Next Article in Journal
Epidemiological Insights and Diagnostic Strategies of Extrarespiratory Tuberculosis: A Five-Year Retrospective Study in Clinic of Pneumology, Târgu Mureș
Previous Article in Journal
Innovative Approach to Conceptual Design of Enterprise Risk Management Software
 
 
Font Type:
Arial Georgia Verdana
Font Size:
Aa Aa Aa
Line Spacing:
Column Width:
Background:
Article

An Innovative Adaptive-Dimension Accordion Honeycomb for Circumferential Deformation

by
Hairui Zhang
1,
Xianhang Li
1,
Jiayuan Yang
1,* and
Jingsong Yang
2
1
China Academy of Launch Vehicle Technology, Beijing 100076, China
2
School of Traffic & Transportation Engineering, Central South University, Changsha 410075, China
*
Author to whom correspondence should be addressed.
Appl. Sci. 2024, 14(23), 11258; https://doi.org/10.3390/app142311258
Submission received: 15 October 2024 / Revised: 24 November 2024 / Accepted: 27 November 2024 / Published: 3 December 2024

Abstract

This work presents a novel variable-dimension accordion honeycomb structure capable of achieving circumferential deformation, characterized by its uneven structural stiffness properties. Unlike current accordion honeycombs, our design employs a variable-dimension honeycomb configuration defined in the polar coordinate system, using independent shape and size parameters. We derive the circumferential stiffness of both the unit cell and the honeycomb through analytical and theoretical approaches based on the series–parallel mechanism (SPM), validated using finite element modeling (FEM). We evaluate the influence of unit cell angles and the number of units along orthogonal directions on circumferential stiffness, finding excellent agreement between theoretical and numerical models. Additionally, the results demonstrate that the novel honeycomb maintains a zero Poisson ratio during circumferential deformation, with the SPM remaining unaffected by geometric nonlinearity.

1. Introduction

Cellular materials have garnered significant attention from researchers due to their remarkable mechanical properties, including lightweight, stiffness anisotropy, and exceptional energy absorption [1,2,3,4,5]. These materials also exhibit a unique ability to demonstrate synclastic or dome-shaped out-of-plane curvature, a characteristic distinct from regular materials that typically display anti-clastic or saddle-shaped curvature [6,7]. This curvature is advantageous in the fabrication of doubly curved sandwich panels. In the aerospace industry, honeycombs with positive, negative, and zero Poisson ratios have been designed for various morphing applications owing to their robust in-plane deformation capability [8,9,10,11]. In the field of biomedical engineering, studies have explored the use of tubular-shaped 2D auxetic patterns to enhance the effectiveness of stents. These configurations enhance the openness of the lumen and reduce migration. They also provide structures with high circumferential strength when expanded and low flexural rigidity upon delivery in a crimped configuration. Furthermore, these tubular structures have found application in tissue engineering due to their resemblance to various biological tissues [12,13,14,15].
The hexagonal honeycomb structure represents one of the earliest configurations extensively studied in structural design. Gibson et al. [16] investigated its auxiliary behavior and suggested its application in structural design. Almgren [17] proposed a three-dimensional configuration based on the 2D honeycomb structure, achieving Poisson’s ratio of −1 in all three dimensions. Various honeycombs with different Poisson ratios [18,19,20,21] and configurations, such as chiral [22,23,24], double-arrow shape [25,26], and star-shaped [6,27,28], have been proposed and applied in structural design. However, most of these studies indicate that honeycombs with non-zero Poisson ratios generate strain and stress in directions other than the loading direction, thereby limiting their application in one-dimensional deformations. Therefore, there is a demand for the development of honeycombs with Poisson ratios close to zero or zero for one-dimensional morphing applications. Olympio and Gandhi [29] proposed and investigated an accordion cellular honeycomb with vertical beams oriented parallel to each other and V-type beams filling the spaces between them. Bubert et al. [30] manufactured a flexible skin supported by a reinforced accordion cellular honeycomb with V-type beams and analyzed the in-plane equivalent moduli in two directions. Liu et al. [31] introduced a cellular structure with a close-to-zero Poisson ratio using in-plane corrugated cosine beams and examined its elastic and shear moduli. Liu [32] developed a mathematical model to describe the elastic behavior of the accordion cellular honeycomb core, taking into account the effects of in-plane curved beams on the overall mechanical properties of the structure.
These studies demonstrate the suitability of accordion honeycombs with close-to-zero in-plane Poisson ratios for one-dimensional morphing. However, their morphing typically involves tension, compression, or shear, which are predominantly confined to the orthogonal directions of the Cartesian coordinate system. Consequently, circumferential morphing applications, such as the sweep-angle variations of an aircraft wing, require considerable effort to implement. On the other hand, traditional honeycomb structure design methods typically initiate with a single-cell structure, employing uniform cell size combinations to create the honeycomb structure. This approach inherently imposes design constraints, limiting the flexibility and adaptability of the honeycomb structure. Despite these limitations, there is currently limited research exploring honeycombs with variable-dimension cells. Therefore, investigating honeycombs with variable-dimension cells is of considerable importance, as it may unlock new possibilities for enhanced structural flexibility and tailored mechanical properties.
In this study, we introduce a novel variable-dimension accordion honeycomb designed in the polar coordinate system, allowing for morphing along the circumferential direction. The geometry of the honeycomb is described using independent parameters, and its variable-dimension characteristics are analyzed. We derive the circumferential deformation stiffness of the unit cell using an analytical model and calculate the stiffness of the entire honeycomb using the SPM. We then analyze the variation in stiffness and validate our results using FEM. Finally, the nonlinear stiffness calculated by the SPM and FEM are compared to illustrate the effectiveness of the proposed method. This research contributes to the design methodology and stiffness calculation methods for variable-dimension cellular structures, with the aim of providing guidance for morphing applications in engineering.

