Determination of Geochemical Background and Baseline and Research on Geochemical Zoning in the Desert and Sandy Areas of China
Abstract
1. Introduction
2. Study Area Overview and Sampling Analysis Testing Methods
3. Data Processing Methods
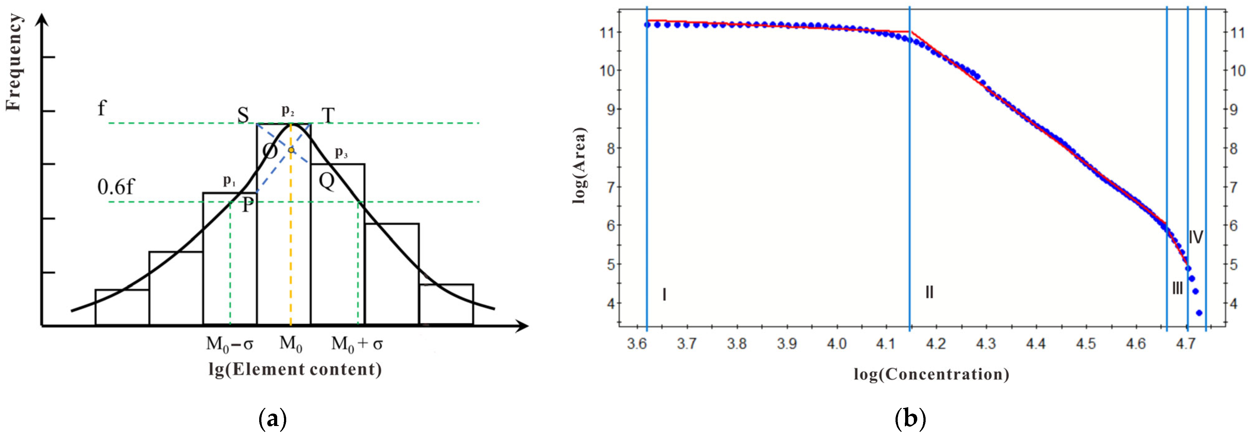
3.1. Calculation Methods of Geochemical Background Values and Geochemical Baseline Values
3.2. Methods of Geochemical Zoning
4. Results and Discussion
4.1. Geochemical Background Values and Baseline Values
4.2. Geochemical Zoning
5. Conclusions
Author Contributions
Funding
Institutional Review Board Statement
Informed Consent Statement
Data Availability Statement
Acknowledgments
Conflicts of Interest
Appendix A
| Element | Hunshandak | Horqin | Hulun Buir | Badain Jaran | Ulan Buhe | Mu Us | Hobq | Tengger |
|---|---|---|---|---|---|---|---|---|
| SiO2 | 85.409 | 88.249 | 89.740 | 78.647 | 79.286 | 77.744 | 80.539 | 80.889 |
| Al2O3 | 7.135 | 5.902 | 5.579 | 8.286 | 8.196 | 10.693 | 8.732 | 8.272 |
| TFe2O3 | 0.855 | 0.562 | 0.468 | 2.146 | 1.737 | 1.577 | 1.970 | 2.165 |
| MgO | 0.208 | 0.136 | 0.108 | 1.003 | 0.814 | 0.532 | 0.756 | 0.929 |
| CaO | 0.451 | 0.304 | 0.288 | 1.805 | 1.488 | 1.262 | 2.055 | 1.273 |
| Na2O | 1.746 | 1.221 | 1.118 | 2.276 | 2.063 | 2.877 | 2.099 | 2.095 |
| K2O | 2.751 | 2.504 | 2.437 | 1.866 | 2.254 | 2.547 | 1.978 | 2.151 |
| Ag | 46.496 | 50.535 | 42.935 | 39.934 | 42.391 | 70.371 | 41.749 | 36.652 |
| As | 2.272 | 1.657 | 1.996 | 5.319 | 4.484 | 3.209 | 4.955 | 4.673 |
| Au | 0.912 | 0.523 | 0.403 | 0.834 | 0.610 | 0.585 | 1.052 | 0.556 |
| B | 8.195 | 8.718 | 6.924 | 15.881 | 17.579 | 20.841 | 23.909 | 15.789 |
| Ba | 678.853 | 586.865 | 546.272 | 582.343 | 622.267 | 770.781 | 583.064 | 581.734 |
| Be | 0.985 | 0.840 | 0.954 | 1.191 | 1.172 | 1.573 | 1.266 | 1.299 |
| Bi | 0.064 | 0.075 | 0.059 | 0.140 | 0.105 | 0.082 | 0.142 | 0.137 |
| Br | 0.843 | 0.902 | 0.892 | 0.744 | 0.825 | 0.889 | 0.759 | 0.723 |
| Cd | 24.987 | 24.344 | 18.878 | 47.698 | 44.664 | 47.962 | 48.134 | 47.246 |
| Cl | 37.494 | 38.068 | 37.301 | 54.172 | 69.912 | 48.328 | 36.892 | 42.765 |
| Co | 1.975 | 1.256 | 1.099 | 5.728 | 3.990 | 3.032 | 4.512 | 4.872 |
| Cr | 7.760 | 6.330 | 5.001 | 53.544 | 22.156 | 18.373 | 27.613 | 29.409 |
| Cu | 6.126 | 4.526 | 5.022 | 12.586 | 9.387 | 7.138 | 10.194 | 10.204 |
