithm, the variable parameters contain the parameters for a given engine control section, such as pressure, temperature, and mass flow rate. This function is then solved for Y using the fsolve function defined in Matlab 2024b.
The core engine operating parameters determined in this way are used to calculate engine parameters for varying ambient conditions and compressor rotor speeds. The physical parameters are derived from the corrected mass flow and rotational speed relationships, respectively (6) and (8), by appropriately rearranging them. Additionally, Tt4 is calculated by:
T t 4 = T t 0 × T t 4 / T t 0 ( N C   c o r ) ,
After performing all these operations, the parameters are prepared to calculate the engine according to the calculation scheme for DP. These calculations make it possible to determine engine parameters at control cross-sections up to the 45th section, as well as fuel consumption and mass flow rate as a function of compressor rotor speed.
The free power turbine can operate over a wide range of rotational speeds, independently of the rotational speed of the HP spool. However, its power is determined by the gas parameters at the inlet and outlet of it, as well as its performance map. In the calculation process for a given rotational speed of a free power turbine ( N F P T ), the corrected speed is determined according to Equation (9). Subsequently, the efficiency is obtained from the free power turbine characteristic curve for the free power turbine pressure ratio (FPTPR) that satisfies the condition:
F P T P R = P t 45 / ( P 0 / P t 5 P 9 _ D P ) ,
where P t 5 P 9 D P = P t 5 D P / P 9 _ D P is the ratio of the total pressure in the FPT outlet to the static pressure in the engine exit diffuser at DP condition.
All the parameters in the engine cross sections for the new of-design conditions are evaluated in this way. Some of them are used for performance calculation according to Formulas (1)–(3).

3. Results

The calculation results are presented using data for the PZL-10W engine as an example. This is a Polish-made turboshaft engine, and its schematic is shown in Figure 1. Although we do not have access to the compressor and turbine performance maps for this engine, ample information available in the literature allowed for the verification of the adopted assumptions and calculation results.
The parameters characterizing processes within the engine components for DP (design point) calculations were selected to match the manufacturer’s data as closely as possible. Information from reference [32] was utilized in this regard. The assumed values are presented in Table 3.
The results of DP calculation for ambient ISA conditions are presented in Table 4. They indicate that the calculations for specific fuel consumption are approximately 3.5% higher than the values reported by the manufacturer.
The compressor map was taken from [15] for a compressor with a similar pressure ratio. The map was rescaled to match the pressure ratio and efficiency values corresponding to the PZL-10W compressor parameters in DP. The compressor map, with DP marked, is shown in Figure 6a. The free power turbine map was adapted from the characteristics of the DGEN 380 engine produced by Price Induction (the stand is at Rzeszów University of Technology, in the Department of Aerospace and Space Engineering (Rzeszów, Poland)) for the low-pressure turbine available from the WESTT CS/BV virtual test bench presented in studies by [33,34]. The map was rescaled to meet the DP work parameters of PZL-10W. The map with the pointed DP is presented in Figure 6b.
In the next step, the working line for the high-pressure turbine and compressor is determined. As a result, values for the compressor pressure ratio, compressor-corrected flow, compressor efficiency, and turbine inlet temperature to ambient temperature ratio are evaluated for the corrected compressor rotational speed. The results of these calculations are presented in Table 5.
To validate the obtained results concerning the turbine–compressor working line, the calculated data for the compressor rotor speed under ISA conditions is compared with the data prepared based on a graph from a study [6] showing the relationship between the compressor pressure ratio and the rotational speed of the PZL-10 W engine in Figure 7a. The determined CPR values differ slightly from the data presented in the study by [6]. The maximum difference is below 4% and occurs at lower rotational speeds (Figure 7b). In this range, the model tends to overestimate the compression ratio. For higher compressor rotational speeds, the determined values differ by approximately 1%. These discrepancies arise from the iterative solving of the system of equations describing the interaction between the turbine and the compressor. Another possible reason could be the use of a compressor map that was selected and not originating from the specific compressor of this engine. This might also contribute to the discrepancies observed in the calculations.

