Next Article in Journal
A Cross-Sectional Study of Gastrocnemius Medialis Muscle Fascicle Length and Anatomical Cross-Sectional Area in 8- to 18-Year-Old Female Volleyball Athletes
Previous Article in Journal
Extending a Macro-Element Approach for the Modeling of 3D Masonry Structures Under Transient Dynamic Loading
 
 
Font Type:
Arial Georgia Verdana
Font Size:
Aa Aa Aa
Line Spacing:
Column Width:
Background:
Article

Path Planning for Yarn Changing Robots Based on NRBO and Dynamic Obstacle Avoidance Strategy

1
College of Mechanical Engineering, Zhejiang Sci-Tech University, Hangzhou 310018, China
2
Key Laboratory of Modern Textile Machinery & Technology of Zhejiang Province, Zhejiang Sci-Tech University, Hangzhou 310018, China
*
Author to whom correspondence should be addressed.
Appl. Sci. 2024, 14(23), 11086; https://doi.org/10.3390/app142311086
Submission received: 19 September 2024 / Revised: 3 November 2024 / Accepted: 26 November 2024 / Published: 28 November 2024

Abstract

To address the shortcomings of traditional bionic algorithms in path planning, such as inefficient search processes, extended planning distances and times, and suboptimal dynamic obstacle avoidance, this paper introduces a fusion algorithm called NRBO-DWA. This algorithm is specifically applied to plan the path for a tube-changing robot in a knitting workshop. The process begins with spatial modeling based on the actual parameters of the workshop, followed by the development of a comprehensive, objective function for the robot in line with the relevant constraints. The NRBO algorithm is then integrated with the DWA algorithm to boost its dynamic obstacle avoidance capabilities, while a path correction mechanism is introduced to minimize unnecessary detours. Finally, a comparative experiment is designed to evaluate the algorithm against the GA, PSO, and SSA algorithms. Simulation results demonstrate that in a dynamically complex 3D environment, the NRBO-DWA algorithm outperforms in terms of higher 3D search efficiency, shorter total path length, and faster planning times.

1. Introduction

In response to the continuous rise in labor costs and changes in the labor structure, the knitting industry urgently requires strategic transformation and upgrading. During this process, the integration of intelligent control theory, robotics, and automation technologies has become essential for driving industrial progress and enhancing market competitiveness [1]. These technologies enable enterprises to reduce their dependence on human resources, lower production costs, improve process efficiency, and enhance product quality, thereby gaining a competitive edge in a highly contested market [2]. Yarn bobbin replacement is a critical step in improving production efficiency and reducing costs within the knitting industry. This process involves several key aspects, including the precise planning of yarn bobbin storage locations, the operational paths of automated bobbin-changing machinery, and the control of yarn tension. The primary objective is to minimize machine downtime, ensure continuous production, maintain yarn quality, and reduce material waste. By using robots to replace human labor in the bobbin-changing process, path planning technology becomes crucial, as it directly affects the accuracy of bobbin replacement and the operational efficiency of the robots.
Path planning for bobbin-changing robots presents two main challenges: the first is identifying the shortest path to avoid static obstacles during global planning, which requires selecting the optimal route by analyzing the costs of different paths. The second challenge is avoiding dynamic obstacles during local planning, which requires the robot to quickly adjust its route based on the movements of surrounding obstacles.
For global path planning, considering the layout of static obstacles is fundamental to the planning process [3]. Current research on static obstacle avoidance primarily falls into two categories: traditional search algorithms and intelligent optimization algorithms. Traditional search algorithms, such as the A* algorithm, Dijkstra’s algorithm, and graph search algorithms, are simple and effective but become less practical as problem complexity increases, often failing to yield an acceptable solution within a short time frame. Consequently, intelligent optimization algorithms inspired by natural phenomena, such as Genetic Algorithms (GA), Ant Colony Optimization (ACO), Particle Swarm Optimization (PSO), and the Sparrow Search Algorithm (SSA), have emerged, providing innovative solutions to engineering problems. Currently, scholars are mainly focused on improving classical bio-inspired algorithms to enhance global path planning, addressing issues such as low population initialization efficiency and poor solution quality. Wahab [4] introduced an improved Genetic Algorithm known as the Capacitance-Based Probabilistic Roadmap (CBPRM) technique, which uses the fitness score of environmental cells to guide population initialization, thereby reducing the number of infeasible paths and balancing global and local searches through a combination of genetic operators, ultimately improving the optimal path quality. Yuzhuo [5] designed a new probabilistic transition function for the Ant Colony Algorithm, enhancing the algorithm’s convergence speed by adaptively adjusting the weights of different components in the function. He also introduced a diagonal obstacle detection and optimization mechanism to further optimize the global path and proposed a dynamic collision classification model along with corresponding strategies for avoiding dynamic obstacles. Li [6] developed an inertia weight update strategy to address the premature convergence issue in traditional PSO algorithms. He used fuzzy control to calculate each particle’s learning factor, enhancing global search capability, which was then applied to large and complex maps. Ge Yihang [7] proposed a mapping strategy based on Tent chaotic theory to increase population diversity and prevent the PSO algorithm from falling into local optima [8]. By introducing directional factors, this strategy reduced sharp turns in the path and smoothed the particle search trajectory using cubic spline interpolation techniques, thus improving the algorithm’s global search performance. Song Jiankang [9] highlighted the randomness and subtlety of intermittent faults, which complicate the process of fault diagnosis. A probability-based diagnostic approach was proposed to enhance the identification and management of these faults, ultimately improving the overall reliability and safety of the system.
Local dynamic path planning algorithms include the Artificial Potential Field (APF), Dynamic Window Approach (DWA), Model Predictive Control (MPC) [10], and Rapidly-exploring Random Tree (RRT), among others. Each of these methods offers specific advantages and disadvantages. For instance, while the APF method is computationally simple, it tends to fall into local minima. The DWA can account for motion constraints but requires complex parameter tuning. MPC can handle intricate constraints but has high computational complexity, whereas RRT is well-suited for high-dimensional search spaces but demands frequent iterations.
While there are various existing path-planning solutions, the application of bio-inspired algorithms in practical knitting workshop scenarios—especially in dynamic, three-dimensional environments—remains relatively rare. This paper, drawing on the specific context of a circular knitting production workshop, proposes a hybrid algorithm combining NRBO with DWA alongside a path correction mechanism for more effective global path planning [11]. In the presence of static obstacles, the algorithm employs multiple vector sets and two operators (NRSR and TAO) to explore the search space, using NRM to define the search area and identify the optimal path. For dynamic obstacles, the DWA algorithm performs window sampling and calculates three-dimensional waypoints to facilitate obstacle avoidance. A comparison is made between the NRBO-DWA algorithm and conventional algorithms like GA, PSO, and SSA, focusing on total path length and planning time as performance metrics. Experimental outcomes reveal that the NRBO-DWA algorithm offers significant improvements in both path length and planning efficiency.

