Study on the Effect of Temperature on the Alignment of a Long-Span Steel–Concrete Composite Beam Track Cable-Stayed Bridge
Abstract
1. Introduction
2. Experimental
2.1. Basic Principle of Structural Temperature Field
- Heat conduction.
- Convective heat transfer.
- Thermal radiation.
- System temperature difference.
- Temperature gradient.
2.2. Finite Element Analysis
2.2.1. Project Overview
2.2.2. COMSOL Segment Model
- Material parameters of the steel–concrete composite beam model.
- The model setting of COMSOL.
- Climate parameters.
- 2.
- Solar radiation settings.
- Establishment of a mixed steel segment model.
- Verification of mixed steel segment model.
2.2.3. Midas/Civil Bridge Model
3. Analysis of the Temperature Field of Steel–Concrete Superimposed Beam (SCCB)
3.1. Temperature Distribution in the Cross-Section
3.2. Transverse and Vertical Temperature Distribution Analysis
3.2.1. Vertical Temperature Gradient
3.2.2. Horizontal Temperature Distribution
- Transverse temperature distribution of concrete slab.
- Steel beam web temperature distribution.
4. Influence of System Temperature Difference and Temperature Gradient on Vertical Deformation of the Whole Bridge
4.1. Value of System Temperature Difference and Temperature Gradient
4.2. Vertical Deformation of Main Beam Under Temperature Action
4.2.1. Vertical Deformation of Main Beam Under the Action of Temperature Difference in System
4.2.2. Vertical Deformation of Main Beam Under the Action of Temperature Gradient
5. Structure Measured Temperature and Deformation Analysis
5.1. Structural Temperature and Deformation System
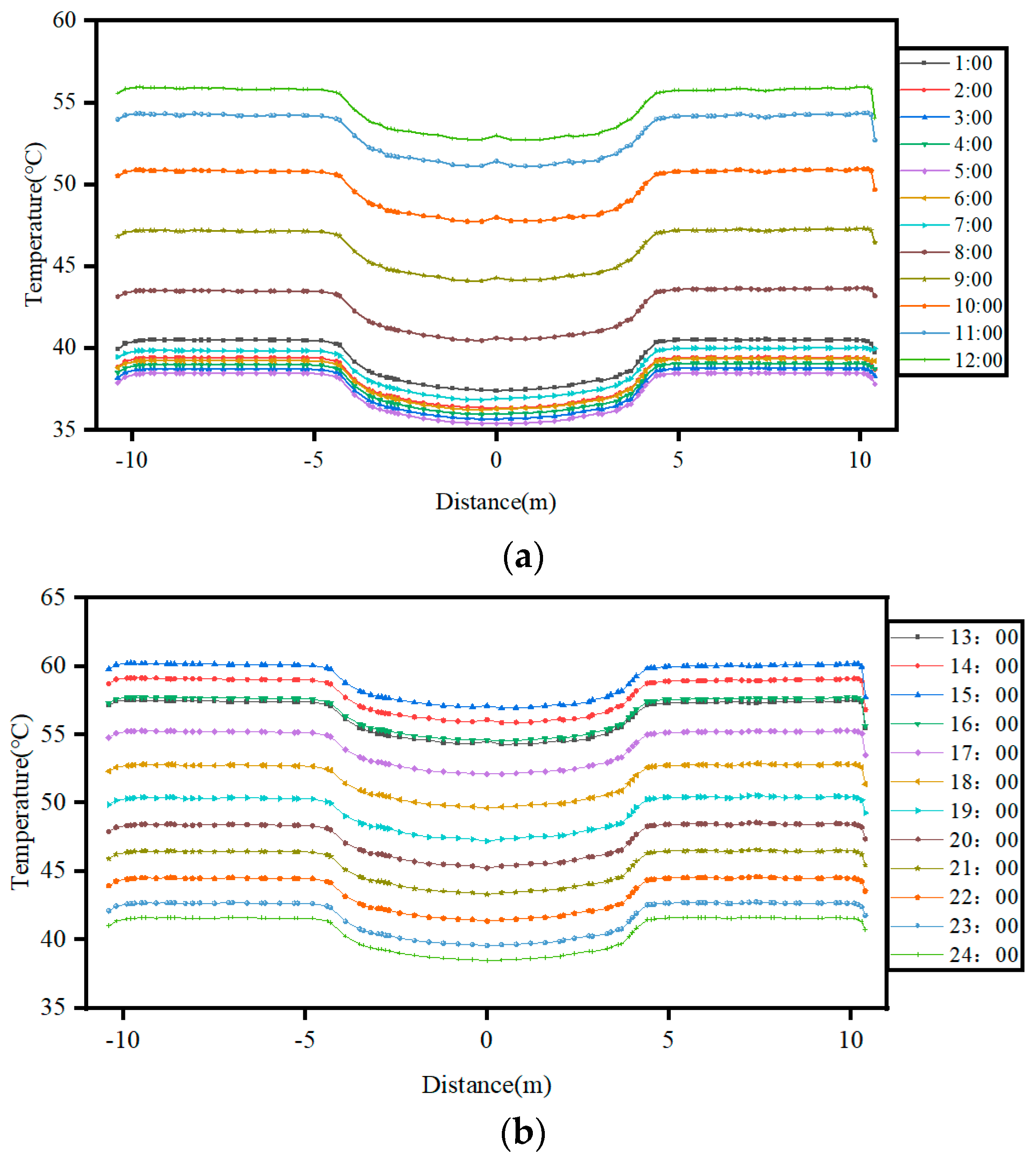
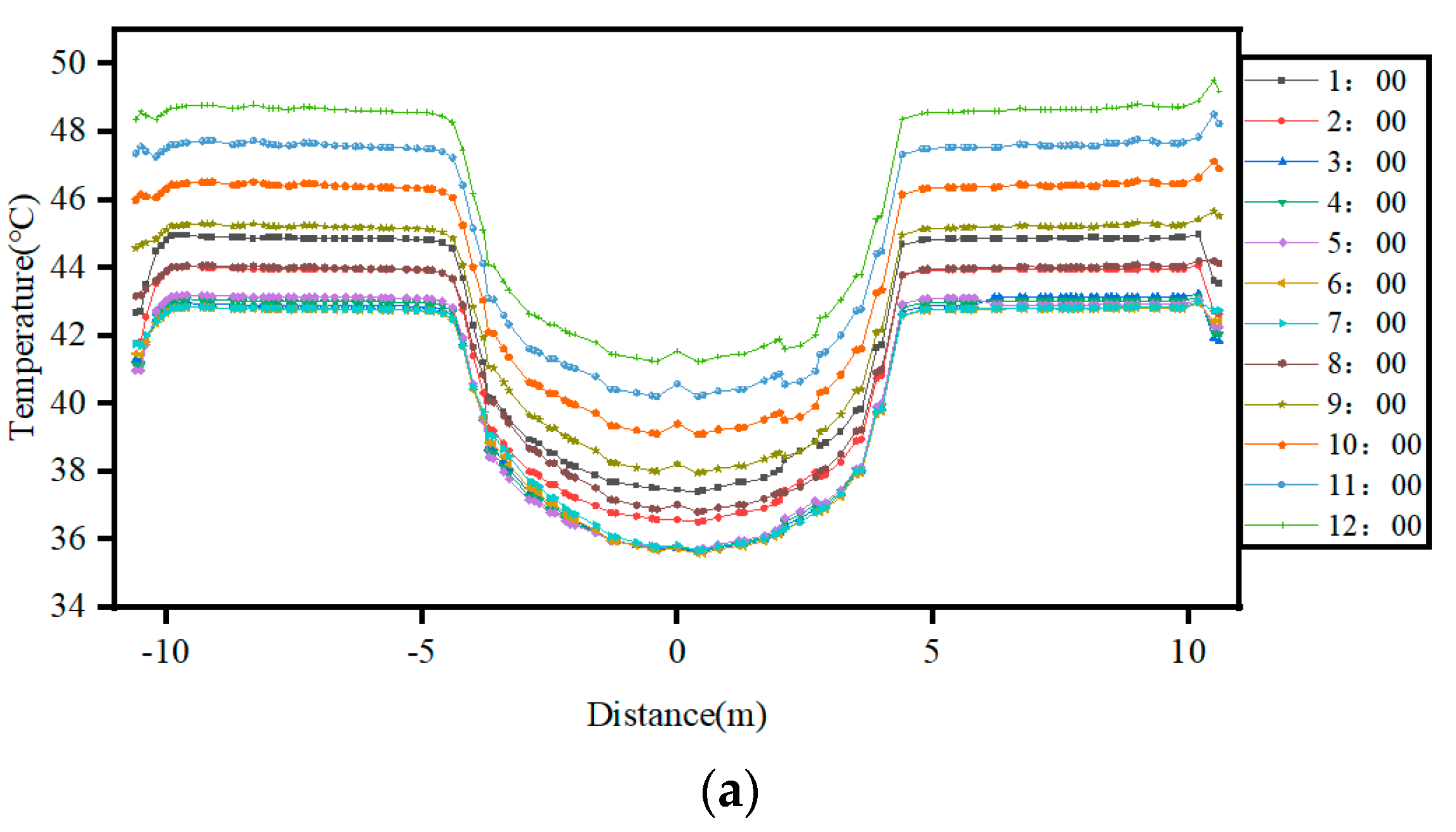
5.2. Temperature Field Test Data and Analysis
5.3. Measured Deformation of Main Beam
6. Conclusions and Discussions
6.1. Conclusions and Prospects