3.1. Engine Performance Calculation for Various Compressor Rotational Speed

The calculation results are prepared for the engine operating conditions on the ground while ambient parameters are consistent with ISA (T0 = 288 K, P0 = 1013 kPa) for three specified values of compressor rotational speed: Nc = 95%, 98%, and 100%. Since there are no changes in reference parameters relative to DP, which are also calculated for an altitude of H = 0 under ISA conditions, the corrected relative speed is equal to the relative speed. Consequently, the operating parameters of the high-pressure spool and the temperature rise Tt₄ correspond to values for Nc_rel_cor = 0.95, 0.98, and 1, respectively. The engine operating points for these three speeds are shown on the compressor map (Figure 8).
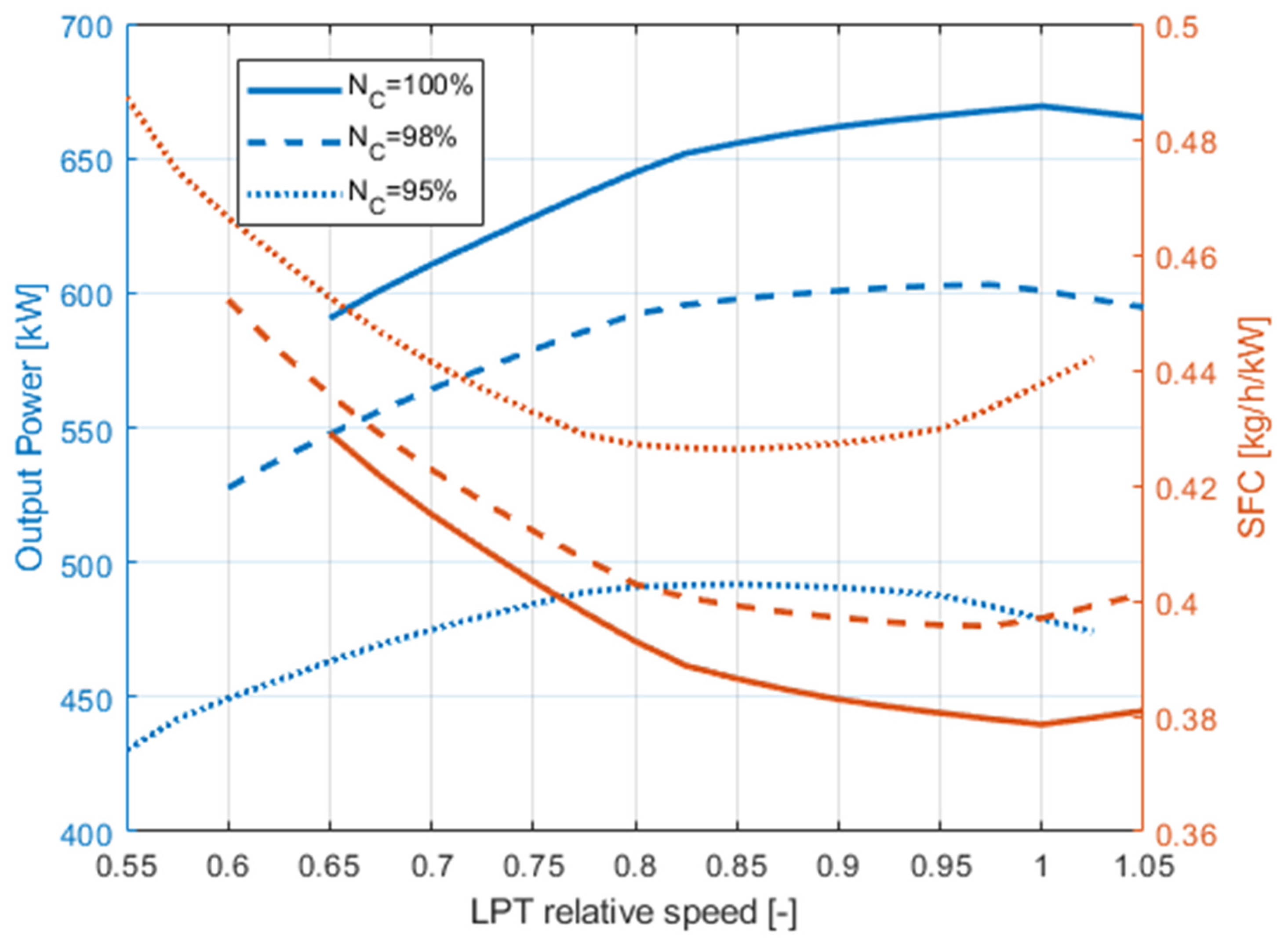
After determining the operating parameters of the high-pressure spool, calculations are continued for the free power turbine and the exhaust diffuser. As a result, the expansion across the power turbine is determined for each NC speed, and then the values of speed and efficiency of the power turbine are obtained using the map of FTP. The results are presented on the FTP map (Figure 9) and as a plot of power and specific fuel consumption as a function of the free power turbine rotational speed (Figure 10).
According to the data presented in Figure 9, for a given rotational speed of the high-pressure rotor, a constant expansion ratio across the power turbine is maintained throughout its entire range of rotational speeds. Naturally, as the rotational speed of the high-pressure spool decreases, the expansion ratio of the power turbine is reduced, resulting in a decrease in the power generated at the engine output shaft (Figure 10 blue lines). Additionally, this power output varies with changes in the efficiency of the power turbine. The turbine achieves its highest efficiency at a reduced rotational speed of approximately 1, where the generated power is also at its peak. Deviating from this speed leads to a reduction in both the efficiency and power of the free power turbine, which in turn decreases the output shaft power. The reduction in engine power leads to an increase in specific fuel consumption. As indicated in Figure 10 (red lines), the lowest specific fuel consumption occurs at a high-pressure rotor speed of 1 and a power turbine speed of 1 (solid red line), consistent with published literature characteristics of turboshaft engines [35].

