Evaluation of Environmental Radiation Exposure and Algorithms for Determining the Occupational Effective Dose During 99mTc-MDP Bone Scintigraphy: A Comprehensive Analysis
Abstract
1. Introduction
2. Materials and Methods
2.1. Environmental Dose Rate Measurements During 99mTc-MDP Bone Scintigraphy Procedure: Assessment of Radiation Dose in Nuclear Medicine Center Controlled Areas
2.2. Anthropomorphic Phantom Study on the Dose-Response and Time Dependency of OSL Dosimeters in 99mTc-MDP Bone Scintigraphy
2.3. Occupational Effective Dose Estimation During Different Steps of 99mTc-MDP Bone Scintigraphy Procedure: A Single Dosimetry Evaluation
2.3.1. Effective Dose Estimation in Occupational Exposure: Algorithm by Aalbersberg et al.
2.3.2. Effective Dose Estimation in Occupational Exposure: Algorithm by Netherlands Commission on Radiation Dosimetry (NCS)
2.4. Occupational Effective Dose Estimation During Different Steps of 99mTc-MDP Bone Scintigraphy Procedure: A Double Dosimetry Evaluation
2.4.1. Effective Dose Estimation in Occupational Exposure: Algorithm by Padovani et al.
2.4.2. Effective Dose Estimation in Occupational Exposure: Algorithms by ICRP 60 and ICRP 103
- ICRP 60 Algorithm: the effective dose estimation based on ICRP 60 recommendations is calculated using the following equations:
- With thyroid protection:
- Without thyroid protection:
- 2.
- ICRP 103 Algorithm: following the updated recommendations in ICRP 103, the effective dose is calculated as follows:
- With thyroid protection:
- Without thyroid protection:
2.4.3. Effective Dose Estimation in Occupational Exposure: Algorithm by National Council on Radiation Protection and Measurements (NCRP)
2.4.4. Effective Dose Estimation in Occupational Exposure: Algorithm by Clerinx et al.
2.5. Evaluation of Occupational Effective Dose Distribution in Various Body Parts During 99mTc-MDP Bone Scintigraphy Procedures
2.6. Statistical Analysis
3. Results
3.1. Environmental Dose Rate Measurements During 99mTc-MDP Bone Scintigraphy Procedure: Assessment of Radiation Dose in Nuclear Medicine Controlled Areas
3.1.1. Environmental Radiation Exposure in the 99mTc-MDP Bone Scintigraphy Workplaces
3.1.2. Assessment of Environmental Radiation Exposure in Nuclear Medicine Controlled Areas During 99mTc-MDP Bone Scintigraphy Procedure
3.2. Time and Dose-Response Dependencies of OSL Dosimeters in the 99mTc-MDP Bone Scintigraphy: An Anthropomorphic Phantom Study
3.3. Occupational Effective Dose Estimation During Different Steps of 99mTc-MDP Bone Scintigraphy Procedure: A Single Dosimetry Algorithm Evaluation
3.3.1. Aalbersberg et al. Occupational Effective Dose Estimation Algorithm [22]
3.3.2. Netherlands Commission on Radiation Dosimetry (NCS) Occupational Effective Dose Estimation Algorithm [40]
