You are currently viewing a new version of our website. To view the old version click .
Applied Sciences
  • Article
  • Open Access

29 November 2024

Influence of Continuous and Short-Term Direct Current Stimulation on the Growth and Nutrient Composition of Nitzschia closterium f. minutissima with Prospects for Large-Scale Production

,
,
and
School of Ecological and Environmental Sciences, East China Normal University, Shanghai 200241, China
*
Authors to whom correspondence should be addressed.
This article belongs to the Special Issue Harnessing Microalgae and Seaweed for the Food Sector

Abstract

This study investigates the effects of continuous and short-term direct current (DC) stimulation on the growth and nutrient composition of Nitzschia closterium f. minutissima, a marine diatom with significant potential in aquaculture feed. We explored the optimal conditions of DC stimulation by applying both short-term and continuous treatments at varying voltages (0 V, 1 V, 3 V, 5 V, 10 V for short-term; 0 V, 0.05 V, 0.5 V, 1 V for continuous). The results demonstrated that short-term DC stimulation significantly enhanced cell density and lipid accumulation, with maximum cell density increasing by 13.14% under 1 V stimulation compared to the control. However, continuous stimulation was less effective and showed growth inhibition in several cases. Nutrient analysis revealed that short-term stimulation, particularly at 3 V, led to a 67.66% increase in lipid content, while moderate continuous stimulation (0.5 V) showed a 39.47% increase in biomass dry weight. These findings suggest that short-term DC stimulation is a promising approach to optimize microalgal growth and nutrient accumulation for large-scale aquaculture production.

1. Introduction

Aquaculture is a primary source of aquatic products for humans and represents the fastest-growing sector in the global farmed food industry, with total production nearly tripling over the past twenty years. However, high aquafeed production costs—accounting for 50–70% of total expenses—pose a significant bottleneck to the expansion of aquaculture [1,2].
Microalgae have emerged as a valuable biological resource, showing a marked increase in application within the food and aquafeed markets over the past decade [3]. Their remarkable photosynthetic efficiency, rapid growth rates, and capacity for nitrogen and phosphorus assimilation from aquatic environments [4,5], combined with their superior yields of carbohydrates, proteins, and lipids per unit area compared to other crops [6,7], make them a promising solution for addressing food security and sustainability challenges [8]. As a result, enhancing microalgae cultivation techniques has become a critical priority.
Electric stimulation has recently been explored as a novel technique to enhance microalgae growth and biomass production. For instance, Gusbeth et al. demonstrated that pulsed electric field (PEF) treatment could increase microalgae biomass by 10–20% [9]. Similarly, La et al. achieved a 28.8% increase in lipid production and observed a morphological shift from cylindrical to spherical cells in Acutodesmus dimorphus using a low-energy pulsed electric field (LE-PEF) [10]. Direct current (DC) electric fields have also shown promising results; Choi et al. reported a doubling of triglyceride yield in Chlorella sp. KR-1 with varying voltage intensities, although cell size initially increased and then decreased with higher voltages [11]. Kim et al. found that continuous DC stimulation increased starch production in Euglena gracilis by approximately 2.5 times, with increased cell volume due to suppressed division [12]. Furthermore, He et al. observed that DC stimulation not only fostered the growth of Scenedesmus obliquus, with cell density increasing by a maximum of 13.1% and biomass by a maximum of 30.1%, but also notably improved its nutrient assimilation from water, particularly in terms of total phosphorus (TP) removal, which could achieve a maximum efficiency of 95.3% [13,14]. Kim et al.’s study on Haematococcus pluvialis demonstrated that a 1 min direct current (DC) stimulation could increase cell density by 1.2 times [15]. This finding supports the effectiveness of DC stimulation as an approach to promoting microalgae growth, with advantages such as simple setup and lower energy requirements compared to pulsed electric fields. Despite these advances, most studies have been limited to small-scale cultivation, and the applicability of electric stimulation in large-scale production remains underexplored.
Nitzschia closterium f. minutissima Allen & Nelson, a marine eukaryotic unicellular diatom, is rich in proteins, carbohydrates, and other essential nutrients, making it a critical feedstock in marine aquaculture with considerable market potential [16,17,18]. While the large-scale cultivation of this diatom using photobioreactors has been investigated, there remains substantial room for improvement in the cultivation process [19]. Moreover, the potential for electric fields to enhance the growth of marine diatoms has yet to be explored in the existing literature.
This study aims to determine if DC stimulation can improve the growth of N. closterium f. minutissima by investigating optimal conditions for promoting marine microalgae growth through electric stimulation. We will evaluate the effects of both brief and continuous DC stimulation at various voltages on growth dynamics, biomass accumulation, nutritional value, and cellular morphology and behavior. Additionally, we will explore the practical application of these findings in ton-scale photobioreactors to assess the feasibility of electric stimulation for large-scale production, providing new insights for optimizing microalgae feed cultivation.

2. Materials and Methods

2.1. Microalga and Cultivation

The Nitzschia closterium f. minutissima strains used in this study were originally sourced from the Tianjin Institute of Fisheries Research (Tianjin, China). The formulation of the 1000× microalgae culture medium stock solution used in the study is provided in Table 1. Vitamin solutions were prepared separately, and artificial seawater (salinity 30 ± 0.5, Hailanxing Co., Ltd., Shaoxing, Zhejiang, China) was used as the base. Microalgae working solutions were freshly prepared as needed. The culture medium stock solution was stored at 4 °C, and microalgae culture media were prepared by mixing it with artificial seawater in a 1:999 ratio. Each 100 mL of the mixture was aliquoted into 250 mL Erlenmeyer flasks, autoclaved, cooled, and then supplemented with vitamin B1 and vitamin B2 before adding 50 mL of microalgae inoculum. The flasks were incubated in an artificial climate chamber at 20 °C, with a light intensity of 5000 lux, under a 12 h light/12 h dark cycle, and were shaken 2–3 times daily.
Table 1. Formulation of the 1000× microalgae culture medium stock solution.
The large-scale cultivation system for N. closterium f. minutissima is shown in Figure 1. Microalgae were grown in chlorine dioxide-disinfected seawater, with an algae-to-seawater ratio of 1:5, yielding a total volume of 600 L in the photobioreactor. The initial optical density under 750 nm was 0.200 ± 0.010, and 60 mL of nutrient stock solution was added with its volume considered negligible. The temperature was maintained at 17 °C, and a flow rate of 1.225 L/s ensured circulation every 8 min. The cultivation cycle lasted 3 days.
Figure 1. Photo and diagram of the photobioreactor system.

2.2. Electric Stimulation

The carbon rod electrodes used in this study were spectroscopic graphite electrodes with a diameter of 6 mm and a length of 20 mm. The power supplies (Maisheng Electronics, Shenzhen, China) utilized were direct current regulated power supplies equipped with a digital display and adjustable voltage settings. The electrical stimulation applied was direct current (DC) stimulation.
The electric stimulation experiments were performed in a sterile hood, with the work surface UV-disinfected for 30 min. The hood provided 5000 lux illumination. Carbon rod electrodes were sterilized with 75% alcohol and fixed 2 cm apart. For short-term stimulation, voltage gradients were set at 0 V (control), 1 V, 3 V, 5 V, and 10 V, with microalgae inoculated in a 1 L beaker to an initial OD750 of 0.150. Electrodes were placed in conical flasks for 5 s, and samples were transferred to three 250 mL flasks. For continuous stimulation, voltage gradients were 0 V, 0.05 V, 0.5 V, and 1 V. Samples were pre-divided before electrodes were inserted. Conditions matched the short-term experiment. The lab temperature was maintained at 20 °C, with continuous lighting for 24 h. The algal suspension was agitated 2–3 times daily, for 7 days.
For the continuous electric stimulation, the voltage gradients for each experimental group were set at 0 V, 0.05 V, 0.5 V, and 1 V. Three 150 mL samples of microalgae suspension were transferred into three 250 mL conical flasks, and then the carbon rod electrodes were placed into the conical flasks for continuous electrical treatment. All other conditions were identical to those of the short-term electric stimulation experimental groups. The laboratory temperature was maintained at a constant 20 °C, with continuous light for 24 h. The algal suspension was agitated 2 to 3 times daily, and the experiments lasted for 7 days.
The photobioreactor system was modified to apply different intensities of direct current stimulation via external power supplies (Figure 2). A pair of carbon rods were secured with three PLA connectors, fixing the distance between the electrodes at 2 cm. One end of each rod was connected to the positive and negative leads, insulated with two layers of heat-shrink tubing. After the system was inoculated and circulated via the electric pump, electrical stimulation of 0–3 V was applied for the duration of one circulation cycle.
Figure 2. Modification of the photoreactor system.