3.2. Engine Performance Calculation for Various Ambient Conditions

This section presents the results of the analysis of the impact of ambient conditions on engine performance. The analysis is limited to demonstrating the effects of changes in ambient temperature, which have a significantly greater influence on engine performance than variations in ambient pressure.
The analysis is conducted at a high-pressure rotor speed of 100%, with the ISA standard temperature T0 = 288 K (15 °C) and ambient temperature increased and decreased by 15 K. According to Equations (6) and (8), changes in ambient temperature will affect the corrected speed and mass flow rate, as well as the compressor pressure ratio, as illustrated in Figure 11. For T0 ISA − 15 K (0 °C), Nrel cor raises to 1.027; for T0 ISA (15 °C), Nrel cor is equal to the design point; and for T0 ISA + 15 K (30 °C), Nrel cor decreases to 0.975. In general, it is observed that an increase in ambient temperature reduces the rotor speed, mass flow rate, and compressor pressure ratio, which is consistent with the theory of turbine engine operation, as outlined in [15,35].
The operation of the free power turbine and the performance of the turbine engine are illustrated in Figure 12 and Figure 13. In Figure 12, the operating parameters for various ambient temperatures are marked on the power turbine map across its entire speed range. It shows that a lower ambient temperature, at the same compressor speed, allows for a greater pressure expansion ratio in the power turbine, thereby achieving higher power output on the engine output shaft (Figure 13 blue lines). Consequently, this results in lower specific fuel consumption (Figure 13, red lines). This is consistent with the operating principle of aircraft engines, which are controlled to maintain constant power output regardless of ambient conditions, up to a critical ambient temperature. Beyond this temperature, either the compressor speed or the turbine inlet temperature would exceed the maximum allowable value.
The simulation results for maintaining constant output power up to an ambient temperature of +26 °C, which was assumed as critical, are presented in Figure 14. Figure 14a shows the maximum power at the engine output shaft and the compressor speed as a function of ambient temperature. Figure 14b illustrates the dependence of specific fuel consumption (SFC) on ambient temperature for engine operation conditions as defined in Figure 14a.
As the ambient temperature increases, the constant power at the engine output shaft is maintained by increasing the compressor speed, which reaches 100% at an ambient temperature of +15 °C (ISA condition). When assuming a maximum temperature of +26 °C, the compressor rotor speed rises to 101.5%. Beyond 26 °C, the engine power decreases while maintaining constant compressor speed and a constant value of turbine inlet temperature (not presented on the plot). In the ambient temperature range up to 26 °C, the increase in ambient temperature is accompanied by a slight rise in specific fuel consumption (SFC); however, after exceeding this temperature, the increase in SFC occurs at a significantly higher rate.