2. Path Planning Problem and Modeling in the Knitting Workshop

2.1. Description of the Path Planning Problem in the Workshop

The two-dimensional layout of the circular knitting workshop is illustrated in Figure 1, highlighting three key areas: the circular knitting machine work area, the yarn rack area, and the preparation yarn rack area. Each circular knitting machine is supported by five yarn racks, with each rack containing 8 rows and 5 columns of yarn bobbins. In the preparation area, each yarn rack holds 6 rows and 4 columns of full yarn bobbins, as depicted in the three-dimensional model in Figure 2.
To achieve full automation in the production workshop, the robot follows the planned bobbin replacement process, moving from its initial to its target position. Path planning is a critical step to minimize bobbin replacement time and ensure continuous operation of the circular knitting machines. The yarn bobbin replacement process is shown in Figure 3. According to the procedure, the robot retrieves materials from a designated position in the preparation yarn rack area and navigates through static obstacles to enter the aisle between the preparation and yarn racks, where moving obstacles simulate potential operational challenges. After dynamically avoiding these moving obstacles, the robot returns to static obstacle avoidance mode and ultimately reaches the designated loading point. The robot then performs the subsequent empty bobbin replacement action automatically.
The end effector of the bobbin replacement robot is controlled by a three-degree-of-freedom gantry. During the robot’s path planning, it periodically collects the spatial coordinates of the end effector, guiding the gantry to move to the designated position.

2.2. Model Assumptions

To simulate the path planning of the bobbin replacement robot in a knitting production workshop, the actual production model must be simplified, and the factory model needs to meet the following basic prerequisites:
  • The loading and unloading technology in the knitting production workshop has already been implemented, so the pick-and-place actions of the gantry robot’s end effector are not considered.
  • The initial and target positions for the bobbin replacement robot have been determined based on the priority of the loading and unloading sequence in the production workshop.
  • Representative initial and target positions have been selected.
  • The dimensions of the yarn bobbins, yarn racks, and other components necessary for constructing the three-dimensional grid map are known.

2.3. Environment Modeling of the Workshop

In the field of path planning, the Occupancy Grid Map is a widely adopted map representation technique [12]. It is popular due to its precise environmental modeling capabilities, real-time updating features, adaptability to different environment scales, and seamless integration with the Robot Operating System (ROS). Using such a map, the robot can perform path planning and obstacle avoidance more effectively, ensuring the successful execution of path planning tasks. This paper employs a three-dimensional grid map for modeling, where the entire grid is composed of tightly arranged cubic cells. Each grid cell records its occupancy state, classified into two categories: occupied and free. The occupied state signifies that the grid cell is obstructed by an object or obstacle, preventing the robot from passing through. In contrast, the free state indicates that the cell is clear, allowing the robot to navigate through it.
This study uses the bobbin replacement process illustrated in Figure 3 as a model for environmental construction. To minimize the computational burden of subsequent algorithms while maintaining the effectiveness of path planning, the cylindrical shape of the yarn bobbins and the irregular shapes of the preparation and yarn racks are simplified as much as possible. The simplified three-dimensional grid map of the knitting production workshop is shown in Figure 4. Two cylinders represent the positions of the yarn bobbins, while eight cuboids represent the yarn racks in the occupied state, marking areas where the robot cannot traverse. Small cuboids signify dynamic obstacles on the robot’s path. To ensure obstacles do not block the planned path, some cuboids are displayed using a transparent perspective.

2.4. Objective Function of the Model

Multiple constraint costs need to be evaluated to validate the effectiveness of the bobbin replacement robot’s path planning. This paper adopts two key performance indicators commonly used in path planning as objective functions: total path length and path planning time. Additionally, a height constraint is introduced as an extra condition, considering the gantry’s height limit.

2.4.1. Total Path Length

Assume the robot passes through n points, denoted by Li. Each path point corresponds to a path node with coordinates on the grid map, denoted as L i j = x i j , y i j , z i j , and the vector between two nodes is represented as L i j L i , j + 1 . The total path length is expressed by Equation (1).
F 1 ( L i ) = j = 1 n 1 L i j L i , j + 1

2.4.2. Path Planning Time

In addition to the total path length being a key indicator, the planning time is also an important metric. The robot passes through n points, and the planning time between two adjacent nodes is denoted by T i . The total planning time is expressed by Equation (2).
F 2 ( L i ) = i = 1 n 1 T i

2.4.3. Height Constraint Conditions

The robot’s movement along the Z-axis is constrained by the height of the gantry, so the height in path planning must remain within the specified minimum and maximum values. If the height exceeds this range or reaches its boundaries, a preset penalty mechanism will be triggered.
Z i j = ( z i j z max + z min ) / z i j , ( z max + z min ) / 2 z i j z max ( z max z min ) / z i j , z min z i j ( z max + z min ) / 2 , otherwise
In Equation (3) z i j represents the Z-axis coordinate of the robot’s path point and Z i j is a penalty factor to ensure that the robot does not exceed the height limit. The sum of penalty factors for all path points forms the height constraint condition, as shown in Equation (4).
F 3 ( L i ) = j = 1 n Z i j