2.3. Analytical Methods

To determine the cell density of microalgae, this experiment conducted counts of microalgae suspensions at different concentrations under an optical microscope using a hemocytometer method, and measured the corresponding optical density values with a spectrophotometer, followed by regression analysis. This study fitted density curves for three wavelengths, as shown in Figure 3. The group with the highest R-squared value was selected, and the standard curve for cell density of N. closterium f. minutissima at 750 nm was obtained as follows:
Cell Density (cell/mL) = 2 × 107 A750 + 331,651 (R2 = 0.9992)
Figure 3. Cell density standard curves of N. closterium f. minutissima, with optical density (OD) on the x-axis and cell count on the y-axis. (Regression analysis is performed using Excel, employing the method of least squares).
The microalgal growth rate (K) was calculated using the formula by Fabregas et al. [20]:
K = (LnNt − LnN0)/(Ln2 × t)
where
  • K—Cell growth rate (1/d)
  • Nt—Final cell density
  • N0—Initial cell density
  • t—Time (d), where t = 1 for daily growth rate and t = 7 for weekly growth rate.
The microalgal cultivation period was 7 days, with Ki representing the daily growth rate on day i, Kw representing the weekly growth rate (also the growth rate for the experimental period), and Kmax indicating the maximum daily growth rate.
Biomass dry weight was measured on the final day of the electric stimulation experiment. Centrifuge tubes were pre-weighed (m1), and the volume of the algal suspension used for biomass measurement was recorded as V. After centrifugation at 4000 rpm for 10 min, the algal pellet was washed three times, the supernatant was discarded, and the pellet was dried in an oven at 80 °C for 24 h; the final weight was recorded as m2 [21]. The biomass dry weight (M, mg/mL) was calculated using the following:
M = (m2 − m1)/V
Chlorophyll-α content was measured at the end of the experiment. Two milliliters of the microalgae culture were collected into clean EP tubes, washed three times with distilled water, and centrifuged at 1000 rpm for 2 min. To extract chlorophyll-α, 1.6 mL of methanol was added, and the mixture was vortexed vigorously for 2 min to ensure adequate contact between the solvent and microalgae. The solution was incubated in darkness for 2 h, centrifuged to collect the supernatant, and the absorbance at 666 nm and 653 nm was measured. chlorophyll-α content was then calculated using the following formula [22,23]:
Chl a (μg·mL−1) = 15.65 A666 − 7.34 A653
To assess the polysaccharide and protein content, 50 mL of microalgae culture was centrifuged at 4000 rpm for 10 min, washed three times, and resuspended in 30 mL deionized water. The suspension was disrupted using an ultrasonic cell disruptor (500 W, 10 min, ice bath), and after a second centrifugation at 4000 rpm for 10 min, the supernatant was collected for polysaccharide and protein determination, and stored at 4 °C.
Polysaccharides were quantified using the phenol–sulfuric acid method. A 200 µL sample, 100 µL of 5% phenol solution, and 500 µL of concentrated sulfuric acid were mixed in an EP tube, sealed with parafilm, and incubated in a 90 °C water bath for 30 min. After cooling to room temperature, the absorbance at 490 nm was measured and polysaccharide content (µg/mL) was calculated based on a standard curve [24]. Protein content was determined using the Lowry method with the Beijing Solarbio Protein Assay Kit (Beijing, China), following the manufacturer’s instructions, and protein content (µg/mL) was calculated based on a standard curve. Polysaccharide and protein content in the microalgae culture was then expressed as a percentage of the biomass dry weight.
Lipid content was measured using the Sudan Black B staining method. Thirty milliliters of algal suspension was centrifuged at 4000 rpm for 10 min, desalinated, and weighed. The pellet was resuspended in 5 mL of deionized water, mixed with 5 mL of 1 M HCl solution and 0.4 mL of Sudan Black B dye, vortexed for 2 min, and boiled for 20 min. After cooling to room temperature, the sample was stored at 4 °C for 4 h, then centrifuged at 10,000 rpm for 10 min to remove the supernatant. The pellet was washed with 50% ethanol and resuspended in 5 mL of 70% ethanol. Absorbance was measured at 645 nm using a 1 cm path length cuvette, and lipid content was calculated based on a standard curve [25,26].

2.4. Cyclic Voltammetry Analysis

Cyclic voltammetry measurements were conducted at room temperature (20 °C) using a three-electrode electrochemical system. A 50 mL electrochemical cell was filled with 30 mL of microalgae suspension or other test solutions. An Ag/AgCl electrode and a platinum wire served as the reference and counter electrodes, respectively, while a carbon rod, which applied the voltage under different conditions, acted as the working electrode. The original microalgae suspension was used as the working solution, with a fresh sample prepared for each experiment [21]. The experiments were carried out using a single-channel electrochemical workstation. After correctly connecting the three electrodes, the electrochemical analysis program was set up in Nova 2.0 software. The potential scanning range was set to ±1.0 V, the scan rate to 100 mV/s, and the number of scans to 10.

2.5. Determination of Total Nitrogen (TN), Total Phosphorus (TP), and pH

In the microalgae production workshop involved in this study, tubular photobioreactors are used to cultivate microalgae in seawater. Therefore, the methods for measuring TN and TP in the photobioreactor are referenced from the “GB/T 12763.4-2007 Marine Survey Specification” [27], using the potassium persulfate oxidation method for TN and the ascorbic acid reduction molybdenum blue method for TP. pH detection probes are installed in the pipelines of the photobioreactors in the microalgae cultivation workshop, and the corresponding pH values of the photobioreactors are read from the total controller screen.

2.6. LM and SEM Observation

Data on microalgal cell size and the proportion of aggregated cells were obtained through light microscopy (LM) observations. For each treatment, three replicates of the logarithmic phase endpoint were sampled. A total of 100 cells were randomly selected and recorded for each sample.
For scanning electron microscopy (SEM) sample preparation, 5 mL of microalgal culture was first centrifuged at 4000 rpm for 3 min, and the supernatant was discarded. The resulting pellet was fixed overnight at 4 °C using a 2.5% glutaraldehyde solution in artificial seawater with a salinity of 30‰. The samples were then dried using a critical point dryer with carbon dioxide. Finally, the samples were sectioned into small pieces, mounted onto stubs, and observed under SEM.