| F | 76.386 | 57.253 | 77.549 | 206.061 | 169.011 | 142.499 | 181.533 | 205.903 |
| Ga | 9.086 | 7.514 | 7.606 | 10.218 | 9.590 | 11.975 | 9.708 | 9.729 |
| Ge | 0.883 | 0.925 | 0.893 | 1.150 | 1.036 | 0.976 | 1.082 | 1.136 |
| Hg | 6.570 | 6.553 | 6.421 | 9.180 | 8.026 | 7.275 | 10.602 | 7.651 |
| I | 0.385 | 0.319 | 0.453 | 0.400 | 0.276 | 0.289 | 0.405 | 0.370 |
| Li | 5.604 | 5.353 | 6.580 | 9.686 | 9.509 | 7.605 | 13.701 | 11.157 |
| Mn | 140.132 | 94.819 | 100.536 | 293.424 | 224.676 | 210.644 | 275.233 | 242.574 |
| Mo | 0.211 | 0.130 | 0.156 | 0.447 | 0.318 | 0.203 | 0.228 | 0.322 |
| N | 87.115 | 121.135 | 99.520 | 44.942 | 68.317 | 129.502 | 88.349 | 55.938 |
| Nb | 6.150 | 5.154 | 5.382 | 7.408 | 6.745 | 7.068 | 7.335 | 6.973 |
| Ni | 6.140 | 4.861 | 4.750 | 20.278 | 13.339 | 8.889 | 13.145 | 16.312 |
| P | 112.894 | 94.162 | 98.585 | 241.221 | 211.150 | 232.152 | 246.137 | 192.970 |
| Pb | 12.301 | 10.806 | 11.371 | 12.602 | 12.518 | 15.093 | 14.854 | 13.472 |
| pH | 7.970 | 7.276 | 6.668 | 9.210 | 9.313 | 8.273 | 8.972 | 8.996 |
| Rb | 86.042 | 80.364 | 79.173 | 65.405 | 64.780 | 69.538 | 68.806 | 73.227 |
| S | 49.556 | 48.581 | 49.307 | 85.168 | 72.074 | 41.134 | 39.514 | 69.862 |
| Sb | 0.277 | 0.176 | 0.217 | 0.546 | 0.443 | 0.271 | 0.558 | 0.458 |
| Se | 0.046 | 0.193 | 0.039 | 0.096 | 0.068 | 0.086 | 0.056 | 0.068 |
| Sn | 1.025 | 0.992 | 1.063 | 1.354 | 1.233 | 1.100 | 1.482 | 1.403 |
| Sr | 165.814 | 116.557 | 101.216 | 168.435 | 163.603 | 289.514 | 177.283 | 147.573 |
| TC | 0.082 | 0.118 | 0.116 | 0.352 | 0.219 | 0.173 | 0.305 | 0.175 |
| Th | 2.455 | 1.918 | 1.718 | 5.140 | 4.586 | 3.694 | 4.892 | 5.740 |
| Ti | 985.214 | 690.462 | 590.150 | 1673.664 | 1550.112 | 1745.705 | 1685.261 | 1555.537 |
| Zn | 11.686 | 9.448 | 8.585 | 27.157 | 21.519 | 17.348 | 23.987 | 26.390 |
| Zr | 140.810 | 128.656 | 187.519 | 126.136 | 127.049 | 161.713 | 133.328 | 105.395 |
| Corg. | 0.128 | 0.145 | 0.126 | 0.057 | 0.060 | 0.123 | 0.072 | 0.059 |
| La | 8.787 | 7.925 | 9.420 | 14.535 | 12.629 | 14.602 | 15.085 | 14.207 |
| Ce | 15.143 | 13.156 | 17.186 | 34.335 | 24.020 | 27.170 | 28.150 | 27.792 |
| Pr | 1.901 | 1.652 | 2.128 | 3.119 | 2.716 | 2.897 | 3.148 | 3.214 |
| Nd | 7.430 | 6.194 | 8.035 | 11.967 | 10.568 | 11.376 | 11.940 | 11.858 |
| Sm | 1.355 | 1.125 | 1.503 | 2.286 | 1.832 | 1.919 | 2.339 | 2.249 |
| Eu | 0.408 | 0.330 | 0.398 | 0.614 | 0.575 | 0.693 | 0.612 | 0.593 |