2.4.4. Objective Function

By considering the total path length, planning time, and introducing the height constraint condition, the objective function [13] of this model is defined as shown in Equation (5), where a k is the weight coefficient, and F 1 , F 2 , and F 3 represent the total path length, planning time, and height constraint condition, respectively. The total objective function serves as the primary goal of the algorithm.
F L i = k = 1 3 a k F k L i

3. NRBO-DWA Fusion Algorithm

3.1. Newton-Raphson Iterative Method (NRM)

The Newton-Raphson Method (NRM), an iterative technique, is employed to locate the roots of a function using the first few terms of the Taylor series expansion near an estimated root. Beginning from an initial point x 0 , the method utilizes the Taylor series evaluated at x 0 to find a nearby point, repeating this process until an acceptable solution is found. The Taylor series expansion around point x = x 0 + ε is expressed as follows:
f ( x 0 + ε ) = f ( x 0 ) + f ( x 0 ) ε + f ( x 0 ) ( ε ) 2 2 ! + f ( x 0 ) ( ε ) 3 3 ! +
Retaining the second-order term:
f ( x 0 + ε ) f ( x 0 ) ε + f ( x 0 ) ε 2 2
Assume f ( x 0 + ε ) = 0 , solving for yields ε = ε 0 .
ε 0 = f ( x 0 ) f ( x 0 )
Equation (8) represents the second-order adjustment of the solution location. Let x 1 = x 0 + ε 0 to determine the next root position, and this process is repeated according to Equation (9) until convergence to the optimal solution is achieved.
ε n = f ( x n ) f ( x n )
It’s important to note that the Newton-Raphson Method may experience instability in certain regions. Nevertheless, with an appropriate starting point, the method typically converges safely, leading to the derivation of Equation (10).
x n + 1 = x n f ( x n ) f ( x n ) , n = 1 , 2 , 3 ,
In this method, an approximate zero point is used as the initial point x 0 , ensuring the reliable convergence of the algorithm

3.2. Newton-Raphson Optimisation Algorithm (NRBO)

3.2.1. Population Initialization

The Newton-Raphson-based optimizer (NRBO), which draws inspiration from the Newton-Raphson Method (NRM), is a novel metaheuristic optimization algorithm introduced by Sowmya et al. in 2024 [14]. This algorithm leverages NRM to navigate the search space and define the search trajectory. It employs multiple vector sets and two operators, NRSR and TAO, to thoroughly explore the search domain.
When solving an unconstrained single-objective optimization problem, the optimization process can be defined as follows:
Minimize :   F L i l b L j u b , j = 1 , 2 , , d i m
In Equation (11), F L i is the objective function to be minimized, L j represents the decision vector, dim refers to the dimensionality of the problem, while lb and ub stand for the lower and upper bounds, respectively. Like other metaheuristic approaches, NRBO begins its search for the optimal solution by randomly generating an initial population within the limits of the candidate solutions. Let’s assume there are Np populations, each composed of decision vectors of dimension dim. The random population generation process follows Equation (12).
L j n = l b + r a n d × ( u b l b ) , n = 1 , 2 , , N p   and   j = 1 , 2 , , d i m
In this context, L j n refers to the position of the j-th dimension within the n-th population, while rand is a randomly generated number between 0 and 1 [15]. Equation (13) describes the population matrix, which accounts for all the dimensions involved.
L n = L 1 1 L 2 1 L d i m 1 L 1 2 L 2 2 L d i m 2 L 1 N p L 2 N p L d i m N p N p × d i m

3.2.2. NRSR Search Rules

Since many optimization problems involve non-differentiable functions, NRM serves as a substitute for explicitly formulating the function. NRM starts with an initial assumed solution and proceeds to the next position by approximating the second-order derivative using the Taylor series expansion.
The neighboring positions, denoted by L n + Δ L and L n Δ L , are then transformed into two different vectors in the population using NRBO. The position L n + Δ L has a worse fitness than L n , while L n Δ L has a better fitness than L n . Therefore, NRBO replaces the position L n Δ L with a better neighboring position Lb compared to L n , and L n + Δ L is replaced with a worse neighboring position Lw. One advantage of this method is that it uses positions, significantly reducing computation time. The updated position in NRSR is shown below:
L n + 1 = L n ( f ( L n + Δ L ) f ( L n Δ L ) ) × Δ L 2 × ( f ( L n + Δ L ) + f ( L n Δ L ) 2 × f ( L n ) )
NRSR = r a n d n × ( L w L b ) × Δ L 2 × ( L w + L b 2 × L n )
In this transformation, randn represents a random number from a normal distribution with a mean of 0 and variance of 1, Lw refers to the worst position, and Lb denotes the best position [16]. The algorithm must balance exploration and exploitation in the search space to converge on the global optimum [17]. To achieve this, an adaptive coefficient δ is introduced, which enhances the algorithm’s performance. The formula for δ is given as follows:
δ = 1 2 × T M a x T 5
Here, T represents the current iteration number, and MaxT refers to the maximum number of iterations. During the iterative process, the coefficient δ dynamically adjusts between [−1, 1], ensuring that the algorithm maintains a balance in the search phase, thus avoiding local optima while also reducing the overall number of iterations and improving NRBO’s efficiency. The expression for Δ L in Equation (15) is as follows:
Δ L = r a n d ( 1 , d i m ) × L b L n T
Lb represents the best solution achieved thus far and r a n d ( 1 , d i m ) is a random number applied to dim decision variables, which modifies Equation (14).
L n + 1 = L n N R S R
Additionally, a parameter ρ is introduced to help steer the population towards the correct direction. The expression for ρ is as follows:
ρ = a × L b L n T + b × L r 1 T L r 2 T
In this equation, a and b are random values ranging between (0,1), while r 1 and r 2 are distinct integers randomly chosen from the population. Importantly, r 1 and r 2 are not the same. The position of the vector L 1 n T is updated following Equation (20).
L 1 n T = L n T r a n d n × ( L w L b ) × Δ L 2 × ( L w + L b 2 × L n ) + a × L b L n T + b × L r 1 T L r 2 T
In this equation, L 1 n T represents the new vector position obtained by updating L n T . NRSR is further improved through NRM, and Equation (14) is rewritten as Equation (24).
NRSR = r a n d n × ( M w M b ) × Δ L 2 × ( M w + M b 2 × L n )
M w = r 1 × ( Mean ( Z n + 1 + L n ) + r 1 × Δ L )
M b = r 1 × ( Mean ( Z n + 1 + L n ) r 1 × Δ L )
Z n + 1 = L n r a n d n × ( L w L b ) × Δ L 2 × ( L w + L b 2 × L n )
In this equation, Mw and Mb are the positions of two vectors generated using Z n + 1 and L n . The improved NRSR formula is given by Equation (21).
L 1 n T = L n T r a n d n × ( M w M b ) × Δ L 2 × ( M w + M b 2 × L n ) + a × L b L n T + b × L r 1 T L r 2 T
A new vector L 2 n T is constructed by replacing the best vector position Lb in Equation (25) with the current vector position L 1 n T .
L 2 n T = L b r a n d n × ( M w M b ) × Δ L 2 × ( M w + M b 2 × L n ) + a × L b L n T + b × L r 1 T L r 2 T
During the local search, the search method proposed in Equation (26) performs well, but it has limitations during the global search. Conversely, the search strategy proposed in Equation (25) performs well during the global search but has limitations during local search. Therefore, NRBO uses both Equations (25) and (26) simultaneously to address the above issues. The next iteration’s new position is determined as follows:
L n T + 1 = r 2 × r 2 × L 1 n T + ( 1 r 2 ) × L 2 n T + ( 1 r 2 ) × L 3 n T
L 3 n T = L n T δ × L 2 n T L 1 n T
r 2 is a randomly generated number between (0,1).

