Synthesis of Ce-Based RE2Fe14B by Solid-State Reaction and Reduction-Diffusion Process
Abstract
1. Introduction
2. Materials and Methods
3. Results and Discussion
3.1. Preparation of REFeO3 Precursor
3.2. Synthesis of 2-14-1 Phase Through Reduction-Diffusion Process
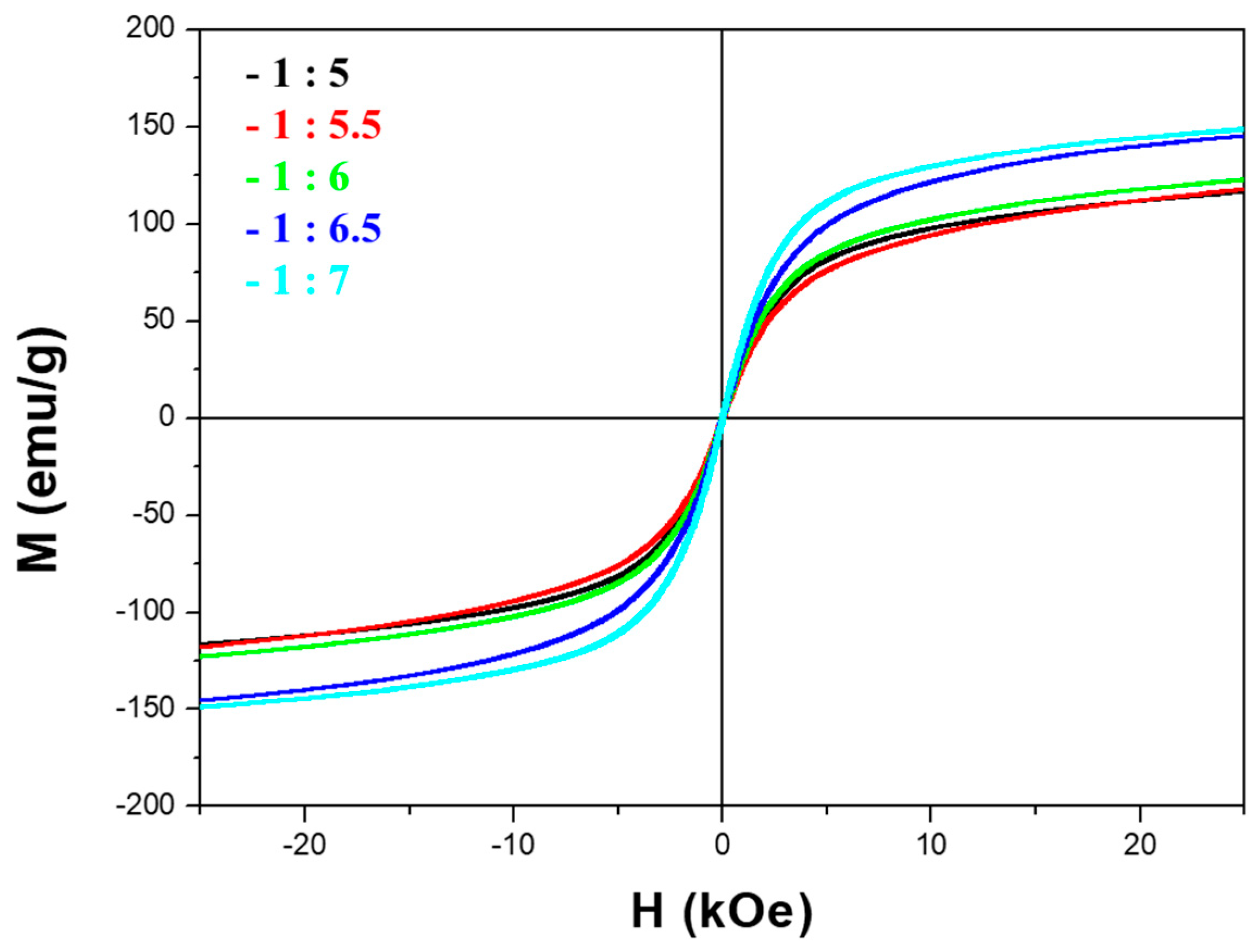
3.3. Magnetic Properties and Microstructure of Ce 2-14-1 Magnetic Particles
4. Conclusions
Author Contributions
Funding
Institutional Review Board Statement
Informed Consent Statement
Data Availability Statement
Conflicts of Interest
References
- Coey, J.M. Permanent magnet applications. J. Magn. Magn. Mater. 2002, 248, 441–456. [Google Scholar] [CrossRef]
- Matsuura, Y. Recent development of Nd–Fe–B sintered magnets and their applications. J. Magn. Magn. Mater. 2006, 303, 344–347. [Google Scholar] [CrossRef]
- Gutfleisch, O.; Willard, M.A.; Brück, E.; Chen, C.H.; Sankar, S.G.; Liu, J.P. Magnetic materials and devices for the 21st century: Stronger, lighter, and more energy efficient. Adv. Mater. 2011, 23, 821–842. [Google Scholar] [CrossRef]
- McCallum, R.; Lewis, L.; Skomski, R.; Kramer, M.; Anderson, I. Practical aspects of modern and future permanent magnets. Annu. Rev. Mater. Res. 2014, 44, 451–477. [Google Scholar] [CrossRef]
- Chen, R.; Xia, X.; Tang, X.; Yan, A. Significant Progress for Hot-Deformed Nd-Fe-B Magnets: A Review. Materials 2023, 16, 4789. [Google Scholar] [CrossRef]
- Kumari, A.; Sahu, S.K. A comprehensive review on recycling of critical raw materials from spent neodymium iron boron (NdFeB) magnet. Sep. Purif. Technol. 2023, 317, 123527. [Google Scholar] [CrossRef]
- Liao, X.; Zhao, L.; Zhang, J.; Xu, K.; Zhou, B.; Yu, H.; Zhang, X.; Greneche, J.M.; Aubert, A.; Skokov, K.; et al. Textured (Ce, La, Y)–Fe–B permanent magnets by hot deformation. J. Mater. Res. Technol. 2022, 17, 1459–1468. [Google Scholar] [CrossRef]
- Li, A.-H.; Xi, L.-L.; Feng, H.-B.; Zou, N.; Tan, M.; Zhu, M.-G.; Li, W. Development of Ce-based sintered magnets: Review and prospect. J. Iron Steel Res. Int. 2020, 27, 1–11. [Google Scholar] [CrossRef]
- He, J.; Zhou, B.; Liao, X.; Liu, Z. Nanocrystalline alternative rare earth-iron-boron permanent magnets without Nd, Pr, Tb and Dy: A review. J. Mater. Res. Technol. 2023, 28, 2535–2551. [Google Scholar] [CrossRef]
- Dong, X.; Kim, B.K.; Choi, C.J.; Park, K.S.; Zhang, Z.D. Synthesis of Nd 2 Fe 14 B powders by spray-drying and reduction–diffusion processes. J. Mater. Res. 2001, 16, 1083–1089. [Google Scholar] [CrossRef]