| Y | 8.216 | 7.121 | 7.414 | 12.963 | 10.845 | 10.185 | 11.472 | 12.429 |
| Gd | 1.199 | 1.007 | 1.236 | 2.123 | 1.770 | 1.766 | 2.065 | 2.183 |
| Tb | 0.200 | 0.164 | 0.192 | 0.317 | 0.283 | 0.280 | 0.315 | 0.355 |
| Dy | 1.148 | 0.885 | 1.007 | 1.977 | 1.694 | 1.652 | 1.919 | 2.123 |
| Ho | 0.244 | 0.181 | 0.199 | 0.386 | 0.344 | 0.340 | 0.383 | 0.435 |
| Er | 0.697 | 0.541 | 0.587 | 1.178 | 1.030 | 0.948 | 1.117 | 1.309 |
| Tm | 0.121 | 0.090 | 0.093 | 0.191 | 0.167 | 0.165 | 0.181 | 0.210 |
| Yb | 0.787 | 0.607 | 0.627 | 1.225 | 1.081 | 1.086 | 1.180 | 1.352 |
| Lu | 0.126 | 0.095 | 0.096 | 0.189 | 0.167 | 0.166 | 0.179 | 0.210 |
| Element | Kumtag | Gurbantunggut | Taklimakan | Qaidam | UCC | Baseline | Baseline Range |
|---|---|---|---|---|---|---|---|
| SiO2 | 65.805 | 71.855 | 61.112 | 58.014 | 66.620 | 75.337 | 49.960–113.605 |
| Al2O3 | 10.141 | 10.434 | 9.783 | 9.225 | 15.400 | 7.992 | 4.942–12.927 |
| TFe2O3 | 3.001 | 2.972 | 2.234 | 1.849 | 5.040 | 1.420 | 0.388–5.202 |
| MgO | 2.475 | 1.191 | 2.261 | 1.519 | 2.480 | 0.582 | 0.072–4.701 |
| CaO | 6.381 | 2.784 | 7.645 | 9.977 | 3.590 | 1.407 | 0.145–13.679 |
| Na2O | 2.775 | 2.272 | 2.829 | 2.930 | 3.270 | 2.008 | 0.937–4.303 |
| K2O | 1.798 | 2.269 | 2.237 | 2.120 | 2.800 | 2.209 | 1.445–2.973 |
| Ag | 41.352 | 49.946 | 37.279 | 49.153 | 53.000 | 42.394 | 24.473–73.437 |
| As | 5.546 | 7.003 | 6.408 | 6.555 | 4.800 | 3.614 | 1.198–10.904 |
| Au | 1.920 | 1.302 | 0.881 | 0.808 | 1.500 | 0.633 | 0.249–1.605 |
| B | 40.417 | 37.746 | 44.069 | 34.985 | 17.000 | 16.384 | 4.798–55.953 |
| Ba | 570.059 | 515.546 | 559.338 | 483.902 | 624.000 | 583.416 | 348.347–818.485 |
| Be | 1.467 | 1.820 | 1.887 | 1.579 | 2.100 | 1.247 | 0.705–2.206 |
| Bi | 0.158 | 0.194 | 0.169 | 0.192 | 0.160 | 0.106 | 0.040–0.281 |
| Br | 0.897 | 1.411 | 1.082 | 0.873 | 1.600 | 0.836 | 0.493–1.419 |
| Cd | 69.450 | 86.760 | 83.411 | 200.818 | 0.090 | 43.345 | 13.499–139.181 |
| Cl | 2489.497 | 1037.997 | 17,971.754 | 8176.649 | 370.000 | 80.713 | 4.050–1608.485 |
| Co | 8.439 | 7.732 | 5.901 | 4.729 | 17.300 | 3.462 | 0.845–14.182 |
| Cr | 49.974 | 34.632 | 32.502 | 21.687 | 92.000 | 18.510 | 3.386–101.195 |
| Cu | 14.640 | 18.733 | 12.196 | 10.941 | 28.000 | 8.568 | 3.316–22.138 |
| F | 334.623 | 349.961 | 373.148 | 302.346 | 557.000 | 159.147 | 45.440–557.389 |
