Abstract
For improving the adaptability of a tracked vehicle equipped with a symmetrical suspension system on complex hilly terrain, based on the coupling method of multi-body dynamics (MBD) and discrete element method (DEM), an MBD-DEM coupling model was built and verified to explore its dynamic behaviors on soil. Firstly, according to the basic parameters of the tracked vehicle equipped with a symmetrical suspension system, a corresponding MBD model was built in Recurdyn V9R4 software. Based on the Euler–Lagrange method, the mathematical structure of the symmetrical suspension system was analyzed, and a corresponding mathematical simulation model was built in Matlab2016/Simulink to verify the MBD model. Secondly, based on the DEM theory and the parameter of the soil in a hilly area, a granular pavement model was built. Then, based on the coupling method of MBD and DEM, the corresponding MBD-DEM coupling model was built. Finally, using the MBD-DEM coupling model, the dynamic behaviors of the tracked vehicle equipped with a symmetrical suspension system under horizontal condition, the climbing condition and the obstacle crossing condition were obtained and discussed. The study results show that the proposed MBD-DEM coupling model could be used effectively to analyze the dynamic characteristics of the tracked vehicle. In addition, according to the analysis of the dynamic characteristics of the proposed tracked vehicle, the tracked vehicle equipped with a symmetrical suspension presents good adaptabilities under various working conditions.
1. Introduction
Due to the strong mobility, excellent environmental adaptability, and outstanding load-bearing capacity and traction, tracked vehicles are widely applied in various industries including mining, construction, forestry, agriculture, and military [,]. For improving the adaptability of tracked vehicles, the dynamic characteristics of tracked vehicles equipped with various suspensions under specified working conditions have been designed and studied by experiments and simulations.
A novel symmetrical passive suspension tracked vehicle was proposed by Angelo Ugenti et al. []. For revealing its dynamic characteristics, an inverse kinematic analysis model based on constraint equations and quasi-static analysis was built and verified by experiments, indicating that the proposed tracked robot is more suitable for overcoming high obstacles than a cross-structured one. Pingxin Wang and his colleagues conducted research on the constant hydraulic drive control method for tracked vehicles. They developed a novel tensioning device by integrating an electro-hydraulic servo control system. They also established the dynamic equations of tracked vehicles and combined dynamic models with analytical models to verify their operational performance. The results confirmed that the tensioning device can reduce the average tension force exerted on the tracks []. Zhao Jianzhu and his colleagues proposed a verification method based on the similarity theory. They conducted a 1:5 scale modeling of a variable stiffness suspension system and transformed the experimental results using similarity indices. This approach facilitated performance predictions for full-scale chassis. According to the power spectral density (PSD) analysis, the low-order natural frequency of the vertical inherent mode (Z-axis) is 1.1Hz. The Root Mean Square (RMS), A-weighted Acceleration (AAP), and Vibration Dose Value (VDV) indicate that the ride comfort performance of this dynamic chassis falls between ‘slightly uncomfortable’ and ‘quite uncomfortable’. Comparing this with the experimental results, it is determined that conducting preliminary assessments of ride comfort using a 1:5 scale model is feasible []. Stefan Milicevic et al. [] carried out numerical analysis on the hybrid optimization problem of the speed-coupled parallel hybrid system of tracked vehicles, the optimal hybrid factor is 0.48 for the speed coupled parallel structure, and the results are of significance for powertrain design. Ling Qihui et al. [] carried out the multi-point layout optimization design of the active suspension of tracked vehicles based on the orthogonal test method to achieve comprehensive optimal vibration damping performance and energy consumption of tracked vehicles, and analyzed the influence law of each layout scheme on the vibration damping performance of the suspension system under typical road surfaces and the change law of energy consumption. The result is a balance between suspension damping performance and energy consumption.