- Chen, C.-Q.; Kim, D.; Choi, C. Influence of Ca amount on the synthesis of Nd2Fe14B particles in reduction–diffusion process. J. Magn. Magn. Mater. 2014, 355, 180–183. [Google Scholar] [CrossRef]
- Wang, Y.; Ahn, J.; Kim, D.; Ren, W.; Liu, W.; Zhang, Z.; Choi, C. Effect of washing process on the magnetic properties of Nd-Fe-B nanoparticles prepared by reduction-diffusion method. J. Magn. Magn. Mater. 2017, 439, 91–94. [Google Scholar] [CrossRef]
- Galkin, V.; Kuchi, R.; Kim, S.; Jeong, J.-R.; Kim, T.-H.; Baek, Y.-K.; Kim, D. Nd-Fe-B particles with reduced oxygen content and enhanced magnetic properties prepared through reduction-diffusion and novel washing process. J. Magn. Magn. Mater. 2023, 578, 170832. [Google Scholar] [CrossRef]
- Guo, Y.; You, J.; Pei, W.; Qu, Y.; Zhao, D.; Yang, Z. Effect of (C2H5)3NBH3 content on microstructure and properties of Nd-Fe-B nanoparticles prepared by chemical and reduction-diffusion method. J. Alloy. Compd. 2019, 777, 850–859. [Google Scholar] [CrossRef]
- Deheri, P.; Shukla, S.; Ramanujan, R. The reaction mechanism of formation of chemically synthesized Nd2Fe14B hard magnetic nanoparticles. J. Solid State Chem. 2012, 186, 224–230. [Google Scholar] [CrossRef]
- Guo, Y.; Zhao, D.; You, J.; Pei, W.; Qu, Y.; Wang, X.; Meng, Q. Evolution of microstructure and formation mechanism of Nd-Fe-B nanoparticles prepared by low energy consumption chemical method. RSC Adv. 2018, 8, 38850–38859. [Google Scholar] [CrossRef]
- Km, C.; Km, Y.H.; Cha, H.G.; Kang, Y.S. Study on synthesis and magnetic properties of Nd–Fe–B alloy via reduction–diffusion process. Phys. Scr. 2007, 2007, 321. [Google Scholar] [CrossRef]
- Abdurakhmonov, O.; Sharopov, U.; Abdurakhmonov, S.E.; Kadirova, Z.C. New method of chemical synthesis for nanostructured Nd-Fe-B alloy. J. Magn. Magn. Mater. 2023, 589, 171562. [Google Scholar] [CrossRef]
- Kumar, A.; Dutta, S.; Kim, S.; Kwon, T.; Patil, S.S.; Kumari, N.; Jeevanandham, S.; Lee, I.S. Solid-state reaction synthesis of nanoscale materials: Strategies and applications. Chem. Rev. 2022, 122, 12748–12863. [Google Scholar] [CrossRef]
- Jiang, Q.; Zhong, Z. Research and development of Ce-containing Nd2Fe14B-type alloys and permanent magnetic materials. J. Mater. Sci. Technol. 2017, 33, 1087–1096. [Google Scholar] [CrossRef]
- Chuang, Y.; Wu, C.; Shao, Z. Investigation of the Ce–Fe binary system. J. Less Common Met. 1987, 136, 147–153. [Google Scholar] [CrossRef]
- Liu, W.; Zhang, Z.; Yue, M.; Li, Z.; Zhang, D.; Zhang, H. Effects of La substitution on the crystal structure and magnetization of MM-Fe-B alloy (MM = La, Ce, Pr, Nd). J. Magn. Magn. Mater. 2018, 464, 61–64. [Google Scholar] [CrossRef]