2. Variable-Dimension Honeycomb Design

2.1. Unit Cell Geometry

The unit cell configuration is depicted in Figure 1 and can be easily described within the polar coordinate system, taking point O as the origin and exhibiting symmetry about the angular bisector. The geometry of the unit cell is defined by two internal angles, θ and ϕ, the wall length l, the radius r, and the thickness t. Additionally, the gauge thickness of the unit cell is denoted as H. Consequently, the lengths of the internal cell walls are determined as follows:
w 1 = r sin θ 2 sin ϕ 2
w 2 = r + l sin θ 2 sin ϕ 2
The geometric constraint for the inside cell walls to avoid touching each other is as follows:
l > v = v 1 + v 2
where v represents the total invagination length, and its formulation is as follows:
v = 2 r sin θ 2 tan ϕ 2 + l sin θ 2 tan ϕ 2 cos θ 2 + 1
Therefore, the geometric limit for l is the following:
l > 2 r tan ϕ 2 / tan θ 2 1
The constraints for the additional parameters are as follows:
ϕ > θ
To simplify the constraints, a new parameter p = v / l is defined, with an initial range of p as (0, 1). Substituting p to Equation (4), we obtain the following:
l = 2 r sin θ 2 p + cos θ 2 1 tan ϕ 2 sin θ 2
Hence, the final range of p is as follows:
1 cos θ 2 + sin θ 2 tan ϕ 2 < p < 1
Obviously, for the left side of the inequality, the lower bound of p increases with θ and decreases with ϕ . In this paper, the maximum value of θ is 10° and the minimum value of ϕ is 45°, and the corresponding maximum lower bound is 0.2142. Therefore, the geometric constraint can be satisfied if p is sampled in (0.2142, 1). In the unit cell geometry, l can be uniquely described by other parameters and replaced by p as an independent parameter. Additionally, the six parameters are divided into shape parameters θ , ϕ , and p , and size parameters r ,   H , and t . Inspired by the properties of triangles, we define that when the shape parameters of two unit cells are the same, the two unit cells are considered similar. Furthermore, if the size parameters of two similar unit cells are also identical, the two unit cells are congruent.

2.2. Honeycomb Geometry

Figure 2 illustrates the geometry of the novel honeycomb structure, comprising unit cells arranged along the orthogonal directions of the polar coordinate system. In this work, we denote m , n and i , j as the configuration of the honeycomb and the arrangement index of a particular cell, respectively. For example, m , n indicates the number of unit cells in the radial and circumferential directions, while i , j signifies the ith cell in the radial direction and the jth cell in the circumferential direction. Evidently, the honeycomb structure exhibits the following properties:
(i)
All unit cells in the honeycomb are similar.
(ii)
The unit cells located in the same circumferential direction are congruent.
To describe the geometry of the honeycomb, point A i j (as shown in Figure 1) is utilized to identify the position of the i , j cell. r i j , θ i j and l i j represent the polar coordinates and the length of the outside cell wall, respectively. According to (i) and (ii), l i j and r i j are independent of j , and θ i j is independent of i . Hence, we can use l i , r i , and θ j as replacements.
As shown in Figure 2, r i j , θ i j can be expressed as
r i = r 0 + l 1 + l 2 + + l i 1
θ j = j 1 θ
where r 0 is the initial radius, and we can obtain that r 1 = r 0 .
For any given unit cell, it is observed from Equation (7) that the ratio q of l i to r i is
q = 2 sin θ 2 p + cos θ 2 1 tan ϕ 2 sin θ 2
In Equation (11), q is a constant while the independent parameters of the unit cell are fixed, and l i can be expressed by
l i = q r i
By combining Equations (9) and (12), we derive the following:
r i + 1 = 1 + q r i
It is evident that r i forms a geometric progression, with an initial value of r 1 and a common ratio of 1 + q . Consequently, we obtain
r i = r 1 q + 1 i 1
At this point, the geometric model of the variable-dimension honeycomb is accurately described by Equations (10) and (14), and the overall dimensions Θ and L can be expressed by
Θ = n θ
L = i = 1 m l i = r m + 1 r 1 = r 1 q + 1 m 1
According to Equations (12) and (14), we can obtain the wall length l i of the unit cells located in the radial direction using the following:
l i = q r 1 q + 1 i 1
Since q is a constant, l i changes exponentially about q + 1 , and this is the reason for the variable-dimension characteristics of the honeycomb. From Equation (11), it can be seen that q increases with an increase in θ and decreases with an increase in p , ϕ . As a result, we can let q tend to 0 by decreasing θ and increasing p , ϕ , thereby weakening the variable-dimension characteristics of the honeycomb.

3. Mechanical Property Analysis

3.1. Deformation Description

In this work, the novel honeycomb is proposed for morphing along the circumferential direction. However, the force system is unbalanced in the Cartesian coordinate system when the opposite circumferential forces are applied to both sides of the outside walls of the honeycomb. Therefore, during deformation analysis, one outside wall is subjected to fixed constraints while the other side is subjected to circumferential displacement, as shown in Figure 3. Additionally, morphing leading to an increase in Θ is considered positive deformation (PD), while a decrease in Θ is considered negative deformation (ND).
Similar to the accordion honeycomb structure [29,32], it is assumed that the honeycomb structure exhibits a zero Poisson ratio during circumferential deformation (i.e., assuming zero radial relative displacement of the honeycomb).