In addition to the influences of vehicle body structure and research methodologies mentioned earlier, the modeling of the road surface, as an interacting element of vehicles, also plays a crucial role in determining vehicle dynamic characteristics. Thus, the road surface of a specific test site was scanned by using PPS laser scanners, IMU navigation modules, etc. to build a realistic road surface simulation model by Zhou Shuai et al. []. With the proposed simulation model, the statistical analysis accuracy of the simulation model was analyzed to verify its effectiveness. However, it should be noted that the reconstructed road surface model using this method is only suitable for reproducing non-deformable and slightly deformed road surfaces and may not effectively replicate soft ground conditions. Accordingly, based on Discrete Body Dynamics (DBD), a simplified linear decoupling motion equation with a faster simulation speed and a higher system stability was built by Gilad Gat et al. []. The ground contact model (GCM) used in the study enables effective contact detection and simple modeling of non-uniform soil conditions. In addition, by using the DEM-MBD coupling method, the influences of design parameters, including the pre-tensioning force of the electric excavator’s track chassis, wheel spacing, sprocket speed, and track shoe height on the chassis, tracking performance was studied by Zeren Chen et al. []. The corresponding track plate structure was optimized by using a genetic algorithm. Based on the ground mechanics theory of vehicles, Husi et al. [] built a pressure and shear characteristic model of specific soil, and studied the walking performance of tracked vehicles. According to the steering characteristics of tracked vehicles, Zhang Yu et al. established the slope steering dynamics model, combined with the ground mechanics theory, analyzed the influence of slope Angle, ground properties, and steering radius on the slope steering performance of tracked vehicles, and the research results have certain significance for the design of tracked vehicles [].
According to previous studies, the structure and dynamic characteristics of tracked vehicles equipped with vertical and tilted suspensions have been studied and used widely by experiments and simulations. More attention should be paid to investigating the dynamics characteristics of a tracked vehicle equipped with symmetrical suspensions, which could be beneficial to the development of the machinery adapted to complex terrains. Therefore, this paper aims to build an MBD-DEM coupling model to analyze the dynamic characteristics of a homemade tracked vehicle equipped with symmetrical suspensions to verify the effectiveness of the homemade tracked vehicle. An MBD model of a homemade tracked vehicle equipped with symmetrical suspensions will firstly be built and verified in detail. By coupling the DEM model, a corresponding MBD-DEM model will be constructed in the third section. Finally, the dynamic characteristics of a homemade tracked vehicle equipped with symmetrical suspensions will be investigated in detail by using the proposed MBD-DEM model.
2. Construction and Verification of MBD Model
2.1. Construction of MBD Model
For building a proper MBD model, the tracked vehicle and the road surface conditions should be considered.
2.1.1. Modeling of Tracked Vehicle Equipped with Symmetrical Suspensions
An ideal tracked vehicle equipped with symmetrical suspensions has been designed, whose 3D model is shown in Figure 1. The tracked vehicle was designed with an engine power of 75 kW, a speed of 1500 r/min, and a transmission ratio of the transmission system of 20:1. According to Figure 1, the tracked vehicle consists of a vehicle body and two track subsystems. Considering the rigid characteristic of the vehicle body, the vehicle body is considered as a rigid body in the model and the corresponding structural design parameters are shown in Table 1.

