Next Article in Journal
Microwave and Ultrasound Assisted Rotary Drying of Carrot: Analysis of Process Kinetics and Energy Intensity
Next Article in Special Issue
Deep-Learning-Based Land Cover Mapping in Franciacorta Wine Growing Area
Previous Article in Journal
Numerical Solutions to the Variational Problems by Dijkstra’s Path-Finding Algorithm
 
 
Font Type:
Arial Georgia Verdana
Font Size:
Aa Aa Aa
Line Spacing:
Column Width:
Background:
Article

Research on Personnel Image Segmentation Based on MobileNetV2 H-Swish CBAM PSPNet in Search and Rescue Scenarios

School of Mechanical Engineering, Hubei University of Technology, Wuhan 430068, China
*
Author to whom correspondence should be addressed.
Appl. Sci. 2024, 14(22), 10675; https://doi.org/10.3390/app142210675
Submission received: 21 October 2024 / Revised: 12 November 2024 / Accepted: 14 November 2024 / Published: 19 November 2024

Abstract

In post-disaster search and rescue scenarios, the accurate image segmentation of individuals is essential for efficient resource allocation and effective rescue operations. However, challenges such as image blur and limited resources complicate personnel segmentation. This paper introduces an enhanced, lightweight version of the Pyramid Scene Parsing Network (MHC-PSPNet). By substituting ResNet50 with the more efficient MobileNetV2 as the model backbone, the computational complexity is significantly reduced. Furthermore, replacing the ReLU6 activation function in MobileNetV2 with H-Swish enhances segmentation accuracy without increasing the parameter count. To further amplify high-level semantic features, global pooled features are fed into an attention mechanism network. The experimental results demonstrate that MHC-PSPNet performs exceptionally well on our custom dataset, achieving 97.15% accuracy, 89.21% precision, an F1 score of 94.53%, and an Intersection over Union (IoU) of 83.82%. Compared to the ResNet50 version, parameters are reduced by approximately 18.6 times, while detection accuracy improves, underscoring the efficiency and practicality of the proposed algorithm.

1. Introduction

In complex and diverse search and rescue environments, such as indoor spaces, urban ruins, flooded areas, and wilderness, images captured by mobile devices are often blurred due to factors like shooting distance, motion blur, and lighting variations. This makes the precise image segmentation of injured individuals a significant challenge, yet it is crucial for the efficient allocation of resources and effective rescue operations [1]. Accurately segmenting disaster victims enables the rapid assessment of their injuries, ensuring that critical cases receive timely medical attention. Additionally, analyzing the posture of the injured and their surrounding environment provides valuable insights into their conditions, further improving the efficiency and safety of rescue efforts [2]. However, search and rescue environments present unique challenges: individuals may blend into intricate backgrounds, lighting conditions vary widely, and key features are often obscured by debris. These factors make it difficult for traditional image segmentation methods to perform effectively, as they struggle to distinguish between targets and backgrounds, often resulting in unstable segmentation quality and complicating the rescue process [3].
Traditional image processing techniques and deep learning methods are two primary approaches to semantic segmentation [4,5]. In recent years, deep learning advancements have significantly outpaced traditional segmentation techniques, such as thresholding, edge detection, region growing, region splitting and merging, boundary segmentation, and clustering-based methods. Although these methods are effective for simpler images [6,7], they often struggle with complex scenes. Conversely, deep learning-based segmentation has become the preferred approach due to its enhanced accuracy and robustness, positioning it as a key focus in research and application.
Yang, Miin-Shen et al. [8] proposed an unsupervised multi-view K-Means clustering algorithm (U-MV-KM) that does not require initialization and can automatically determine the optimal number of clusters, enhancing its effectiveness and practicality in handling multi-view data. Zhao, Zhuangzhuang et al. [9] introduced a pseudo-label enhanced multi-view deep conceptual factorization fuzzy clustering algorithm (PE-MV-DCFCM), which effectively addresses the challenges of deep information extraction and the preservation of inter-view similarity by deeply integrating conceptual factorization and pseudo-label learning in multi-view data. Ronneberger et al. [10] introduced U-Net, a U-shaped encoder–decoder network that performs image segmentation by using the encoder to downsample and extract low-level features and the decoder to upsample, restoring image details and spatial dimensions. Despite its effectiveness, U-Net requires substantial computational resources due to a large number of parameters and slower processing speeds. Later, Tahir Hussain et al. [11] improved upon U-Net with MAGRes-UNet, a network that reduces noise ambiguity, enhances contextual information, and addresses the gradient vanishing issue. Following this, the Google Brain team [12] developed DeepLabv3+, which markedly improved segmentation accuracy and practicality, particularly in detail and edge processing, offering significant advances over DeepLabv1. Tahir Hussain et al. [13] proposed a novel segmentation network called MAGRes-UNet, which effectively addresses the issues of insufficient information fusion, the neglect of small-scale contextual information, and high computational complexity in the traditional U-Net for medical image segmentation. This is achieved by integrating multi-attention gate modules and residual blocks. Zhao et al. [14] proposed the Pyramid Scene Parsing Network (PSPNet), which utilizes average pooling at various scales to capture a broader scope of semantic information, enabling it to effectively extract both global and local features. PSPNet’s capabilities make it ideal for complex, large-scale scenes, allowing it to focus on fine-grained details. In search and rescue scenarios—where environments are highly complex and individuals may be obscured or deeply integrated with challenging backgrounds—PSPNet is particularly well suited for personnel segmentation.
To address the need for efficient computation in image processing [15], researchers have developed various lightweight neural network architectures, including SqueezeNet [16], ShuffleNet [17], MobileNetV1 [18], and MobileNetV2 [19]. SqueezeNet reduces the number of parameters by replacing some 3 × 3 convolutions with 1 × 1 convolutions, utilizing the Fire module, which combines Squeeze layers (1 × 1 convolutions) with Expand layers (1 × 1 and 3 × 3 convolutions) to enhance feature complexity. ShuffleNet reduces computational cost by introducing pointwise group convolutions and employs a channel shuffle mechanism to alleviate information isolation. MobileNetV1 leverages depthwise separable convolutions, which break down convolutions into depthwise and pointwise steps, substantially lowering both computational load and parameter count. MobileNetV2 improves upon V1 by incorporating an inverted residual structure and a linear bottleneck design, greatly enhancing accuracy while maintaining a compact model size. These lightweight architectures significantly reduce computational resource requirements while maintaining high performance, making them ideal for mobile search and rescue applications and real-time processing.
The task of segmenting occluded individuals in search and rescue images often suffers from poor recognition accuracy, especially in complex backgrounds with image blurring and limited computational resources. To overcome these challenges, we propose the MHC-PSPNet algorithm, an enhanced version of PSPNet, which achieves the high-precision segmentation of individuals in search and rescue scenarios. The subsequent sections will introduce the MHC-PSPNet algorithm in detail and validate its segmentation accuracy for personnel images in complex rescue environments through experimental results.

