Finite Element Analysis of the Structural Behavior of a Corroded Pipe Culvert
Abstract
1. Introduction
2. Modeling of Buried Pipe Culvert
2.1. Model Introducing
2.2. Parameter Setting
3. Parametric Cases
4. Results and Discussion
4.1. The Influence of Corrosion Depth on the Deformation of Pipe Culvert (E = 320 MPa)
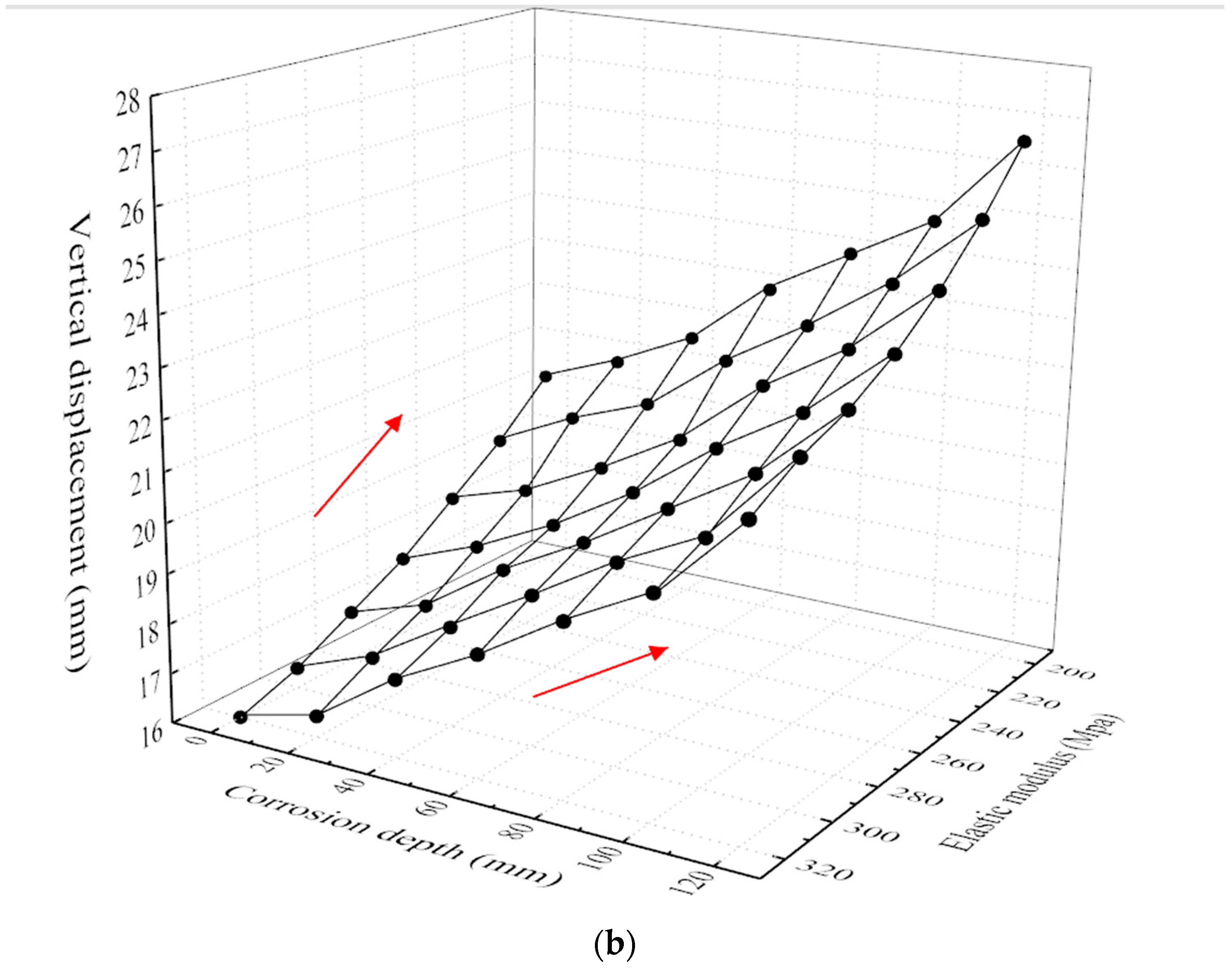
4.2. The Influence of Corrosion Depth and Stiffness Change on Pipe Culvert Deformation
4.3. Cross-Sectional Shape
- (1)
- The influence of corrosion on the deformation of circular and elliptical culverts is comparable. The corrosion behavior observed in circular culverts is similar to that observed in elliptical pipe culverts.