Figure 1.
Diagram of tracked vehicle.

Table 1.
Parameters of tracked vehicle.
The track subsystem, as shown in Figure 2, consists of two symmetrical suspensions, four wheels (sprocket, tensioning wheel, idler wheels, and road wheels), and one belt, always named as ‘Four wheels and one belt structure’, whose parameters and constraints are shown in Table 2 and Table 3, respectively. Figure 3 illustrates the cross-sectional dimensions of a singular track section alongside the corresponding 3D model created in SolidWorks.

Figure 2.
Diagram of track subsystem.

Table 2.
Parameters of ‘Four wheels and one belt’ structural.

Table 3.
Constraint of ‘Four wheels and one belt’ structural.

Figure 3.
Track cross-section.
As the main part of the track subsystem, the symmetrical suspension, as shown in Figure 4, consists of three shock absorbers, two suspension swing arms, four load-bearing wheels, and two connecting plates. The corresponding parameters and constraints of the symmetrical suspension are shown in Table 4 and Table 5, respectively.

Figure 4.
Schematic diagram of symmetrical suspension.

Table 4.
Parameters of symmetrical suspension.

Table 5.
Constraints of symmetrical suspension.
According to the above parameters, the corresponding MBD model of the tracked vehicle, as shown in Figure 5, could be built in the Recurdyn V9R4 software.

Figure 5.
MBD model of tracked vehicle.
2.1.2. Construction of Road Surface Model
For evaluating the dynamic characteristics of a tracked vehicle more accurately, the roughness of the road surface should be considered. It could be expressed by Equation (1) as follows:
where q(t) is the displacement caused by the roughness of road surface, α is a coefficient of the road roughness, v is the forward velocity, and w(t) is Gaussian distributed white noise, whose covariance could be expressed as Equation (2).
where is time shifting, is the impulse function, and ρ is the pavement grade, which can be obtained from the literature of Wu Zhicheng []. In this paper, 150.8 of grade c pavement is taken. According to the study of Liu Zongkai et al. [], the roughness of one point located on the road surface with a coordinate (x, y) in three-dimensional space can be expressed as follows:
where nmi is the center frequency of the i-th frequency band, originated from the power spectral density Gd(n), which is divided with a resolution ratio of ; Gd(nmi) is the corresponding power spectral density, which could be decided by the level of road surface in Table 6. F(x, y) is an arbitrary function that is directly proportional to the road length/width with an exponent of 1. In this case, . , which is a uniformly distributed random sequence that varies with (x, y) in [0, 2π].

Table 6.
Power spectral density of standard road surfaces.
To ensure the authenticity of the simulation, road surface roughness levels A–H were classified based on the smoothness and roughness of the road surface, and a general flatness level of C was selected in accordance []. Based on Equation (3), a rdf road file with all point coordinates was generated by using the Matlab 2016 software. Then, the rdf road file was imported into the Recurdyn to build the three-dimensional road model. Finally, the MBD model of the tracked vehicle and the road surface was built in Recurdyn, as shown in Figure 6.

Figure 6.
An MBD model of the tracked vehicle and the road surface.
2.2. Verification of MBD Model Based on Euler–Lagrange Method
For verifying the accuracy of the proposed MBD model, a corresponding mathematical model based on the Euler–Lagrange method was built and solved in Matlab2016/simulink. In order to ensure the rationality of the mathematical model, the following four assumptions were deduced:
- (1)
- The tension between the tracks is constant, and the specification properties of each track are exactly the same.
- (2)
- The road surface generates a slight deformation when the tracked vehicle moves.
- (3)
- The mass center position of the tracked vehicle changes a little.
- (4)
- The entire tracked vehicle is longitudinally symmetrical.
2.2.1. Simplification of Symmetrical Suspension
According to the study of Guoxing Ma et al. [], the symmetrical suspension, shown in Figure 7a, could be simplified as shown in Figure 7b.