| Ga | 11.529 | 13.168 | 11.423 | 11.040 | 17.500 | 9.704 | 6.394–14.727 |
| Ge | 1.169 | 1.111 | 1.049 | 0.915 | 1.400 | 1.013 | 0.740–1.387 |
| Hg | 9.495 | 10.785 | 9.438 | 9.669 | 0.050 | 7.752 | 4.490–13.384 |
| I | 0.621 | 1.721 | 0.558 | 1.002 | 1.400 | 0.426 | 0.160–1.132 |
| Li | 17.341 | 18.356 | 20.950 | 13.707 | 21.000 | 9.444 | 3.564–25.024 |
| Mn | 276.620 | 606.612 | 347.138 | 271.722 | / | 220.406 | 68.647–707.657 |
| Mo | 0.785 | 1.037 | 1.213 | 0.834 | 1.100 | 0.296 | 0.075–1.166 |
| N | 111.946 | 330.449 | 175.894 | 81.724 | 83.000 | 78.948 | 25.827–241.330 |
| Nb | 8.322 | 8.827 | 9.204 | 7.057 | 12.000 | 6.816 | 4.427–10.494 |
| Ni | 22.256 | 16.852 | 16.049 | 11.561 | 47.000 | 10.647 | 3.276–34.602 |
| P | 352.538 | 441.268 | 375.001 | 313.684 | 654.572 | 201.466 | 69.604–583.135 |
| Pb | 12.914 | 15.454 | 15.091 | 17.821 | 17.000 | 13.043 | 8.874–19.170 |
| pH | 9.168 | 9.233 | 9.174 | 8.720 | / | 8.451 | 6.645–10.748 |
| Rb | 67.333 | 76.247 | 81.180 | 78.264 | 84.000 | 71.511 | 52.241–97.889 |
| S | 7537.253 | 1537.105 | 5536.793 | 25043.051 | 621.000 | 107.837 | 3.733–3115.437 |
| Sb | 0.546 | 0.613 | 0.536 | 0.737 | 0.400 | 0.361 | 0.129–1.010 |
| Se | 0.148 | 0.331 | 0.078 | 0.099 | 0.090 | 0.062 | 0.023–0.163 |
| Sn | 1.419 | 1.608 | 1.942 | 2.029 | 2.100 | 1.272 | 0.744–2.174 |
| Sr | 296.507 | 209.456 | 282.177 | 431.545 | 320.000 | 180.879 | 74.052–441.815 |
| TC | 1.355 | 0.519 | 1.534 | 1.124 | / | 0.312 | 0.129–0.756 |
| Th | 6.461 | 6.416 | 7.808 | 6.053 | 10.500 | 4.077 | 1.555–10.687 |
| Ti | 2387.824 | 2586.209 | 2104.065 | 1513.804 | 3836.795 | 1342.895 | 475.015–3796.443 |
| Zn | 35.218 | 43.199 | 35.996 | 33.035 | 67.000 | 19.974 | 6.520–61.189 |
| Zr | 127.077 | 175.543 | 131.067 | 139.682 | 193.000 | 119.928 | 59.672–241.029 |
| Corg. | 0.105 | 0.138 | 0.196 | 0.100 | / | 0.078 | 0.033–0.186 |
| La | 19.399 | 18.654 | 22.507 | 15.829 | 31.000 | 13.312 | 6.540–27.096 |
| Ce | 37.239 | 38.993 | 42.830 | 30.355 | 63.000 | 24.487 | 10.862–55.202 |
| Pr | 4.355 | 4.508 | 5.152 | 3.420 | 7.100 | 2.980 | 1.380–6.433 |
| Nd | 16.788 | 18.450 | 19.588 | 13.335 | 27.000 | 11.402 | 5.132–25.333 |
| Sm | 3.155 | 3.837 | 3.750 | 2.612 | 4.700 | 2.145 | 0.922–4.991 |
| Eu | 0.780 | 0.859 | 0.873 | 0.681 | 1.000 | 0.582 | 0.291–1.162 |
| Y | 16.062 | 20.874 | 16.430 | 13.651 | 21.000 | 11.200 | 5.579–22.483 |