2.7. Statistical Analyses

All experiments were conducted with three or more replicates to calculate the mean and standard error. Data processing and statistical analysis were performed using Excel 2020 and SPSS 26 software, with the Python libraries scipy.stats and statsmodels.stats.multicomp assisting in the analysis. The significance of growth curves was analyzed using RM ANOVA, and the results were annotated in the figure captions along with the sample size (n). Other metric data were analyzed using one-way ANOVA, and Tukey HSD. If the data did not pass the homogeneity of variance test, the Friedman test was used. Graphing was done using the matplotlib Python library.
The comprehensive analysis of radar chart data was standardized using the Z-score method:
Z = (x − μ)/σ
  • Z—standardized value (Z-score)
  • x—original data point
  • μ—mean of the dataset
  • σ—standard deviation of the dataset

3. Results

3.1. Effects of Electrical Treatment on N. closterium f. minutissima Growth

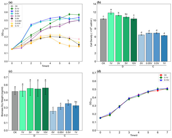
N. closterium f. minutissima was subjected to short-term direct current stimulation (D group) at voltage levels of 0 V, 1 V, 3 V, 5 V, 10 V, and continuous direct current stimulation (C group) at 0 V, 0.05 V, 0.5 V, 1 V. Since the electrodes remained in the algal culture for an extended period in the continuous stimulation experiment, and the 0 V short-term stimulation group closely mimicked the natural growth conditions of the microalgae, the 0 V group in the short-term stimulation was designated as CK, and the 0 V group in the continuous stimulation was labeled C-0 V, serving as the control for the short-term group. The experiment lasted for seven days, with daily sampling to measure optical density at 750 nm, from which growth curves were constructed and growth rates calculated. Biomass dry weight was measured at the end of the experiment.
The results showed that short-term direct current stimulation had a significant effect on the maximum cell density of N. closterium f. minutissima (p < 0.05), though it had a limited impact on biomass dry weight accumulation (p > 0.05). In contrast, both the maximum cell density and biomass dry weight significantly differed among the continuous stimulation groups (p < 0.05).
By comparing growth curves (Figure 4a) and growth rates (Table 2) for the different experimental groups, the growth dynamics of the microalgae were observed. Unlike the short-term stimulation groups, continuous stimulation resulted in poor growth across all groups, with no clear S-shaped growth curve, and the K values were generally lower than those of the short-term stimulation groups (Figure 4a). The D-1 V group maintained a high growth rate throughout the experiment, achieving the highest overall growth rate (Kw) of 0.68 ± 0.01 and reaching a plateau on day 6, similar to the CK and 10 V groups. The D-3 V and D-5 V groups exhibited the highest daily growth rates (Kmax) of 0.84 and 0.83, respectively, on day 2, but then entered the plateau phase earlier than the other groups. In the continuous stimulation groups, growth trends were nearly identical, peaking around day 4, followed by a negative growth phase. The C-1 V group showed the highest negative growth rate on day 5 (−0.41 ± 0.05) compared to the other groups.
Figure 4. Growth curves (n = 3, p < 0.05) (a), maximum cell density with significant differences indicated by different letters (b), biomass with significant differences indicated by different letters (c), and medium treatment experiments (n = 3, p > 0.05) (d) under different modes and voltages of direct current (DC) stimulation, where ‘D’ represents short-term DC stimulation and ‘C’ represents continuous DC stimulation.
Table 2. Daily growth rate (Ki), overall growth rate (Kw), and maximum daily growth rate (Kmax) of N. closterium f. minutissima ( X ¯ ± SD, n = 3, p < 0.05).
The maximum cell densities of N. closterium f. minutissima in the D-1 V and D-3 V groups significantly increased by 13.14% and 6.64% compared to CK (p < 0.05), with averages of 11.80 × 106 cell/mL and 11.20 × 106 cell/mL, respectively. However, the variations in the D-5 V and D-10 V groups were not significant. The average maximum cell density across the groups initially increased with voltage but then decreased (Figure 4b), with no significant change in dry weight across the groups (Figure 4c). These results suggest that short-term stimulation at appropriate voltage levels promotes the growth of Nitzschia closterium, primarily reflected in increased cell density. Although ANOVA analysis indicated that short-term stimulation significantly affected cell density (p < 0.05), further statistical analysis revealed no significant differences exist (Figure 4b). The biomass dry weight in the C-0.5 V group significantly increased by 7.20% compared to C-0 V (p < 0.05), the highest among the continuous stimulation groups, but was significantly lower than CK and the other short-term stimulation groups (Figure 4c). Notably, the growth curves, maximum cell densities, and biomass dry weight in the short-term stimulation groups were superior to those in the continuous stimulation groups (p < 0.05), suggesting that prolonged contact between the algae and the electrodes significantly inhibited growth, with substantial background inhibition present in all continuous stimulation groups. Therefore, the effects of continuous stimulation on N. closterium f. minutissima growth remain inconclusive.
Electrical stimulation may alter the chemical properties of the culture medium, indirectly affecting microalgal growth. To determine whether the effects of electrical stimulation on microalgal growth are direct or mediated through changes in the culture medium’s properties, this study conducted experiments with the highest voltages. The culture medium was subjected to a brief electrical stimulation treatment before inoculation, followed by cultivation under the same conditions. The results indicated that the growth status of N. closterium f. minutissima cultivated in the electrically treated medium did not differ significantly from the control group (p > 0.05). This suggests that under the electrical stimulation conditions set in this study, the changes in the chemical properties of the culture medium induced by electrical stimulation have a negligible impact on microalgal growth. Instead, the observed changes in N. closterium f. minutissima growth were directly caused by electrical stimulation (Figure 4d).

3.2. Effects of Electrical Treatment on Intracellular Substances in N. closterium f. minutissima

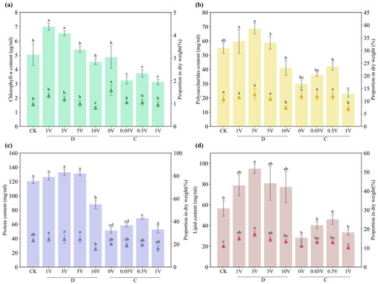
This study examines the accumulation of various nutrients in N. closterium f. minutissima, analyzing both the total culture and their proportion in dry biomass. Nutrient content in the culture indicates the overall accumulation influenced by cell density, relevant to the nutritional value of feed products. The proportion in dry weight, however, reflects cellular metabolic changes and the microalgae’s response to electrical stimulation, highlighting physiological shifts in nutrient composition.
Different intensities of short-term and continuous electrical stimulation significantly impacted chlorophyll-α content in N. closterium f. minutissima at both the culture and dry weight levels (p < 0.05) (Figure 5a). Chlorophyll-α content in the D-1 V and D-3 V groups significantly increased compared to CK, especially in the D-1 V group, which showed a 38.95% increase (p < 0.05) with a concentration of 7.00 ± 0.31 µg/mL. However, no significant changes were observed in the D-5 V and D-10 V groups. At the dry weight level, chlorophyll-α in the D-1 V group increased by 39.20% (p < 0.05) compared to CK, while the D-10 V group showed a significant decrease (p < 0.05). For continuous stimulation, chlorophyll-α content in the C-0.05 V, C-0.5 V, and C-1 V groups significantly decreased compared to C-10 V (p < 0.05), with C-1 V showing a 35.79% drop compared to C-0 V. Similarly, chlorophyll-α proportion in dry weight also significantly decreased in these groups (p < 0.05), with C-1 V having the lowest proportion at 0.96 ± 0.15%. Notably, the C-0 V group had the highest proportion of chlorophyll-α across all groups.
Figure 5. Contents and proportion in biomass dry weight of chlorophyll-α (a), polysaccharide (b), protein (c), and lipid (d) in N. closterium f. minutissima under DC stimulation. Different letters indicate significant differences among treatments. The column in each subfigure represents the nutrient content, and the triangle represents the proportion of each nutrient in the microalgae biomass.
Polysaccharide content was also significantly affected by different electrical stimulation intensities (p < 0.05) (Figure 5b). Although no significant difference was found, the D-3 V group had the highest polysaccharide content at the culture level, 24.61% higher than CK, while the D-10 V group showed a significant 25.26% decrease (p < 0.05). In dry weight, D-10 V significantly decreased by 31.64 percentage points compared to CK.
Protein content was significantly affected by short-term stimulation at both the culture and dry weight levels, while continuous stimulation only showed a significant effect at the culture level (p < 0.05) (Figure 5c). The D-3 V group had the highest protein content at 133.02 ± 6.08 µg/mL, whereas D-10 V significantly decreased by 27.06%. Continuous stimulation showed no significant differences.
Lipid content was also significantly influenced by both short-term and continuous stimulation (p < 0.05) (Figure 5d). The D-3 V group had a 67.66% increase in lipid content at the culture level compared to CK. At the dry weight level, lipid content in the D-1 V, D-3 V, and D-5 V groups significantly increased, with D-3 V reaching the highest proportion of 17.38 ± 1.98%.
Overall, short-term stimulation promoted nutrient accumulation, particularly lipids, with an increase followed by a decline at higher voltages, suggesting that moderate stimulation benefits nutrient accumulation, while high voltages may inhibit it. Continuous stimulation, however, resulted in lower nutrient levels across the culture, likely due to background inhibition, making its effects on nutrient accumulation unclear.