3.2.3. Trap Avoidance Operator (TAO)

TAO is an improved operator that greatly influences the position of L n T + 1 . It produces a solution by merging the optimal position Lb with the current vector position L n T . If the value of rand is less than DF, a better solution L T A O T is generated.
L T A O T = L n T + 1 + θ 1 × μ 1 × L b μ 2 × L n T + θ 2 × δ × μ 1 × Mean ( L T ) μ 2 × L n T , μ 1 < 0.5 L T A O T = L b + θ 1 × μ 1 × L b μ 2 × L n T + θ 2 × δ × μ 1 × Mean ( L T ) μ 2 × L n T , μ 1 0.5
μ 1 = 3 × r a n d Δ < 0.5 1 Δ 0.5
μ 2 = r a n d Δ < 0.5 1 Δ 0.5
μ 1 = β × 3 × r a n d + ( 1 β )
μ 2 = β × r a n d + ( 1 β )
L n T + 1 = L T A O T
θ 1 is a random value from the interval (−1,1), θ 2 is a random value from (−0.5,0.5), β denotes a binary variable, and rand represents a random value. If Δ is less than 0.5, β is assigned a value of 1; otherwise, it is set to 0. The random selection of parameters μ 1 and μ 2 introduces diversity into the population, allowing the algorithm to avoid local optima.

3.3. NRBO-DWA Fusion Algorithm

3.3.1. Local Path Planning with DWA Algorithm

The Dynamic Window Approach (DWA) is a widely adopted local path planning method frequently utilized in mobile robotics. This technique relies on velocity sampling, where the robot’s linear and angular velocities are sampled at a given moment and combined with its current position and orientation to forecast possible motion paths within a predefined short sampling period Δ t [18]. These trajectories are evaluated based on a predefined evaluation function to identify the optimal motion path. Since the sampling period Δ t is relatively short, it is reasonably assumed that the robot executes uniform linear motion during this period. A key advantage of the DWA is its simplicity, which enables real-time decision-making, making it highly effective for mobile robot path planning in dynamic environments.
y ( t + Δ t ) = y ( t ) + ν ( t ) Δ t cos ( Δ θ ) z ( t + Δ t ) = z ( t ) + ν ( t ) Δ t sin ( Δ θ ) θ ( t + Δ t ) = θ ( t ) + ω ( t ) Δ t
The coordinates y ( t ) and z ( t ) represent the robot’s positions along the Y-axis and Z-axis at time t, respectively, while θ ( t ) , ν ( t ) and ω ( t ) represent the robot’s orientation angle, linear velocity, and angular velocity at time t [19]. Here, Δ θ denotes the difference in orientation angle.
F ( v , w ) = α h ( v , w ) + β g ( v , w ) + γ v ( v , w )
The evaluation function of the DWA is outlined as follows: h ( v , w ) is the orientation evaluation function which assesses the deviation between the robot’s movement direction and the target point [20]. g ( v , w ) is the obstacle distance evaluation function, measuring the minimum distance between the predicted trajectory and obstacles to gauge collision risk. v ( v , w ) represents the robot’s speed evaluation function, reflecting the robot’s speed during task execution. The weights α , β , and γ correspond to these three evaluation functions and collectively define the robot’s overall performance during path planning.