- The temperature field distribution of steel–concrete composite beams has obvious nonlinearity under the same ambient temperature change. The daily temperature difference is as high as 26 °C, and the internal temperature gradient is significant. The maximum daily temperature difference between the upper and lower edges of the concrete slab is 11.1 °C. Under the influence of solar radiation, the daily transverse temperature gradients of the upper, middle and lower edges of the concrete slab are 3.2 °C, 5.3 °C and 7.4 °C, respectively, due to the thermal insulation effect of the air inside the box girder. Because of its good thermal insulation, the steel beam can adjust the overall temperature change to a certain extent, enhance the adaptability of the structure to the temperature change, and effectively reduce the influence of temperature stress.
- Under the action of temperature difference and temperature gradient of the system, the overall deformation of the bridge is significant, which affects the alignment of the bridge and the smoothness and comfort of the train. In the context of overall temperature rise, vertical deformation occurs on both sides of the main beam. The maximum deformation of the main beam on the high tower side and the low tower side is 23.9 mm and 92.3 mm, respectively, while the maximum deformation of the mid-span main beam is −63.1 mm. Under the overall cooling effect, the maximum deformation of the main beam at the high tower side and the low tower side is −8.6 mm and −33.3 mm, and the maximum deformation of the mid-span main beam is 22.8 mm. Under the action of positive temperature difference, the maximum deformation of the main beam is 132.1 mm, and the change in the main beam on the low tower side and the high tower side is −7.8 mm and −8.4 mm, respectively. The vertical deformation of the main beam is reversed for negative temperature differences.