2. Materials and Methods

2.1. PSPNet Network

This paper primarily investigates the application of deep learning methods for segmenting and extracting the contours of individuals detected in search and rescue scenarios. Successful semantic segmentation not only classifies each pixel but also identifies the objects in the image and their spatial locations, enabling the extraction of contours and coverage areas for the targets of interest. The accurate segmentation of individuals is critical for automatically identifying their key features, providing essential data to support subsequent rescue decisions. Given the growing demand for deep learning algorithms to operate effectively under limited hardware conditions, this research is particularly relevant for applications such as rescue robots and remote-controlled vehicles. To achieve this, this paper employs PSPNet for the binary segmentation of individuals and backgrounds. PSPNet effectively captures contextual information at multiple scales through its Pyramid Pooling Module (PPM), resulting in significant improvements in segmentation performance. The overall network architecture is illustrated in Figure 1.

2.2. MHC-PSPNet Network

To address the challenges of low segmentation accuracy for personnel images in complex backgrounds and under limited computational resources, an improved network architecture, MHC-PSPNet, is proposed based on PSPNet. In this architecture, PSPNet serves as the backbone, while MobileNetV2 is employed as the main feature extraction encoder, reducing the number of convolution parameters and resulting in a more lightweight model. Additionally, the H-Swish activation function replaces ReLU6 in MobileNetV2, further enhancing segmentation efficiency. The features obtained through global pooling are then passed into an attention mechanism, allowing the model to focus on crucial features while suppressing less significant ones, thereby improving segmentation performance. The architecture of the improved model is illustrated in Figure 2.

2.2.1. MobileNetV2 Backbone Network

Large-scale networks and lightweight networks represent two major development trends in deep learning. However, large-scale networks require high-performance GPUs, making them unsuitable for deployment on mobile devices. Therefore, this research focuses on lightweight deep neural networks [20]. To develop a lightweight image segmentation network for personnel in search and rescue scenarios, various lightweight backbone networks were compared in the experimental section. Ultimately, MobileNetV2 was selected, as it significantly reduces computational overhead [21], making it well suited for individual image segmentation in rescue operations.
MobileNetV2 achieves its lightweight nature through the use of inverted residual structures and depthwise separable convolutions. Specifically, depthwise separable convolutions consist of depthwise convolutions and pointwise convolutions, which differ significantly from standard convolutions [22]. In depthwise convolution, each input channel is convolved with its own separate kernel, where the number of kernels matches the number of channels. Pointwise convolution uses 1 × 1 convolutional kernels to mix information across channels at each spatial location, analogous to standard convolution but without spatial extent. MobileNetV2 introduces innovations over MobileNet, such as the inverted residual structure, as depicted in Figure 3 [23]. The core idea of this design is to expand dimensions before depthwise convolution and compress them afterward. This ensures that the network maintains sufficient depth and width while significantly reducing the number of parameters and computational complexity.