3.3.2. Fusion Algorithm

The DWA algorithm excels in dynamic obstacle avoidance but struggles with finding optimal paths in complex environments and is susceptible to local optima. To overcome this limitation, this paper introduces a novel fusion strategy that integrates the global path planning capabilities of the NRBO algorithm with the local dynamic obstacle avoidance strength of the DWA algorithm, resulting in more efficient path planning. Key nodes from the NRBO-generated global path are utilized as local target points for the DWA algorithm [21]. This approach not only improves the DWA’s performance in local obstacle avoidance but also ensures global optimality in path planning by leveraging guidance from these key nodes.
The proposed fusion algorithm employs global path key nodes as local targets within the DWA framework, effectively guiding the spool-changing robot in both path tracking and dynamic obstacle avoidance. However, during the actual path search, the robot may deviate from its planned trajectory when avoiding local obstacles, leading to longer paths and extended travel time. To address this, a path correction mechanism is introduced. As shown in Figure 5, the strategy involves evaluating the robot’s relative position to the local target point during obstacle avoidance and subsequent realignment. After dynamic obstacle avoidance, the angle between the robot’s current position and the local target point, relative to the global path, is calculated to assess whether the robot has passed the target point. If the angle is less than 90°, the robot continues to use the target point as a reference; if the angle exceeds 90°, it indicates a deviation from the target point, prompting the correction strategy to realign the robot’s trajectory and minimize unnecessary detours.
The flowchart of the enhanced fusion algorithm is shown in Figure 6. This algorithm not only optimizes dynamic obstacle avoidance but also reduces the overall path length and time associated with the process.

4. Simulation Experiments and Comparison of the Fusion Algorithm

4.1. Standard Test Function Experiment

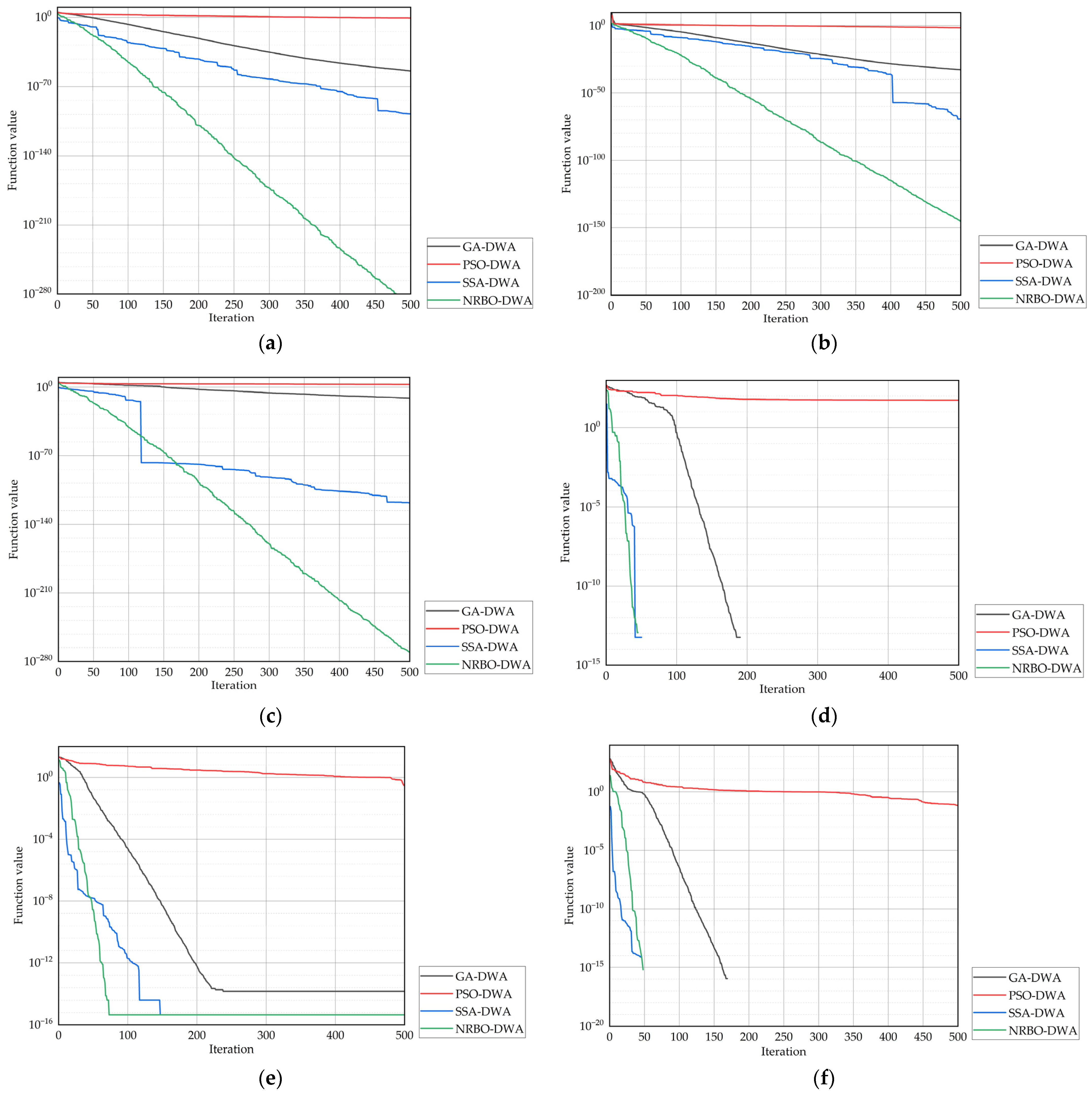
Three unimodal and three multimodal benchmark functions were selected for testing to assess the performance of the NRBO-DWA algorithm. Functions F1, F2 and F3 represent the unimodal benchmarks, while F4, F5 and F6 represent the multimodal benchmarks. The unimodal functions evaluate the algorithm’s local exploitation abilities, whereas the multimodal functions test its adaptive transition between local exploitation and global exploration. Details of the test functions are provided in Table 1.
For a fair comparison, all algorithms were configured with the same solution dimension, a population size of 30, and a consistent search space range for each function. Each algorithm was independently executed 30 times on each test function, with a maximum of 500 iterations per run. The performance was measured based on the best value (Best), average value (Average), and standard deviation (STD) across the 30 runs. Figure 7 displays the convergence curves for each algorithm, and Table 2 summarizes the comparative experimental results.
According to the results in Table 2 and Figure 7, the NRBO-DWA algorithm attains the global optimal solution on F1, F2 and F3 with the fastest convergence speed. This indicates that the integrated algorithm effectively circumvents local optima and enhances convergence speed. In the multimodal function tests, the NRBO-DWA algorithm demonstrates high search accuracy, with mean values and standard deviations superior to those of the comparison algorithms. Although other algorithms occasionally achieve the minimum values, the convergence curve of the fitness function shows that NRBO-DWA converges faster, requiring fewer iterations. The final optimization performance ranking, from highest to lowest, is as follows: NRBO-DWA, SSA-DWA, GA-DWA, PSO-DWA.