4. Conclusions

This study presents a model of a turboshaft engine with a free power turbine, developed based on key geometric parameters determined through design-point calculations and performance characteristics of the compressor and turbine, enabling performance analysis across a range of engine operating conditions. The model was implemented in the Matlab 2024b environment. A significant feature of this model is its use of the compressor map, along with the turbine minimum cross-sectional area and turbine pressure ratio calculated at the design point, to establish the operating line for turbine–compressor interaction. This line, defined in corrected parameters, is used in further engine calculations and recalculated based on engine settings and varying environmental conditions. The addition of a free power turbine map allows the model to simulate this component’s operation across a wide range of performance parameters.
For model validation, available data for the PZL-3W engine were used. However, this did not allow for a complete assessment of the model accuracy due to the limited availability of engine manufacturer data and discrepancies between the data presented in various publications. Additionally, the characteristics of the compressor and turbine maps did not originate directly from the modeled engine (as they are not available) but were instead selected from the literature. The results that could be verified indicate an estimation error of up to 4%. However, it is hard to distinguish whether this error stems from the proposed calculation methodology or, for instance, from discrepancies in the incorporated component maps.
Calculations were performed under varying engine settings, as well as changes in ambient parameters. The results show that the model accurately reflects the engine behavior under the tested operating conditions. It demonstrated the model's extensive applicability for simulating both the effects of the environment and the engine operating conditions, which in this case depend on the HP shaft operating state as well as the load on the free power turbine. This confirms the model's suitability for analyzing and simulating free power turbine engine performance under diverse operating conditions.

Author Contributions

Conceptualization, R.J. and P.J.; methodology, R.J. and P.J.; software, R.J.; validation, R.J. and P.J.; formal analysis, R.J. and P.J.; investigation, R.J. and P.J.; resources, R.J.; data curation, R.J.; writing—original draft preparation, R.J. and P.J.; writing—review and editing, R.J.; visualization, R.J.; supervision, P.J.; project administration, R.J.; funding acquisition, R.J. All authors have read and agreed to the published version of the manuscript.

Funding

The research leading to these results received funding from the commissioned task entitled “VIA CARPATIA Universities of Technology Network named after the President of the Republic of Poland Lech Kaczyński”, under a special purpose grant from the Minister of Science, contract no. MEiN/2022/DPI/2578 action entitled “In the neighborhood—inter university research internship and study visits”.

Institutional Review Board Statement

Not applicable.

Data Availability Statement

Data available on request.

Conflicts of Interest

The authors declare no conflicts of interest.

Appendix A

Table A1. Turboshaft engine numbering station nomenclature.
Table A1. Turboshaft engine numbering station nomenclature.
Engine Station NumberDescription
0Free stream ambient parameters
2Compressor inlet
3Compressor outlet
31Diffuser outlet
4Burner outlet/HPT inlet
45HPT outlet/FPT inlet
5FPT outlet
9Engine outlet

Appendix B

Table A2. Turboshaft engine model parameters.
Table A2. Turboshaft engine model parameters.
ParameterUnitDescription
cp[J/kg/K]Gas specific heat value of constant pressure
dT[K]Ambient temperature correction
m[kg/s]Gas flow rate
mC cor[kg/s]Compressor corrected mass flow rate
m_eff[]High power shaft mechanical efficiency
mf[kg/s]]Fuel mass flow
mFTP cor[kg/s]FPT corrected mass flow rate
A_HPT_min[m2]HPT minimum cross-section area
B_eff[]Burner efficiency
B_PL[]Burner pressure losses coefficient
BetaC[]Compressor map Beta line
BetaT[]Turbine map Beta line
C_eff[]Compressor isentropic efficiency
CPR[]Compressor pressure ratio
D_PR[]Burner inlet diffuser pressure losses coefficient
ED_PL[]Engine diffuser pressure losses coefficient
FPT_eff[]Free power turbine efficiency
FPTPR[]Free power turbine pressure ratio
Geff[]Gear efficiency
HPT_eff[]High-pressure turbine isentropic efficiency
IN_PL[]Inlet pressure losses coefficient
Nc[rev/min]Compressor rotational speed
Nc_rel[]Compressor rotational speed relative to DP
Nc_rel_cor[]Corrected relative compressor rotational speed
NFPT[rev/min]FPT rotational speed
NFPT rel[]FPT rotational speed relative to DP
NFPT rel cor[]FPT relative corrected rotational speed
P/Pt[Pa]Static pressure/total pressure
Pc[W]Compressor power
PFPT[W]Free power turbine power
SFC[kg/W]Specific fuel consumption
SP[W]Shaft power
T/TtKStatic temperature/total temperature
Tq[Nm]Torque
V[m/s]Gas velocity
VM[]Engine velocity expressed by the Mach number
V Diffuser outlet