3.2. Unit Cell Stiffness k 11

The theoretical analysis describing the deformation properties outlined in Section 3.1 is based on Castigliano’s second theorem, with the analytical model assuming that the cell wall undergoes both axial and flexural deformations. When an angular deformation Δ θ is applied on the unit cell (Figure 1), there is a proportional displacement of the beam CD and a fixed constraint of beam AB. The circumferential displacements at points C and D can be expressed as follows:
δ c = Δ θ r
δ d = Δ θ r + l
Considering the dimensional difference between beams AE, CE, BF, and DF (Figure 1), it is sufficient to analyze one side of the unit cell. As depicted in Figure 4, point C experiences the force P c and the moment M s c due to circumferential displacement. A local coordinate system for beam CE is established at point C, where the angle between e r and η 1 can be expressed as φ . Here,
φ = θ 2 + ϕ 2
The components of the force P c in the local coordinate system are
P η 1 P η 2 = cos φ sin φ sin φ cos φ 0 P c = P c sin φ P c cos φ
From the equilibrium of the moments and the forces on beam CE, the force and moment at an arbitrary section can be expressed as
F η x = P c sin φ
M η x = P c x cos φ M s c
As shown in Figure 5, a local coordinate system for beam AE is established at point E, and the angle between η 1 and ψ 1 can be expressed by ϕ π . As a result, the components of the force P c in the local coordinate system are
P ψ 1 P ψ 2 = cos ϕ sin ϕ sin ϕ cos ϕ P η 1 P η 2 = P c sin φ ϕ P c cos φ ϕ
Similarly, the force and moment at an arbitrary section on beam AE can be expressed as
F ψ x = P c sin φ ϕ
M ψ x = P c x cos φ ϕ + P c w 1 cos φ M s c
The deflection angle can be obtained by integrating the moment equation:
γ c = 0 w 1 M η + M ψ E I d x = 1 E I 1 2 P c w 1 2 cos φ ϕ + 3 2 P c w 1 2 cos φ 2 M s c w 1
In Equation (27), E is Young’s modulus of the material, w 1 is the calculated by Equation (1), and I is the second moment of area of the beam, which can be expressed as
I = 1 12 H t 3
In geometric linear theory, the deflection angle at the turning point of the unit cell is zero. Therefore, we have the boundary conditions γ c = 0 , and we obtain the following:
M s c = P c w 1 3 4 cos φ 1 4 cos ϕ φ
The displacement along the e θ direction can be calculated by the unit-load equation for the case where axial and flexural deformations are considered:
δ c = 0 w 1 F η · F η 1 P + F ψ · F ψ 1 P E A d x + 0 w 1 M η · M η 1 P + M ψ · M ψ 1 P E I d x
Here, A = H t represents the area of the beam section; F η , M η , F ψ , and M ψ are actual loads; and F η 1 P , M η 1 P , F ψ 1 P , and M ψ 1 P are unit loads. The formulations of unit loads are
F η 1 P x = sin φ
M η 1 P x = x cos φ
F ψ 1 P x = sin φ ϕ
M ψ 1 P x = x cos φ ϕ + w 1 cos φ
Substituting these expressions into Equation (30), we obtain the following:
δ c = P c w 1 E A 1 cos ϕ cos θ + P c w 1 3 E I 5 24 1 + cos ϕ cos θ 1 8 cos ϕ + cos θ
Likewise, the moment M s d and the displacement δ d at point D can be expressed as
M s d = P d w 2 3 4 cos φ 1 4 cos ϕ φ
δ d = P d w 2 E A 1 cos ϕ cos θ + P d w 2 3 E I 5 24 1 + cos ϕ cos θ 1 8 cos ϕ + cos θ
Equations (29) and (36) indicate that the displacements are proportional to the cube of the length of the inside walls. Hence, the circumferential forces at points C and D are not equal during angular deformation.
The circumferential stiffness of the unit cell can be expressed as
k = P c r + M s c + P d r + l M s d Δ θ
By combining Equations (18), (19), (29), (30), (36), and (37), the final stiffness expression is
k 11 = i = 1 , 2 E H t 3 4 w i 2 sin ϕ 2 sin θ 2 2 + 1 i + 1 w i 2 sin ϕ 2 sin θ 2 3 cos ϕ 2 + θ 2 cos ϕ 2 θ 2 4 w i t 2 1 cos ϕ cos θ + w i 3 10 1 + cos ϕ cos θ 6 cos ϕ + cos θ

3.3. Honeycomb Stiffness k m n

In Equation (39), the stiffness of the unit cell is related to the corresponding radius r ; therefore, the properties of the honeycomb is uneven. In this paper, k m n and k i j represent the stiffness of the m , n honeycomb and the i , j cell, respectively. Based on (i) and (ii), k i j is independent of the index j ; thus, k i can be used instead.
For an m , 1 honeycomb, where only one layer of cells exists along the radial direction, all cells have the same Δ θ during circumferential deformation. Hence, the radial cell can be represented equivalently as parallel springs, as depicted in Figure 6.
Thus, the circumferential stiffness of the m , 1 honeycomb is the sum of the stiffness of unit cells, and the formulation is as follows:
k m 1 = i = 1 m k i
where k i represents the stiffness of the i , 1 cell.
For a 1 , n honeycomb with only one layer of cells along the circumferential direction, all cells are congruent according to (ii), having the same circumferential stiffness. Therefore, the circumferential cell can be represented equivalently with series springs, as depicted in Figure 7.
The formulation of circumferential stiffness of the 1 , n honeycomb can be expressed as
k 1 n = k 1 n
By combining Equations (40) and (41), the circumferential stiffness of m , n honeycomb can be expressed as
k m n = i = 1 m k i n