3.4. Occupational Effective Dose Estimation During Different Steps of 99mTc-MDP Bone Scintigraphy Procedure: A Double Dosimetry Algorithm Evaluation
3.4.1. Padovani et al. Occupational Effective Dose Estimation Algorithm [24,25]
3.4.2. ICRP 60 and ICRP 103 Occupational Effective Dose Estimation Algorithm
3.4.3. National Council on Radiation Protection and Measurements (NCRP) Occupational Effective Dose Estimation Algorithm
3.4.4. Clerinx et al. Occupational Effective Dose Estimation Algorithm [33]
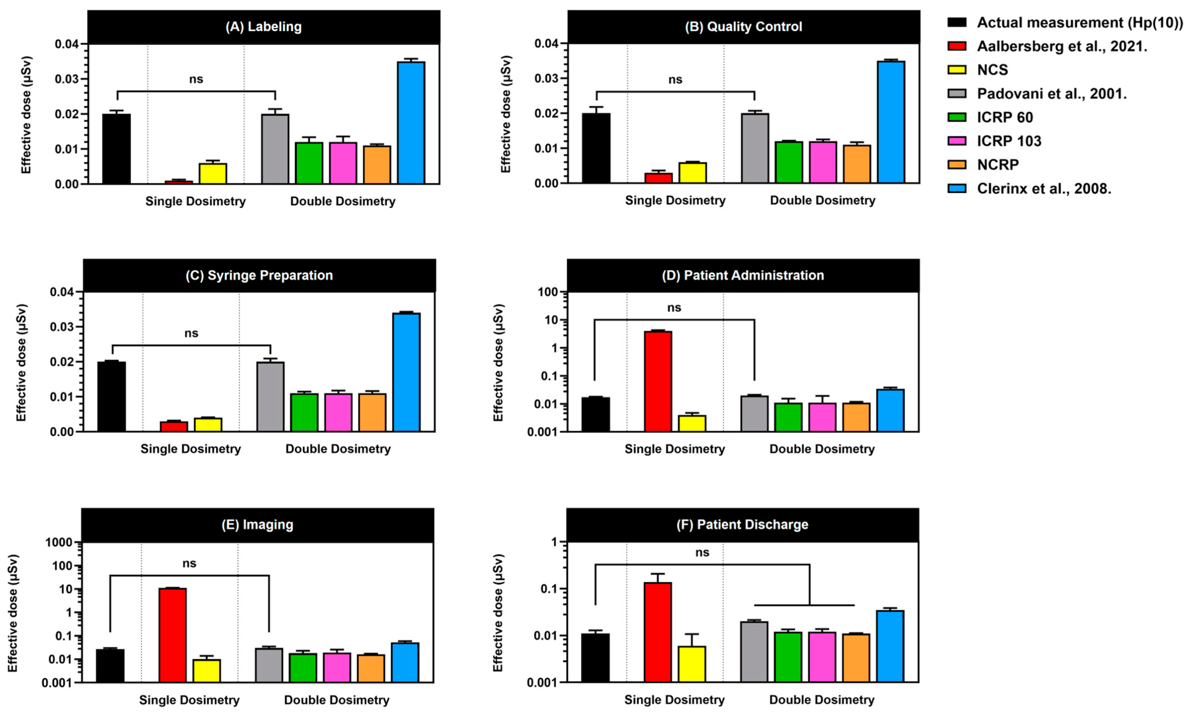
3.4.5. Comparison of Dosimetry Algorithms for Estimating the Occupational Effective Dose for Staff During Different Steps of 99mTc-MDP Bone Scintigraphy: A Single vs. Double Dosimetry Evaluation
3.5. Actual Occupational Effective Dose Measurement at Various Body Parts During 99mTc-MDP Bone Scintigraphy Procedure
4. Discussion and Summary
- Pharmacists: spent 48.30% of the total time on preparation but received only 0.04% of the total occupational effective dose. Focus should be on improving workflow efficiency rather than radiation safety.
- Nurses: spent 7.70% of the time but received 26.01% of the total occupational effective dose due to proximity during administration. Strict adherence to radiation safety protocols and enhanced radiation protection is crucial to reduce exposure.
- Radiological technologists and radiological technologist assistants: spent 39.36% of the time and received 73.05% of the total radiation dose, indicating the highest exposure. Enhanced protective measures, avoiding exposure, ALARA, and optimized imaging techniques are needed.
5. Conclusions
Author Contributions
Funding
Institutional Review Board Statement
Informed Consent Statement
Data Availability Statement
Acknowledgments
Conflicts of Interest
References
- Salih, S.; Alkatheeri, A.; Alomaim, W.; Elliyanti, A. Radiopharmaceutical Treatments for Cancer Therapy, Radionuclides Characteristics, Applications, and Challenges. Molecules 2022, 27, 5231. [Google Scholar] [CrossRef] [PubMed]
- Gudkov, S.V.; Shilyagina, N.Y.; Vodeneev, V.A.; Zvyagin, A.V. Targeted Radionuclide Therapy of Human Tumors. Int. J. Mol. Sci. 2015, 17, 33. [Google Scholar] [CrossRef] [PubMed]
- Crișan, G.; Moldovean-Cioroianu, N.S.; Timaru, D.-G.; Andrieș, G.; Căinap, C.; Chiș, V. Radiopharmaceuticals for PET and SPECT Imaging: A Literature Review over the Last Decade. Int. J. Mol. Sci. 2022, 23, 5023. [Google Scholar] [CrossRef] [PubMed]
- World Health Organization. Global Cancer Burden Growing, Amidst Mounting Need for Services. 2024. Available online: https://www.who.int/news/item/01-02-2024-global-cancer-burden-growing--amidst-mounting-need-for-services (accessed on 25 May 2024).