- Temperature has a significant influence on the vertical and lateral deformation of bridges. In the design stage, the impact of temperature changes on material properties should be fully considered, and enough space for expansion joints and deformation should be reserved. In the operation and maintenance stage, temperature monitoring should be strengthened to ensure that the temperature change in key parts is within a reasonable range to ensure the safety of the bridge and the stable operation of the train. Based on the structural temperature and deformation data in 2023, it was found that the temperature change has a significant impact on the bridge structure. In summer, the high temperature causes the thermal expansion of the material, and the transverse deformation of the main beam reaches the maximum value of 36.4 mm at 16:00, and the vertical deformation reaches the maximum value of −274.4 mm at 15:00. At low temperatures in winter, the transverse deformation changes little and mainly fluctuate around the base point, and the vertical deformation reaches the maximum value of −203.6 mm at 18:00, but the value is lower than that in summer. It is found that the deformation of the main beam with the same section under the action of temperature difference and temperature gradient is far greater than that of a single temperature change under the action of ambient temperature and solar radiation.
- COMSOL 6.2 is used to analyze the temperature field of the main beam segment of the Chongqing Nanjimen track bridge. To speed up the calculation speed and improve the calculation efficiency, the track, shear nails and U-shaped ribs and other structures are simplified. In the future, more detailed models will be built to enable more in-depth analysis and research of the bridge structure.