Figure 7.
Simplification of symmetrical suspension.
The actual stiffness and damping of the shock absorbers are denoted as kr and cr, respectively, while the corresponding equivalent stiffness and equivalent damping are denoted as ke and ce, respectively. The distance that the wheel moves along the Y-axis is denoted as △y, and the center of the wheel D could rotate and rise around the E-axis. The compress distance of the smaller shock absorbers in Figure 7a is △l. According to the principle of equivalence, it can be derived as follows:
where is the variation in the angle β. Compared with the L0 + LHD, h0 is too small to be ignored. Thus, points F, H, and D can be treated as in one line. Thereby, according to Figure 7a, the values of △y and △L can be obtained from the trigonometric functions as follows:
When the tracked vehicle moves, compared with L1, is too small to be ignored. According to Equations (4)–(6), the relationship of ke and kr could be expressed as Equation (7) as follows:
Similarly, the relationship of ce and cr could be expressed as Equation (8).
2.2.2. Mathematical Kinematic Equations of Symmetrical Suspension Based on Euler–Lagrange Method
According to the Euler–Lagrange method, the kinematic problems of a motion system can be simplified significantly []. Based on the Euler–Lagrange method, Z was defined as the vertical displacement of the jointed point of the two pendulum arms, while θ1 and θ2 were defined as the angular increments of the pendulum arms 1 and pendulum arms 2, respectively.
The energy of the symmetrical suspension consists of the kinetic energy T, potential energy V, and dissipated energy D, caused by the dampers. The corresponding energy could be expressed as Equations (10)–(12), respectively, as follows:
where M is the 1/4 mass of the tracked vehicle (there are four symmetrical suspensions to support the vehicle), J1 and J2 are the rotational inertia of the mentioned two arms, respectively, X1, X2, and X3 are the displacements of the three dampers, respectively, which could be obtained by Equations (13)–(15), respectively.
where l1 and l2 are the lengths of the two swing arms, respectively, is the initial angle between the two swing arms, Q1(t) and Q2(t) are the road excitation of the front and rear wheels of symmetrical suspension, respectively.
According to the Euler–Lagrange equation in a non-conservative state, the partial differential of Equations (10)–(12) can be obtained as follows:
where Q1i, Q2i and Q3i are the generalized forces acting on the components, respectively. Any motion system will be in a relatively stable state finally, which will result in the generalized forces being zero. Thus, the kinematic equations of the symmetrical suspension system would be obtained as described in Equations (19)–(21).
2.2.3. Road Excitation
As discussed in the MBD model, the same roughness model was used in the mathematical kinematic model. According to the study of Wu Zhicheng [], the revised road excitation shown in Equation (22) was used as follows:
Then, based on the parameters shown in Table 6, a corresponding road excitation model could be built in the Matlab software, as shown in Figure 8.

Figure 8.
Road excitation model in Matlab software.
2.2.4. Mathematical Model of Symmetrical Suspension
Considering the advantages of the block method and the complexity of the symmetrical suspension, the block method was adapted to build the corresponding mathematical model of the symmetrical suspension. According to Equations (19)–(21) and the parameters shown in Table 7, the corresponding mathematical model of the symmetrical suspension was built in Matlab/simulink.

Table 7.
Parameters of symmetrical suspension.
2.2.5. Verification of MBD Model
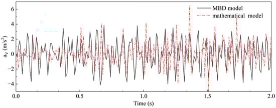
The jointed point C of the two arms (as shown in Figure 7) is the key point to express the vibration of the vehicle body and the force delivery. The vertical accelerations of the jointed point C obtained by the MBD model and the mathematical model were shown in Figure 9 to verify the effectiveness of the MBD model. From Figure 9, when the time is less than 0.8 s, there is a significant difference between the vertical acceleration obtained by the two methods. Moreover, when the time is more than 0.8 s, the two curves have the same trend. Specifically, the vibration frequencies of the two curves are approximately the same, and the amplitude error is less than 50%. Thus, the similar tendency verifies the effectiveness of the MBD model built in Recurdyn.

Figure 9.
The vertical accelerations of the jointed point C obtained by the MBD model and the mathematical model.
3. Construction of MBD-DEM Coupling Model
The interaction between the track subsystem and the particles on the road surface is shown in Figure 10. As shown in Figure 10, it is assumed that the particle and the track subsystem make contact with each other at point P. Corresponding local coordinates of the contacted particle and the track subsystem were built. It is assumed that the direction cosine matrix between the two local coordinates could be expressed as Equation (23).
where φk represents the angle between the X-axis in the global coordinate system and the positive X-axis direction in the local coordinate system of the track plate.

Figure 10.
Schematic of contact between track and particles.
Thus, point P in the global coordinate system (GCS) could be expressed as Equation (24) as follows:
where is the coordinate matrix of the contact point P in the global coordinate system; is the coordinate matrix of the center of mass of a rigid body in global coordinates; and is the coordinate matrix of point P in particle local coordinates.
By taking the derivative of Equation (24) with respect to time, the velocity of the contact point P can be expressed as follows:
where is the velocity of the mass center of the tracked vehicle in the GCS; is the angular velocity of the mass center of the tracked vehicle in the GCS, [].
Due to the advantage of the discrete element method (DEM), which could effectively reproduce the road deformations caused by the compression of the tracked vehicle, DEM was used to build the road surface in the EDEM 2021.2 software for a comprehensive understanding of the contact mechanism between the vehicle and the road surface, and the authentic dynamic response characteristics. For improving the accuracy of the DEM model, the parameters of the particles, as shown in Table 8, were decided by experiments []. With these parameters of the particles, the DEM model of the road surface was built in the EDEM 2021.2 software.