- Lawal, I.O.; Abubakar, S.O.; Ndlovu, H.; Mokoala, K.M.; More, S.S.; Sathekge, M.M. Advances in Radioligand Theranostics in Oncology. Mol. Diagn. Ther. 2024, 28, 1–25. [Google Scholar] [CrossRef]
- Song, Y.; Zou, J.; Castellanos, E.A.; Matsuura, N.; Ronald, J.A.; Shuhendler, A.; Weber, W.A.; Gilad, A.A.; Müller, C.; Witney, T.H. Theranostics—A Sure Cure for Cancer after 100 Years? Theranostics 2024, 14, 2464. [Google Scholar] [CrossRef]
- Council, N.R. BEIR VII: Health risks from exposure to low levels of ionizing radiation: Report in brief. InNatl Acad. 2006, 93, 93. [Google Scholar]
- Little, M.P.; Azizova, T.V.; Richardson, D.B.; Tapio, S.; Bernier, M.-O.; Kreuzer, M.; Cucinotta, F.A.; Bazyka, D.; Chumak, V.; Ivanov, V.K. Ionising Radiation and Cardiovascular Disease: Systematic Review and Meta-Analysis. BMJ 2023, 380, e072924. [Google Scholar] [CrossRef]
- Ahmad, I.M.; Abdalla, M.Y.; Moore, T.A.; Bartenhagen, L.; Case, A.J.; Zimmerman, M.C. Healthcare Workers Occupationally Exposed to Ionizing Radiation Exhibit Altered Levels of Inflammatory Cytokines and Redox Parameters. Antioxidants 2019, 8, 12. [Google Scholar] [CrossRef]
- Nakamura, H.; Takada, K. Reactive Oxygen Species in Cancer: Current Findings and Future Directions. Cancer Sci. 2021, 112, 3945–3952. [Google Scholar] [CrossRef]
- Ding, Y.; Pan, Q.; Gao, W.; Pu, Y.; Luo, K.; He, B. Reactive Oxygen Species-Upregulating Nanomedicines Towards Enhanced Cancer Therapy. Biomater. Sci. 2023, 11, 1182–1214. [Google Scholar] [CrossRef]
- IAEA. Radiation Protection and Safety of Radiation Sources: International Basic Safety Standards; Safety Standards Series No. GSR Part 3; International Atomic Energy Agency: Vienna, Austria, 2014; ISBN 978-92-0-135310-8. [Google Scholar]
- International Commission on Radiological Protection. General Principles for the Radiation Protection of Workers; Pergamon Press: Oxford, UK, 1997; ISBN 0-08-042741-3. [Google Scholar]
- Dietze, G. Dosimetric Concepts and Calibration of Instruments. In Proceedings of the IRPA, Hiroshima, Japan, 14–19 May 2000; Volume 10, pp. 1–23. [Google Scholar]
- Fogh, C.L.; Byrne, M.A.; Andersson, K.G.; Bell, K.F.; Roed, J.; Goddard, A.J.H.; Vollmair, D.V.; Hotchkiss, S.A.M. Quantitative Measurement of Aerosol Deposition on Skin, Hair and Clothing for Dosimetric Assessment. Final Report; Risoe National Lab.: Roskilde, Denmark, 1999; ISBN 87-550-2446-7. [Google Scholar]
- Lawrence, E.B. Safety Reports Series No. 4—Planning the Medical Response to Radiological Accidents; IAEA: Vienna, Austria, 1999; ISBN 92-0-102598-X. [Google Scholar]
- Tabakov, S.; Milano, F.; Stoeva, M.S.; Sprawls, P.; Tipnis, S.; Underwood, T. Encyclopaedia of Medical Physics: Two Volume Set; CRC Press: Boca Raton, FL, USA, 2021; ISBN 0-429-95348-8. [Google Scholar]
- Furuta, H.; Tsujimura, N.; Nishide, A.; Kudo, S.; Saigusa, S. Conversion Factor from Dosemeter Reading to Air Kerma for Nuclear Worker Using Anthropomorphic Phantom for Further Conversion from Air Kerma to Organ-Absorbed Dose. Radiat. Prot. Dosim. 2020, 189, 371–383. [Google Scholar] [CrossRef] [PubMed]