4.2. Experimental Setup

To evaluate the efficiency and effectiveness of the NRBO-DWA fusion algorithm in dynamic environment path planning, a 3D spatial simulation was conducted using the actual size parameters of a circular weft knitting workshop production line in Guangdong as the experimental background. In addition, recent bio-inspired algorithms, specifically the GA-DWA, PSO-DWA, and SSA-DWA algorithms, were selected for comparison. The 3D models and algorithms were implemented using MATLAB, with the simulation environment running on MATLAB R2022b, an AMD 7950X CPU, 64 GB of memory, and the Windows 11 operating system. The simulation environment was set in a 6000 mm × 8000 mm × 4000 mm 3D space map, where 3D path planning simulations were performed under the same conditions to verify the effectiveness of the NRBO-DWA algorithm. Obstacles were uniformly represented by rectangular cuboids, and passable areas were marked in white. Due to the large number of points in the 3D spatial map, the map was voxelized to reduce the computational load, with each voxel measuring 10 mm × 10 mm × 10 mm. The starting position for the simulation was set at coordinates (1000,1600,500), and the target position was set at (5000,7600,1000). The population size for the four algorithms was uniformly set to 100, with a maximum of 100 iterations. Dynamic obstacles were represented by small rectangular cuboids moving back and forth along the Y-axis in the range [5000, 6000] at a linear velocity of 1.5 m/s. Other parameter values are shown in Table 3.

4.3. Experimental Results and Analysis

Figure 8 displays the 3D trajectory curves of optimal paths generated after running the different algorithms 50 times on a 3D map. Figure 9 shows the objective function iteration curves of the algorithms, while Figure 10 compares the planning times over 50 runs. From Figure 8, it is clear that all four algorithms effectively avoid dynamic obstacles and eventually reach their target points. The PSO-DWA algorithm, however, tends to get trapped in local optima, resulting in the longest path, whereas the paths generated by the GA-DWA, SSA-DWA, and NRBO-DWA algorithms are of similar length. A further review of Figure 8 indicates that the GA-DWA algorithm stabilizes after 40 iterations, the PSO-DWA after 38 iterations, the SSA-DWA after 23 iterations, and the NRBO-DWA achieves stability in just 13 iterations, demonstrating better overall performance and a lower objective function.
Table 4 presents the average experimental results from 50 runs of the different algorithms on the 3D map, including path length, planning time, and objective function values. Analyzing the data in Table 4 reveals that the average path planning cost of the NRBO-DWA algorithm is reduced by 15.40%, 30.13%, and 14.99% compared to the GA-DWA, PSO-DWA, and SSA-DWA algorithms, respectively. Additionally, the average planning time of the NRBO-DWA algorithm is decreased by 23.48%, 26.54%, and 14.69% compared to the GA-DWA, PSO-DWA, and SSA-DWA algorithms, respectively.
In conclusion, the NRBO-DWA fusion algorithm demonstrates superior adaptability compared to the other algorithms within the given environment.

5. Conclusions

To address the limitations of the NRBO algorithm in local dynamic obstacle avoidance, this paper presents a novel fusion algorithm known as NRBO-DWA. This approach leverages key nodes in the global path as local target points for the DWA algorithm. A path correction strategy has been implemented to mitigate potential detours. Simulations using standard test functions demonstrate that the NRBO-DWA algorithm outperforms three other comparative algorithms in terms of faster convergence and fewer iterations. Additionally, the NRBO-DWA algorithm is applied to path planning for a yarn-winding robot operating in a three-dimensional dynamic environment. In this context, the costs associated with path length and planning time are given greater weight in the objective function, while height restrictions are assigned less weight. Experimental results indicate that, in comparison to other widely used bio-inspired algorithms, the proposed algorithm successfully completes the path planning task in the shortest possible time while exhibiting strong dynamic obstacle avoidance capabilities.

Author Contributions

Conceptualization, W.S.; methodology, Q.L.; software, Q.L.; validation, Q.L.; formal analysis, Q.L.; investigation, Q.L.; resources, W.S.; writing—original draft, Q.L.; writing—review and editing, L.S.; supervision, L.S.; project administration, W.S.; funding acquisition, W.S. All authors have read and agreed to the published version of the manuscript.

Funding

This research was funded by the National Key R&D Program of China, grant number 2017YFB1304000.

Institutional Review Board Statement

Not applicable.

Informed Consent Statement

Not applicable.

Data Availability Statement

The original contributions presented in the study are included in the article; further inquiries can be directed to the corresponding author.

Conflicts of Interest

The authors declare that they have no known competing financial interests or personal relationships that could have appeared to influence the work reported in this paper.

Nomenclature

x 0 Initial point T Current iteration
ε n Solution location M a x T Maximum number of iterations
x n + 1 Next approximation r 1 , r 2 and r 3 Random numbers
l b and u b Lower and upper bounds ρ Adaptive coefficient for improving exploitation
d i m Problem dimension L n T Current vector position
L j Decision vector L 1 n T New vector position by updating L n T
N p Population size L 2 n T New vector position by updating
L n Population matrix L 3 n T New vector position by updating
L w and L b Worst and best population position β Binary number, either 1 or 0
δ Adaptive coefficient for balancing exploration and exploitation θ 1 and θ 2 Uniform random numbers between (−1,1) and (−0.5,0.5)