4. Finite Element Modeling

To validate the circumferential deformation properties of the honeycomb, FEM is utilized to compute the circumferential deformation response. In this work, we consider the results of FE analysis as the actual response and compare them with theoretical results to validate the accuracy of the theoretical approach. The formulation of the relative error is as follows:
r r o r = k t h e o r y k F E M k F E M × 100 %
Using ABAQUS 2018, FEM is established with constant thickness and linear elastic, isotropic material properties. The default geometric configurations considered in the simulations are presented in Table 1, with a fixed mesh size of 1 mm.
The material properties are set as the ABSplus basic material used in the fused deposition modeling systems ( E = 2265   M P a ,   v = 0.25 ). Considering that circumferential stiffness is an in-plane property, FEM is constructed using B33 elements (Euler–Bernoulli beam) with three nodes and six degrees of freedom.
To realize the circumferential deformation, a fixed constraint is applied to line A, as shown in Figure 3. The origin point is set as the reference point, and a rigid coupling constraint is applied to line B, with a circumferential rotation Δ θ imposed at the reference point.
After the FE simulation, the nodal displacement and the reaction moment of the reference point R M 3 can observed. The formulation of the circumferential stiffness is
k F E M = R M 3 Δ θ
The actual Poisson ratio during circumferential deformation is determined by the nodal displacements of lines C and D. For m , 1 honeycombs without free nodes on lines C and D, they are considered to exhibit a zero Poisson ratio. In the case of 1 , n or m , n honeycombs, radial displacements of the free nodes can be calculated from their nodal displacements. Consequently, the radial deformation δ L and the real Poisson ratio of the honeycomb can be determined as follows:
v = δ L m a x L
where δ L m a x is the maximum absolute value for the radial deformation.

5. Results and Discussion

5.1. The 1 , 1 Honeycomb Stiffness Variation Versus the Parameters

Figure 8 shows the comparison between the theoretical predictions and the numerical simulation for the circumferential stiffness k 11 vs. ϕ and θ while the unit cell is subjected to PD with a strain of 0.02. The ranges of the angles ϕ and θ are correspondingly 45°~75° and 5°~10°, and other parameters are shown in Table 1. The stiffness k 11 decreases with an increasing value of θ , but increases with an increasing value of ϕ . In Equations (1) and (2), for the lengths of the inside walls, the inside walls tend to increase the bending deformation with increasing length and decrease it with increasing angles θ and ϕ , respectively. In addition, θ results in a larger effective stiffness compared to ϕ .
The theoretical stiffness k 11 is slightly lower than the results obtained by FEM simulation, which can be considered generally consistent. This discrepancy mainly arises because FEM is a discrete model with finite degrees of freedom, where constraints are applied to the model, thereby increasing the circumferential stiffness. In contrast to the stiffness variation, the relative errors increase with θ and decrease with ϕ . The maximum relative error is −3.61% for θ = 10 ° , ϕ = 45 ° , while the minimum relative error is only −0.42% for θ = 5 ° , ϕ = 75 ° .

5.2. Deformation Behavior of the m , n Honeycomb

Figure 9 shows the comparison between the theoretical predictions and the numerical simulation for the circumferential stiffness vs. m and n when the m , n honeycomb is subjected to PD with a strain of 0.02. The number of unit cells in the radial direction, m , varies from 1 to 10, while the number of unit cells in the circumferential direction, n , ranges from 1 to 6. It is apparent that the variation in stiffness conforms to Equation (42), and the stiffness k m n calculated by SPM shows a very close agreement with FEM simulation for n = 1 ,   2 ,   3 , with the maximum error being within 2%.
As shown in Figure 9, the theoretical descent gradient of k m n is lower than that of numerical simulation with an increase in n , resulting in the theoretical stiffness being larger than the simulated stiffness for n = 1 , 2 and smaller than the simulated stiffness for n > 2 . The relative errors are −1.94% and 21.93% for the 1 , 1 and 1 , 6 honeycombs, respectively. However, as m increases, the theoretical increase in the gradient of k m n is opposite to n . For 1 , 1 and 10 , 0 honeycombs, the relative errors are −1.1098% and −1.1100%, respectively. For 1 , 6 and 10 , 6 honeycombs, the relative errors are 22.96% and 10.30%, respectively.
The main reason for this phenomenon is that in the assumption of parallel theory, the unit cells in the radial direction have no constraints on each other, but they are actually constrained by adjacent radial cells in FEM. Consequently, the effect on circumferential stiffness is the same, as the increase in degrees of freedom in theory is larger than that in FEM. Additionally, it is assumed that the unit cells in the circumferential direction are subjected to the same boundary conditions, while no constraints are applied to the intermediate layers in FEM. The increase in the degrees of freedom, in theory, is lower than that in FEM, resulting in a slow decrease in circumferential stiffness.
Figure 10 shows the results of the FEM simulation for the Poisson ratio v vs. m and n . Poisson’s ratio increases with increasing n and is almost unaffected by m . The largest value of Poisson’s ratio is 8.37 × 10 5 for the 10 , 6 honeycomb, which is a very small value. As a result, the zero Poisson ratio assumption can be validated in a substantial way by the FEM simulation results. Figure 11 shows the Mises stress contour of the 4 , 3 honeycomb; the stress on the radial honeycomb wall is almost 0, the stress level on the internal walls decreases with an increase in radius, the maximum stress occurs on the smallest cell structure, and the stress value is 3.754 MPa.