- Hörnlund, M.; Bernhardsson, C. Organ Doses Determined Using a RANDO Phantom for Different Radionuclide Depositions and Photon Energies. In Medical Physics in the Baltic States 2013; Kaunas University of Technology: Kaunas, Lithuania, 2013; pp. 103–105. [Google Scholar]
- Hayashi, H.; Nakagawa, K.; Okino, H.; Takegami, K.; Okazaki, T.; Kobayashi, I. High Accuracy Measurements by Consecutive Readings of OSL Dosimeter. Med. Imaging Inf. Sci. 2014, 31, 28–34. [Google Scholar]
- Peplow, D.E. Specific Gamma-Ray Dose Constants with Current Emission Data. Health Phys. 2020, 118, 402–416. [Google Scholar] [CrossRef] [PubMed]
- Aalbersberg, E.A.; Verwoerd, D.; Mylvaganan-Young, C.; de Barros, H.A.; van Leeuwen, P.J.; Sonneborn-Bols, M.; Donswijk, M.L. Occupational Radiation Exposure of Radiopharmacy, Nuclear Medicine, and Surgical Personnel during Use of [99mTc] Tc-PSMA-I&S for Prostate Cancer Surgery. J. Nucl. Med. Technol. 2021, 49, 334–338. [Google Scholar]
- Rosenstein, M.; Webster, E.W. Effective Dose to Personnel Wearing Protective Aprons during Fluoroscopy and Interventional Radiology. Health Phys. 1994, 67, 54549. [Google Scholar]
- Padovani, R.; Rodella, C.A. Staff Dosimetry in Interventional Cardiology. Radiat. Prot. Dosim. 2001, 94, 99–103. [Google Scholar] [CrossRef]
- Padovani, R.; Foti, C.; Malisan, M.R. Staff Dosimetry Protocols in Interventional Radiology. Radiat. Prot. Dosim. 2001, 94, 193–197. [Google Scholar] [CrossRef]
- Niklason, L.T.; Marx, M.V.; Chan, H.-P. The Estimation of Occupational Effective Dose in Diagnostic Radiology with Two Dosimeters. Health Phys. 1994, 67, 611–615. [Google Scholar] [CrossRef]
- Foti, C.; Padovani, R.; Trianni, A.; Bokou, C.; Christofides, S.; Corbett, R.H.; Kepler, K.; Koreňová, Z.; Kosunen, A.; Malone, J. Staff Dosimetry in Interventional Cardiology: Survey on Methods and Level of Exposure. Radiat. Prot. Dosim. 2008, 129, 100–103. [Google Scholar] [CrossRef]
- Kim, K.P.; Miller, D.L.; Balter, S.; Kleinerman, R.A.; Linet, M.S.; Kwon, D.; Simon, S.L. Occupational Radiation Doses to Operators Performing Cardiac Catheterization Procedures. Health Phys. 2008, 94, 211–227. [Google Scholar] [CrossRef]
- Kim, K.P.; Miller, D.L.; De Gonzalez, A.B.; Balter, S.; Kleinerman, R.A.; Ostroumova, E.; Simon, S.L.; Linet, M.S. Occupational Radiation Doses to Operators Performing Fluoroscopically-Guided Procedures. Health Phys. 2012, 103, 80–99. [Google Scholar] [CrossRef] [PubMed]
- Alkhateeb, S.M.; Bamusa, A.; Almutairi, N.; Barayan, B.; Alamodi, H.; Alnadawi, F.; Alnowaimi, M. Effectiveness of Protective Thyroid Shield in Chest X-Ray Imaging. Radiat. Phys. Chem. 2023, 209, 110965. [Google Scholar] [CrossRef] [PubMed]
- Valentin, J. The 2007 Recommendations of the International Commission on Radiological Protection; Elsevier: Oxford, UK, 2007; Volume 37. [Google Scholar]
- Kim, C.H.; Cho, S.; Jeong, J.H.; Bolch, W.E.; Reece, W.D.; Poston Sr, J.W. Development of new two-dosimeter algorithm for effective dose in ICRP publication 103. Health Physics 2011, 100, 462–467. [Google Scholar] [CrossRef] [PubMed]
- Clerinx, P.; Buls, N.; Bosmans, H.; De Mey, J. Double-Dosimetry Algorithm for Workers in Interventional Radiology. Radiat. Prot. Dosim. 2008, 129, 321–327. [Google Scholar] [CrossRef] [PubMed]
- Frane, N.; Bitterman, A. Radiation Safety and Protection; StatPearls Publishing: Treasure Island, FL, USA, 2020. [Google Scholar] [PubMed]