References

  1. Wei, W. 2024 first half of the knitting industry economic operation analysis. Knitt. Ind. 2024, 8, 1–4. [Google Scholar]
  2. Jia, Z. Current situation and development trend of export trade of China’s knitting industry in 2023. Knitt. Ind. 2024, 4, 1–5. [Google Scholar]
  3. Zhou, X.; Yan, J.; Yan, M.; Mao, K.; Yang, R.; Liu, W. Path Planning of Rail-Mounted Logistics Robots Based on the Improved Dijkstra Algorithm. Appl. Sci. 2023, 13, 9955. [Google Scholar] [CrossRef]
  4. Wahab, M.N.A.; Nazir, A.; Khalil, A.; Ho, W.J.; Akbar, M.F.; Noor, M.H.M.; Mohamed, A.S.A. Improved genetic algorithm for mobile robot path planning in static environments. Expert Syst. Appl. 2024, 249, 123762. [Google Scholar] [CrossRef]
  5. Yuzhuo, S.; Huijie, Z.; Zhisheng, L.; Kun, H.; Yonglei, L.; Lu, Z. Path planning for mobile robots in complex environments based on improved ant colony algorithm. Math. Biosci. Eng. MBE 2023, 20, 15568–15602. [Google Scholar]
  6. Li, X.; Tian, B.; Hou, S.; Li, X.; Li, Y.; Liu, C.; Li, J. Path Planning for Mount Robot Based on Improved Particle Swarm Optimization Algorithm. Electronics 2023, 12, 3289. [Google Scholar] [CrossRef]
  7. Yihang, G.; Guangyong, Y.; Yuanyan, Y.; Tianqi, X.; Chenhao, M. Mobile Robot Path Planning Based on Improved Sparrow Search Algorithm. Sens. Microsyst. 2023, 42, 132–135. [Google Scholar]
  8. Xu, Y.; Sang, B.; Zhang, Y. Application of Improved Sparrow Search Algorithm to Path Planning of Mobile Robots. Biomimetics 2024, 9, 351. [Google Scholar] [CrossRef] [PubMed]
  9. Song, J.; Lin, L.; Huang, Y.; Hsieh, S.-Y. Intermittent Fault Diagnosis of Split-Star Networks and its Applications. IEEE Trans. Parallel Distrib. Syst. 2023, 34, 1253–1264. [Google Scholar] [CrossRef]
  10. Zhang, Q.; Li, R.; Sun, J.; Wei, L.; Huang, J.; Tan, Y. Dynamic 3D Point-Cloud-Driven Autonomous Hierarchical Path Planning for Quadruped Robots. Biomimetics 2024, 9, 259. [Google Scholar] [CrossRef] [PubMed]
  11. Yang, L.; Li, P.; Qian, S.; Quan, H.; Miao, J.; Liu, M.; Hu, Y.; Memetimin, E. Path Planning Technique for Mobile Robots: A Review. Machines 2023, 11, 980. [Google Scholar] [CrossRef]
  12. Huang, H.; Li, Y.; Bai, Q. An improved A star algorithm for wheeled robots path planning with jump points search and pruning method. Complex. Eng. Syst 2022, 2, 11. [Google Scholar] [CrossRef]
  13. Mai, C.; Zhang, L.; Chao, X. A novel MPPT technology based on dung beetle optimization algorithm for PV systems under complex partial shade conditions. Sci. Rep. 2024, 14, 6471. [Google Scholar] [CrossRef] [PubMed]
  14. Ravichandran, S.; Manoharan, P.; Pradeep, J. Newton-Raphson-based optimizer: A new population-based metaheuristic algorithm for continuous optimization problems. Eng. Appl. Artif. Intell. 2024, 128, 107532. [Google Scholar]
  15. Chen, L.; Wang, Q.; Deng, C.; Xie, B.; Tuo, X.; Jiang, G. Improved Double Deep Q-Network Algorithm Applied to Multi-Dimensional Environment Path Planning of Hexapod Robots. Sensors 2024, 24, 2061. [Google Scholar] [CrossRef] [PubMed]
  16. Qiu, P.; Liu, F.; Zhang, J. Land Subsidence Prediction Model Based on the Long Short-Term Memory Neural Network Optimized Using the Sparrow Search Algorithm. Appl. Sci. 2023, 13, 11156. [Google Scholar] [CrossRef]
  17. Thamaraiselvi, R.; Dhanasekaran, M.; Suresh, N.S. Advancements in solar photovoltaic modelling: Selective opposition-based variable weighted grey wolf optimizer with improved Newton–Raphson analysis. Electr. Eng. 2024, 24, 2547. [Google Scholar] [CrossRef]
  18. Hou, J.; Jiang, W.; Luo, Z.; Yang, L.; Hu, X.; Guo, B. Dynamic Path Planning for Mobile Robots by Integrating Improved Sparrow Search Algorithm and Dynamic Window Approach. Actuators 2024, 13, 24. [Google Scholar] [CrossRef]
  19. Mulás-Tejeda, E.; Gómez-Espinosa, A.; Escobedo Cabello, J.A.; Cantoral-Ceballos, J.A.; Molina-Leal, A. Implementation of a Long Short-Term Memory Neural Network-Based Algorithm for Dynamic Obstacle Avoidance. Sensors 2024, 24, 3004. [Google Scholar] [CrossRef]
  20. Sun, Y.; Wang, W.; Xu, M.; Huang, L.; Shi, K.; Zou, C.; Chen, B. Local Path Planning for Mobile Robots Based on Fuzzy Dynamic Window Algorithm. Sensors 2023, 23, 8260. [Google Scholar] [CrossRef] [PubMed]
  21. Sang, W.; Yue, Y.; Zhai, K.; Lin, M. Research on AGV Path Planning Integrating an Improved A* Algorithm and DWA Algorithm. Appl. Sci. 2024, 14, 7551. [Google Scholar] [CrossRef]
Figure 1. Schematic diagram of the 2D layout of the knitting workshop.
Figure 1. Schematic diagram of the 2D layout of the knitting workshop.
Applsci 14 11086 g001
Figure 2. 3D model of the yarn rack.
Figure 2. 3D model of the yarn rack.
Applsci 14 11086 g002
Figure 3. The schematic diagram of path planning for a yarn rewinding robot.