3.3. Effects of Electrical Treatment on N. closterium f. minutissima Cellular Morphology and Behaviors

The cells of Nitzschia closterium f. minutissima exhibit an elongated rhombic shape, with cell length serving as the primary morphological parameter [28]. Under normal conditions, the cell length of this species typically ranges from several micrometers to over twenty micrometers. In this study, the cell lengths of N. closterium f. minutissima were predominantly within the range of 15 to 25 μm.
The ANOVA analysis results indicate that short-term and continuous DC stimulation at different voltages significantly affects the cell size of Nitzschia closterium f. minutissima (p < 0.05). However, short-term DC stimulation does not significantly influence the cell aggregation behavior (p > 0.05), while continuous DC stimulation does have a significant impact (p < 0.05). Specifically, the violin plot curves from D-1 V to D-10 V show a gradual upward trend, whereas those from C-0 V to C-1 V exhibit a gradual downward trend. The peaks of the curves from D-1 V to D-5 V and from C-0 V to C-1 V also show a tendency to become sharper (Figure 6a). Further analysis reveals that although cell size tends to increase with increasing short-term DC voltage from D-1 V to D-10 V, there are no significant differences among the groups. Similarly, despite a decreasing trend in cell size with increasing continuous DC voltage from C-0 V to C-1 V, there are no significant differences. The proportion of aggregated cells from D-1 V to D-10 V and from C-0 V to C-1 V shows a gradual increase, but no group differences reached significance, indicating that the environmental stress is not intense.
Figure 6. Violin plot of cell size of N. closterium f. minutissima under direct current (DC) stimulation (a) and column chart of the proportion of aggregated cells (b) in N. closterium f. minutissima.
To further observe the microcellular morphology of N. closterium f. minutissima under different types of DC stimulation, scanning electron microscopy (SEM) was employed for morphological examination. Figure 7a–c depict the overall morphology of N. closterium f. minutissima for the CK, C-1 V, and D-10 V groups, respectively, while d, e, and f present the corresponding cell close-ups. In the control group, the cells exhibit a normal granular surface and are generally full, with minimal shrinkage and neat sutures. The cell morphology in the C-1 V and D-10 V groups shows subtle differences; the former exhibits significant surface shrinkage but retains neat sutures, while the latter has numerous wavy folds along the suture edges, with a relatively full cell body. This indicates that the effects of continuous DC stimulation and short-term DC stimulation on microalgal morphology differ. All images show numerous cells with perforations and damage, suggesting that the intensity of all electrical stimulation conditions in the experiment is appropriate and does not cause severe harm to N. closterium f. minutissima.
Figure 7. SEM images of N. closterium f. minutissima cells: (a) non-direct current (DC) stimulation overview; (b) 1 V-1d DC stimulation overview; (c) 10 V-5S DC stimulation overview; (d) non-DC stimulation close-up; (e) 1 V-1d DC stimulation close-up; (f) 10 V-5S DC stimulation close-up; an extra close-up of the wavy folds at the seam of N. closterium f. minutissima (g).

3.4. CV-Curve Analysis

To investigate the influence of electrical stimulation on the electrochemical properties of the growth system of N. closterium f. minutissima, this study performed cyclic voltammetry (CV) tests on the culture medium before and after microalgal inoculation, as well as on the microalgal suspension under various electrical stimulation conditions.
The CV curves before and after inoculation exhibited similar shapes, with redox peaks appearing at ±1 V (Figure 8a), indicating that the physiological activities of the microalgae affected the electrochemical characteristics. Under short-term electrical stimulation, the CV curves of each group of Nitzschia closterium f. minutissima were largely consistent, further suggesting that the applied short-term direct current stimulation did not have a significant impact on the microalgal growth system (Figure 8b). Near the redox peaks, slight differences in the curves of each group were observed. The oxidation peak partially represents the intensity of respiration, with the curves of groups exhibiting a higher proportion of dividing cells located outward. Conversely, the reduction peak partially indicates photosynthetic activity, though it does not accurately reflect the actual photosynthetic capabilities of the microalgae, but rather tends to represent apparent photosynthesis. Under continuous electrical stimulation, significant differences in the CV curves were noted, with the C-0 V group positioned furthest outward, followed sequentially by C-0.05 V, C-0.5 V, and C-1 V (Figure 8c). This order corresponds with the results from the dry biomass experiment and is consistent with the trends observed in cell aggregation levels. Notably, in the continuous electrical stimulation experiments of this study, biofilm formation was observed on the electrodes, which may be a contributing factor to the significant differences in CV curves at different voltages and could also be a source of background inhibition; these hypotheses warrant further investigation.
Figure 8. Cyclic voltammetry (CV) curves before and after inoculation with culture medium (a), CV curves of N. closterium f. minutissima under different voltages of short-term (b) and continuous (c) DC stimulation.