2.2.2. Attention Mechanism

The PSPNet network model can enhance image segmentation quality; however, when dealing with blurry images in complex backgrounds, important details may be lost during the segmentation process, resulting in blurred segmentation boundaries. To address this issue and create a more effective and detailed semantic segmentation model, the Convolutional Block Attention Module (CBAM) is incorporated into the network. This module can be seamlessly integrated into existing network architectures, enhancing feature extraction capabilities without significantly increasing the number of parameters or computational complexity. The structure of the CBAM is illustrated in Figure 4.
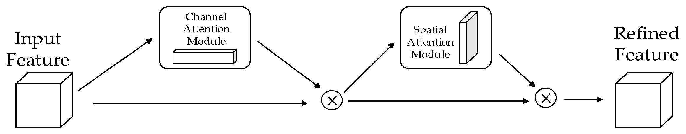
The attention module integrates spatial attention and channel attention to enhance the convolutional neural network’s focus on both spatial and channel-wise relationships. Spatial attention emphasizes spatial correlations within the input feature maps by applying pooling operations across spatial dimensions, thereby capturing features at each location. Fully connected layers are then used to learn the importance of each spatial location, assigning appropriate weights. To allow the network to selectively adjust feature weights at different spatial locations, the spatial attention weights are element-wise multiplied with the feature maps via broadcasting. Typically, global average pooling and max pooling strategies are employed to capture diverse spatial information.
In contrast, channel attention highlights important channels within the input feature maps. It begins by applying global average pooling along the channel dimension to extract global features for each channel. Two fully connected layers are then used to learn channel-specific weights, determining their importance. Finally, the channel attention weights are multiplied with the feature maps, enabling the network to adaptively adjust the relative importance of different channels [24]. This process is illustrated in Figure 5.
The CBAM integrates spatial and channel attention, enhancing the convolutional neural network (CNN) by emphasizing spatial and channel correlations. This mechanism enables the network to focus on essential information from the input features while minimizing the influence of irrelevant details, thereby improving the model’s expressiveness and generalization ability.

2.2.3. H-Swish Activation Function

In the PSPNet model, the ReLU function is used as the activation function during both the feature extraction stage and other stages of the network. While ReLU helps accelerate training, it has limitations in terms of learning capability. The Swish activation function effectively overcomes these limitations by preserving more comprehensive information from the image. However, Swish is more computationally complex than ReLU. To reduce the computational load, the improved network model adopts the H-Swish activation function, which retains the benefits of Swish while lowering the computational requirements to some extent. The sigmoid function and the h-sigmoid function are illustrated in Figure 6. The formulas for the Swish and H-Swish activation functions are provided in Equations (1) and (2).
S w i s h x = x σ x
H a r d S w i s h x = x H a r d S i g m o i d ( x ) = x R e L u 6 x + 3 6
= x 1 , x 3 x 6 + 1 2 , 3 x 3 0 , x 3
Figure 7 illustrates that the H-Swish function shares similar properties with the Swish function, including boundedness, smoothness, and monotonicity. Additionally, the H-Swish function maintains linear characteristics similar to those of the ReLU function. As a result, the improved model utilizes the H-Swish activation function to replace the original ReLU function, thereby enhancing feature extraction capabilities. This improvement is especially beneficial in scenarios with limited resources and complex backgrounds, such as those encountered in rescue environments.

2.3. Environment Configuration

In the algorithm experiments presented in this paper, the deep learning framework used is PyTorch 1.6. The software and hardware configuration of the machine is provided in Table 1 [25].

2.4. Dataset Description

Search and rescue scenarios are complex and diverse, requiring a dataset with a variety of background environments to address the demands of different situations. Due to the lack of specialized research and relevant datasets for personnel image segmentation in rescue operations, we created a dedicated dataset. This dataset includes images sourced from movie clips, real earthquake site photographs, and images captured from self-simulated rescue scenarios. We constructed four complex backgrounds for search and rescue environments: indoor spaces, urban ruins, flooded areas, and wilderness.
To facilitate the processing of the semantic segmentation network model and adapt to the constraints of computational resources, the high-resolution original images were cropped into smaller image patches, which were then meticulously manually annotated. Ultimately, this initial dataset contained 716 images. To enhance the model’s accuracy and robustness, we applied data augmentation techniques—image flipping, cropping, and scaling—expanding the dataset to 2864 images. Examples of enhanced images are shown in Figure 8. (The following images are taken by the author and have been pixelated and blurred for privacy protection).
Figure 9 shows examples of individuals in search and rescue scenarios, where the enhanced images feature complex, variable backgrounds. The post-disaster positions of individuals blend seamlessly with their surroundings, greatly increasing the difficulty of recognition. (The following images, whether taken by the author or publicly sourced from the internet, have been pixelated and blurred for privacy protection).
Image annotation was performed using the LabelMe 3.16.7 tool, which enabled the pixel-level labelling of each JPG image and generated corresponding JSON files. These JSON files were then batch-converted into PNG annotation images, as shown in Figure 10. Finally, the dataset was split into training, validation, and testing sets in an 8:1:1 ratio, resulting in 2290 images for training, 287 images for validation, and 287 images for testing. (The following images, whether taken by the author or publicly sourced from the internet, have been pixelated and blurred for privacy protection).

2.5. Evaluation Metrics

To validate the effectiveness of the proposed method, we use several evaluation metrics—accuracy, precision, F1 score, and Intersection over Union (IoU)—to quantitatively assess the performance of the person image segmentation model in search and rescue scenarios. The formulas for these metrics are provided in Equations (3)–(6).
A c c u r a c y = T P + T N T P + T N + F P + F N
P r e c i s i o n = T P T P + F P
F 1 S c o r e = 2 × T P 2 T P + F P + F N
I o U = T P T P + F P + F N
In the formulas, the terms are defined as follows:
T P : Number of pixels classified correctly as personnel.
T N : Number of pixels classified correctly as background.
F P : Number of background pixels incorrectly classified as personnel.
F N : Number of personnel pixels incorrectly classified as background.