Figure 3. The schematic diagram of path planning for a yarn rewinding robot.
Applsci 14 11086 g003
Figure 4. Simplified 3D grid map of the knitting workshop.
Figure 4. Simplified 3D grid map of the knitting workshop.
Applsci 14 11086 g004
Figure 5. Schematic diagram of path correction.
Figure 5. Schematic diagram of path correction.
Applsci 14 11086 g005
Figure 6. Flowchart of the NRBO-DWA fusion algorithm.
Figure 6. Flowchart of the NRBO-DWA fusion algorithm.
Applsci 14 11086 g006
Figure 7. Convergence diagrams of different algorithms on test functions, (a) F1; (b) F2; (c) F3; (d) F4; (e) F5; (f) F6.
Figure 7. Convergence diagrams of different algorithms on test functions, (a) F1; (b) F2; (c) F3; (d) F4; (e) F5; (f) F6.
Applsci 14 11086 g007
Figure 8. Comparison of path planning curves of different algorithms in a dynamic environment, (a) GA-DWA; (b) PSO-DWA; (c) SSA-DWA; (d) NRBO-DWA.
Figure 8. Comparison of path planning curves of different algorithms in a dynamic environment, (a) GA-DWA; (b) PSO-DWA; (c) SSA-DWA; (d) NRBO-DWA.
Applsci 14 11086 g008
Figure 9. Iteration curves of the objective function for different algorithms.
Figure 9. Iteration curves of the objective function for different algorithms.
Applsci 14 11086 g009
Figure 10. Comparison of planning times for different algorithms.
Figure 10. Comparison of planning times for different algorithms.
Applsci 14 11086 g010
Table 1. Benchmark test function information.
Table 1. Benchmark test function information.
Function NamedimScopefmin
Sphere (F1)30[−100, 100]0
Schwefel 2.22 (F2)30[−10, 10]0
Schwefel 2.21 (F3)30[−100, 100]0
Generalized Rastrigin (F4)30[−5.1, 5.12]0
Ackley (F5)30[−32, 32]0
Generalized Griewank (F6)30[−600, 600]0
Table 2. Comparison results of different algorithms on benchmark functions.
Table 2. Comparison results of different algorithms on benchmark functions.
GA-DWAPSO-DWASSA-DWANRBO-DWA
F1BEST3.08 × 10−617.90 × 10−49.71 × 10−1141.05 × 10−295
Average3.17 × 10−551.53 × 10−21.12 × 10−981.68 × 10−293
STD2.91 × 10−542.45 × 10−14.73 × 10−972.01 × 10−292
F2BEST1.01 × 10−406.88 × 10−51.10 × 10−834.65 × 10−161
Average2.96 × 10−334.15 × 10−38.20 × 10−705.84 × 10−146
STD1.67 × 10−322.62 × 10−31.58 × 10−685.02 × 10−145
F3BEST3.11 × 10−161.76 × 1028.66 × 10−1443.94 × 10−289
Average6.18 × 10−126.61 × 1021.20 × 10−1181.17 × 10−271
STD2.40 × 10−111.11 × 1026.19 × 10−1171.08 × 10−270
F4BEST03.69 × 10100
Average09.31 × 10100
STD04.65 × 10100
F5BEST1.47 × 10−167.95 × 10−34.44 × 10−164.44 × 10−16
Average1.47 × 10−145.97 × 10−24.44 × 10−164.44 × 10−16
STD2.32 × 10−122.98 × 10−100
F6BEST01.30 × 10−200
Average01.15 × 10−200
STD01.43 × 10−100
Table 3. Experimental environment parameter settings.
Table 3. Experimental environment parameter settings.
ParametersValues
Starting Point(1000,1600,500)
Ending Point(5000,7600,1000)
Population Size100
Maximum Iterations100
a 1 0.5
a 2 0.3
a 3 0.2
Linear Velocity (m/s)1.5
Linear Acceleration (m/s2)0
Safety Distance (mm)90
Table 4. Experimental results comparison of different algorithms.
Table 4. Experimental results comparison of different algorithms.
AlgorithmAverage Path Length (mm)Average Planning Time (s)Optimal Function ValueWorst Function ValueAverage Function Value
GA-DWA11,539.26194.9111.7211.7811.75
PSO-DWA13,972.75203.0311.6612.3812.03
SSA-DWA11,483.74174.8311.2812.1811.63
NRBO-DWA9762.12149.1510.7111.6111.22
Disclaimer/Publisher’s Note: The statements, opinions and data contained in all publications are solely those of the individual author(s) and contributor(s) and not of MDPI and/or the editor(s). MDPI and/or the editor(s) disclaim responsibility for any injury to people or property resulting from any ideas, methods, instructions or products referred to in the content.

Share and Cite

MDPI and ACS Style

Shi, W.; Liang, Q.; Sun, L. Path Planning for Yarn Changing Robots Based on NRBO and Dynamic Obstacle Avoidance Strategy. Appl. Sci. 2024, 14, 11086. https://doi.org/10.3390/app142311086

AMA Style

Shi W, Liang Q, Sun L. Path Planning for Yarn Changing Robots Based on NRBO and Dynamic Obstacle Avoidance Strategy. Applied Sciences. 2024; 14(23):11086. https://doi.org/10.3390/app142311086

Chicago/Turabian Style

Shi, Weimin, Qiang Liang, and Lei Sun. 2024. "Path Planning for Yarn Changing Robots Based on NRBO and Dynamic Obstacle Avoidance Strategy" Applied Sciences 14, no. 23: 11086. https://doi.org/10.3390/app142311086

APA Style

Shi, W., Liang, Q., & Sun, L. (2024). Path Planning for Yarn Changing Robots Based on NRBO and Dynamic Obstacle Avoidance Strategy. Applied Sciences, 14(23), 11086. https://doi.org/10.3390/app142311086

Note that from the first issue of 2016, this journal uses article numbers instead of page numbers. See further details here.

Article Metrics

Back to TopTop