- The construction time of the Chongqing Nanjimen track bridge is relatively short, the number of temperature monitoring points is limited, and the data collected by the health monitoring system are limited. In the future, more temperature monitoring points will be added and more comprehensive temperature data will be collected for more detailed research and analysis of this type of bridge.
6.2. Discussions
Supplementary Materials
Author Contributions
Funding
Institutional Review Board Statement
Informed Consent Statement
Data Availability Statement
Conflicts of Interest
References
- Li, X.; Gao, M.; Zhou, J.; Chen, X.; Tan, S. Permanent deformation limits of long-span track cable-stayed bridges based on service performance analysis. J. Low Freq. Noise Vib. Act. Control 2021, 40, 1215–1226. [Google Scholar] [CrossRef]
- Mansour, W.; Tayeh, B.A.; Tam, L.-H. Finite element analysis of shear performance of UHPFRC-encased steel composite beams: Parametric study. Eng. Struct. 2022, 271, 114940. [Google Scholar] [CrossRef]
- Huang, Z.; Wei, Y.; Zhang, Y.; Zhao, K.; Dong, Z. Flexural performance of FRP-SWSSC-steel composite beams: Experimental and analytical investigation. Eng. Struct. 2024, 306, 117842. [Google Scholar] [CrossRef]
- Zhou, Y.; Uy, B.; Wang, J.; Li, D.; Huang, Z.; Liu, X. Behaviour and design of stainless steel-concrete composite beams. J. Constr. Steel Res. 2021, 185, 106863. [Google Scholar] [CrossRef]
- Guo, Y.-T.; Yang, Y.; Song, S.-Y.; Fan, J.-S. Shear–slip failure in steel–concrete–steel composite beams with bidirectional webs. Thin-Walled Struct. 2021, 164, 107743. [Google Scholar] [CrossRef]
- Xie, X.; Su, H.; Pang, M. Mechanical Properties and Experimental Study of a New Laminated Girder Single Tower Cable-Stayed Bridge. Int. J. Steel Struct. 2023, 23, 872–8851. [Google Scholar] [CrossRef]
- Sun, T.; Yang, J.; Jing, Z.; Zhou, S. Research and application of construction method for long span steel-concrete composite beam bridge. In Constructional Engineering and Ecological Environment; CRC Press: Boca Raton, FL, USA, 2023; pp. 114–119. [Google Scholar]
- Nilimaa, J.; Hösthagen, A.; Emborg, M. Thermal crack risk of concrete structures: Evaluation of theoretical models for tunnels and bridges. Nord. Concr. Res. 2017, 56, 55–69. [Google Scholar]
- Tan, H.; Qian, D.; Xu, Y.; Yuan, M.; Zhao, H. Analysis of Vertical Temperature Gradients and Their Effects on Hybrid Girder Cable-Stayed Bridges. Sustainability 2023, 15, 1053. [Google Scholar] [CrossRef]
- Zhang, Q.; Cai, X.; Zhang, Y.; Wang, T.; Zhong, Y. Real-time temperature field and thermal deformation of slab track on cable-stayed bridge. Case Stud. Therm. Eng. 2023, 51, 103582. [Google Scholar] [CrossRef]
- Davoodnabi, S.M.; Mirhosseini, S.M.; Shariati, M. Analyzing shear strength of steel-concrete composite beam with angle connectors at elevated temperature using finite element method. Steel Compos. Struct. Int. J. 2021, 40, 853–868. [Google Scholar]
- Mo, J.; Uy, B.; Li, D.; Thai, H.-T.; Tran, H. A review of the behaviour and design of steel–concrete composite shear walls. Structures 2021, 31, 1230–1253. [Google Scholar] [CrossRef]