3.5. Effect of Electrical Treatment on Microalgae Growth in the Photobioreactor

This study aims to evaluate the effectiveness of direct current (DC) stimulation for large-scale microalgal feed production. The photobioreactor facility used in this experiment was established between February and March 2023 and has developed into a fully operational system capable of producing over 4 tons of microalgal feed per day, primarily used for aquaculture species. Wastewater from the aquaculture park is stored in a reservoir, and excess microalgae can utilize the nutrients in the wastewater to aid in water purification. Currently, under the photobioreactor’s cultivation conditions, the maximum achievable microalgal cell concentration is limited to 1 × 10⁷ cells/mL. Based on prior experimental results, voltage gradients of 0.5 V, 1 V, and 3 V were selected for the electrical stimulation experiments conducted in a modified photobioreactor. Nutrient input was replenished after 48 h to ensure a continuous supply in the system.
The results, as shown in Figure 9, indicate that N. closterium f. minutissima exhibited significant differences (p < 0.05) in maximum cell density and dry weight under different voltage stimulations. Specifically, the final cell density at 1 V increased significantly (p < 0.05), with a 9.97% increase compared to the control, while the dry weight reached 0.574 ± 0.012 mg/mL, showing a 5.00% increase over the control (p < 0.05). No significant changes were observed in cell density or dry weight at 0.5 V. However, at 3 V, the final cell density decreased significantly (p < 0.05) by 20.37% compared to the control, and the dry weight dropped to 0.495 ± 0.013 mg/mL, representing a significant reduction of 9.50% (p < 0.05). These results suggest that 1 V DC stimulation significantly promotes microalgal growth in the photobioreactor setting, while 3 V exerts a strongly inhibitory effect, and 0.5 V has no significant influence.
Figure 9. Growth curve (n = 3, p < 0.05) (a) and biomass dry weight (b) of N. closterium f. minutissima under direct current (DC) stimulation at different voltages in photobioreactors. Different letters indicate significant differences among treatments. (Note: The horizontal axis of the growth curve here is in hours instead of days.).
As shown in Table 3, the specific growth rate (K1) at 1 V was higher than in the other groups, representing the highest daily growth rate within 72 h. However, K2 was lower than in the other groups, possibly due to the initial growth promotion by electrical stimulation, followed by slower growth as the cell density reached higher levels. At 3 V, K3 was markedly higher than in the other groups, representing the highest daily growth rate within 72 h, while the K3 value at 1 V was also higher than K2, potentially due to the nutrient addition at 48 h, which may have promoted further growth.
Table 3. Daily growth rate (Ki), overall growth rate (Kw), maximum daily growth rate (Kmax), and maximum cell density (MCD) of N. closterium f. minutissima in photobioreactors ( X ¯ ± SD, n = 3, p < 0.05). (Note: The growth rate K is calculated in days not in hours.).
To further explore the synergistic effects of electrical stimulation and nutrient addition on microalgal growth in photobioreactors, the experimental results were compared with the growth curve of Nitzschia closterium f. minutissima under standard production conditions (Figure S1). It was observed that all treatment groups experienced an additional growth phase after 48 h and entered the plateau phase earlier, at around 60 h, ultimately achieving higher cell densities.
Regarding the maximum cell density, both nutrient addition and electrical stimulation had significant effects on microalgal growth (p < 0.05). Compared to the standard conditions (10.51 ± 0.39 × 106 cells/mL), nutrient addition at 48 h resulted in a 5.76% increase in the maximum cell density, reaching 11.10 ± 0.53 × 106 cells/mL. The combination of 0.5 V stimulation and nutrient addition led to a 4.45% increase (10.96 ± 0.52 × 106 cells/mL), while the 1 V + nutrient addition treatment saw a more substantial increase of 16.31%, with a maximum cell density of 12.17 ± 0.49 × 106 cells/mL. In contrast, the 3 V + nutrient addition treatment resulted in a 15.78% decrease in maximum cell density.
To investigate the effects of electrical stimulation on Nitzschia closterium f. minutissima’s nutrient uptake efficiency and the environmental changes within the photobioreactor, daily samples were taken to measure total nitrogen (TN), total phosphorus (TP), and pH levels.
The results showed that electrical stimulation significantly affected the nitrogen and phosphorus uptake of N. closterium f. minutissima (p < 0.05). As shown in Figure 10b, TN levels were lowest under 1 V stimulation over 72 h, indicating the highest nitrogen consumption. In contrast, TN levels under 3 V remained relatively stable between 25 and 30 mg/L after 24 h. The 0.5 V group exhibited a similar trend to the control but slightly lower. At 72 h, both the 0.5 V and 1 V groups significantly consumed more nitrogen than the control (p < 0.05), with increases of 9.20% and 20.74%, respectively. In contrast, the 3 V group consumed significantly less nitrogen, 52.06% lower than the control (p < 0.05).
Figure 10. Changes in total nitrogen (TN) (n = 3, p < 0.05) (a), total phosphorus (TP) (n = 3, p < 0.05) (b), and pH (n = 3, p < 0.05) (c) in photobioreactors under different voltages of direct current (DC) stimulation.
Similarly, phosphorus consumption was significantly influenced by electrical stimulation. As shown in Figure 10b, at 72 h, the 1 V group consumed 10.85% more phosphorus than the control (p < 0.05), while the 0.5 V group showed a non-significant increase of 8.60% over the control. However, the 3 V group consumed 58.45% less phosphorus than the control (p < 0.05), indicating a significant inhibitory effect under 3 V stimulation, while 1 V stimulation promoted phosphorus uptake.
As shown in Figure 10c, voltage had a pronounced effect on pH changes in N. closterium f. minutissima cultures (p < 0.05). The pH under 3 V continuously decreased during the first 36 h, while the other groups showed a pH increase, stabilizing around 8.4, indicative of healthy growth. Between 36 and 48 h, the pH of the 3 V group began to rise, while the other groups started to decline, with the 1 V group exhibiting the smallest decrease and the most stable pH levels. From 48 to 72 h, the pH in the 1 V group stabilized, while the other groups showed a gradual increase, with all groups converging around 8.4 by the end of the experiment.

4. Discussion

4.1. Optimization Effect of Electrical Stimulation on N. closterium f. minutissima Under Laboratory

Previous research has primarily focused on the effects of electrical stimulation on freshwater microalgae and species from the Chlorophyta phylum. This study confirms that Nitzschia closterium f. minutissima, a marine diatom from the Bacillariophyta, can also experience growth promotion and nutrient accumulation through electrical stimulation. Consistent with previous findings on freshwater microalgae and green algae, electrical stimulation also optimizes the cultivation of N. closterium f. minutissima in several aspects, including increased cell density, enhanced biomass dry weight, and accelerated nutrient accumulation. Given the diversity and nutritional richness of microalgae, future research should explore whether electrical stimulation promotes growth across all phyla and how different electrical stimulation conditions can regulate the accumulation of specific target products.
To comprehensively evaluate the optimal voltage for cultivation optimization, Z-score standardization was applied to data across seven dimensions, and a radar chart was generated, with four dimensions representing nutrient levels in the culture. The results indicated that 3 V was the optimal voltage for promoting the growth and nutrient accumulation of Nitzschia closterium f. minutissima under short-term direct current stimulation, as evidenced by a shortened lag phase and a 67.66% increase in lipid content compared to the control group, reaching 94.95 ± 5.66 μg/mL. Polysaccharide and protein contents were also the highest among the short-term electrical stimulation groups (Figure 11a). For continuous direct current stimulation, 0.5 V was the optimal voltage, with a 39.47% increase in biomass dry weight compared to the control group, reaching 0.35 ± 0.02 μg/mL, while polysaccharide, protein, and lipid contents were the highest among the continuous stimulation groups (Figure 11b). By overlaying radar charts for the control group (CK), D-3 V, and C-0.5 V, the area sizes follow the order D-3 V > CK > C-0.5 V (Figure 11c), indicating that 3 V short-term stimulation was the optimal voltage in this study.
Figure 11. Radar analysis of the effect of short-term direct current (DC) stimulation (a), continuous DC stimulation (b) on the growth and nutrients of N. closterium f. minutissima and overlaying radar charts for the control group (CK), D-3 V, and C-0.5 V (c).
It is noteworthy that although 3 V was the optimal voltage according to the comprehensive evaluation, it was not the best for maximizing cell density or chlorophyll a accumulation, and its impact on biomass dry weight was limited. This suggests that different metabolic pathways respond uniquely to electrical stimulation. Similar findings were reported by He et al. in their study on the electrical stimulation of Scenedesmus obliquus, where 1 A/m2 stimulation resulted in the most significant increases in cell density, biomass, and chlorophyll a content, while 2 A/m2 stimulation yielded the highest accumulation of polysaccharides [13,14]. This indicates that the optimal stimulation conditions may vary depending on the target product. Additionally, while different phyla of microalgae exhibit varying response patterns to electrical stimulation, they also share certain commonalities, which warrants further exploration through studies across diverse microalgal phyla.
In this study, the most notable results of electrical stimulation on N. closterium f. minutissima include a 13.14% increase in microalgal cell density and a 67.66% increase in lipid content with short-term DC stimulation. However, compared to previous studies, there is still considerable room for improvement. For instance, in Kim et al.’s study on Haematococcus pluvialis, cell density increased by approximately 20% [15], and in Choi et al.’s research on Chlorella sp. KR-1, triglyceride yield increased by a factor of 2.1 compared to the untreated control [11]. Nonetheless, we believe that through further optimization of the electrical stimulation method and conditions, the overall effectiveness of electrical stimulation on N. closterium f. minutissima can be further enhanced.