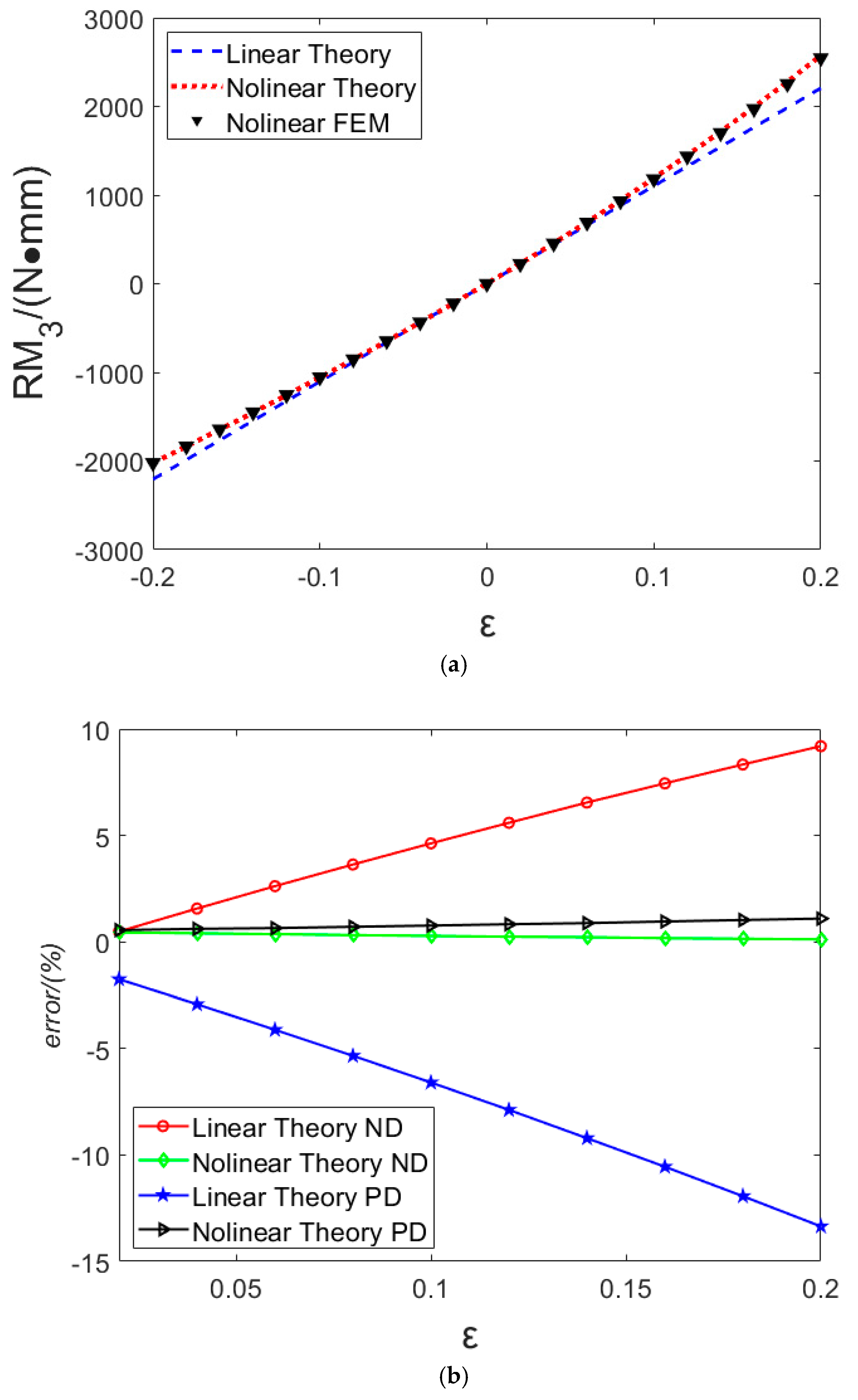
5.3. Geometric Nonlinear Stiffness of 5 , 2 Honeycomb

Since it is not necessary for the SPM to fulfill small deformation, FEM simulations are employed to validate the accuracy of the circumferential stiffness in this section while considering geometric nonlinear deformation. Specifically, considering a 5 , 2 honeycomb, the FEM simulations of the honeycomb and five unit cells are conducted, and the parameters are listed in Table 1. The stiffnesses of the {5,2} honeycomb and each unit cell are obtained by numerical simulations. The theoretical predictions of the {5,2} honeycomb are calculated by substituting the stiffness of five unit cells into Equation (41).
Table 2 presents the different stiffnesses of five unit cells vs. the circumferential strains ranging from −0.2 to 0.2. There is a positive correlation between the stiffness and strain of unit cells when geometric nonlinearity is taken into account. In comparison to linear theoretical predictions, nonlinear stiffness increases by 16.68% in PD ε = 0.2 and decreases by 8.31% in ND ε = 0.2 . In addition, the geometric nonlinear effects on different unit cells are numerically approximated. The main reason for this is that FEM is continuously iterated during the solution process, resulting in the angles θ and ϕ increasing in PD and decreasing in ND. According to Section 5.1, it is reasonable that the variation in nonlinear stiffness is consistent with the influence of θ on the stiffness because θ has a larger effect on stiffness than ϕ .
Figure 12 present the comparison between the theoretical predictions and the numerical simulation for the stiffness of the 5 , 2 honeycomb vs. boundary conditions in which the strain ranges from −0.2 to 0.2 (equivalent to an angle, Δ θ , range of −3.0° to 3.0°). For the 5 , 2 honeycomb, the variation in stiffness considering geometric nonlinearity is similar to that of unit cells, increasing with increasing Δ θ in PD and decreasing with increasing Δ θ in ND. Compared to the linear theoretical predictions, the stiffness values obtained by nonlinear theoretical predictions and numerical simulation are in good agreement. Using the simulation results as a reference, the error of linear theoretical predictions ranges from 0.49% to 9.20% during a strain range of −0.2~0 (ND) and from −1.75% to −13.35% during a strain range of 0~0.2 (PD). Meanwhile, the error of nonlinear theoretical predictions is in ranges of 0.44% to 0.12% (ND) and 0.55%~1.09% (PD).
The errors between linear theoretical predictions and nonlinear finite element analysis can be attributed to two factors. On the one hand, the errors arise from the difference between the theoretical model and FEM as described in Section 5.1 and Section 5.2. On the other hand, the errors are caused by geometric nonlinear analysis, which varies with the simulated input conditions. For large deformations, such as those shown in Figure 12, the errors due to geometric nonlinearity are clearly the main source. However, the errors between nonlinear theoretical predictions and numerical simulation appear as almost horizontal lines, indicating that the effect of geometric nonlinearity is eliminated. Therefore, it can be explained that SPM is not affected by geometric nonlinearity.