Table 8.
The parameters of the particles filled in the road for the DEM model.
Due to the coupling interface between the Edem and Recurdyn software, the data could interact with each other. Consequently, the MDB-DEM model shown in Figure 11 was built by coupling the MDB model and the DEM model. The MBD-DEM model was solved with the parameters shown in Table 9.

Figure 11.
MBD-DEM coupling model.

Table 9.
Solving parameters of MBD-DEM coupling model.
4. Results and Discussions of Dynamic Characteristics
In order to comprehensively understand the operational performance of the tracked vehicle equipped with symmetrical suspensions, the dynamic characteristics of the tracked vehicle and the symmetrical suspension under the typical working conditions, including the horizontal condition, climbing condition, and obstacle crossing condition, were obtained and discussed by using the verified MBD-DEM model. According to reference [], the stability of the proposed tracked vehicle could be expressed by the vertical accelerations. Correspondingly, from references [,], the adaptability of the proposed tracked vehicle could be expressed by analyzing the pitch angle and positions under various working conditions.
4.1. Dynamic Characteristics Under Horizontal Condition
For analyzing the dynamic characteristics of the tracked vehicle under various velocities, the tracked vehicle is programmed to move on the horizontal ground, and the vehicle speed is set at 2 to 10 km/h. The dynamic characteristics of the tracked vehicle could be expressed by the vertical acceleration of the vehicle body at the mass center and the symmetrical suspensions at the hinge point as shown in Figure 12. As determined from it, the vertical acceleration of the vehicle body at the mass center is lower than that of the symmetrical suspensions at the hinge point at about 35%, indicating that the symmetrical suspensions could decrease the vibration amplitude of the vertical body and improve the move stability of the vertical body. With the increase in vehicle velocity, the vibration of vertical acceleration becomes more severe. For a deeper analysis, the acceleration amplitude is taken out for analysis, and the curve of the acceleration amplitude changing with the vehicle velocity is obtained as shown in Figure 13. As determined from it, the acceleration amplitude of the vehicle body and the symmetrical suspensions increase approximately linearly with the increase in velocity.

Figure 12.
The vertical acceleration of the vehicle body at the mass center and the symmetrical suspensions at the hinge point under various velocities.

Figure 13.
Acceleration amplitude evolution with various velocities.
4.2. Dynamic Characteristics Under Climbing Condition
For analyzing the dynamic characteristics of the tracked vehicle under climbing conditions, when the tracked vehicle moves on the following five slop ground, 5°, 10°, 15°, 20°, 25°, the corresponding vertical accelerations of the vehicle body at the mass center and the symmetrical suspensions at the hinge point were obtained and shown in Figure 14. From there, the climbing process could be divided into three stages: the horizontal movement stage, the initial climbing stage, and the stable climbing stage. At the horizontal movement stage, the vehicle moves on the horizontal ground, presenting the dynamic behaviors discussed in Section 4.1. According to the kinematic analysis of the vehicle, it can be seen that in the initial climbing stage, the tracked vehicle begins to climb slowly, resulting in significant changes in vertical acceleration. Finally, in the steady climb stage, all tracked vehicles show small variations in vertical acceleration. In addition, the vertical acceleration of the vehicle at the mass center is much lower than that of the symmetrical suspensions at the hinge point, indicating that the symmetrical suspensions could decrease the variation in the vertical body and improve the move stability of the vertical body.