- (2)
- Circular culverts are significantly affected by both overall and localized corrosion, resulting in a larger impact on their deformation compared to elliptical culverts.
5. Conclusions
- (1)
- The corrosion effect leads to a reduction in both the thickness and stiffness of the culvert, resulting in an overall decrease in stiffness. For the total displacement |u|, overall corrosion has the most severe influence on culvert deformation, with similar effects observed for the crown and middle sections, while the invert part exhibits minimal influence. In terms of the horizontal displacement component ux, central corrosion exerts the most severe influence. As for vertical displacement component uz, crown corrosion has the most pronounced effect.
- (2)
- The impact of culvert corrosion on structural deformation is negligible. For elliptical culverts, this can be attributed to two factors: firstly, its closer resemblance to a straight line curve at the invert section; secondly, it experiences higher earth pressure from backfill soil and undergoes larger compaction compared to the crown part.
- (3)
- Excessive rigidity of the culvert induces soil arching and exacerbates structural deformation. This phenomenon should be duly considered in finite element analysis. Appropriately reducing the stiffness at the top also contributes to loading reduction at that location by minimizing settlement discrepancies between the culvert’s upper part and surrounding soil columns.
- (4)
- In practical engineering scenarios, a comprehensive consideration of various aspects is imperative. During the design stage, it is crucial to identify optimal material properties for engineering components and implement measures, such as incorporating protective layers or increasing thicknesses, to appropriately enhance stiffness. Subsequently, during the construction and maintenance stages, potential requirements may arise for rust removal or additional lining/protective layer installation even after culvert placement.
Author Contributions
Funding
Institutional Review Board Statement
Informed Consent Statement
Data Availability Statement
Conflicts of Interest
Nomenclature
| Nomenclature | Implication |
| ux | Lateral Displacement |
| uz | Vertical displacement |
| |u| | Maximum total displacement |
| E | Elasticity Modulus |
| ν | Poisson ratio |
| G | Shear modulus |
| c | Cohesion |
| φ | Angle of internal friction |
| γunsat | Unsaturated unit weight |
| γsat | Saturated unit weight |
| d | Pipe culvert thickness |
References
- Hadipriono, F.C.; Larew, R.E.; Lee, O.-Y. Service life assessment of concrete pipe culverts. J. Transp. Eng. 1988, 114, 209–220. [Google Scholar] [CrossRef]
- Bradford, S.A. The Practical Handbook of Corrosion Control in Soils; ASM International: Almere, The Netherlands, 2000.
- Hepfner, J.J. Statewide Corrosivity Study on Corrugated Steel Culvert Pipe; Montana Department of Transportation, Research, Development and Technology: Helena, MT, USA, 2002. [Google Scholar]
- Ramírez, G.P.M.; Byliński, H.; Niedostatkiewicz, M. Deterioration and protection of concrete elements embedded in contaminated soil: A review. Materials 2021, 14, 3253. [Google Scholar] [CrossRef] [PubMed]
- Neville, A. The confused world of sulfate attack on concrete. Cem. Concr. Res. 2004, 34, 1275–1296. [Google Scholar] [CrossRef]
- Su, N.; Miao, B.; Liu, F.-S. Effect of wash water and underground water on properties of concrete. Cem. Concr. Res. 2002, 32, 777–782. [Google Scholar] [CrossRef]