- Ellobody, E. Finite Element Analysis and Design of Steel and Steel-Concrete Composite Bridges; Elsevier: Amsterdam, The Netherlands, 2023. [Google Scholar]
- Li, X.; Luo, H.; Ding, P.; Chen, X.; Tan, S. Prediction Study on the Alignment of a Steel-Concrete Composite Beam Track Cable-Stayed Bridge. Buildings 2023, 13, 882. [Google Scholar] [CrossRef]
- Zhou, H.; Yi, Y.L.; Ye, Z.T.; Li, M. Analysis of temperature filed and thermal effect in long-span composite girder cable-stayed bridge. Bridge Constr. 2020, 50, 50–55. [Google Scholar]
- Zhou, Y.; Sun, L.-M.; Fu, Z.-H.; Jiang, Z. Studyon Temperature Sensitivity Coefficients of Mid-Span Vertical Displacement of Cable-Stayed Bridges. Eng. Mech. 2020, 37, 148–154. [Google Scholar]
- Zhou, Y.; Sun, L.-M.; Xie, M.-W. Temperature effects on the mid-span vertical displacement of a cable-stayed bridge. Eng. Mech. 2018, 35, 46–54. [Google Scholar]
- Yang, J.-N.; He, X.-J.; Yang, J.-H.; Wang, Y.-D.; Zhang, C. Analysis of Temperature Effect on an S Cable-Stayed Bridge with Steel BoxGirder During Asphalt Concrete Placement. Bridge Constr. 2020, 50, 37–42. [Google Scholar]
- Huang, Q.; Zhao, D.Y.; Ren, Y.; Xu, X. Multiple time scale analysis of temperature-induced deflection of cable-stayed bridges. J. Harbin Inst. Technol. 2020, 52, 18–25. [Google Scholar]
- Liu, Y.-F.; Zhao, H.-S.; Wang, R.-G.; Wei, L.-Y.; Nie, X.; Fan, J.-S. Research on Temperature Effect of Composite Bridge Tower in Zhang-JingGao Yangtze River Bridge Under Solar Radiation. China J. Highw. Transp. 2024, 37, 125–136. [Google Scholar]
- Zhao, Y.; Zhang, Y.-J.; Zhou, Y.; Wan, J.-B.; Li, R.-R. Analysis of Temperature Effect of Earth-Anchored Single Inclined PylonCable-Stayed Bridge with a Universal Hinge. Bridge Constr. 2021, 51, 54–61. [Google Scholar]
- Zhou, R.; Yuan, W.; Zhu, X.; Liu, H.; Yang, H.; Wang, Y. Temperature Effect Analysis of CRTS II Ballastless Track with Different.Substructures. J. Railw. Eng. Soc. 2023, 40, 13–20+61. [Google Scholar]
- Zhu, Y.; Sun, D.; Guo, H.; Shuang, M. Fine analysis for non-uniform temperature field and effect of railway truss suspension bridge under solar radiation. J. Constr. Steel Res. 2023, 210, 108098. [Google Scholar] [CrossRef]
- Sousa Tomé, E.; Pimentel, M.; Figueiras, J. Structural response of a concrete cable-stayed bridge under thermal loads. Eng. Struct. 2018, 176, 652–672. [Google Scholar] [CrossRef]
- Abid, S.R.; Xue, J.; Liu, J.; Tayşi, N.; Liu, Y.; Özakça, M.; Briseghella, B. Temperatures and gradients in concrete Bridges: Experimental, finite element analysis and design. Structures 2022, 37, 960–976. [Google Scholar] [CrossRef]
- Cai, D.; Shi, Y.; Lou, L.; Yan, H.; Lv, S. Research on Temperature Field Characteristics of Subgrade Structure with Asphalt Concrete Surface for Ballast Track. J. China Railw. Soc. 2022, 44, 64–71. [Google Scholar]
- Kang, W.; Chen, S.; Wei, C.; Liu, X.; Li, J. Temperatures of Ballastless Track and Effect of Continuous Hot Weather. J. China Railw. Soc. 2019, 41, 127–134. [Google Scholar]
- GBT51234-2017; Code for Design of Urban Rail Transit Bridge. 5.2 Load Value. China Architecture & Building Press: Beijing, China, 2017. Available online: https://ebook.chinabuilding.com.cn/zbooklib/bookpdf/probation?SiteID=1&bookID=98209 (accessed on 13 November 2024).