References

  1. Jansohn, P. Modern Gas Turbine Systems. In Woodhead Publishing Series in Energy; Elsevier: Amsterdam, The Netherlands, 2013; ISBN 9780857096067. [Google Scholar]
  2. Razvan Marius, C.; Dediu, G.; Cornel, T. Experimental Research of a Particular Free Power Turbine Application. Tehnicki Vjesnik 2021, 28, 1105–1110. [Google Scholar] [CrossRef]
  3. Tudosie, A. Ground test facility for a turboshaft-type APU TG-16M for passenger aircraft. Sci. Res. Educ. Air Force 2016, 18, 85–92. [Google Scholar] [CrossRef]
  4. Nowacki, M.; Olejniczak, D.; Markowski, J.; Kozłowski, R.; Cierniak, R.; Dlugiewicz, P. Twd-10 b/pzl-10s engine emissions evaluation for PZL M28b Bryza airplane. IOP Conf. Ser. Mater. Sci. Eng. 2018, 421, 042059. [Google Scholar] [CrossRef]
  5. Merkisz, J.; Markowski, J.; Pielecha, J. Exhaust emissions from the PZL W-3 Sokol helicopter based on the measurements of the concentrations of exhaust components in theexhaust gases during a pre-flight test. In Proceedings of the 2012 IEEE Vehicle Power and Propulsion Conference, Seoul, Republic of Korea, 9–12 October 2012; pp. 897–902. [Google Scholar] [CrossRef]
  6. Antas, S. The aero-thermodynamic aspects of the methods for design modifications of turboprop and turboshaft engines. Arch. Mech. Eng. 2000, 47, 225–246. [Google Scholar]
  7. Antas, S.; Chmielniak, T. Determination of Performance and Parameters for Turboprop and Turboshaft Engine for Modification through Change of Gas Temperature Before Turbine. Int. J. Turbo Jet Engines 2008, 25, 197–208. [Google Scholar] [CrossRef]
  8. Jakubowski, R.; Ciechanowicz, M. Estimation of Turboprop Engine Parameters for Various Fuels. J. KONES Powertrain Transp. 2017, 24, 203–210. [Google Scholar]
  9. Catana, R.M.; Dediu, G. Analytical Calculation Model of the TV3-117 Turboshaft Working Regimes Based on Experimental Data. Appl. Sci. 2023, 13, 10720. [Google Scholar] [CrossRef]
  10. Cao, J.G. Development Opportunities and Application Prospects of Aero-Engine Simulation Technology under Digital Transformation. J. Syst. Simul. 2021, 1, 1. [Google Scholar]
  11. He, D.; Zhang, R.; Wen, C.; Teng, J. Performance Simulation of Thermodynamic Design for a New Turboshaft Engine. J. Phys. Conf. Ser. 2023, 2658, 012048. [Google Scholar] [CrossRef]
  12. Hussain, M. Numerical Analysis on Thermodynamic Performanceof Simple Turbojet Engine. Int. J. Innov. Res. Technol. 2020, 6, 61–65. [Google Scholar]
  13. Alberto Misté, G.; Benini, E. Turbojet Engine Performance Tuning with a New Map Adaptation Concept. ASME J. Eng. Gas Turbines Power 2014, 136, 071202. [Google Scholar] [CrossRef]
  14. De Pascalis, C.L.; Donateo, T.; Ficarella, A. A scalable model for design and control of turboprop engines for advanced propulsion systems. AIP Conf. Proc. 2019, 2191, 020061. [Google Scholar] [CrossRef]
  15. Kurzke, J.; Halliwell, I. Propulsion and Power: An Exploration of Gas Turbine Performance Modeling; Springer International Publishing: Cham, Switzerland, 2018. [Google Scholar] [CrossRef]
  16. Wen, Q.; Li, Y.J.; Liu, T.; Wei, G.; Fu, Q. Advances in the Research of 3D Full Engine Aerodynamics Simulation. Aerosp. Power 2021, 2, 46–51. [Google Scholar]
  17. Teixeira, M.; Romagnosi, L.; Mezine, M.; Yannick, B.; Anker, J.; Claramunt, K.; Hirsch, C. A Methodology for Fully-Coupled CFD Engine Simulations, Applied to a Micro Gas Turbine Engine. In Proceedings of the ASME Turbo Expo 2018 Turbomachinery Technical Conference and Exposition, Oslo, Norway, 11–15 June 2018. [Google Scholar]