- Meegoda, J.N.; Juliano, T.M.; Tang, C. Culvert Information Management System. Transp. Res. Rec. 2009, 2108, 12–13. [Google Scholar] [CrossRef]
- Han, S.-J.; Ishida, T.; Tsuchiya, S. Multiscale Numerical Simulations of Static Shear and Long-Term Behavior of RC Members Considering Corrosion of Reinforcing Bars. J. Adv. Concr. Technol. 2022, 20, 492–506. [Google Scholar] [CrossRef]
- Al Tamemi, H.S.; Habibi, M.R.; Tavana, M.H. The Structural Design of a Reinforced Concrete Box Culverts. Eurasian J. Eng. Technol. 2022, 2, 14–26. [Google Scholar]
- Zhou, Y.; Gencturk, B.; Willam, K.; Attar, A. Carbonation-induced and chloride-induced corrosion in reinforced concrete structures. J. Mater. Civ. Eng. 2015, 27, 04014245. [Google Scholar] [CrossRef]
- Almusallam, A.A.; Al-Gahtani, A.S.; Aziz, A.R. Effect of reinforcement corrosion on bond strength. Constr. Build. Mater. 1996, 10, 123–129. [Google Scholar] [CrossRef]
- Stanish, K.D.; Hooton, R.; Pantazopoulou, S.J. Corrosion Effects on Bond Strength in Reinforced Concrete. Master’s Thesis, University of Toronto, Toronto, ON, Canada, 1999. [Google Scholar]
- Lee, H.-S.; Noguchi, T.; Tomosawa, F. Evaluation of the bond properties between concrete and reinforcement as a function of the degree of reinforcement corrosion. Cem. Concr. Res. 2002, 32, 1313–1318. [Google Scholar] [CrossRef]
- Han, S.J.; Lee, D.; Yi, S.T.; Kim, K.S. Experimental shear tests of reinforced concrete beams with corroded longitudinal reinforcement. Struct. Concr. 2020, 21, 1763–1776. [Google Scholar] [CrossRef]
- Han, S.-J.; Lee, D.H.; Kim, K.S.; Seo, S.-Y.; Moon, J.; Monteiro, P.J. Degradation of flexural strength in reinforced concrete members caused by steel corrosion. Constr. Build. Mater. 2014, 54, 572–583. [Google Scholar] [CrossRef]
- Xue, X.; Seki, H. Influence of longitudinal bar corrosion on shear behavior of RC beams. J. Adv. Concr. Technol. 2010, 8, 145–156. [Google Scholar] [CrossRef]
- Fang, C.; Lundgren, K.; Chen, L.; Zhu, C. Corrosion influence on bond in reinforced concrete. Cem. Concr. Res. 2004, 34, 2159–2167. [Google Scholar] [CrossRef]
- Kivell, A.; Palermo, A.; Scott, A. Effects of bond deterioration due to corrosion in reinforced concrete. In Proceedings of the Ninth Pacific Conference on Earthquake Engineering, Auckland, New Zealand, 14–16 April 2011; pp. 81–88. [Google Scholar]
- Wang, X.; Liu, X. Modeling bond strength of corroded reinforcement without stirrups. Cem. Concr. Res. 2004, 34, 1331–1339. [Google Scholar] [CrossRef]
- Al-Sulaimani, G.; Kaleemullah, M.; Basunbul, I. Influence of corrosion and cracking on bond behavior and strength of reinforced concrete members. Struct. J. 1990, 87, 220–231. [Google Scholar]
- Kanchanadevi, A.; Ramanjaneyulu, K. Effect of corrosion damage on seismic behaviour of existing reinforced concrete beam-column sub-assemblages. Eng. Struct. 2018, 174, 601–617. [Google Scholar] [CrossRef]
- Park, Y.J. FE Analysis of Degraded Concrete Structures: Current Knowledge and Prospects for the Future; BNL: New York, NY, USA, 1999.
- El-Taher, M.; Moore, I.D. Finite element study of stability of corroded metal culverts. Transp. Res. Rec. 2008, 2050, 157–166. [Google Scholar] [CrossRef]
- Molinas, A.; Mommandi, A. Development of New Corrosion/Abrasion Guidelines for Selection of Culvert Pipe Materials; Colorado Department of Transportation, Research Branch: Dever, CO, USA, 2009.
