Simulation and Experimental Assessment of the Usability of the Phase Angle Method of Examining the State of Shock Absorbers Installed in a Vehicle
Abstract
1. Introduction
2. Materials and Methods
2.1. Structure of the Linear Model Used in the Simulation Tests and Equations of Motion in the Time and Frequency Domains
2.2. Structure of the Non-Linear Model Used in the Simulation Tests and Its Equations of Motion in the Time Domain
2.3. Parameters of the Linear and Non-Linear Model
3. Results
3.1. Experimental Tests on a Prototype Diagnostic Tester
3.2. Description of the Phase Angle Method and of the Proposed Necessary Correction to the Interpretation of the Test Results
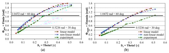
3.3. Comparison of the Simulation Results Obtained for the Two Models and the Experimental Test Results
3.4. Use of the Obtained Results of Simulation and Experimental Tests in the Assessment of Damping Characteristics of Suspensions of the Vehicles Under Test
4. Discussion
Author Contributions
Funding
Institutional Review Board Statement
Informed Consent Statement
Data Availability Statement
Acknowledgments
Conflicts of Interest
References
- Calvo, J.A.; Díaz, V.; San Román, J.L.; García-Pozuelo, D. Influence of shock absorber wearing on vehicle brake performance. Int. J. Automot. Technol. 2008, 9, 467–472. [Google Scholar] [CrossRef]
- Calvo, J.A.; López-Boada, B.; San Román, J.L.; Gauchía, A. Influence of a shock absorber model on vehicle dynamic simulation. Proc. Inst. Mech. Eng. Part D J. Automob. Eng. 2009, 223, 189–202. [Google Scholar] [CrossRef]
- Guzek, M.; Zdanowicz, P. Diagnostics of the On-Vehicle Shock Absorber Testing. Communications 2021, 23, B178–B186. [Google Scholar] [CrossRef]
- Lozia, Z. The use of a linear quarter-car model to optimize the damping in a passive automotive suspension system—A follow-on from many authors’ works of the recent 40 years. Arch. Automot. Eng. 2016, 71, 33–65. [Google Scholar] [CrossRef]
- Zdanowicz, P. Comparative assessment of vertical vibrations of a vehicle on the road and during the EUSAMA test. IOP Conf. Ser. Mater. Sci. Eng. 2018, 421, 022045. [Google Scholar] [CrossRef]
- Szczypinski-Sala, W.; Kot, A.; Hankus, M. The Evaluation of Vehicle Vibrations Excited with a Test Plate during Technical Inspection of Vehicle Suspension. Appl. Sci. 2023, 13, 11. [Google Scholar] [CrossRef]
- Buzzi, C. System for Measuring the Damping Coefficient of Vehicle-Mounted Shock Absorbers. European Patent EP0647843A2, 12 April 1995. [Google Scholar]
- Calvo, J.A.; Diaz, V.; San Román, J.L. Establishing inspection criteria to verify the dynamic behaviour of the vehicle suspension system by a platform vibrating test bench. Int. J. Veh. Des. 2005, 38, 290–306. [Google Scholar] [CrossRef]
- Calvo, J.A.; San Román, J.L.; Alvarez-Caldas, C. Procedure to verify the suspension system on periodical motor vehicle inspection. Int. J. Veh. Des. 2013, 63, 1–17. [Google Scholar] [CrossRef]
- Gardulski, J. Metody badań amortyzatorów samochodów osobowych (Testing methods for vehicle shock absorbers). Diagnostyka 2009, 3, 93–100. [Google Scholar]
- Klapka, M.; Mazůrek, I.; Kubìk, M.; Macháček, O. Reinvention of the EUSAMA diagnostic methodology. Int. J. Veh. Des. 2017, 74, 304–318. [Google Scholar] [CrossRef]
- Klapka, M.; Mazůrek, I.; Macháček, O.; Kubìk, M. Twilight of the EUSAMA diagnostic methodology. Meccanica 2017, 52, 2023–2034. [Google Scholar] [CrossRef]