  18. Romagnosi, L.; Li, Y.C.; Mezine, M.; Teixeira, M.; Vilmin, S.; Anker, J.E.; Claramunt, K.; Baux, Y.; Hirsch, C. A Methodology for Steady and Unsteady Full-Engine Simulations. In Proceedings of the ASME Turbo Expo 2019 Turbomachinery Technical Conference and Exposition, Phoenix, AZ, USA, 17–21 June 2019. [Google Scholar]
  19. Zhang, S.; Ma, A.; Zhang, T.; Ge, N.; Huang, X. A Performance Simulation Methodology for a Whole Turboshaft Engine Based on Throughflow Modelling. Energies 2024, 17, 494. [Google Scholar] [CrossRef]
  20. Muchowski, R.; Gubernat, S.M. Influence of Axial Compressor Model Simplification and Mesh Density on Surge Margin Evaluation. Adv. Sci. Technol. Res. J. 2021, 15, 243–253. [Google Scholar] [CrossRef]
  21. Deng, W.; Xu, Y.; Ni, M.; Wei, Z.; Gan, X.; Ren, G. Multi-Fidelity Simulation of Gas Turbine Overall Performance by Directly Coupling High-Fidelity Models of Multiple Rotating Components. J. Therm. Sci. 2024, 33, 1357–1378. [Google Scholar] [CrossRef]
  22. Jia, Z.; Tang, H.; Jin, D.; Xiao, Y.; Chen, M.; Li, S.; Liu, X. Research on the volume-based fully coupled method of the multi-fidelity engine simulation. Aerosp. Sci. Technol. 2022, 123, 107429. [Google Scholar] [CrossRef]
  23. De Giorgi, M.G.; Strafella, L.; Ficarella, A. Neural Nonlinear Autoregressive Model with Exogenous Input (NARX) for Turboshaft Aeroengine Fuel Control Unit Model. Aerospace 2021, 8, 206. [Google Scholar] [CrossRef]
  24. Erario, M.L.; De Giorgi, M.G.; Przysowa, R. Model-Based Dynamic Performance Simulation of a Microturbine Using Flight Test Data. Aerospace 2022, 9, 60. [Google Scholar] [CrossRef]
  25. Jakubowski, R. Modelowanie osiągów silników turbinowych w środowisku MATLAB z wykorzystaniem modeli bloków funkcjonalnych. Tech. Transp. Szyn. 2015, 12, 691–696. [Google Scholar]
  26. Jakubowski, R.; Bednarz, A.; Rogalski, Ł. Study of the Effects of Heat Exchanger Location on Turbofan Engine Performance. Adv. Sci. Technol. Res. J. 2024, 18, 355–368. [Google Scholar] [CrossRef] [PubMed]
  27. Przysowa, R.; Gawron, B.; Kułaszka, A.; Placha-Hetman, K. Polish experience from the operation of helicopters under harsh conditions. J. KONBiN 2018, 48, 263–299. [Google Scholar] [CrossRef][Green Version]
  28. Available online: https://pwrze.com/obszary-dzialalnosci/zaklad-napedow-lotniczych/produkty/pzl-10-w (accessed on 19 November 2024).
  29. Guha, A. An efficient generic method for calculating the properties of combustion products. Proceeding Inst. Mech. Eng. Part A 2011, 2015, 375–387. [Google Scholar] [CrossRef]
  30. Jakubowski, R. Modeling and analysis of jet engine with cooling turbine. J. KONES Powertrain Transp. 2012, 19, 235–244. [Google Scholar] [CrossRef]
  31. Razmjooei, M.; Ommi, F.; Saboohi, Z. Experimental analysis and modeling of gas turbine engine performance: Design point and off-design insights through system of equations solutions. Results Eng. 2024, 23, 102495. [Google Scholar] [CrossRef]
  32. Czarnecki, M.; Olsen, J.; Ma, R. PZL-10 turboshaft engine: System design review. J. KONES 2019, 261, 23–29. [Google Scholar] [CrossRef]
  33. Pazura, K.; Orkisz, M. Experimental determination of compressor map of the DGEN 380 engine compressor using the WESTT CS/BV turbine engine simulator. Combust. Engines 2021, 185, 26–31. [Google Scholar] [CrossRef]
  34. Bednarz, A.; Kabalyk, K.; Jakubowski, R.; Bartłomowicz, R. Numerical Study on Sensitivity of Turbofan Engine Performance to Blade Count of Centrifugal Compressor Impeller. Energies 2023, 16, 5251. [Google Scholar] [CrossRef]