6. Conclusions

In this paper, a novel variable-dimension accordion honeycomb aimed at achieving circumferential deformation was proposed. To describe the honeycomb configuration, six independent parameters were selected, and two types of markings, m , n and i , j , were defined. The variable-dimension geometric models of the m , n honeycomb were evaluated based on two properties similar to triangles.
The mechanical properties of the unit cell and honeycomb were analyzed using theoretical methods and validated by finite element analysis. The numerical results confirm the validity of the proposed methods (SPM). The results show that the circumferential stiffness of unit cells is mainly affected by the angle θ , and the errors between theoretical predictions and numerical simulation decrease with an increase in θ . For the m , n honeycomb, the stiffness results calculated by SPM are consistent with finite element analysis results while the number of the unit cells in the circumferential direction is relatively small, and the reasons are analyzed by comparing the degrees of freedom between theoretical models and FEM. The honeycomb exhibits a zero Poisson ratio by calculating the displacements of cell walls in the radial direction. Moreover, it is also possible to identify that geometric nonlinearity has no effect on SPM, and the errors between nonlinear theoretical predictions and nonlinear analysis are only 0.12% and 1.09% while the strains are −0.2 and 0.2, respectively.
The novel structure that can achieve circumferential deformation has a wide range of application prospects, such as the morphing skin or the deformable load-bearing structure for aircraft, offering the ability to optimize aerodynamic performance and reduce drag under various flight conditions. On the other hand, the honeycomb can be incorporated into implantable devices, adapting to the shape changes of blood vessels while providing stable support, making them highly relevant for cardiovascular stent design.

Author Contributions

Conceptualization, H.Z.; Methodology, H.Z. and X.L.; Software, H.Z. and X.L.; Validation, J.Y. (Jiayuan Yang) and J.Y. (Jingsong Yang); Investigation, J.Y. (Jingsong Yang); Data curation, J.Y. (Jiayuan Yang) and J.Y. (Jingsong Yang); Writing—original draft, H.Z. and X.L.; Writing—review & editing, H.Z. and X.L.; Supervision, J.Y. (Jiayuan Yang). All authors have read and agreed to the published version of the manuscript.

Funding

This research was supported by the National Natural Science Foundation of China under Grant No. U20B2028.

Institutional Review Board Statement

Not applicable.

Informed Consent Statement

Not applicable.

Data Availability Statement

The data presented in this study are available on request from the corresponding author. The data are not publicly available due to privacy.

Conflicts of Interest

The authors declare no conflict of interest.