2.6. Parameter Configuration

During the model training phase, the following parameter configuration was used:
(1)
Training Epochs: The model was trained for 100 epochs. The first 50 epochs were designated as the frozen training phase, during which, specific layers’ weights were kept constant. The following 50 epochs formed the unfrozen training phase, allowing all layers’ weights to be updated.
(2)
Batch Size: The batch size was set to 8 during the frozen training phase and reduced to 4 during the unfrozen training phase.
(3)
Optimization Algorithm: The network used the Stochastic Gradient Descent (SGD) optimization method. Compared to other optimizers, SGD typically requires fewer computational resources, as it does not maintain or update first- and second-order moment estimates of the gradients.
(4)
Learning Rate: The initial learning rate was set to 0.01 and dynamically adjusted during training using a cosine annealing strategy.
(5)
Loss Function: For the semantic segmentation task involving post-disaster personnel (a binary classification problem with categories of personnel and background), the binary cross-entropy loss function was used to effectively measure the discrepancy between predicted results and true labels. The specific calculation of this loss function is detailed in Formula (7).
L b c e = 1 N i   y i · log p i + 1 y i · log 1 p i
In the formula, y i denotes the true value of sample i , p i represents the probability that sample i is predicted as the positive class, and N is the total number of pixel points in the image.

2.7. Visualizing the Training Process

During the training process visualization, the evolution of the loss function across iterations is observed. Figure 11 illustrates the loss changes during training. Initially, the model rapidly learns data features and patterns, leading to a quick decrease in loss. In the mid-phase, due to the transition from frozen to unfrozen layers, the loss function exhibits noticeable fluctuations. Eventually, the loss stabilizes within a specific range, with no significant upward or downward trends. This indicates that, under the current training parameters and model configuration, the segmentation network’s performance is approaching its optimal state.

3. Results

3.1. Validation Experiment

To assess the applicability of two feature extraction networks within the PSPNet model for search and rescue scenarios, comparative experiments were conducted. Performance evaluation was performed on the test set of a self-built search and rescue dataset for both PSPNet configurations. The primary evaluation metrics include IoU, accuracy, total parameters, total GFLOPS, memory usage (CPU, GPU, TPU), and model size. The results are presented in Table 2.
The experimental results show that replacing the backbone of PSPNet with MobileNetV2 yields an IoU of 79.74% and an accuracy of 96.07% on the test set, which are slightly lower than the baseline model. However, this modification significantly reduces the number of floating-point operations and the model parameter count by several orders of magnitude. Additionally, the memory usage is substantially decreased on CPU, GPU, and TPU by 7.14 GB, 6.69 GB, and 2.15 GB, respectively. These improvements markedly enhance the model’s computational efficiency and lightweight nature, offering clear practical advantages for deployment on resource-constrained devices in complex environments. Therefore, replacing the backbone with MobileNetV2 proves to be both a reasonable and effective choice.
To enable semantic segmentation for individuals in search and rescue scenarios under limited hardware conditions, the PSPNet architecture was further optimized by selecting lightweight backbone networks. The comparison focused on ShuffleNetV1, ShuffleNetV2, MobileNetV1, MobileNetV2, and MobileNetV3, with experiments conducted on a self-built dataset.
As shown in Table 3, MobileNetV2 performs the best when used as the backbone network. It also has the smallest model parameter size among the options, making it suitable for conditions with limited resources.

3.2. Comparison of Model Complexity

In this study, a performance comparison was conducted among five models—UNet, DeepLabv3+, HRNet [25], PSPNet, and the proposed MHC-PSPNet. MHC-PSPNet offers a clear advantage in model efficiency, with only 2.38 M parameters—approximately three times fewer than the smallest HRNet models in the study. Additionally, the total floating-point operations for MHC-PSPNet are just 5.28 billion, about five times fewer than those required by the HRNet model. These results demonstrate that MHC-PSPNet is more efficient in terms of computational resource usage and storage requirements, making it well suited for resource-constrained environments [26]. In rescue scenarios, it can effectively operate under low-power and limited hardware conditions. The results are presented in Table 4.

3.3. Comparison of Model Performance Experimental Results

In the study, five models—UNet, DeepLabv3+, HRNet, PSPNet, and MHC-PSPNet—were compared and tested. Their IoU, accuracy, and F1 score were evaluated using the test set from a custom-built dataset, with the results presented in Table 5.
As shown in the table, while the UNet model, with VGG16 as its feature extractor, performs well in metrics such as MIoU, MPA, and F1 score, it slightly lags behind other models in the performance comparison. DeepLabv3+, utilizing Xception as its feature extractor, outperforms UNet but still has room for improvement across various metrics. The HRNet model, with hrnetv2_w18 as its feature extractor, achieves high scores due to its distinctive high-resolution feature fusion and multi-scale processing mechanisms. The PSPNet model, using ResNet50 as its feature extractor, demonstrates strong overall performance, although its MPA value is slightly lower than that of HRNet. The MHC-PSPNet model, which employs the lightweight MobileNetV2 as its feature extractor, outperforms all other evaluated models and shows enhanced effectiveness in complex scenarios [26]. This demonstrates the success of the design strategy in improving both model performance and adaptability.

3.4. Comparison Experiments of Activation Functions

To evaluate the impact of replacing the ReLU activation function with H-Swish on the segmentation performance in search and rescue scenarios, comparative experiments were conducted to assess changes in the model’s Intersection over Union (IoU) and accuracy metrics, as shown in Table 6.
Overall, this study shows that replacing the ReLU activation function with H-Swish results in a 0.47% improvement in accuracy and a 0.42% increase in Intersection over Union (IoU). This demonstrates that H-Swish enhances the model’s applicability in complex search and rescue environments.