- Knestel, A.; Küchle, J. Procedure and Device for Determining a Measure of the Vibration Absorption of Vehicles. European Patent EP1564538B1, 11 February 2005. [Google Scholar]
- Mazůrek, I.; Klapka, M. Method of Measuring Damping Ratio of Unsprung Mass of Half Axles of Passenger Cars Using a Suspension Testing Rig Without Disassembling. European Patent EP3193152A1, 15 January 2016. [Google Scholar]
- Szymański, G.M.; Jósko, M.; Tomaszewski, F.; Filipiak, R. Application of time–frequency analysis to the evaluation of the condtion of car suspension. Mech. Syst. Signal Process. 2015, 58–59, 298–307. [Google Scholar] [CrossRef]
- Tsymberov, A. An improved non-intrusive automotive suspension testing apparatus with means to determine the condition of the dampers. SAE Tech. Pap. 1996. [Google Scholar] [CrossRef]
- Tsymberov, A. Suspension Tester and Method. U.S. Patent 5,369,974, 6 December 1994. [Google Scholar]
- Hryciów, Z.; Rybak, P.; Gieleta, R. The influence of temperature on the damping characteristic of hydraulic shock absorbers. Eksploat. I Niezawodn.-Maint. Reliab. 2021, 23, 346–351. [Google Scholar] [CrossRef]
- Hryciów, Z. An Investigation of the Influence of Temperature and Technical Condition on the Hydraulic Shock Absorber Characteristics. Appl. Sci. 2022, 12, 12765. [Google Scholar] [CrossRef]
- Pikunas, A.; Spruogis, B. Research of the efficiency of use of shock absorbers with controlled dissipative force in motor cars. Eksploat. I Niezawodn.-Maint. Reliab. 2002, 1, 3–6. [Google Scholar]
- Hryciów, Z.; Krasoń, W.; Wysocki, J. Evaluation of the influence of friction in a multi-leaf spring on the working conditions of a truck driver. Eksploat. I Niezawodn.-Maint. Reliab. 2021, 23, 422–429. [Google Scholar] [CrossRef]
- Dukalski, P.; Będkowski, B.; Parczewski, K.; Wnęk, H.; Urbaś, A.; Augustynek, K. Dynamics of the vehicle rear suspension system with electric motors mounted in wheels. Eksploat. I Niezawodn.-Maint. Reliab. 2019, 21, 125–136. [Google Scholar] [CrossRef]
- Arbeláez-Toro, J.J.; Rodriguez-Ledesma, C.M.; Hincapié-Zuluaga, D.A.; Torres-Lopez, E.A. Adherence Evaluation of a MacPherson Suspension under EuSAMA Norm in a Mathematical Model and one Multibody. TecnoLógicas 2013, 757–768. [Google Scholar] [CrossRef]
- Balsarotti, S.; Bradley, W. Experimental evaluation of a non-intrusive automotive suspension testing apparatus. SAE Tech. Pap. Ser. 2000. [Google Scholar] [CrossRef]
- Guzek, M.; Zdanowicz, P. Effects of Using Various Methods for Car Shock Absorbers Diagnostic Tests. Arch. Automot. Eng. 2020, 88, 99–108. [Google Scholar] [CrossRef]
- Lozia, Z. Assessment of the usability of the EUSAMA and the phase angle method in examining the condition of shock absorbers installed in a vehicle. WUT J. Transp. Eng. 2021, 132, 61–79. [Google Scholar] [CrossRef]
- Lozia, Z.; Zdanowicz, P. Simulation assessment of the impact of inertia of the vibration plate of a diagnostic suspension tester on results of the EUSAMA test of shock absorbers mounted in a vehicle. IOP Conf. Ser. Mater. Sci. Eng. 2018, 421, 022018. [Google Scholar] [CrossRef]
- Martinod, R.M.; Betancur, G.R.; Mesa, J.F.; Benavides, O.M.; Castañeda, L.F. Analysis of the procedure for suspension evaluation of civil armoured vehicles: Reliability and safety driving criteria. Int. J. Veh. Saf. 2013, 6, 254–264. [Google Scholar] [CrossRef]