References

  1. Hajjari, M.; Jafari Nedoushan, R.; Dastan, T.; Sheikhzadeh, M.; Yu, W.-R. Lightweight Weft-Knitted Tubular Lattice Composite for Energy Absorption Applications: An Experimental and Numerical Study. Int. J. Solids Struct. 2021, 213, 77–92. [Google Scholar] [CrossRef]
  2. Abedi, M.M.; Jafari Nedoushan, R.; Sheikhzadeh, M.; Yu, W.-R. The Crashworthiness Performance of Thin-Walled Ultralight Braided Lattice Composite Columns: Experimental and Finite Element Study. Compos. Part B Eng. 2020, 202, 108413. [Google Scholar] [CrossRef]
  3. Jafari Nedoushan, R. Improvement of Energy Absorption of Expanded Metal Tubular Structures under Compressive Loads. Thin-Walled Struct. 2020, 157, 107058. [Google Scholar] [CrossRef]
  4. Schaedler, T.A.; Carter, W.B. Architected Cellular Materials. Annu. Rev. Mater. Res. 2016, 46, 187–210. [Google Scholar] [CrossRef]
  5. Montgomery-Liljeroth, E.; Schievano, S.; Burriesci, G. Elastic Properties of 2D Auxetic Honeycomb Structures—A Review. Appl. Mater. Today 2023, 30, 101722. [Google Scholar] [CrossRef]
  6. Alderson, A.; Alderson, K.L. Auxetic Materials. Proc. Inst. Mech. Eng. Part G J. Aerosp. Eng. 2007, 221, 565–575. [Google Scholar] [CrossRef]
  7. Evans, K.E. The Design of Doubly Curved Sandwich Panels with Honeycomb Cores. Compos. Struct. 1991, 17, 95–111. [Google Scholar] [CrossRef]
  8. Barbarino, S.; Bilgen, O.; Ajaj, R.M.; Friswell, M.I.; Inman, D.J. A Review of Morphing Aircraft. J. Intell. Mater. Syst. Struct. 2011, 22, 823–877. [Google Scholar] [CrossRef]
  9. Olympio, K.R.; Gandhi, F. Flexible Skins for Morphing Aircraft Using Cellular Honeycomb Cores. J. Intell. Mater. Syst. Struct. 2010, 21, 1719–1735. [Google Scholar] [CrossRef]
  10. Olympio, K.R.; Gandhi, F. Zero Poisson’s Ratio Cellular Honeycombs for Flex Skins Undergoing One-Dimensional Morphing. J. Intell. Mater. Syst. Struct. 2010, 21, 1737–1753. [Google Scholar] [CrossRef]
  11. Olympio, K.R.; Gandhi, F.; Asheghian, L.; Kudva, J. Design of a Flexible Skin for a Shear Morphing Wing. J. Intell. Mater. Syst. Struct. 2010, 21, 1755–1770. [Google Scholar] [CrossRef]
  12. Gatt, R.; Caruana-Gauci, R.; Attard, D.; Casha, A.R.; Wolak, W.; Dudek, K.; Mizzi, L.; Grima, J.N. On the Properties of Real Finite-Sized Planar and Tubular Stent-like Auxetic Structures. Phys. Status Solidi B 2014, 251, 321–327. [Google Scholar] [CrossRef]
  13. Karnessis, N.; Burriesci, G. Uniaxial and Buckling Mechanical Response of Auxetic Cellular Tubes. Smart Mater. Struct. 2013, 22, 084008. [Google Scholar] [CrossRef]
  14. Luo, C.; Han, C.Z.; Zhang, X.Y.; Zhang, X.G.; Ren, X.; Xie, Y.M. Design, Manufacturing and Applications of Auxetic Tubular Structures: A Review. Thin-Walled Struct. 2021, 163, 107682. [Google Scholar] [CrossRef]
  15. Amin, F.; Ali, M.N.; Ansari, U.; Mir, M.; Minhas, M.A.; Shahid, W. Auxetic Coronary Stent Endoprosthesis: Fabrication and Structural Analysis. J. Appl. Biomater. Funct. Mater. 2015, 13, 127–135. [Google Scholar] [CrossRef]
  16. Gibson, L.J.; Ashby, M.F.; Schajer, G.S.; Robertson, C.I. The Mechanics of Two-Dimensional Cellular Materials. Proc. R. Soc. Lond. A Math. Phys. Sci. 1982, 382, 25–42. [Google Scholar]
  17. Almgrenm, R.F. An Isotropic Three-Dimensional Structure with Poisson’s Ratio = −1. J. Elast. 1985, 15, 427–430. [Google Scholar]
  18. Chen, Y.J.; Scarpa, F.; Liu, Y.J.; Leng, J.S. Elasticity of Anti-Tetrachiral Anisotropic Lattices. Int. J. Solids Struct. 2013, 50, 996–1004. [Google Scholar] [CrossRef]
  19. Lira, C.; Scarpa, F.; Tai, Y.H.; Yates, J.R. Transverse Shear Modulus of SILICOMB Cellular Structures. Compos. Sci. Technol. 2011, 71, 1236–1241. [Google Scholar] [CrossRef]
  20. Scarpa, F.; Tomlin, P.J. On the Transverse Shear Modulus of Negative Poisson’s Ratio Honeycomb Structures. Fatigue Fract. Eng. Mater. Struct. 2000, 23, 717–720. [Google Scholar] [CrossRef]
  21. Scarpa, F.; Tomlinson, G. Theoretical Characteristics Of The Vibration Of Sandwich Plates With In-Plane Negative Poisson’s Ratio Values. J. Sound Vib. 2000, 230, 45–67. [Google Scholar] [CrossRef]
  22. Lorato, A.; Innocenti, P.; Scarpa, F.; Alderson, A.; Alderson, K.; Zied, K.; Ravirala, N.; Miller, W.; Smith, C.; Evans, K. The Transverse Elastic Properties of Chiral Honeycombs. Compos. Sci. Technol. 2010, 70, 1057–1063. [Google Scholar] [CrossRef]
  23. Prall, D.; Lakes, R.S. Properties of a Chiral Honeycomb with a Poisson’s Ratio of -1. Int. J. Mech. Sci. 1997, 39, 305–314. [Google Scholar] [CrossRef]
  24. Bornengo, D.; Scarpa, F.; Remillat, C. Evaluation of Hexagonal Chiral Structure for Morphing Airfoil Concept. Proc. Inst. Mech. Eng. Part G J. Aerosp. Eng. 2005, 219, 185–192. [Google Scholar] [CrossRef]
  25. Larsen, U.D.; Sigmund, O.; Bouwstra, S. Design and Fabrication of Compliant Micromechanisms and Structures with Negative Poisson’s Ratio. J. Microelectromech. Syst. 1997, 6, 99–106. [Google Scholar] [CrossRef]
  26. Guo, M.F.; Yang, H.; Ma, L. Design and Analysis of 2D Double-U Auxetic Honeycombs. Thin-Walled Struct. 2020, 155, 106915. [Google Scholar] [CrossRef]
  27. Grima, J.N.; Gatt, R.; Alderson, A.; Evans, K.E. On the Potential of Connected Stars as Auxetic Systems. Mol. Simul. 2005, 31, 925–935. [Google Scholar] [CrossRef]
  28. Theocaris, P.S.; Stavroulakis, G.E.; Panagiotopoulos, P.D. Negative Poisson’s Ratios in Composites with Star-Shaped Inclusions: A Numerical Homogenization Approach. Arch. Appl. Mech. 1997, 67, 274–286. [Google Scholar] [CrossRef]