| Gd | 2.951 | 3.681 | 3.365 | 2.432 | 4.000 | 1.942 | 0.804–4.694 |
| Tb | 0.467 | 0.608 | 0.536 | 0.400 | 0.700 | 0.229 | 0.025–2.058 |
| Dy | 2.512 | 3.334 | 3.041 | 2.410 | 3.900 | 1.780 | 0.724–4.378 |
| Ho | 0.507 | 0.706 | 0.603 | 0.473 | 0.830 | 0.363 | 0.148–0.893 |
| Er | 1.489 | 2.028 | 1.702 | 1.291 | 2.300 | 1.060 | 0.439–2.560 |
| Tm | 0.244 | 0.342 | 0.267 | 0.209 | 0.300 | 0.172 | 0.072–0.411 |
| Yb | 1.545 | 2.183 | 1.660 | 1.343 | 2.000 | 1.125 | 0.488–2.595 |
| Lu | 0.235 | 0.334 | 0.250 | 0.204 | 0.310 | 0.173 | 0.076–0.392 |
References
- Wu, Y.; Zhou, Y.; Yang, M.; Wang, J.; Long, T.; Yin, A.; Li, Q. Analysis of the Applies of Soil Environmental Background Value at Home and Abroad and Suggestions on Countermeasures. J. Ecol. Rural Environ. 2021, 37, 1524–1531. [Google Scholar]
- Hawkes, H.E.; Webb, J.S. Geochemistry in mineral exploration. Soil Sci. 1963, 95, 283. [Google Scholar] [CrossRef]
- Gałuszka, A.; Migaszewski, Z. Geochemical background-an environmental perspective. Mineralogia 2011, 42, 7–17. [Google Scholar] [CrossRef]
- Yang, Z.; Peng, M.; Zhao, C.; Yang, K.; Liu, F.; Li, K.; Zhou, Y.; Tang, S.; Ma, H.; Zhang, Q.; et al. The study of geochemical background and baseline for 54 chemical indicators in Chinese soil. Earth Sci. Front. 2024, 31, 380–402. [Google Scholar]
- Cheng, H.; Li, K.; Li, M.; Yang, F.; Cheng, X. Geochemical background and baseline value of chemical elements in urban soil in China. Earth Sci. Front. 2014, 21, 265–306. [Google Scholar]
- Xi, X.; Hou, Q.; Yang, Z.; Ye, J.; Yu, T.; Xia, X.; Cheng, H.; Zhou, G.; Yao, L. Big data-based studies of the variation features of Chinese soil’s background value versus reference value: A paper written on the occasion of the publication of soil geochemical parameters of China. Geophys. Geochem. Explor. 2021, 45, 1095–1108. [Google Scholar]
- Darnley, A.G.; Bjorklund, A.; Bolviken, B.; Gustavsson, N.; Koval, P.V.; Plant, J.A.; Steenfelt, A.; Tauchid, M.; Xie, X. A Global Geochemical Database for Environmental and Resource Management; UNESCO: Paris, France, 1995. [Google Scholar]
- Salminen, R.; Gregorauskien, V. Considerations regarding the definition of a geochemical baseline of elements in the surficial materials in areas differing in basic geology. Appl. Geochem. 2000, 15, 647–653. [Google Scholar] [CrossRef]