Figure 14.
The vertical acceleration of the vehicle body at the mass center and the symmetrical suspensions at the hinge point under the climbing conditions.
The pitch angle of the tracked vehicle is a vital parameter to evaluate the climbing ability of the tracked vehicle. Thus, the corresponding pitch angles of the tracked vehicle under the climbing conditions were obtained and shown in Figure 15. As determined from it, in the horizontal movement stage, the pitch angle of the tracked vehicle keeps nearly constant as the vehicle moves on the horizontal ground. During the climbing stage, the pitch angle of the tracked vehicle increases rapidly to the first peak point, which is slightly higher than the slop angle, then decreases slightly before increasing to a second, larger peak point. Finally, the pitch angle of the tracked vehicle decreases gradually from the peak pitch angle to the same angle as the shop, because the entire tracked vehicle has entered the steady climbing stage. The value of the second peak point was taken out for analysis, and the curve of maximum pitch angles of the tracked vehicle evolution with the climbing slope was obtained as shown in Figure 16. The maximum pitch angles increase with the increase in the slope angle, and the difference between the maximum pitch angles and the slope angle increases first and then decreases. The results indicate that the proposed tracked vehicle is capable of climbing slopes with angles greater than 25°, indicating its good adaptability.

Figure 15.
The pitch angles of the tracked vehicle under the climbing conditions.

Figure 16.
The maximum pitch angles of the tracked vehicle evolution with the climbing slope.
4.3. Dynamic Characteristics Under Obstacle Crossing Condition
For evaluating the obstacle crossing ability of the tracked vehicle, the vertical accelerations of the tracked vehicle and the symmetrical suspension under five obstacle crossing conditions (with high of 100 mm, 200 mm, 300 mm, 400 mm, and 500 mm) were studied and shown in Figure 17. From it, the vertical acceleration of the symmetrical suspension at the hinge points presents a similar tendency of the vehicle body at the mass center. Similarly, the vertical acceleration of the vehicle body is also much lower than that of the symmetrical suspensions, indicating the effectiveness of the symmetrical suspensions. When the vehicle body encounters an obstacle at t = 2.5 s, the vertical acceleration suddenly increases, followed by a violent vibration, and the intensity of vibration increases with the increase in obstacle height. Finally, the movement of the vehicle is smooth when it crosses the obstacle.

Figure 17.
The vertical acceleration of the vehicle body at the mass center and the symmetrical suspensions at the hinge point under the obstacle crossing conditions.
Similarly, for evaluating the stability of the tracked vehicle under the obstacle crossing conditions, the corresponding dynamic deflections of the symmetrical suspensions were obtained and shown in Figure 18. When the vehicle body encounters an obstacle at t = 2.5 s, the dynamic deflections of the symmetrical suspension suddenly decrease, followed by a violent vibration, and the intensity of the vibration increases with the increase in obstacle height. Finally, the movement of the vehicle is smooth when it crosses the obstacle. For further analysis, the first two peak points in the curve were taken out for analysis, and the suspension deflection of valley evolution with the height of the obstacle can be illustrated as shown in Figure 19. The suspension deflections at the first two peak points decrease linearly with the increasing obstacle height.

Figure 18.
The dynamic deflection of the symmetrical suspension under the obstacle crossing condition.

Figure 19.
The suspension deflection of valley evolution with the height of the obstacle.
Correspondingly, the vertical displacement of the vehicle at the mass center presents a similar tendency, which is shown in Figure 20. The area with background color in the figure is the area where the obstacle is located. The results show that when the vehicle body encounters an obstacle at t = 2.5 s, the centroidal displacement suddenly increases, followed by a violent vibration, and the intensity of vibration increases with the increase in obstacle height. Finally, the movement of the vehicle is smooth when it crosses the obstacle, which shows that the designed suspension system has a good ability to cross the obstacle.