4.2. Setup of Electrical Stimulation Methods and Conditions

This study is the first to apply electrical stimulation technology to marine microalgae and Bacillariophyta, making it crucial to evaluate whether the stimulation method and conditions are appropriately designed.
In terms of the stimulation method, direct current (DC) stimulation is easier to implement than pulse stimulation. The results show that continuous stimulation leads to prolonged contact between electrodes and algal solution, causing the microalgae to attach to the electrodes and form biofilms, which can negatively affect microalgal growth. This may partly account for the observed initial increase and subsequent decrease in cell density within the continuous stimulation group, as well as the significant differences noted between the C-0 V and D-0 V groups. To address this, shortening the duration of continuous stimulation and reducing electrode–algal solution contact time is recommended. In contrast, short-term DC stimulation offers energy-saving advantages, and this study has demonstrated that it significantly promotes microalgal growth. Under suitable short-term stimulation conditions, Nitzschia closterium f. minutissima exhibited a more than 13% increase in cell density, nearly 40% increase in chlorophyll a content, and over 67.66% increase in lipid content. These findings are consistent with Kim et al.’s study on Haematococcus pluvialis, where a 1 min DC stimulation increased cell density by 1.2 times and improved both astaxanthin and chlorophyll content [15]. This indicates that short-term DC stimulation can effectively promote growth and nutrient accumulation in both freshwater and marine microalgae, and adjusting the stimulation duration may further enhance the cost-effectiveness. Therefore, short-term DC stimulation shows significant potential for future applications and research. Additionally, Kim et al. noted that periodic short-term stimulation yields better effects compared to single applications [15]. Thus, future research and industrial practices should explore the optimization of microalgal cultivation through periodic short-term stimulation.
Regarding stimulation conditions, preliminary experiments in this study found that applying voltages above 10 V caused rapid aggregation and lysis of marine microalgae. Due to the higher salinity of seawater compared to freshwater, electrolysis reactions are more likely to occur under the influence of an electric field, negatively affecting microalgal growth. Therefore, this study applied mild voltages and short electrical durations to minimize electrolysis reactions, aiming to reduce any impact on the medium’s chemical properties while maintaining currents below 20mA. Under these conditions, the electrochemical changes caused by electrolysis in the microalgal culture medium were theoretically negligible [21]. Based on electrical experiments, observations of algal aggregation behavior, and CV-curve measurements, this study confirmed that the stimulation conditions did not significantly alter the medium’s properties nor cause severe stress to the cells, proving that the settings were appropriate.
However, Fitriana et al. reported that cathodic currents led to cell lysis, while anodic currents promoted astaxanthin biosynthesis in Haematococcus pluvialis [29]. This suggests that future research should consider the different effects of cathodic and anodic currents, and further investigate their roles in microalgal growth and metabolite production.

4.3. Mechanism of Electrical Stimulation Promoting Microalgal Growth

The results of the electrostimulation experiments on the culture medium indicate that the growth-promoting effect of electrical stimulation on Nitzschia closterium f. minutissima is achieved through direct action rather than indirectly affecting the microalgae growth via the culture medium. The cyclic voltammetry (CV) curves show differences in the redox peaks, suggesting changes in the electrochemical properties related to the metabolic activity of diatom cells under electrical stimulation. These results collectively indicate that electrical stimulation regulates the physiological metabolic activity of N. closterium f. minutissima.
The variations in nutrient levels within the cultures further confirm that electrical stimulation significantly influences the metabolic activity of N. closterium f. minutissima, possibly by affecting the activity or expression of specific enzymes. For example, Kim et al.’s studies have shown that electrical stimulation significantly increases the expression of the key enzyme EgGSL2 during starch synthesis in Euglena gracilis, thereby enhancing starch production [12]. This suggests that electrical stimulation may have a similar effect on the metabolism of N. closterium f. minutissima.
Notably, chlorophyll a, as a key pigment in photosynthesis, partially reflects the photosynthetic capability of microalgae [2,30]. However, the chlorophyll a content in the D-1 V group is significantly higher than in other groups, and this group also reaches the highest cell density, indicating that electrical stimulation may enhance the synthesis of chlorophyll a, thereby improving the photosynthetic level and accelerating cell growth. This finding partially explains the differences in the reduction peaks observed in the CV curves.
Additionally, electrical stimulation may directly or indirectly influence the cell division process of microalgae, which in turn affects other physiological activities. Growth curves and growth rate measurements indicate that electrical stimulation promotes the growth of N. closterium f. minutissima, although no significant differences in biomass dry weight are observed. Kim et al.’s studies have shown that continuous electrical stimulation inhibits cell division in Euglena gracilis, resulting in increased biomass accumulation and cell enlargement [12]. This suggests that electrical stimulation may inhibit the division process in N. closterium f. minutissima, leading to a decrease in cell volume and the consumption of organic material. This phenomenon reinforces the notion that increases in various nutrient contents are primarily due to the regulatory effects of electrical stimulation on metabolic pathways rather than overall growth promotion. However, the metabolic pathways of microalgae are complex, and further research is required to elucidate the specific effects of electrical stimulation on the steps of nutrient synthesis and the associated enzymes and genes.
Electron microscopy observations reveal that under brief electrical stimulation at 10 V, N. closterium f. minutissima cells exhibit wavy folds, while cells subjected to continuous stimulation at 1 V display some degree of shrinkage. This indicates that electrical stimulation affects the permeability of the cell wall and membrane of N. closterium f. minutissima. Coupled with cell size measurements, these morphological changes suggest that the cells exhibit trends of both enlargement and shrinkage under electrical stimulation, phenomena that have been reported in previous studies and are commonly associated with changes in microalgal metabolic activity [10,11,21]. This suggests that electrical stimulation may influence transmembrane transport by altering membrane properties, thereby affecting cellular metabolism. However, this study did not directly assess the extent of cell damage in each group; rather, it inferred that the damage in all groups was less than that observed under D-10 V or C-1 V conditions. Thus, it cannot be confirmed whether cell shrinkage or wavy folds are necessary conditions for the metabolic effects of electrical stimulation.
The combined effects of electrical stimulation partly explain the lack of significant cell aggregation behavior despite the observed shrinkage and fold formation in electron microscopy images. Cell aggregation is one of the responses of microalgae to environmental stress, indicating the intensity of environmental pressure experienced by the organisms [13,14,31,32]. The damage depicted in the electron microscopy images is reminiscent of the “electroporation” or “electrical damage” described in Berg et al.’s studies on strong, brief electrical stimulation [33], suggesting that despite some electrical damage, the beneficial effects of electrical stimulation may alleviate the stress on cells, preventing aggregation behavior from reaching significant levels.
These results indicate that the mechanism of action of electrical stimulation is complex and nonlinear, likely influencing the growth and metabolic processes of microalgae through multiple pathways. Thus, further research is required to elucidate the underlying mechanisms.

4.4. Application Prospects of Electrical Stimulation in Practical Production

N. closterium f. minutissima is widely used in aquaculture, and establishing an optimized cultivation system can enhance feed production efficiency and nutritional value, thereby promoting the development of the aquaculture industry. This chapter presents electrical stimulation experiments conducted in a workshop photobioreactor to explore the potential application and ecological effects of electrical stimulation in practical production settings. Overall, appropriate electrical stimulation has shown promising results in promoting microalgal growth within photobioreactor systems and holds significant potential. The ecological significance of electrical stimulation primarily includes the following: (1) enhancing microalgal growth and biomass accumulation, thereby increasing ecosystem productivity; and (2) promoting the consumption of nitrogen and phosphorus, which maintains a favorable growth state for microalgae and stabilizes environmental pH.
According to experimental results, under 1 V electrical stimulation, the maximum cell density and biomass dry weight of N. closterium f. minutissima significantly increased by 9.97% and 5.00%, respectively, compared to the control group, with a 12 h advancement into the stationary phase. This initial practical application in production settings represents a successful achievement. In contrast, under 3 V electrical stimulation, both the maximum cell density and biomass significantly decreased by 20.37% and 9.50%, respectively. These findings corroborate the dual effect of electrical stimulation: it can promote microalgal growth within a certain range but inhibit it at higher voltages. There may be an optimal voltage for promoting microalgal growth between 1 V and 3 V that requires further investigation.
Notably, this study selected the optimal voltage of 1 V for promoting cell density and 3 V for nutrient accumulation from the transient stimulation experiment, as well as 0.5 V as the overall optimal voltage from the continuous stimulation experiment. It was found that under modified photobioreactor production conditions, 1 V served as the optimal voltage, while 3 V inhibited microalgal growth, and the effects of 0.5 V were not significant. This indicates that the effects of electrical stimulation can vary under different application scenarios, suggesting that the optimal voltage for promoting microalgal growth is influenced by multiple factors and must be explored in specific contexts and conditions.
In laboratory results, notable inflections in growth curves were observed for the D-3 V and D-5 V groups, coupled with high growth rates, likely due to nutrient depletion in the culture medium. To prevent nutrient deficiency from limiting microalgal growth during production applications in the photobioreactor, an additional nutrient feed was introduced after 48 h. The growth curves indicate that this feeding allows microalgae to re-enter the logarithmic phase, achieving higher stationary phase densities, with the 1 V + feeding group reaching a cell density of 12.17 ± 0.49 × 106 cell/mL, significantly surpassing previous limitations, while the 0 V + feeding group also achieved 11.10 ± 0.53 × 106 cell/mL. These findings hold important guidance for optimizing microalgal cultivation in workshop photobioreactors.
The pH levels and nitrogen and phosphorus consumption by microalgae within the photobioreactor support the promoting effect of 1 V electrical stimulation on microalgal growth and the inhibitory effect of 3 V stimulation. They also highlight the potential of combining electrical stimulation with marine microalgae for water treatment applications. Recent studies have demonstrated that the combination of microalgae and electrical stimulation has considerable capacity for the removal of nitrogen and phosphorus from the environment, suggesting that bacteria may synergistically contribute to water purification alongside microalgae [21,31,34,35]. Although this chapter did not investigate the effects of electrical stimulation on the structure and function of aquatic bacterial communities or the relationship between microalgae and bacteria, the observed increase in bacterial numbers (Figure S2) alongside microalgal growth and nutrient consumption under electrical stimulation indicates the potential for synergistic water purification. Given the practical production context, microalgae produced in photobioreactors are positioned for wastewater treatment once they enter storage tanks from aquaculture ponds. The subsequent application of electrical stimulation may further enhance their nitrogen and phosphorus consumption capacity and improve water purification efficacy.
This study preliminarily demonstrates that direct current stimulation can effectively promote the growth and nutrient accumulation of Nitzschia closterium f. minutissima, providing a novel approach for obtaining high-quality feed sources in the aquaculture industry. However, the current experiments were conducted solely within a photobioreactor, and a comprehensive exploration of the application effects of electrical stimulation will face several challenges. Factors such as different container volumes, flow rates, and temperatures may all influence the effectiveness of electrical stimulation [36]. Furthermore, this study only conducted short-term electrical stimulation application experiments, with no investigation into long-term effects, which requires further research in the future.