- Šarkan, B.; Vrábel, J.; Skrúcaný, T.; Ševčík, M. Methods of assessing the technical condition of automotive shock absorbers in the road vehicles operation. Int. Sci. J. “Mach. Technol. Mater.” 2015, 9, 52–54. [Google Scholar]
- Stańczyk, T.L.; Jurecki, R. Analiza porównawcza metod badania amortyzatorów hydraulicznych (Comparative analysis of testing methods of hydraulic shock absorbers). Zeszyty Naukowe Instytutu Pojazdów PW (Proc. Inst. Veh. Wars. Univ. Technol.) 2014, 4, 25–45. [Google Scholar]
- Toma, M.; Andreescu, C.; Stan, C. Influence of tire inflation pressure on the results of diagnosing brakes and suspension. Procedia Manuf. 2018, 22, 121–128. [Google Scholar] [CrossRef]
- Zuska, A.; Jackowski, J. Influence of Changes in Stiffness and Damping of Tyre Wheels on the Outcome of the Condition Assessment of Motor Vehicle Shock Absorbers. Energies 2023, 16, 3876. [Google Scholar] [CrossRef]
- Podosek, K.; Jaśkiewicz, M.; Zuska, A. Testing the relationship between the technical condition of motorcycle shock absorbers determined on the diagnostic line and their characteristics. Open Eng. 2023, 13, 20220435. [Google Scholar] [CrossRef]
- Lozia, Z. Application of modelling and simulation to evaluate the theta method used in diagnostics of automotive shock absorbers. Arch. Automot. Eng. 2022, 96, 5–30. [Google Scholar] [CrossRef]
- Lozia, Z.; Zdanowicz, P. Simulation assessment of the half-power bandwidth method in testing shock absorbers. Open Eng. 2021, 11, 120–129. [Google Scholar] [CrossRef]
- Buekenhoudt, P. GOCA. Minimum phase shift. In Proceedings of the CITA 2011 Conference and 15th General Assembly, Berlin, Germany, 4–6 May 2011. [Google Scholar]
- Stańczyk, T.L. Analysis of the possibilities of using the phase angle as a diagnostic parameter in shock absorber examinations. Arch. Transp. 2004, 16, 33–50. [Google Scholar]
- Dixon, J.C. The Shock Absorber Handbook, 2nd ed.; SAE International: Warrendale, PA, USA; John Wiley & Sons Ltd.: Hoboken, NJ, USA, 2007. [Google Scholar]
- Dukkipati, R.V.; Pang, J.; Qatu, M.S.; Sheng, G.; Shuguang, Z. Road Vehicle Dynamics; SAE International: Warrendale, PA, USA, 2008. [Google Scholar]
- Rao, S.S. Mechanical Vibrations, 5th ed.; Prentice Hall—PEARSON: Hoboken, NJ, USA, 2010. [Google Scholar]
- Rill, G.; Castro, A.A. Road Vehicle Dynamics. In Fundamentals and Modeling with MATLAB, 2nd ed.; CRC Press: Boca Raton, FL, USA; Taylor&Francis Group: Abingdon, UK, 2020. [Google Scholar]
- All About Öhlins Steering Dampers. Available online: https://www.ohlinscommunity.com/okc-steering-damper-sg (accessed on 3 October 2024).
- Skačkauskas, P.; Žuraulis, V.; Vadluga, V.; Nagurnas, S. Development and verification of a shock absorber and its shim valve model based on the force method principles. Eksploat. I Niezawodn.-Maint. Reliab. 2017, 19, 126–133. [Google Scholar] [CrossRef]









| Symbol | Unit of Measure | Value |
|---|---|---|
| m1 | kg | 160 |
| m2 | kg | 35 |
| k1 | N/m | 24,882 |
| k2 | N/m | 206,526 |
| c2 | N∙s/m | 150 |
| f01 (ω01) | Hz (rad/s) | 1.87 (11.77) |
| f02 (ω02) | Hz (rad/s) | 12.96 (81.42) |
| ckr1 | N∙s/m | 3770 |
| Symbol | Unit of Measure | Value |
|---|---|---|
| A1s1 | N/m | 4.400 × 105 |
| A2s1 | N/m3 | 7.290 × 105 |
| B2s1 | N/m2 | –5.037 × 104 |
| C2s1 | N/m | 2.155 × 104 |
| D2s1 | N | 4.094 × 102 |
| u1gr | m | 0.001 |
| om0 | m | 0.309 |