Figure 20.
Vertical displacement of vehicle at mass center.
5. Conclusions
For improving the adaptability of a tracked vehicle equipped with a symmetrical suspension system on complex hilly terrain, an MBD-DEM coupling model was built and verified. The dynamic characteristics of the tracked vehicle equipped with symmetrical suspensions under different conditions were studied, verifying its good adaptabilities to various working conditions. The following conclusions could be drawn:
- (1)
- Based on the coupling method of MBD and DEM, a corresponding MBD-DEM coupling model was built and preliminarily verified by using a mathematical model of the Euler–Lagrange method.
- (2)
- The vertical acceleration of the vehicle body is lower than that of the symmetrical suspensions by about 35%, indicating that the symmetrical suspensions could decrease the vibration amplitude of the vertical body and improve the move stability of the vertical body. The acceleration amplitude of the vehicle body and the symmetrical suspensions increase approximately linearly with the increase in vehicle velocity.
- (3)
- When the tracked vehicle is under climbing conditions, the maximum pitch angles increase with the increase in slope angle, and the difference between the maximum pitch angles and the slope angle increases first and then decreases.
- (4)
- When the vehicle body encounters an obstacle, the vertical acceleration suddenly increases, followed by a violent vibration, and the intensity of the vibration increases with the increase in obstacle height.
Though an MDB-DEM model was built and verified, the accuracy of this model should be improved in future studies. In addition, experiments to verify the dynamic behaviors of the tracked vehicle should also be conducted in future studies.
Author Contributions
J.T., Z.D. and X.C.: conducted the numerical simulation and wrote the manuscript. P.W.: assisted with data verification and analysis. G.H.: supervised the study. All authors reviewed the manuscript. All authors have read and agreed to the published version of the manuscript.
Funding
This work was supported in part by the Key Laboratory of Intelligent Manufacturing of Construction Machinery, IMCM2023KF04 and IMCM202103; in part by the Scientific Research and Innovation Team Program of Sichuan University of Science and Technology, SUSE652A004; and in part by the Panzhihua Key Laboratory of Advanced Manufacturing Technology Open Fund Project, 2022XJZD01.
Institutional Review Board Statement
Not applicable.
Informed Consent Statement
Not applicable.
Data Availability Statement
The data presented in this study are available on request from the corresponding author.
Conflicts of Interest
The authors declare no conflicts of interest.
References
- Xu, P.; Wu, Y.; Song, L.J. Driving performance analysis of tracked vehicles with different sizes of sand underground. Chin. J. Constr. Mach. 2024, 22, 118–122+127. [Google Scholar] [CrossRef]
- Bruzzone, L.; Nodehi, S.E.; Fanghella, P. Tracked Locomotion Systems for Ground Mobile Robots: A Review. Machines 2022, 10, 648. [Google Scholar] [CrossRef]
- Ugenti, A.; Galati, R.; Mantriota, G. Analysis of an All-Terrain Tracked Robot with Innovative Suspension System. Mech. Mach. Theory 2023, 182, 105237. [Google Scholar] [CrossRef]
- Wang, P.X.; Rui, X.T.; Yu, H.L. Study on Dynamic Track Tension Control for High-Speed Tracked Vehicles. Mech. Syst. Signal Process. 2019, 132, 277–292. [Google Scholar] [CrossRef]
- Zhao, J.Z.; Wang, F.C.; Yu, B. Experimental study on the ride comfort of a crawler power chassis scale model based on the similitude theory. Chin. J. Mech. Eng. 2015, 28, 496–503. [Google Scholar] [CrossRef]