3.5. Ablation Experiment

Ablation experiments were performed on the self-constructed dataset to validate the effectiveness of MobileNetV2, the H-Swish module, and the CBAM. The evaluation metrics included IoU, PA, F1 score, and total parameter count. The results are presented in Table 7. (√ indicates the inclusion of this module).

3.6. Comparative Experiments on Different Attention Mechanisms

Attention mechanisms help deep learning models focus on relevant parts of the input data while disregarding irrelevant information. Based on the MobileNetV2 backbone, three attention mechanisms were introduced for comparative analysis, Coordinate Attention (CA), Global Attention Mechanism (GAM), and Convolutional Block Attention Module (CBAM), as shown in Table 8.
Based on the comparative results in Table 8, we can draw the following conclusions:
  • The introduction of any of the three attention mechanisms enhances the performance of disaster victim image segmentation.
  • Different attention mechanisms exhibit varying levels of effectiveness in complex search and rescue environments, with the CBAM mechanism yielding the best performance.
  • The CBAM improves the accuracy and robustness of segmentation in complex search and rescue environments through channel and spatial attention mechanisms.

3.7. Segmentation Result Visualization

Figure 12 presents a visual comparison of five models—UNet, DeepLabv3+, HRNet, PSPNet, and MHC-PSPNet—for image segmentation tasks. MHC-PSPNet shows more precise segmentation boundaries and richer details than UNet, demonstrating superior performance in complex scenarios. Compared to DeepLabv3+ and HRNet, which excel at integrating global and local information, MHC-PSPNet outperforms in detail capturing and accuracy, particularly in the fine segmentation of object contours. PSPNet, on the other hand, struggles with high background complexity or poor lighting, whereas MHC-PSPNet maintains high segmentation quality and clarity even under challenging conditions, providing more accurate and comprehensive results [27]. This underscores the effectiveness and robustness of MHC-PSPNet in complex rescue scenarios. ( The following images are publicly sourced from the internet and have been mosaicked and blurred for privacy).

4. Discussion

With the rapid advancement of artificial intelligence, accurately determining the location and status of trapped individuals in search and rescue scenarios is crucial for the effective planning and execution of rescue operations. Current detection technologies primarily focus on positional information, often overlooking the status of individuals, which can lead to the inefficient allocation of rescue resources [28]. To address this issue, this study proposes a network model based on semantic segmentation technology, aimed at extracting detailed information about trapped individuals.
This research utilizes MobileNetV2 as the backbone network to meet the requirements of mobile devices. The original ReLU6 activation function is replaced with H-Swish to reduce computational load while maintaining image integrity. To address image blurriness, the CBAM is integrated into the Pyramid Pooling Module (PPM), optimizing the PSPNet model and resulting in the MHC-PSPNet model. This model not only captures the location and entrapment status of individuals but also demonstrates superior performance compared to other semantic segmentation models.
The results show that the MHC-PSPNet model achieves an average Intersection over Union (IoU) of 83.82% and an accuracy of 97.15%, with a parameter count of just 2.38 M, outperforming other models. The primary advantage of this model is its ability to significantly reduce the parameter count while maintaining precision, providing an effective image segmentation solution for search and rescue scenarios. Figure 13 presents segmentation results across four complex backgrounds and scenarios, demonstrating the model’s broad applicability. (The following images, whether taken by the author or publicly sourced from the internet, have been pixelated and blurred for privacy protection).

5. Conclusions

This study proposes a method for the accurate identification of individuals in search and rescue scenarios using the MHC-PSPNet architecture, addressing issues such as image blurriness and limited resources [29].
(1)
The PSPNet model serves as the core network, with MobileNetV2 as the backbone to meet the performance requirements of mobile devices. To reduce computational load while preserving image integrity, the H-Swish activation function replaces ReLU6. Additionally, the CBAM is integrated into the Pyramid Pooling Module (PPM) to address image blurriness, optimizing the PSPNet model and improving its segmentation performance in complex search and rescue environments.
(2)
The MHC-PSPNet model achieves 97.15% accuracy, 92.17% F1 score, 83.82% Intersection over Union (IoU), and a parameter count of 2.38 M on the test set. Compared to UNet, DeepLabv3+, HRNet, and PSPNet, it demonstrates superior segmentation accuracy, offering robust technical support for post-disaster search and rescue operations.
(3)
Feature maps from four different search and rescue scenarios were visualized to illustrate the model’s learning patterns and areas of focus, further validating the rationale behind the proposed network architecture.
(4)
Despite achieving positive results, the study reports a 2.85% mis-segmentation rate, caused by variations in lighting, the blending of individuals with complex backgrounds, and significant occlusion. Although the improved model benefits from a reduced parameter count of 2.38 M, which substantially lowers computational complexity, further optimization of the MobileNetV2 architecture will be explored to enhance its ability to extract complex features, without relying solely on attention mechanisms.
(5)
Future research will focus on investigating new strategies to further streamline the model, improve accuracy in challenging backgrounds, and expand the application of the proposed network to enhance its effectiveness and adaptability across diverse rescue scenarios [30]. In conclusion, the continuous optimization and expansion of this architecture will provide more robust support for post-disaster rescue operations.