- Mosharafi, M.; Mahbaz, S.; Dusseault, M. Bridge deck assessment using infrastructure corrosion assessment magnetic method (iCAMM™) technology, a case study of a culvert in Markham city, Ontario, Canada. NDT E Int. 2020, 116, 102356. [Google Scholar] [CrossRef]
- Ezzeldin, I.; El Naggar, H.; Newhook, J. Performance of buried corrugated metal culverts in intact and deteriorated states under surface static loading utilizing full-scale laboratory tests. Tunn. Undergr. Space Technol. 2024, 154, 106099. [Google Scholar] [CrossRef]
- Bowles, J.E.; Guo, Y. Foundation Analysis and Design; McGraw-Hill: New York, NY, USA, 1996; Volume 5. [Google Scholar]
- Kumar, A.; Choudhury, D.; Katzenbach, R. Effect of earthquake on combined pile–raft foundation. Int. J. Geomech. 2016, 16, 04016013. [Google Scholar] [CrossRef]
- Engin, H.; Septanika, E.; Brinkgreve, R. Estimation of pile group behavior using embedded piles. In Proceedings of the 12th International Conference of International Association for Computer Methods and Advances in Geomechanics, Goa, India, 1–6 October 2008; pp. 3231–3238. [Google Scholar]
- Vaslestad, J.; Johansen, T.H.; Holm, W. Load reduction on rigid culverts beneath high fills: Long-term behavior. Transp. Res. Rec. 1993, 58. [Google Scholar]
- Handy, R.L. The arch in soil arching. J. Geotech. Eng. 1985, 111, 302–318. [Google Scholar] [CrossRef]
- Chen, H.-L.; Jin, F.-N.; Fan, H.-L. Elastic responses of underground circular arches considering dynamic soil-structure interaction: A theoretical analysis. Acta Mech. Sin. 2013, 29, 110–122. [Google Scholar] [CrossRef]
- Spangler, M. Underground conduits-An appraisal of modern research. Trans. Am. Soc. Civ. Eng. 1948, 113, 316–345. [Google Scholar] [CrossRef]
- Dasgupta, A.; Sengupta, B. Large-scale model test on square box culvert backfilled with sand. J. Geotech. Eng. 1991, 117, 156–161. [Google Scholar] [CrossRef]
- Bennett, R.M.; Wood, S.M.; Drumm, E.C.; Rainwater, N.R. Vertical loads on concrete box culverts under high embankments. J. Bridge Eng. 2005, 10, 643–649. [Google Scholar] [CrossRef]
- Han, S.J.; Ishida, T.; Tsuchiya, S. Numerical evaluation on the effect of rebar corrosion on long-term structural behavior of underground RC culverts. Structures 2023, 48, 1920–1931. [Google Scholar] [CrossRef]
- Nakhostin, E.; Kenny, S.; Sivathayalan, S. A numerical study of erosion void and corrosion effects on the performance of buried corrugated steel culverts. Eng. Struct. 2022, 260, 114217. [Google Scholar] [CrossRef]




















|
|
|
|
|
|
|
|
|
|
|
|
|
|
|
|
|
|
|
|
|
|
|
|
|
|
|
|
|
|
|
|
|
|
|
|
|
|
|
|
|
|
|
|
|
|
|
|
|
|
|
|
|
|
|
|
|
|
|
|
|
|
|
|
|
|
|
|
|
|
|
|
|
|
|
|
|
|
Disclaimer/Publisher’s Note: The statements, opinions and data contained in all publications are solely those of the individual author(s) and contributor(s) and not of MDPI and/or the editor(s). MDPI and/or the editor(s) disclaim responsibility for any injury to people or property resulting from any ideas, methods, instructions or products referred to in the content. |
© 2024 by the authors. Licensee MDPI, Basel, Switzerland. This article is an open access article distributed under the terms and conditions of the Creative Commons Attribution (CC BY) license (https://creativecommons.org/licenses/by/4.0/).
Share and Cite
Ma, Q.; Xi, C.; Li, J.; Lu, X. Finite Element Analysis of the Structural Behavior of a Corroded Pipe Culvert. Appl. Sci. 2024, 14, 10945. https://doi.org/10.3390/app142310945
Ma Q, Xi C, Li J, Lu X. Finite Element Analysis of the Structural Behavior of a Corroded Pipe Culvert. Applied Sciences. 2024; 14(23):10945. https://doi.org/10.3390/app142310945
Chicago/Turabian StyleMa, Qiang, Chuchen Xi, Jianyu Li, and Xuesong Lu. 2024. "Finite Element Analysis of the Structural Behavior of a Corroded Pipe Culvert" Applied Sciences 14, no. 23: 10945. https://doi.org/10.3390/app142310945
APA StyleMa, Q., Xi, C., Li, J., & Lu, X. (2024). Finite Element Analysis of the Structural Behavior of a Corroded Pipe Culvert. Applied Sciences, 14(23), 10945. https://doi.org/10.3390/app142310945