  35. Saravanamuttoo, H.; Rogers, G.; Cohen, H. Gas Turbine Theory; Pearson: London, UK, 2017. [Google Scholar]
Figure 1. PZL-10W turboshaft engine scheme with numbered control cross-sections adapted with permission from [27].
Figure 1. PZL-10W turboshaft engine scheme with numbered control cross-sections adapted with permission from [27].
Applsci 14 11373 g001
Figure 2. Turboshaft engine on-design model.
Figure 2. Turboshaft engine on-design model.
Applsci 14 11373 g002
Figure 3. Compressor map and turbine map with Beta lines.
Figure 3. Compressor map and turbine map with Beta lines.
Applsci 14 11373 g003
Figure 4. Turbine map with Beta lines as polylines.
Figure 4. Turbine map with Beta lines as polylines.
Applsci 14 11373 g004
Figure 5. Algorithm for determining the parameters of the turbine–compressor working line.
Figure 5. Algorithm for determining the parameters of the turbine–compressor working line.
Applsci 14 11373 g005
Figure 6. (a) Compressor map, (b) free power turbine map.
Figure 6. (a) Compressor map, (b) free power turbine map.
Applsci 14 11373 g006
Figure 7. (a) Comparison of the compressor pressure ratio determined according to the proposed model (red points) with data for the PZL-10W engine adapted with permission from [6] (blue line), (b) the relative difference in CPR for selected relative compressor speeds.
Figure 7. (a) Comparison of the compressor pressure ratio determined according to the proposed model (red points) with data for the PZL-10W engine adapted with permission from [6] (blue line), (b) the relative difference in CPR for selected relative compressor speeds.
Applsci 14 11373 g007
Figure 8. Compressor map with points for Nc = 0.95, 0.98, and 1.
Figure 8. Compressor map with points for Nc = 0.95, 0.98, and 1.
Applsci 14 11373 g008
Figure 9. Free power turbine map with working points for Nc= 0.95, 0.98, and 1.
Figure 9. Free power turbine map with working points for Nc= 0.95, 0.98, and 1.
Applsci 14 11373 g009
Figure 10. Output shaft power of turboshaft engine (blue lines) and specific fuel consumption (red lines) for Nc = 0.95, 0.98, and 1.
Figure 10. Output shaft power of turboshaft engine (blue lines) and specific fuel consumption (red lines) for Nc = 0.95, 0.98, and 1.
Applsci 14 11373 g010
Figure 11. Compressor map with working points for Nc = 100%, and ambient temperature T0 = 0 °C (ISA – 15 K) T0 = 15 °C (ISA), T0 = 30 °C (ISA + 15 K).
Figure 11. Compressor map with working points for Nc = 100%, and ambient temperature T0 = 0 °C (ISA – 15 K) T0 = 15 °C (ISA), T0 = 30 °C (ISA + 15 K).
Applsci 14 11373 g011
Figure 12. Free power turbine map with working points for Nc = 100%, and ambient temperature T0 = 0 °C (ISA – 15 K) T0 = 15 °C (ISA), T0 = 30 °C (ISA + 15 K).
Figure 12. Free power turbine map with working points for Nc = 100%, and ambient temperature T0 = 0 °C (ISA – 15 K) T0 = 15 °C (ISA), T0 = 30 °C (ISA + 15 K).
Applsci 14 11373 g012
Figure 13. Output shaft power (blue lines) of turboshaft engine and specific fuel consumption (red lines) for Nc = 100% and T0 = 0 °C (ISA – 15 K) T0 = 15 °C (ISA), T0 = 30 °C (ISA + 15 K).
Figure 13. Output shaft power (blue lines) of turboshaft engine and specific fuel consumption (red lines) for Nc = 100% and T0 = 0 °C (ISA – 15 K) T0 = 15 °C (ISA), T0 = 30 °C (ISA + 15 K).
Applsci 14 11373 g013
Figure 14. Engine performance calculation against ambient temperature to maintain constant output shaft power. (a) Output shaft power (blue line) and compressor rotational speed (red line) as a function of ambient temperature, (b) SFC as a function of ambient temperature.