- Li, X.; Huang, X.; Ding, P.; Wang, Q.; Wang, Q. Research on an Intelligent Identification Method for Cable-Stayed Force with a Damper Based on Microwave Radar Measurements. Buildings 2024, 14, 568. [Google Scholar] [CrossRef]
- Zhang, Q.; Cao, W.; Dai, G. Analysis of temperature field of concrete slab under solar radiation. Build. Struct. 2023, 53, 1728–1732. [Google Scholar]
- Dai, G.; Zhang, Q.; Ge, H.; Rao, H. Research on thermal field of concrete box girder based on integratransformation method. J. Huazhong Univ. Sci. Technol. (Nat. Sci. Ed.) 2021, 49, 77–82. [Google Scholar]
- Wang, Z.; Liu, Y.J.; Tang, Z.W.; Zhang, G.J.; Liu, J. Three-dimensional temperature field simulation method of truss arch rib based on sunshine shadow recognition. China J. Highw. Transp. 2022, 35, 91–105. [Google Scholar]
- Gou, H.; Chen, Z.; Liu, C.; Xiao, C.; Yuan, W.; Su, Y. Thermal Field of Composite Girder-Ballastless Track System on Arch inPlateau and Regions with Large Diurnal Temperature Variation Based onMeasured Data. J. China Railw. Soc. 2023, 46, 159–170. [Google Scholar]
- Ding, P.; Li, X.; Chen, S.; Huang, X.; Chen, X.; Qi, Y. Load Effect Analysis Method of Cable-Stayed Bridge for Long-Span Track Based on Adaptive Filtering Method. Appl. Sci. 2024, 14, 7057. [Google Scholar] [CrossRef]




















| Material Property | Steel (Q345qD) | Concrete (C60) |
|---|---|---|
| Density (kg/m3) | 7850.0 | 2500.0 |
| Specific heat capacity (j/kg·°C) | 460.0 | 960.0 |
| Coefficient of heat conduction (w/m·°C) | 58.2 | 2.94 |
| Coefficient of thermal expansion (1/°C) | 12 × 10−6 | 10 × 10−6 |
| Shortwave absorption rate | 0.3 | 0.65 |
| Long wave absorption rate | 0.8 | 0.85 |
Disclaimer/Publisher’s Note: The statements, opinions and data contained in all publications are solely those of the individual author(s) and contributor(s) and not of MDPI and/or the editor(s). MDPI and/or the editor(s) disclaim responsibility for any injury to people or property resulting from any ideas, methods, instructions or products referred to in the content. |
© 2024 by the authors. Licensee MDPI, Basel, Switzerland. This article is an open access article distributed under the terms and conditions of the Creative Commons Attribution (CC BY) license (https://creativecommons.org/licenses/by/4.0/).
Share and Cite
Li, X.; Huang, X.; Ding, P.; Chen, X.; Wang, Q.; Cen, S. Study on the Effect of Temperature on the Alignment of a Long-Span Steel–Concrete Composite Beam Track Cable-Stayed Bridge. Appl. Sci. 2024, 14, 10688. https://doi.org/10.3390/app142210688
Li X, Huang X, Ding P, Chen X, Wang Q, Cen S. Study on the Effect of Temperature on the Alignment of a Long-Span Steel–Concrete Composite Beam Track Cable-Stayed Bridge. Applied Sciences. 2024; 14(22):10688. https://doi.org/10.3390/app142210688
Chicago/Turabian StyleLi, Xiaogang, Xiangsheng Huang, Peng Ding, Xiaohu Chen, Qiansong Wang, and Sihan Cen. 2024. "Study on the Effect of Temperature on the Alignment of a Long-Span Steel–Concrete Composite Beam Track Cable-Stayed Bridge" Applied Sciences 14, no. 22: 10688. https://doi.org/10.3390/app142210688
APA StyleLi, X., Huang, X., Ding, P., Chen, X., Wang, Q., & Cen, S. (2024). Study on the Effect of Temperature on the Alignment of a Long-Span Steel–Concrete Composite Beam Track Cable-Stayed Bridge. Applied Sciences, 14(22), 10688. https://doi.org/10.3390/app142210688