| Ats1 | N | 40 |
| m/s | 0.005 | |
| cu | N∙sWu/mWu | 14,000 * |
| co | N∙sWo/mWo | 6700 * |
| Wu | - | 1.9 * |
| Wo | - | 1.6 * |
| i | - | 0.7068 |
| As2 | N/m3 | –3.021 × 107 |
| Bs2 | N/m2 | 3.592 × 106 |
| Cs2 | N/m | 1.553 × 105 |
| R | m | 0.311 |
| m3 | kg | 14.5 |
| ζmin | m | 0.000 |
| ζmax | m | 0.006 |
| Symbol | Unit of Measure | Value |
|---|---|---|
| m1 | kg | 167 |
| m2 | kg | 28 |
| k1 | N/m | 24,887 |
| k2 | N/m | 186,857 |
| c2 | N∙s/m | 150 |
| f01 (ω01) | Hz (rad/s) | 1.82 (11.45) |
| f02 (ω02) | Hz (rad/s) | 13.86 (87.06) |
| ckr1 | N∙s/m | 3826 |
| Symbol | Unit of Measure | Value |
|---|---|---|
| A1s1 | N/m | 450,000 |
| A2s1 | N/m3 | 0 |
| B2s1 | N/m2 | 0 |
| C2s1 | N/m | 24,887 |
| D2s1 | N | 425 |
| u1gr | m | 0.001 |
| om0 | m | 0.339 |
| Ats1 | N | 20 |
| m/s | 0.005 | |
| cu | N∙sWu/mWu | 5600 * |
| co | N∙sWo/mWo | 4500 * |
| Wu | - | 1.5 * |
| Wo | - | 1.5 * |
| i | - | 0.86 |
| As2 | N/m3 | 0 |
| Bs2 | N/m2 | 1,584,000 |
| Cs2 | N/m | 149,000 |
| R | m | 0.279 |
| m3 | kg | 14.5 |
| ζmin | m | 0.000 |
| ζmax | m | 0.006 |
| Measured Value | Sensor Type | Range | Accuracy |
|---|---|---|---|
| Force | Strain Gauge UNIMETAL, Złotów, Poland | ±30 kN | 0.1% |
| Displacement | Laser Panasonic HL-G105 | ±0.01 m | 0.1% |
| Acceleration | MEMS TE Connectivity 4312M3-10 | ±10 g | 0.5% |
| ϑ1 (Linear Model) | ϑ1 (Non-Linear Model) | ϑ1 (Experiment) | ||||
|---|---|---|---|---|---|---|
| Opel Astra | Opel Agila | Opel Astra | Opel Agila | Opel Astra | Opel Agila | |
| Φmin = 0.5236 rad = 30 deg | 0.111 | 0.091 | – | 0.077 | 0.167 | 0.131 |
| Φmin = 1.0472 rad = 60 deg | 0.256 | 0.214 | 0.385 | 0.206 | 0.352 | 0.293 |
Disclaimer/Publisher’s Note: The statements, opinions and data contained in all publications are solely those of the individual author(s) and contributor(s) and not of MDPI and/or the editor(s). MDPI and/or the editor(s) disclaim responsibility for any injury to people or property resulting from any ideas, methods, instructions or products referred to in the content. |
© 2024 by the authors. Licensee MDPI, Basel, Switzerland. This article is an open access article distributed under the terms and conditions of the Creative Commons Attribution (CC BY) license (https://creativecommons.org/licenses/by/4.0/).
Share and Cite
Drobiszewski, J.; Lozia, Z.; Zdanowicz, P. Simulation and Experimental Assessment of the Usability of the Phase Angle Method of Examining the State of Shock Absorbers Installed in a Vehicle. Appl. Sci. 2024, 14, 10804. https://doi.org/10.3390/app142310804
Drobiszewski J, Lozia Z, Zdanowicz P. Simulation and Experimental Assessment of the Usability of the Phase Angle Method of Examining the State of Shock Absorbers Installed in a Vehicle. Applied Sciences. 2024; 14(23):10804. https://doi.org/10.3390/app142310804
Chicago/Turabian StyleDrobiszewski, Jacek, Zbigniew Lozia, and Piotr Zdanowicz. 2024. "Simulation and Experimental Assessment of the Usability of the Phase Angle Method of Examining the State of Shock Absorbers Installed in a Vehicle" Applied Sciences 14, no. 23: 10804. https://doi.org/10.3390/app142310804
APA StyleDrobiszewski, J., Lozia, Z., & Zdanowicz, P. (2024). Simulation and Experimental Assessment of the Usability of the Phase Angle Method of Examining the State of Shock Absorbers Installed in a Vehicle. Applied Sciences, 14(23), 10804. https://doi.org/10.3390/app142310804