Figure 14. Engine performance calculation against ambient temperature to maintain constant output shaft power. (a) Output shaft power (blue line) and compressor rotational speed (red line) as a function of ambient temperature, (b) SFC as a function of ambient temperature.
Applsci 14 11373 g014
Table 1. PZL-10W data adapted with permission from [6,28].
Table 1. PZL-10W data adapted with permission from [6,28].
Engine Parameter Value
Take-off power900 KM/671 kW
Max take-off power1150 KM/857 kW
Fuel consumption (900 KM)268 g/KM/h/364 g/kW/h
Maximum flight altitude6000 m
Engine weight144 kg
Compressor pressure ratio7.4
Air mass flow4.58 [kg/s]
Table 2. Gas average specific heat value cp, isentropic index k.
Table 2. Gas average specific heat value cp, isentropic index k.
Calculated Engine Section cp [J/kg/K]k [29]
Compressor10161.4
Burner1200-
HPT11721.321
FPT11421.335
Engine Diffuser11271.342
Table 3. Assumed parameters for PZL-10W DP calculation.
Table 3. Assumed parameters for PZL-10W DP calculation.
Param.CPRTt4 [K]m0 [kg/s]IN_PLC_EFFB_PLB_EFFHPT_EFFFPT_EFFDIF_PLR_EFF
value7.411104.580.980.830.9750.9850.860.8680.970.97
Table 4. Comparison of PZL-10W performance data calculated for DP with those provided by manufacturer.
Table 4. Comparison of PZL-10W performance data calculated for DP with those provided by manufacturer.
ParameterOutput Shaft Power [kW]SFC [kg/kW/h]A_HPT_min [m2]
Calculated value6710.3770.0055
Manufacturer data6710.364-
Relative difference00.035
Table 5. Compressor working line corrected parameters and turbine inlet temperature to ambient temperature ratio.
Table 5. Compressor working line corrected parameters and turbine inlet temperature to ambient temperature ratio.
N C   r e l   c o r 0.850.870.890.910.930.9500.970.991.011.031.05
m 2 c o r 3.443.6493.8974.0514.1964.3514.4794.6074.7184.8124.91
C P R 5.3225.6815.6626.1216.4526.5766.9047.2347.5487.8447.966
C E F 0.8270.8320.8370.840.840.8410.8360.8320.8250.8150.804
T t 4 / T t 0 3.0823.2113.1843.3543.4773.523.6533.7853.9254.0674.161
Disclaimer/Publisher’s Note: The statements, opinions and data contained in all publications are solely those of the individual author(s) and contributor(s) and not of MDPI and/or the editor(s). MDPI and/or the editor(s) disclaim responsibility for any injury to people or property resulting from any ideas, methods, instructions or products referred to in the content.

Share and Cite

MDPI and ACS Style

Jakubowski, R.; Jakliński, P. A Practical Approach to Modeling and Performance Analysis of a Turboshaft Engine Using Matlab. Appl. Sci. 2024, 14, 11373. https://doi.org/10.3390/app142311373

AMA Style

Jakubowski R, Jakliński P. A Practical Approach to Modeling and Performance Analysis of a Turboshaft Engine Using Matlab. Applied Sciences. 2024; 14(23):11373. https://doi.org/10.3390/app142311373

Chicago/Turabian Style

Jakubowski, Robert, and Piotr Jakliński. 2024. "A Practical Approach to Modeling and Performance Analysis of a Turboshaft Engine Using Matlab" Applied Sciences 14, no. 23: 11373. https://doi.org/10.3390/app142311373

APA Style

Jakubowski, R., & Jakliński, P. (2024). A Practical Approach to Modeling and Performance Analysis of a Turboshaft Engine Using Matlab. Applied Sciences, 14(23), 11373. https://doi.org/10.3390/app142311373

Note that from the first issue of 2016, this journal uses article numbers instead of page numbers. See further details here.

Article Metrics

Back to TopTop