- Marshall, S.K.; Prom-On, P.; Sangkue, S.; Thiangsook, W. Assessment of Radiation Exposure in a Nuclear Medicine Department during 99mTc-MDP Bone Scintigraphy. Toxics 2023, 11, 814. [Google Scholar] [CrossRef]
- Marshall, S.K.; Sirieak, N.; Karnkorn, P.; Keawtong, V.; Hayeeabdunromae, A.; Noomad, N.; Durawee, W.; Cheewakul, J. Nuclear Medicine Radiological Hot Laboratory Simulation: A Mixed-Method Intervention Study on Immersive Virtual Reality for Sustainable Education. Appl. Sci. 2024, 14, 5041. [Google Scholar] [CrossRef]
- Kovan, B.; Demir, B.; Işık, E.G.; Has Şimşek, D.; Özkan, Z.G.; Kuyumcu, S.; Türkmen, C.; Şanlı, Y. An Anthropomorphic Body Phantom for the Determination of Calibration Factor in Radionuclide Treatment Dosimetry. Radiat. Prot. Dosim. 2023, 199, 1274–1283. [Google Scholar] [CrossRef]
- Groch, M.W. Radioactive Decay. Radiographics 1998, 18, 1247–1256. [Google Scholar] [CrossRef]
- Qureshi, F.; Ramprasad, A.; Derylo, B. Radiation Monitoring Using Personal Dosimeter Devices in Terms of Long-Term Compliance and Creating a Culture of Safety. Cureus 2022, 14. [Google Scholar] [CrossRef]
- NCVS. Code of Practice for Personal Dosimetry of Professionals Wearing Protective Clothing during Radiological Procedures; Report 19 of the Netherlands Commission on Radiation Dosimetry; Netherlands Commission on Radiation Dosimetry: Amsterdam, The Netherlands, 2008; ISBN 978-90-78522-04-1. [Google Scholar]
- Valentin, J. ICRP Publication 85: Avoidance of Radiation Injuries from Medical Interventional Procedures. Ann. ICRP 2000, 30, 7. [Google Scholar] [CrossRef]
- SSG-54; Accident Management Programmes for Nuclear Power Plants. IAEA: Vienna, Austria, 2019; ISBN 978–92–0–108318–0.
- Harrison, J.; Streffer, C. The ICRP Protection Quantities, Equivalent and Effective Dose: Their Basis and Application. Radiat. Prot. Dosim. 2007, 127, 12–18. [Google Scholar] [CrossRef] [PubMed]
- Harrison, J.; Balonov, M.; Bochud, F.; Martin, C.; Menzel, H.; Ortiz-Lopez, P.; Smith-Bindman, R.; Simmonds, J.; Wakeford, R. ICRP Publication 147: Use of Dose Quantities in Radiological Protection. Ann. ICRP 2021, 50, 9–82. [Google Scholar] [CrossRef] [PubMed]
- Mattsson, S.; Söderberg, M. Dose Quantities and Units for Radiation Protection. In Radiation Protection in Nuclear Medicine; Mattsson, S., Hoeschen, C., Eds.; Springer: Berlin/Heidelberg, Germany, 2013; pp. 7–18. ISBN 978-3-642-31166-6. [Google Scholar]
- Brambilla, M.; Vassileva, J.; Kuchcinska, A.; Rehani, M.M. Multinational Data on Cumulative Radiation Exposure of Patients from Recurrent Radiological Procedures: Call for Action. Eur. Radiol. 2020, 30, 2493–2501. [Google Scholar] [CrossRef] [PubMed]
- Abdel-Wahab, M.; Giammarile, F.; Carrara, M.; Paez, D.; Hricak, H.; Ayati, N.; Li, J.J.; Mueller, M.; Aggarwal, A.; Al-Ibraheem, A. Radiotherapy and Theranostics: A Lancet Oncology Commission. Lancet Oncol. 2024, 11, e545–e580. [Google Scholar] [CrossRef] [PubMed]
- Hamada, N. Noncancer Effects of Ionizing Radiation Exposure on the Eye, the Circulatory System and beyond: Developments Made Since the 2011 ICRP Statement on Tissue Reactions. Radiat. Res. 2023, 200, 188–216. [Google Scholar] [CrossRef]