5. Conclusions

This study highlights the potential of direct current (DC) electrical stimulation as a viable method to enhance the growth and nutrient composition of N. closterium f. minutissima for aquaculture feed. Short-term DC stimulation, especially at 1 V and 3 V, significantly increased cell density and lipid content, making it a more effective approach compared to continuous stimulation, which showed growth inhibition at higher voltages. The findings suggest that moderate short-term electrical stimulation could improve the efficiency of large-scale microalgal cultivation systems. Future studies should explore periodic short-term stimulation to further optimize microalgal productivity and nutrient accumulation for commercial applications.

6. Patents

Wang, Q., Chi, Y. (2024). Device and method for inducing rapid growth of microalgal cells through electrical stimulation. Patent No.: ZL 2024 1 0617019.4 [37].

Supplementary Materials

The following supporting information can be downloaded at: https://www.mdpi.com/article/10.3390/app142311127/s1, Figure S1: Growth curve of photoreactor standard culture process; Figure S2: Bacteria counts in photoreactors under different intensity of DC stimulation; Figure S3: Photo of the Erlenmeyer flask used in the experiment (single unit).

Author Contributions

Conceptualization, Q.W.; Methodology, Y.C. and Y.Z.; Formal analysis, Y.C. and W.H.; Resources, Q.W.; Data curation, Y.C.; Writing—original draft, Y.C.; Writing—review & editing, Y.C. and W.H.; Visualization, Y.C.; Supervision, Q.W.; Project administration, Y.C.; Funding acquisition, Q.W. All authors have read and agreed to the published version of the manuscript.

Funding

National Key R&D Program, Early Warning Control and Erosion Shoreline Ecological Stabilization Technology for the Expansion of Spartina alterniflora in the Yellow River Delta (2022YFC3204304-4).

Institutional Review Board Statement

Not applicable.

Data Availability Statement

The raw data supporting the conclusions of this article will be made available by the authors on request.

Conflicts of Interest

The authors declare no conflict of interest.