Author Contributions

Conceptualization, D.Z. and W.Z.; methodology, W.Z.; software, W.Z.; validation, W.Z. and Y.W.; formal analysis, W.Z.; investigation, D.Z.; resources, D.Z.; data curation, W.Z.; writing—original draft preparation, W.Z.; writing—review and editing, W.Z.; visualization, W.Z.; supervision, Y.W.; project administration, D.Z.; funding acquisition, D.Z. All authors have read and agreed to the published version of the manuscript.

Funding

This research was funded by Research on Key Technologies of Rescue Robots Under Special Complex Conditions (BS318J009).

Institutional Review Board Statement

Not applicable.

Informed Consent Statement

Not applicable.

Data Availability Statement

The raw/processed data required to reproduce these findings cannot be shared at this time as the data also form part of an ongoing study.

Conflicts of Interest

The authors declare no conflicts of interest.

References

  1. Li, X.; Li, H.; Gao, S. A Lightweight Underwater Fish Body Image Segmentation Algorithm Based on Co-PSPNet. Comput. Meas. Control. 2024, 32, 268–275+308. [Google Scholar]
  2. Tao, Z. Research on Semantic Segmentation Technology for Military Personnel Images in Multi-Battlefield Environments Based on Deep Learning. Master’s Thesis, Academy of Military Sciences, Beijing, China, 2021; p. 000165. [Google Scholar]
  3. Qiu, J.; Xu, X.; Kang, Y.; Zang, H.; Ma, K.; Guo, Z. Research on watermelon fruit extraction from UAV images based on semantic segmentation. J. China Agric. Mach. Chem. 2024, 45, 182–188. [Google Scholar]
  4. Chen, L.; Papandreou, G.; Kokkinos, I.; Murphy, K.; Yuille, A.L. DeepLab: Semantic Image Segmentation with Deep Convolutional Nets, Atrous Convolution, and Fully Connected CRFs. IEEE Trans. Pattern Anal. Mach. Intell. 2018, 40, 834–848. [Google Scholar] [CrossRef]
  5. Badrinarayanan, V.; Handa, A.; Cipolla, R. SegNet: A Deep Convolutional Encoder-Decoder Architecture for Image Segmentation. IEEE Trans. Pattern Anal. Mach. Intell. 2017, 39, 2481–2495. [Google Scholar] [CrossRef] [PubMed]
  6. Hao, H.; Luo, J. Multi-Organ Semantic Segmentation Model Based on Multi-Scale Regional Feature Fusion. Comput. Eng. 2024, 1–13. [Google Scholar] [CrossRef]
  7. Liu, C.; Cai, W.; Lu, L. A Review of Image Thresholding Methods for Segmentation. Comput. Knowl. Technol. Acad. Ed. 2015, 1, 140–142. [Google Scholar]
  8. Yang, M.-S.; Hussain, I. Unsupervised Multi-View K-Means Clustering Algorithm. IEEE Access 2023, 11, 13574–13593. [Google Scholar] [CrossRef]
  9. Zhao, Z.; Yang, H.; Deng, Z.; Zhang, W.; Luo, C.; Wang, G.; Ge, Y.; Hu, S. Pseudo-label Enhanced Multi-view Deep Concept Factorization Fuzzy Clustering. IEEE Trans. Fuzzy Syst. 2024, 1–14. [Google Scholar]
  10. Ronneberger, O.; Fischer, P.; Brox, T. U-Net: Convolutional Networks for Biomedical Image Segmentation. In Proceedings of the 18th International Conference on Medical Image Computing and Computer-Assisted Intervention (MICCAI), Munich, Germany, 5–9 October 2015; pp. 234–241. [Google Scholar] [CrossRef]
  11. Hussain, T.; Shouno, H. MAGRes-UNet: Improved Medical Image Segmentation Through a Deep Learning Paradigm of Multi-Attention Gated Residual U-Net. IEEE Access 2024, 12, 40290–40310. [Google Scholar] [CrossRef]
  12. Chen, L.-C.; Zhu, Y.; Papandreou, G.; Schroff, F.; Adam, H. Encoder-Decoder with Atrous Separable Convolution for Semantic Image Segmentation. arXiv 2018, arXiv:1802.02611. [Google Scholar]
  13. Hussain, T.; Shouno, H. Explainable Deep Learning Approach for Multi-Class Brain Magnetic Resonance Imaging Tumor Classification and Localization Using Gradient-Weighted Class Activation Mapping. Information 2023, 14, 642. [Google Scholar] [CrossRef]
  14. Zhao, H.; Shi, J.; Qi, X.; Wang, X.; Jia, J. Pyramid Scene Parsing Network. In Proceedings of the 2017 IEEE Conference on Computer Vision and Pattern Recognition (CVPR), Honolulu, HI, USA, 21–26 July 2017; pp. 6230–6239. [Google Scholar]
  15. Korolov, R.; Yevseiev, D.; Milevskyi, S.; Umanskiy, O.; Shyian, I.; Sydorenko, Z. Development of a Lightweight Encryption Algorithm Based on Extended Galois Fields. In Proceedings of the HORA 2024—6th International Congress on Human-Computer Interaction, Optimization and Robotic Applications, Proceedings, Istanbul, Turkiye, 23–25 May 2024. [Google Scholar]
  16. Feng, J.; Xiao, H.; Xu, B. Image Segmentation of Continuous Casting Billet Isometric Crystal Band Based on Improved PSPNet. Metall. Equip. 2023, 6, 7–13+79. [Google Scholar]
  17. Lee, H.J.; Ullah, I.; Wan, W.; Gao, Y.; Fang, Z. Real-Time Vehicle Make and Model Recognition with the Residual SqueezeNet Architecture. Sensors 2019, 19, 982. [Google Scholar] [CrossRef] [PubMed]
  18. Zhang, X.; Zhou, X.; Lin, M.; Sun, J. ShuffleNet: An Extremely Efficient Convolutional Neural Network for Mobile Devices. In Proceedings of the IEEE Computer Society Conference on Computer Vision and Pattern Recognition (CVPR), Salt Lake City, UT, USA, 18–22 June 2018; pp. 6848–6856. [Google Scholar]
  19. Sinha, D.; El-Sharkawy, M. Thin MobileNet: An Enhanced MobileNet Architecture. In Proceedings of the 2019 IEEE 10th Annual Ubiquitous Computing, Electronics and Mobile Communication Conference (UEMCON), New York, NY, USA, 10–12 October 2019; pp. 280–285. [Google Scholar]
  20. Sandler, M.; Howard, A.; Zhu, M.; Zhmoginov, A.; Chen, L.-C. MobileNetV2: Inverted Residuals and Linear Bottlenecks. In Proceedings of the IEEE Computer Society Conference on Computer Vision and Pattern Recognition (CVPR), Salt Lake City, UT, USA, 18–22 June 2018; pp. 4510–4520. [Google Scholar]
  21. Gao, D.; Chen, J.; Xie, Y. A-PSPNet: An Attention Mechanism Enhanced PSPNet for Image Semantic Segmentation. J. Chin. Acad. Electron. Inf. Technol. 2020, 15, 518–523. [Google Scholar]
  22. Ma, X.; Yang, L.; Guo, Y.; Zhao, Y. An Improved DeepLabV3+ Network for Open-Pit Mine Berm Wall Segmentation. Electron. Meas. Technol. 2023, 46, 92–97. [Google Scholar]
  23. Yao, Y.; Hu, L.; Guo, J. Terrain Recognition Based on Deep Transfer Network MobileNetV3. J. Guangxi Univ. (Nat. Sci. Ed.) 2021, 46, 996–1007. [Google Scholar]