- Petoussi-Henss, N.; Satoh, D.; Endo, A.; Eckerman, K.F.; Bolch, W.E.; Hunt, J.; Jansen, J.T.M.; Kim, C.H.; Lee, C.; Saito, K.; et al. ICRP Publication 144: Dose Coefficients for External Exposures to Environmental Sources. Ann. ICRP 2020, 49, 11–145. [Google Scholar] [CrossRef]
- Lopez, P.O.; Dauer, L.T.; Loose, R.; Martin, C.J.; Miller, D.L.; Vaño, E.; Doruff, M.; Padovani, R.; Massera, G.; Yoder, C. ICRP Publication 139: ICRP Occupational Radiological Protection in Interventional Procedures. Ann. ICRP 2018, 47, 1–118. [Google Scholar] [CrossRef]
- Ferrari, P.; Ginjaume, M.; Hupe, O.; O’connor, U.; Vanhavere, F.; Bakhanova, E.; Becker, F.; Campani, L.; Carinou, E.; Clairand, I. What Is Worth Knowing in Interventional Practices about Medical Staff Radiation Exposure Monitoring: A Review of Recent Outcomes of EURADOS Working Group 12. Environments 2022, 9, 53. [Google Scholar] [CrossRef]
- Sylvain, I.; Bok, B. Radiation Exposure in Nuclear Medicine: Real-Time Measurement. Braz. Arch. Biol. Technol. 2002, 45, 111–114. [Google Scholar] [CrossRef]
- Vano, E.; Fernandez, J.M.; Sanchez, R. Occupational Dosimetry in Real Time. Benefits for Interventional Radiology. Radiat. Meas. 2011, 46, 1262–1265. [Google Scholar] [CrossRef]
- Berus, D.; Covens, P.; Struelens, L. External Radiation Dose to Ward Staff from Nuclear Medicine Patients: An Extended Real Time Survey; IAEA: Vienna, Austria, 2010; ISBN 978-92-0-105410-4. [Google Scholar]
- Ohno, S.; Konta, S.; Shindo, R.; Yamamoto, K.; Isobe, R.; Inaba, Y.; Suzuki, M.; Zuguchi, M.; Chida, K. Effect of Backscatter Radiation on the Occupational Eye-Lens Dose. J. Radiat. Res. 2024, 65, 450–458. [Google Scholar] [CrossRef] [PubMed]
- Hauptmann, M.; Daniels, R.D.; Cardis, E.; Cullings, H.M.; Kendall, G.; Laurier, D.; Linet, M.S.; Little, M.P.; Lubin, J.H.; Preston, D.L. Epidemiological Studies of Low-Dose Ionizing Radiation and Cancer: Summary Bias Assessment and Meta-Analysis. JNCI Monogr. 2020, 2020, 188–200. [Google Scholar] [CrossRef] [PubMed]
- Brenner, D.J.; Doll, R.; Goodhead, D.T.; Hall, E.J.; Land, C.E.; Little, J.B.; Lubin, J.H.; Preston, D.L.; Preston, R.J.; Puskin, J.S.; et al. Cancer Risks Attributable to Low Doses of Ionizing Radiation: Assessing What We Really Know. Proc. Natl. Acad. Sci. USA 2003, 100, 13761–13766. [Google Scholar] [CrossRef] [PubMed]
- Mothersill, C.; Seymour, C.; Cocchetto, A.; Williams, D. Factors Influencing Effects of Low-Dose Radiation Exposure. Health Phys. 2024, 126, 296–308. [Google Scholar] [CrossRef]
- Liu, R.; Zhao, E.; Yu, H.; Yuan, C.; Abbas, M.N.; Cui, H. Methylation across the Central Dogma in Health and Diseases: New Therapeutic Strategies. Signal Transduct. Target. Ther. 2023, 8, 310. [Google Scholar] [CrossRef]
- Rübe, C.E.; Freyter, B.M.; Tewary, G.; Roemer, K.; Hecht, M.; Rübe, C. Radiation Dermatitis: Radiation-Induced Effects on the Structural and Immunological Barrier Function of the Epidermis. Int. J. Mol. Sci. 2024, 25, 3320. [Google Scholar] [CrossRef]
- Rossouw, J.E.; Anderson, G.L.; Prentice, R.L.; LaCroix, A.Z.; Kooperberg, C.; Stefanick, M.L.; Jackson, R.D.; Beresford, S.A.; Howard, B.V.; Johnson, K.C. Risks and Benefits of Estrogen plus Progestin in Healthy Postmenopausal Women: Principal Results from the Women’s Health Initiative Randomized Controlled Trial. JAMA 2002, 288, 321–333. [Google Scholar]