- Milićević, S.; Blagojević, I.; Milojević, S.; Bukvić, M.; Stojanović, B. Numerical Analysis of Optimal Hybridization in Parallel Hybrid Electric Powertrains for Tracked Vehicles. Energies 2024, 17, 3531. [Google Scholar] [CrossRef]
- Ling, Q.H.; Chen, X.; Dai, J.C. Multi-point Layout Optimization of Tracked Vehicle Active Suspension. J. Vib. Meas. Diagn. 2024, 44, 397–403+416. [Google Scholar] [CrossRef]
- Zhou, S.; Yu, H.L.; Huang, Y.W. Reconstruction of RGR pavement model in virtual proving ground. J. Vib. Shock 2023, 42, 139–145+159. [Google Scholar] [CrossRef]
- Gat, G.; Franco, Y.; Shmulevich, I. Fast Dynamic Modeling for Off-Road Track Vehicles. J. Terramechanics 2020, 92, 1–12. [Google Scholar] [CrossRef]
- Chen, Z.R.; Xue, D.M.; Wang, G.Q.; Cui, D. Simulation and Optimization of the Tracked Chassis Performance of Electric Shovel Based on DEM-MBD. Powder Technol. 2021, 390, 428–441. [Google Scholar] [CrossRef]
- Hu, S.; Han, Q.J.; Pan, T. Research on Walking and Passing Performance of Forest Crawler Working Vehicle on Soft Substrate. J. Agric. Mech. Res. 2024, 46, 241–247. [Google Scholar] [CrossRef]
- Zhang, Y.; Liu, X.X.; Li, J. Ramp Steering Characteristics of Tracked Vehicles on Soft Terrain. Sci. Technol. Eng. 2021, 21, 1011–1016. [Google Scholar]
- Wu, Z.C.; Chen, S.; Yang, L. Model of Road Roughness in Time Domain Based on Rational Funetion. Trans. Beijing Inst. Technol. 2009, 29, 795–798. (In Chinese) [Google Scholar]
- Liu, Z.K.; Yang, X.Q.; Han, J.H. A study on 3D modeling and analysis of uneven road based on geometric features. J. Vib. Shock 2020, 39, 188–195. [Google Scholar] [CrossRef]
- Ji, Y.J.; Lv, X.Y.; Zhang, L.; Zhang, G.Y. Electromechanical coupling modeling simulation and experimental study of crawler. J. Mech. Sci. Technol. 2019, 33, 857–868. [Google Scholar] [CrossRef]
- Ma, X.G.; Li, F.G.; You, X.M. Equivalent Method of Suspension System and the Establishing of Plane Mathematical Modeling of Tracked Vehicle. J. Mech. Eng. 2015, 51, 143–150. [Google Scholar] [CrossRef]
- Ledesma, R.; Eduardo, B. A Lagrangian Approach to the Non-causal Inverse Dynamics of Flexible Multibody Systems: The Three-dimensional Case. Int. J. Numer. Methods Eng. 1994, 37, 3343–3361. [Google Scholar] [CrossRef]
- Wang, B. Design and Implementation of Simulation Software Based on MBD and DEM Coupling; Jilin University: Changchun, China, 2020. [Google Scholar] [CrossRef]
- Xiao, J.L.; Liu, G.Z.; Liu, J.X.; Dai, J.C. Parameters of a Discrete Element Ballasted Bed Model Based on a Response Surface Method. J. Zhejiang Univ. Sci. A (Appl. Phys. Eng.) 2019, 20, 685–700. [Google Scholar] [CrossRef]
- Li, Y.T.; Wang, C.J.; Zhang, C.J. Optimization of the Suspension System and Analysis of the Ride Performance of the Crawler-Type Coal Mine Search and Rescue Robot. J. Braz. Soc. Mech. Sci. Eng. 2022, 44, 167. [Google Scholar] [CrossRef]
- Tao, W.J.; Yi, O.; Feng, H.T. Research on dynamics and stability in the stairs-climbing of a tracked mobile robot. Int. J. Adv. Robot. Syst. 2012, 9, 146. [Google Scholar] [CrossRef]
- Zhan, Z.Q.; Si, G.M.; Zhi, J.J.; Liu, L. Design and analysis based on RecurDyn of the electric crawler type remote controlled hedge trimmer. J. Phys. Conf. Ser. 2020, 1633, 012010. [Google Scholar] [CrossRef]
Disclaimer/Publisher’s Note: The statements, opinions and data contained in all publications are solely those of the individual author(s) and contributor(s) and not of MDPI and/or the editor(s). MDPI and/or the editor(s) disclaim responsibility for any injury to people or property resulting from any ideas, methods, instructions or products referred to in the content. |
© 2024 by the authors. Licensee MDPI, Basel, Switzerland. This article is an open access article distributed under the terms and conditions of the Creative Commons Attribution (CC BY) license (https://creativecommons.org/licenses/by/4.0/).