  24. Wang, H.; Liu, L.; Zhao, X.; Zhang, Q. Fast and Accurate Recognition of Coal-Rock Interfaces Based on Improved PSPNet with MobileNetV2. Vib. Test. Diagn. 2024, 1–8. [Google Scholar] [CrossRef]
  25. Guo, Z.; Ma, D.; Luo, X. A Lightweight Semantic Segmentation Algorithm Integrating CA and ECA Net Modules. Optoelectron. Lett. 2024, 20, 568–576. [Google Scholar] [CrossRef]
  26. Kuchkorov, T.A.; Sabitova, N.Q.; Ochilov, T.D. Gastric Ulcer Detection in Endoscopic Images Using MobileNetV3-Small. In Lecture Notes in Computer Science (Including Subseries Lecture Notes in Artificial Intelligence and Lecture Notes in Bioinformatics); Springer: Berlin/Heidelberg, Germany, 2024; Volume 14531, pp. 214–225. [Google Scholar]
  27. Lv, C.; Xu, Y. Occluded Pedestrian Detection Based on Improved Faster R-CNN. J. Huizhou Univ. 2024, 44, 10–15. [Google Scholar]
  28. Lu, Z.; Chen, F.; Yuan, C.; Tian, Y.; Chen, Q.; Wen, M.; Yin, K.; Yang, G. Extraction of Certain Special Plant Cultivation Areas from High-Resolution Remote Sensing Images Using I-PSPNet Semantic Segmentation Model. Remote Sens. Technol. Appl. 2024, 39, 222–233. [Google Scholar]
  29. Xiao, B.; Wu, J.; Mao, L.; Gu, T.; Liang, Y.; Dai, Y. Research on Earthquake Geological Disaster Recognition Based on Deep Learning Networks: A Case Study of the 7.0-Magnitude Earthquake in Jiuzhaigou, Sichuan. Earthq. Disaster Prev. Technol. 2021, 16, 617–624. [Google Scholar]
  30. Luo, J.; Shuai, X.; Li, J. Extraction of Building Surface Damage Information from Oblique Photogrammetry Using Deep Learning. China Earthq. 2023, 39, 271–281. [Google Scholar]
Figure 1. PSPNet network architecture.
Figure 1. PSPNet network architecture.
Applsci 14 10675 g001
Figure 2. MHC-PSPNet network architecture.
Figure 2. MHC-PSPNet network architecture.
Applsci 14 10675 g002
Figure 3. Inverted residual structure.
Figure 3. Inverted residual structure.
Applsci 14 10675 g003
Figure 4. CBAM attention mechanism.
Figure 4. CBAM attention mechanism.
Applsci 14 10675 g004
Figure 5. Channel attention and spatial attention modules.
Figure 5. Channel attention and spatial attention modules.
Applsci 14 10675 g005
Figure 6. Sigmoid and h-sigmoid function graphs.
Figure 6. Sigmoid and h-sigmoid function graphs.
Applsci 14 10675 g006
Figure 7. Swish and H-Swish function images.
Figure 7. Swish and H-Swish function images.
Applsci 14 10675 g007
Figure 8. Image enhancement result example.
Figure 8. Image enhancement result example.
Applsci 14 10675 g008
Figure 9. Examples from the dataset.
Figure 9. Examples from the dataset.
Applsci 14 10675 g009
Figure 10. Picture annotation example diagram.
Figure 10. Picture annotation example diagram.
Applsci 14 10675 g010
Figure 11. Variation diagram of loss function.
Figure 11. Variation diagram of loss function.
Applsci 14 10675 g011
Figure 12. Visualization of five types of network segmentation results.
Figure 12. Visualization of five types of network segmentation results.
Applsci 14 10675 g012
Figure 13. Segmentation results of the proposed network in four environments.
Figure 13. Segmentation results of the proposed network in four environments.
Applsci 14 10675 g013
Table 1. Hardware and software configuration of the machine.
Table 1. Hardware and software configuration of the machine.
ProjectDetail
CPUIntel Core i5-13490F
RAM32 GB
GPURTX 3080
CUDACuda10.3
CuDNNCuDNN8.2
Data processingPython3.7
Operating systemWindows11
Table 2. Comparative experiments of the two backbone networks.
Table 2. Comparative experiments of the two backbone networks.
Feature ExtractorsResnet50MobileNetv2
IoU/%82.5179.74
Accuracy/%96.8996.07
Total GFLOPS/G103.655.28
Memory usage (CPU)/G14.537.39
Memory usage (GPU)/G9.322.63
Memory usage (TPU)/G3.411.26
Total params/M46.712.38
Model size/M178.189.06
Table 3. Lightweight backbone network performance comparison.
Table 3. Lightweight backbone network performance comparison.
ModellingFeature ExtractorsIoU%Accuracy/%Total Params/M
PSPNetShuffleNetV174.5195.087.02
ShuffleNetV276.4895.474.4
MobileNetV174.9795.168.89
MobileNetV279.7496.072.38
MobileNetV377.3595.392.96
Table 4. Complexity comparison of different models.
Table 4. Complexity comparison of different models.
ModellingFeature ExtractorsModel Size/MTotal GFLOPS/GTotal Params/M
UNetVGG1694.95451.7724.89
DeepLabv3+Xception208.70166.8754.71
HRNethrnetv2_w1836.7432.829.64
PSPNetResnet50178.18103.6546.71
MHC-PSPNetMobileNetV220.705.282.38
Table 5. Test results of different models.
Table 5. Test results of different models.
ModellingFeature ExtractorsMIoU/%Accuracy/%F1 Score/%
UNetVGG1681.3296.2388.23
DeepLabv3+Xception82.1496.4588.93
HRNethrnetv2_w1882.2296.3489.13
PSPNetResnet5082.5196.8988.95
MHC-PSPNetMobileNetV283.8297.1592.17
Table 6. Comparison experiments of H-Swish and ReLU activation functions.
Table 6. Comparison experiments of H-Swish and ReLU activation functions.
ModellingIoU%Accuracy/%F1 Score/%Total Params/M
PSPNet+Mobilenetv2(ReLU)81.2996.7289.032.38
PSPNet+Mobilenetv2(H-Swish)81.5596.8989.542.38
PSPNet+Mobilenetv2(ReLU)+CBAM83.4397.0991.312.38
MHC-PSPNet83.8297.1592.172.38
Table 7. Ablation results of different modules.
Table 7. Ablation results of different modules.
Mobilenetv2H-SwishCBAMIoU/%Accuracy/%F1 Score/%Total Params/M
79.7496.0787.232.38
81.5596.8989.542.38
82.9497.0791.232.38
83.8297.1592.172.38
Table 8. Performance comparison of different attention mechanisms.
Table 8. Performance comparison of different attention mechanisms.
Feature ExtractorsAttention MechanismIoU%Accuracy/%F1-Score/%
MobileNetV2CA82.8496.9891.08
GAM82.3796.8990.02
CBAM82.9497.0791.23
Disclaimer/Publisher’s Note: The statements, opinions and data contained in all publications are solely those of the individual author(s) and contributor(s) and not of MDPI and/or the editor(s). MDPI and/or the editor(s) disclaim responsibility for any injury to people or property resulting from any ideas, methods, instructions or products referred to in the content.