- Cherednichenko, O.; Pilyugina, A.; Nuraliev, S.; Azizbekova, D. Persons Chronically Exposed to Low Doses of Ionizing Radiation: A Cytogenetic Dosimetry Study. Mutat. Res. Genet. Toxicol. Environ. Mutagen. 2024, 894, 503728. [Google Scholar] [CrossRef]
- Leuraud, K.; Laurier, D.; Gillies, M.; Haylock, R.; Kelly-Reif, K.; Bertke, S.; Daniels, R.D.; Thierry-Chef, I.; Moissonnier, M.; Kesminiene, A. Leukaemia, Lymphoma, and Multiple Myeloma Mortality after Low-Level Exposure to Ionising Radiation in Nuclear Workers (INWORKS): Updated Findings from an International Cohort Study. Lancet Haematol. 2024, 11, e761–e769. [Google Scholar] [CrossRef]
- Vogt, J.; Oeh, U.; Maringer, F.J. Development of the Occupational Exposure during the Production and Application of Radiopharmaceuticals in Germany. J. Radiol. Prot. 2024, 44, 011508. [Google Scholar] [CrossRef]
- Chaurasia, R.K.; Sapra, B.K.; Aswal, D.K. Interplay of Immune Modulation, Adaptive Response and Hormesis: Suggestive of Threshold for Clinical Manifestation of Effects of Ionizing Radiation at Low Doses? Sci. Total Environ. 2024, 917, 170178. [Google Scholar] [CrossRef] [PubMed]










| Procedure | Step | Personnel * | A (MBq) | l (m) | ts (min/s) | (h) | t (h) | d (mm) | Γ (µSv m2 MBq−1 h−1) | E (µSv) |
|---|---|---|---|---|---|---|---|---|---|---|
| Labeling | Eluting [99mTcO4−] from [99Mo/99mTc] generator | RP | 18,500 | 0.2 | 30 s | 0.01 | 0 | 6 | 0.0184 | 6.49 × 10−5 |
| Labeling | RP | 18,500 | 0.50 | 46 min | 0.77 | 0 | 6 | 0.02 | 9.96 × 10−4 | |
| Removal final product | RP | 18,500 | 0.30 | 15 s | 4.00 × 10−3 | 0 | 6 | 0.02 | 1.44 × 10−5 | |
| Quality control | 99Mo breakthrough | RP | 18,500 | 0.20 | 2 min | 0.03 | 0 | 5.5 | 0.02 | 2.70 × 10−3 |
| Instant thin-layer chromatography | RP | 37 | 0.30 | 2 min | 0.03 | 0 | 5.5 | 0.02 | 2.40 × 10−6 | |
| pH | RP | 37 | 0.30 | 30 s | 0.01 | 0 | 5.5 | 0.02 | 5.81 × 10−7 | |
| Syringe preparation | Calibration of vial | RP | 18,500 | 0.20 | 15 s | 4.00 × 10−3 | 0 | 6 | 0.02 | 3.25 × 10−5 |
| Preparing syringes | RP | 18,500 | 0.10 | 5 min | 0.08 | 0 | 6 | 0.02 | 2.69 × 10−3 | |
| Patient administration | Patient administration | RN | 740 | 0.30 | 4 min | 0.07 | 0 | 5.5 | 0.02 | 9.73 × 10−5 |
| Care after administration | RN | 740 | 0.30 | 5 min | 0.08 | 0 | 0.5 | 0.02 | 3.96 | |
| Imaging | Patient positioning | RT | 740 | 0.30 | 8 min | 0.13 | 3 | 0.5 | 0.02 | 4.48 |
| RTA | 740 | 0.25 | 8 min | 0.13 | 3 | 0.5 | 0.02 | 6.46 | ||
| Patient imaging | RT | 740 | 3.00 | 30 min | 0.50 | 3 | 0.5 | 0.02 | 0.17 | |
| Patient discharge | Patient discharge | RN | 370 | 1.00 | 2 min | 0.03 | 3 | 0.5 | 0.02 | 0.05 |
| RT | 370 | 1.00 | 2 min | 0.03 | 3 | 0.5 | 0.02 | 0.05 | ||
| RTA | 370 | 1.00 | 2 min | 0.03 | 3 | 0.5 | 0.02 | 0.05 |
| Step | Actual Measurement | Padovani et al. [24,25] Estimated Effective Dose (μSv) * | |
|---|---|---|---|
| Hp(0.07) (μSv) | Hp(10) (μSv) | ||
| Labeling | 21.40 ± 0.16 × 10−3 | 22.91 ± 0.34 × 10−3 | 22.81 ± 1.43 × 10−3 |
| Quality control | 20.51 ± 0.27 × 10−3 | 21.13 ± 0.22 × 10−3 | 21.06 ± 0.69 × 10−3 |