References

  1. Naylor, R.L.; Hardy, R.W.; Buschmann, A.H.; Bush, S.R.; Cao, L.; Klinger, D.H.; Little, D.C.; Lubchenco, J.; Shumway, S.E.; Troell, M. A 20-year retrospective review of global aquaculture. Nature 2021, 591, 551–563. [Google Scholar] [CrossRef] [PubMed]
  2. Soto-Sánchez, O.; Hidalgo, P.; González, A.; Oliveira, P.E.; Arias, A.J.H.; Dantagnan, P. Microalgae as Raw Materials for Aquafeeds: Growth Kinetics and Improvement Strategies of Polyunsaturated Fatty Acids Production. Aquac. Nutr. 2023, 2023, e5110281. [Google Scholar] [CrossRef] [PubMed]
  3. Olaizola, M.; Grewe, C. Commercial Microalgal Cultivation Systems. In Grand Challenges in Algae Biotechnology; Hallmann, A., Rampelotto, P.H., Eds.; Springer International Publishing: Cham, Switzerland, 2019; pp. 3–34. [Google Scholar] [CrossRef]
  4. Li, S.; Li, X.; Ho, S.-H. Microalgae as a solution of third world energy crisis for biofuels production from wastewater toward carbon neutrality: An updated review. Chemosphere 2022, 291, 132863. [Google Scholar] [CrossRef]
  5. Nagappan, S.; Das, P.; AbdulQuadir, M.; Thaher, M.; Khan, S.; Mahata, C.; Al-Jabri, H.; Vatland, A.K.; Kumar, G. Potential of microalgae as a sustainable feed ingredient for aquaculture. J. Biotechnol. 2021, 341, 1–20. [Google Scholar] [CrossRef] [PubMed]
  6. Janssen, M.; Wijffels, R.H.; Barbosa, M.J. Microalgae based production of single-cell protein. Curr. Opin. Biotechnol. 2022, 75, 102705. [Google Scholar] [CrossRef]
  7. Barbosa, M.J.; Janssen, M.; Südfeld, C.; D’adamo, S.; Wijffels, R.H. Hypes, hopes, and the way forward for microalgal biotechnology. Trends Biotechnol. 2023, 41, 452–471. [Google Scholar] [CrossRef]
  8. Golberg, A.; Sack, M.; Teissie, J.; Pataro, G.; Pliquett, U.; Saulis, G.; Stefan, T.; Miklavcic, D.; Vorobiev, E.; Frey, W. Energy-efficient biomass processing with pulsed electric fields for bioeconomy and sustainable development. Biotechnol. Biofuels 2016, 9, 94. [Google Scholar] [CrossRef] [PubMed]
  9. Gusbeth, C.A.; Eing, C.; Gottel, M.; Frey, W. Boost of algae growth by ultra short pulsed electric field treatment. In Proceedings of the 2013 Abstracts IEEE International Conference on Plasma Science (ICOPS), San Francisco, CA, USA, 16–21 June 2013; p. 1. [Google Scholar] [CrossRef]
  10. La, H.-J.; Choi, G.-G.; Cho, C.; Seo, S.-H.; Srivastava, A.; Jo, B.-H.; Lee, J.-Y.; Jin, Y.-S.; Oh, H.-M. Increased lipid productivity of Acutodesmus dimorphus using optimized pulsed electric field. J. Appl. Phycol. 2016, 28, 931–938. [Google Scholar] [CrossRef]
  11. Choi, S.-A.; Lee, S.Y.; Lee, J.; Cho, J.M.; Lee, J.-S.; Kim, S.W.; Kim, D.-Y.; Park, S.-K.; Jin, C.-S.; Oh, Y.-K. Rapid induction of edible lipids in Chlorella by mild electric stimulation. Bioresour. Technol. 2019, 292, 121950. [Google Scholar] [CrossRef] [PubMed]
  12. Kim, J.Y.; Oh, J.-J.; Kim, D.H.; Kim, H.S.; Lee, C.; Park, J.; Choi, Y.-E. Application of electrical treatment on Euglena gracilis for increasing paramylon production. Appl. Microbiol. Biotechnol. 2021, 105, 1031–1039. [Google Scholar] [CrossRef]
  13. He, Z.; Jin, W.; Zhou, X.; Han, W.; Gao, S.; Chen, C.; Chen, Y.; Yin, S.; Che, L.; Jiang, G. Enhancing biomass and lipid yield of microalga Scenedesmus obliquus by the periodic direct current. J. Water Process Eng. 2022, 48, 102872. [Google Scholar] [CrossRef]
  14. He, Z.; Jin, W.; Zhou, X.; Sun, J. Improving microalgal growth and nitrogen, and phosphorus removal by electric field in municipal wastewater. Process Saf. Environ. Prot. 2024, 188, 549–558. [Google Scholar] [CrossRef]
  15. Kim, J.Y.; Lee, C.; Jeon, M.S.; Park, J.; Choi, Y.-E.; Kim, J.Y.; Lee, C.; Jeon, M.S.; Park, J.; Choi, Y.-E. Enhancement of microalga Haematococcus pluvialis growth and astaxanthin production by electrical treatment. Bioresour. Technol. 2018, 268, 815–819. [Google Scholar] [CrossRef]
  16. Chen, Z.; Wang, G.; Zeng, C.; Wu, L. Comparative study on the effects of two diatoms as diets on planktonic calanoid and benthic harpacticoid copepods. J. Exp. Zool. Part A Ecol. Integr. Physiol. 2018, 329, 140–148. [Google Scholar] [CrossRef]
  17. Su, X.; Xu, J.; Yan, X.; Zhao, P.; Chen, J.; Zhou, C.; Zhao, F.; Li, S. Lipidomic changes during different growth stages of Nitzschia closterium f. minutissima. Metabolomics 2013, 9, 300–310. [Google Scholar] [CrossRef]
  18. Shi, J.; Pan, K.; Wang, X.; Chen, F.; Zhou, M.; Zhu, B.; Qing, R. Hierarchical recognition on the taxonomy of Nitzschia closterium f. minutissima. Chin. Sci. Bull. 2008, 53, 245–250. [Google Scholar] [CrossRef]
  19. Li, B.; Liu, Y.; Liu, H.; Xin, N.; Yin, W. Studies on the growth and semi-continuous culture conditions of Nitzschia closterium f. minutissima. Aquat. Sci. Technol. Intell. 2012, 39, 55–58. (In Chinese) [Google Scholar]
  20. Fabregas, J.; Herrero, C.; Cabezas, B.; Abalde, J. Mass culture and biochemical variability of the marine microalga Tetraselmis suecica Kylin (Butch) with high nutrient concentrations. Aquaculture 1985, 49, 231–244. [Google Scholar] [CrossRef]
  21. Cheng, J.; Xin, K.; Wang, Z.; Zhu, Y.; Xia, R.; Yang, W.; Liu, J. Improving biomass growth of Nannochloropsis oceanica with electrical treatment. J. CO2 Util. 2022, 58, 101923. [Google Scholar] [CrossRef]
  22. Zarrinmehr, M.J.; Farhadian, O.; Heyrati, F.P.; Keramat, J.; Koutra, E.; Kornaros, M.; Daneshvar, E. Effect of nitrogen concentration on the growth rate and biochemical composition of the microalga, Isochrysis galbana. Egypt. J. Aquat. Res. 2020, 46, 153–158. [Google Scholar] [CrossRef]
  23. Wellburn, A.R. The Spectral Determination of Chlorophylls a and b, as well as Total Carotenoids, Using Various Solvents with Spectrophotometers of Different Resolution. J. Plant Physiol. 1994, 144, 307–313. [Google Scholar] [CrossRef]
  24. Wu, L.; Gao, Y.; Ren, W.-C.; Su, Y.; Li, J.; Du, Y.-Q.; Wang, Q.-H.; Kuang, H.-X. Rapid determination and origin identification of total polysaccharides contents in Schisandra chinensis by near-infrared spectroscopy. Spectrochim. Acta Part A Mol. Biomol. Spectrosc. 2022, 264, 120327. [Google Scholar] [CrossRef] [PubMed]
  25. Ryckebosch, E.; Muylaert, K.; Foubert, I. Optimization of an Analytical Procedure for Extraction of Lipids from Microalgae. J. Am. Oil Chem. Soc. 2012, 89, 189–198. [Google Scholar] [CrossRef]
  26. Peng, Y.; Liu, Y.; Qi, Y.; Hu, Y.; Fu, W. Comparison of detection methods of total lipid content in microalgae. J. Dalian Ocean. Univ. 2015, 30, 455–460. (In Chinese) [Google Scholar]
  27. GB/T 12763.4-2007; Marine Survey Specification. Standards Press of China: Beijing, China, 2007.
  28. Gualtieri, P.; Barsanti, L. Algae: Anatomy, Biochemistry, and Biotechnology, 3rd ed.; CRC Press: Boca Raton, FL, USA, 2022. [Google Scholar] [CrossRef]
  29. Fitriana, H.-N.; Lee, S.-Y.; Choi, S.-A.; Lee, J.-Y.; Kim, B.-L.; Lee, J.-S.; Oh, Y.-K. Electric Stimulation of Astaxanthin Biosynthesis in Haematococcus pluvialis. Appl. Sci. 2021, 11, 3348. [Google Scholar] [CrossRef]
  30. Hagen, C.; Grünewald, K.; Schmidt, S.; Müller, J. Accumulation of secondary carotenoids in flagellates of Haematococcus pluvialis (Chlorophyta) is accompanied by an increase in per unit chlorophyll productivity of photosynthesis. Eur. J. Phycol. 2000, 35, 75–82. [Google Scholar] [CrossRef]
  31. Luo, L.; Li, M.; Luo, S.; Awasthi, M.K.; Lin, X.; Liao, X.; Peng, C.; Yan, B. Enhanced removal of humic acid from piggery digestate by combined microalgae and electric field. Bioresour. Technol. 2022, 347, 126668. [Google Scholar] [CrossRef]
  32. Zenouzi, A.; Ghobadian, B.; Hejazi, M.A.; Rahnemoon, P. Harvesting of Microalgae Dunaliella salina Using Electroflocculation. J. Agric. Sci. Technol. 2013, 15, 879–887. [Google Scholar]
  33. Berg, H. Electrostimulation of cell metabolism by low frequency electric and electromagnetic fields. Bioelectrochem. Bioenerg. 1993, 31, 1–25. [Google Scholar] [CrossRef]
  34. Yapeng, T.; Ruixuan, W.; Jianhua, H.; Lishi, Y.; Shigui, J.; Heizhuo, L.; Guofu, W. Effects of two breeding methods on growth and bacterial structure of Nitzschia closterium f. minutissima. South China Fish. Sci. 2019, 15, 55–62. (In Chinese) [Google Scholar]
  35. Song, C.; Liu, Z.; Wang, C.; Li, S.; Kitamura, Y. Different interaction performance between microplastics and microalgae: The bio-elimination potential of Chlorella sp. L38 and Phaeodactylum tricornutum MASCC-0025. Sci. Total Environ. 2020, 723, 138146. [Google Scholar] [CrossRef] [PubMed]
  36. Pereira, R.N.; Jaeschke, D.P.; Mercali, G.D.; Rech, R.; Marczak, L.D.F. Impact of ultrasound and electric fields on microalgae growth: A comprehensive review. Braz. J. Chem. Eng. 2022, 40, 607–622. [Google Scholar] [CrossRef]
  37. Wang, Q.; Chi, Y. Electric Stimulation Method and Device for Inducing Rapid Growth of Microalgae Cells. Patent CN202410617019.4, 3 September 2024. (In Chinese). [Google Scholar]
Disclaimer/Publisher’s Note: The statements, opinions and data contained in all publications are solely those of the individual author(s) and contributor(s) and not of MDPI and/or the editor(s). MDPI and/or the editor(s) disclaim responsibility for any injury to people or property resulting from any ideas, methods, instructions or products referred to in the content.

Article Metrics

Citations

Article Access Statistics

Multiple requests from the same IP address are counted as one view.