- Zhang, J.; Zhao, L.; Liao, X.; Zeng, H.; Peng, D.; Yu, H.; Zhong, X.; Liu, Z. Suppressing the CeFe2 phase formation and improving the coercivity and thermal stability of Ce-Fe-B alloys by Si substitution. Intermetallics 2019, 107, 75–80. [Google Scholar] [CrossRef]
- Tang, X.; Sepehri-Amin, H.; Ohkubo, T.; Yano, M.; Ito, M.; Kato, A.; Sakuma, N.; Shoji, T.; Schrefl, T.; Hono, K. Coercivity enhancement of hot-deformed Ce-Fe-B magnets by grain boundary infiltration of Nd-Cu eutectic alloy. Acta Mater. 2018, 144, 884–895. [Google Scholar] [CrossRef]
- Lee, J.S.; Cha, J.M.; Yoon, H.Y.; Lee, J.-K.; Kim, Y.K. Magnetic multi-granule nanoclusters: A model system that exhibits universal size effect of magnetic coercivity. Sci. Rep. 2015, 5, 12135. [Google Scholar] [CrossRef]









| Ce:Fe | M at 2.6 T (emu/g) | Hc (Oe) |
|---|---|---|
| 1:5 | 117.2 | 86.5 |
| 1:5.5 | 118.5 | 85.7 |
| 1:6 | 123.5 | 89.9 |
| 1:6.5 | 146.1 | 87.0 |
| 1:7 | 150.0 | 72.7 |
Disclaimer/Publisher’s Note: The statements, opinions and data contained in all publications are solely those of the individual author(s) and contributor(s) and not of MDPI and/or the editor(s). MDPI and/or the editor(s) disclaim responsibility for any injury to people or property resulting from any ideas, methods, instructions or products referred to in the content. |
© 2024 by the authors. Licensee MDPI, Basel, Switzerland. This article is an open access article distributed under the terms and conditions of the Creative Commons Attribution (CC BY) license (https://creativecommons.org/licenses/by/4.0/).
Share and Cite
Lee, S.; Lee, K.; Kang, Y.-M.; Lee, J.-W.; Park, J.; Yoo, S.-I.; Park, C. Synthesis of Ce-Based RE2Fe14B by Solid-State Reaction and Reduction-Diffusion Process. Appl. Sci. 2024, 14, 11253. https://doi.org/10.3390/app142311253
Lee S, Lee K, Kang Y-M, Lee J-W, Park J, Yoo S-I, Park C. Synthesis of Ce-Based RE2Fe14B by Solid-State Reaction and Reduction-Diffusion Process. Applied Sciences. 2024; 14(23):11253. https://doi.org/10.3390/app142311253
Chicago/Turabian StyleLee, Sunwoo, Kanghyuk Lee, Young-Min Kang, Jung-Woo Lee, Jihoon Park, Sang-Im Yoo, and Chan Park. 2024. "Synthesis of Ce-Based RE2Fe14B by Solid-State Reaction and Reduction-Diffusion Process" Applied Sciences 14, no. 23: 11253. https://doi.org/10.3390/app142311253
APA StyleLee, S., Lee, K., Kang, Y.-M., Lee, J.-W., Park, J., Yoo, S.-I., & Park, C. (2024). Synthesis of Ce-Based RE2Fe14B by Solid-State Reaction and Reduction-Diffusion Process. Applied Sciences, 14(23), 11253. https://doi.org/10.3390/app142311253