  29. Olympio, K.; Gandhi, F. Zero-v Cellular Honeycomb Flexible Skins for One-Dimensional Wing Morphing. In Proceedings of the 48th AIAA/ASME/ASCE/AHS/ASC Structures, Structural Dynamics, and Materials Conference, Honolulu, HI, USA, 23–26 April 2007; American Institute of Aeronautics and Astronautics: Reston, VA, USA, 2007. [Google Scholar]
  30. Bubert, E.A.; Woods, B.K.; Lee, K.; Kothera, C.S.; Wereley, N.M. Design and Fabrication of a Passive 1D Morphing Aircraft Skin. J. Intell. Mater. Syst. Struct. 2010, 21, 1699–1717. [Google Scholar] [CrossRef]
  31. Liu, W.; Li, H.; Zhang, J. Elastic Properties of a Cellular Structure with In-Plane Corrugated Cosine Beams. Compos. Struct. 2017, 180, 251–262. [Google Scholar] [CrossRef]
  32. Liu, W.; Li, H.; Zhang, J.; Li, H. Theoretical Analysis on the Elasticity of a Novel Accordion Cellular Honeycomb Core with In-Plane Curved Beams. J. Sandw. Struct. Mater. 2020, 22, 702–727. [Google Scholar] [CrossRef]
Figure 1. Geometric parameters of the honeycomb cell.
Figure 1. Geometric parameters of the honeycomb cell.
Applsci 14 11258 g001
Figure 2. Geometry of the {4,3} honeycomb.
Figure 2. Geometry of the {4,3} honeycomb.
Applsci 14 11258 g002
Figure 3. Deformation mode of the honeycomb.
Figure 3. Deformation mode of the honeycomb.
Applsci 14 11258 g003
Figure 4. The local coordinate systems of beam CE and corresponding forces and moments.
Figure 4. The local coordinate systems of beam CE and corresponding forces and moments.
Applsci 14 11258 g004
Figure 5. The local coordinate systems of beam AE and corresponding forces and moments.
Figure 5. The local coordinate systems of beam AE and corresponding forces and moments.
Applsci 14 11258 g005
Figure 6. Parallel spring equivalent diagram.
Figure 6. Parallel spring equivalent diagram.
Applsci 14 11258 g006
Figure 7. Series spring equivalent diagram.
Figure 7. Series spring equivalent diagram.
Applsci 14 11258 g007
Figure 8. FEM and theoretical predictions of circumferential stiffness k 11 vs. ϕ and θ .
Figure 8. FEM and theoretical predictions of circumferential stiffness k 11 vs. ϕ and θ .
Applsci 14 11258 g008
Figure 9. FEM and theoretical predictions of circumferential stiffness k m n vs. m and n : (a) stiffness; (b) relative error.
Figure 9. FEM and theoretical predictions of circumferential stiffness k m n vs. m and n : (a) stiffness; (b) relative error.
Applsci 14 11258 g009
Figure 10. FEM simulation for the Poisson ratio v vs. m and n .
Figure 10. FEM simulation for the Poisson ratio v vs. m and n .
Applsci 14 11258 g010
Figure 11. The Mises stress contour of the 4 , 3 honeycomb with ε = 0.02 .
Figure 11. The Mises stress contour of the 4 , 3 honeycomb with ε = 0.02 .
Applsci 14 11258 g011
Figure 12. FEM and theoretical predictions of circumferential stiffness k 52 vs. ε : (a) R M 3 ε ; (b) relative error.
Figure 12. FEM and theoretical predictions of circumferential stiffness k 52 vs. ε : (a) R M 3 ε ; (b) relative error.
Applsci 14 11258 g012
Table 1. Default parameters of the unit cell.
Table 1. Default parameters of the unit cell.
PropertiesValue
θ 7.5°
ϕ 60°
p 0.7
r 0 200 mm
t 1 mm
H 5 mm
Table 2. The nonlinear analysis stiffnesses of five unit cells vs. ε .
Table 2. The nonlinear analysis stiffnesses of five unit cells vs. ε .
ε
k 1
k 2
k 3
k 4
k 5
NDPDNDPDNDPDNDPDNDPD
0.0229,202.6729,900.5521,046.9421,556.1015,172.6615,533.8610,935.2711,195.627881.108068.75
0.0428,881.4030,285.2820,818.2721,821.8215,004.9015,728.3510,814.3611,335.827793.968169.80
0.0628,573.8530,666.4720,596.5522,105.5214,845.0715,932.8910,699.1611,483.267710.928276.07
0.0828,280.7131,080.3620,385.2222,404.0514,692.7516,148.1410,589.3711,638.437631.738387.98
0.1028,001.2331,516.1520,183.7722,718.4214,547.5416,374.8110,484.6611,801.887556.018506.05
0.1227,734.7231,975.3819,991.6723,049.7114,409.0616,613.7310,384.6911,974.277483.098631.17
0.1427,480.5432,459.7019,808.4723,399.1514,276.9416,865.7910,289.0312,156.437415.918760.72
0.1627,238.1032,970.9619,633.7223,768.0914,150.8117,132.0410,197.0612,349.427350.528898.96
0.1827,006.8633,511.2019,467.0224,158.0114,030.2417,413.6610,112.5512,554.677288.179045.06
0.2026,786.2934,082.7219,307.9524,570.6213,914.7617,712.0710,030.0412,764.597228.719199.65
Disclaimer/Publisher’s Note: The statements, opinions and data contained in all publications are solely those of the individual author(s) and contributor(s) and not of MDPI and/or the editor(s). MDPI and/or the editor(s) disclaim responsibility for any injury to people or property resulting from any ideas, methods, instructions or products referred to in the content.

Share and Cite

MDPI and ACS Style

Zhang, H.; Li, X.; Yang, J.; Yang, J. An Innovative Adaptive-Dimension Accordion Honeycomb for Circumferential Deformation. Appl. Sci. 2024, 14, 11258. https://doi.org/10.3390/app142311258

AMA Style

Zhang H, Li X, Yang J, Yang J. An Innovative Adaptive-Dimension Accordion Honeycomb for Circumferential Deformation. Applied Sciences. 2024; 14(23):11258. https://doi.org/10.3390/app142311258

Chicago/Turabian Style

Zhang, Hairui, Xianhang Li, Jiayuan Yang, and Jingsong Yang. 2024. "An Innovative Adaptive-Dimension Accordion Honeycomb for Circumferential Deformation" Applied Sciences 14, no. 23: 11258. https://doi.org/10.3390/app142311258

APA Style

Zhang, H., Li, X., Yang, J., & Yang, J. (2024). An Innovative Adaptive-Dimension Accordion Honeycomb for Circumferential Deformation. Applied Sciences, 14(23), 11258. https://doi.org/10.3390/app142311258

Note that from the first issue of 2016, this journal uses article numbers instead of page numbers. See further details here.

Article Metrics

Back to TopTop