Share and Cite

MDPI and ACS Style

Zhao, D.; Zhang, W.; Wang, Y. Research on Personnel Image Segmentation Based on MobileNetV2 H-Swish CBAM PSPNet in Search and Rescue Scenarios. Appl. Sci. 2024, 14, 10675. https://doi.org/10.3390/app142210675

AMA Style

Zhao D, Zhang W, Wang Y. Research on Personnel Image Segmentation Based on MobileNetV2 H-Swish CBAM PSPNet in Search and Rescue Scenarios. Applied Sciences. 2024; 14(22):10675. https://doi.org/10.3390/app142210675

Chicago/Turabian Style

Zhao, Di, Weiwei Zhang, and Yuxing Wang. 2024. "Research on Personnel Image Segmentation Based on MobileNetV2 H-Swish CBAM PSPNet in Search and Rescue Scenarios" Applied Sciences 14, no. 22: 10675. https://doi.org/10.3390/app142210675

APA Style

Zhao, D., Zhang, W., & Wang, Y. (2024). Research on Personnel Image Segmentation Based on MobileNetV2 H-Swish CBAM PSPNet in Search and Rescue Scenarios. Applied Sciences, 14(22), 10675. https://doi.org/10.3390/app142210675

Note that from the first issue of 2016, this journal uses article numbers instead of page numbers. See further details here.

Article Metrics

Back to TopTop