| Syringe preparation | 23.43 ± 1.21 × 10−3 | 24.42 ± 1.74 × 10−3 | 24.34 ± 0.89 × 10−3 |
| Patient administration | 24.72 ± 0.33 × 10−3 | 24.94 ± 0.42 × 10−3 | 24.89 ± 0.96 × 10−3 |
| Imaging | 34.31 ± 4.28 × 10−3 | 34.73 ± 1.22 × 10−3 | 34.68 ± 4.70 × 10−3 |
| Patient discharge | 23.16 ± 0.14 × 10−3 | 23.36 ± 0.31 × 10−3 | 23.29 ± 1.36 × 10−3 |
| Step | Actual Measurement | Effective Dose (μSv) | ||
|---|---|---|---|---|
| (μSv) | (μSv) | ICRP 60 * | ICRP 103 ** | |
| Labeling | 23.93 ± 1.00 × 10−3 | 33.12 ± 1.35 × 10−3 | 13.85 ± 1.36 × 10−3 | 14.38 ± 1.60 × 10−3 |
| Quality control | 22.74 ± 1.78 × 10−3 | 33.48 ± 1.21 × 10−3 | 13.29 ± 0.14 × 10−3 | 13.82 ± 0.53 × 10−3 |
| Syringe preparation | 21.32 ± 0.30 × 10−3 | 22.57 ± 0.21 × 10−3 | 11.89 ± 0.48 × 10−3 | 12.25 ± 0.77 × 10−3 |
| Patient administration | 20.44 ± 0.88 × 10−3 | 21.73 ± 1.29 × 10−3 | 11.41 ± 4.30 × 10−3 | 11.75 ± 8.30 × 10−3 |
| Imaging | 32.71 ± 3.14 × 10−3 | 53.80 ± 2.36 × 10−3 | 19.47 ± 4.90 × 10−3 | 20.33 ± 6.40 × 10−3 |
| Patient discharge | 24.86 ± 1.80 × 10−3 | 32.70 ± 0.38 × 10−3 | 14.27 ± 1.44 × 10−3 | 14.80 ± 0.17 × 10−3 |
Disclaimer/Publisher’s Note: The statements, opinions and data contained in all publications are solely those of the individual author(s) and contributor(s) and not of MDPI and/or the editor(s). MDPI and/or the editor(s) disclaim responsibility for any injury to people or property resulting from any ideas, methods, instructions or products referred to in the content. |
© 2024 by the authors. Licensee MDPI, Basel, Switzerland. This article is an open access article distributed under the terms and conditions of the Creative Commons Attribution (CC BY) license (https://creativecommons.org/licenses/by/4.0/).
Share and Cite
Marshall, S.K.; Hayeeabdunromae, A.; Noomad, N.; Durawee, W.; Sirieak, N.; Karnkorn, P.; Keawtong, V. Evaluation of Environmental Radiation Exposure and Algorithms for Determining the Occupational Effective Dose During 99mTc-MDP Bone Scintigraphy: A Comprehensive Analysis. Appl. Sci. 2024, 14, 11211. https://doi.org/10.3390/app142311211
Marshall SK, Hayeeabdunromae A, Noomad N, Durawee W, Sirieak N, Karnkorn P, Keawtong V. Evaluation of Environmental Radiation Exposure and Algorithms for Determining the Occupational Effective Dose During 99mTc-MDP Bone Scintigraphy: A Comprehensive Analysis. Applied Sciences. 2024; 14(23):11211. https://doi.org/10.3390/app142311211
Chicago/Turabian StyleMarshall, Suphalak Khamruang, Awatif Hayeeabdunromae, Nadia Noomad, Wanita Durawee, Nantakorn Sirieak, Pornchanok Karnkorn, and Virunyupa Keawtong. 2024. "Evaluation of Environmental Radiation Exposure and Algorithms for Determining the Occupational Effective Dose During 99mTc-MDP Bone Scintigraphy: A Comprehensive Analysis" Applied Sciences 14, no. 23: 11211. https://doi.org/10.3390/app142311211
APA StyleMarshall, S. K., Hayeeabdunromae, A., Noomad, N., Durawee, W., Sirieak, N., Karnkorn, P., & Keawtong, V. (2024). Evaluation of Environmental Radiation Exposure and Algorithms for Determining the Occupational Effective Dose During 99mTc-MDP Bone Scintigraphy: A Comprehensive Analysis. Applied Sciences, 14(23), 11211. https://doi.org/10.3390/app142311211