- Jiang, H.H.; Cai, L.M.; Wen, H.H.; Luo, J. Characterizing pollution and source identification of heavy metals in soils using geochemical baseline and PMF approach. Sci. Rep. 2020, 10, 6460. [Google Scholar] [CrossRef]
- Wang, Q.; Song, Y.; Lv, X.; Peng, M.; Zhou, Y.; Han, W.; Wang, C. Characteristics and genesis of soil geochemical baselines in Western Yunnan Province. Geoscience 2021, 35, 412. [Google Scholar]
- Valdés Durán, A.; Aliaga, G.; Deckart, K.; Karas, C.; Cáceres, D.; Nario, A. The environmental geochemical baseline, background and sources of metal and metalloids present in urban, peri-urban and rural soils in the O’Higgins region, Chile. Environ. Geochem. Health 2022, 44, 3173–3189. [Google Scholar] [CrossRef]
- Zhang, L.; Cheng, H.; Xie, W.; Qi, Q.; Xie, X.; Yu, W.; Wang, J. Geochemical background and baseline value of soil chemical elements in Hebei Province. Environ. Sci. 2023, 44, 2817–2828. [Google Scholar]
- Zhang, X.; Yang, Z.; Ma, Z.; Tang, J. Geochemical background and geochemical baseline. Geol. Bull. China 2006, 25, 626–629. [Google Scholar]
- Reimann, C.; Garrett, R.G. Geochemical background—Concept and reality. Sci. Total Environ. 2005, 350, 12–27. [Google Scholar] [CrossRef] [PubMed]
- Ye, H.G.; Ye, H.F. Comparison of methods determining anomaly thresholds determined by means of mathematical statistics. Gansu Geol. 2018, 27, 83–92. [Google Scholar]
- Thomas, D.S.G.; Wiggs, G.F.S. Aeolian system responses to global change: Challenges of scale, process and temporal integration. Earth Surf. Process. Landf. 2008, 33, 1396–1418. [Google Scholar] [CrossRef]
- Liu, Z.; Wang, J.; Ding, J.; Xie, X. Analysis of spatial–temporal evolution trends and influential factors of desert-oasis thermal environment in typical arid zone: The case of Turpan–Hami region. Ecol. Indic. 2023, 154, 110747. [Google Scholar] [CrossRef]
- Li, G.; Zhao, Z.; Wei, J.; Ulrich, T. Mineralization processes at the Daliangzi Zn-Pb deposit, Sichuan-Yunnan-Guizhou metallogenic province, SW China: Insights from sphalerite geochemistry and zoning textures. Ore Geol. Rev. 2023, 161, 105654. [Google Scholar] [CrossRef]
- Lala, A.; Yusuf, M.; Suhendra, R.; Maulydia, N.; Dharma, D.; Saiful, S.; Idroes, R. Characterization of geochemical and isotopic profiles in the Southern Zone Geothermal Systems of Mount Seulawah Agam, Aceh Province, Indonesia. Leuser J. Environ. Stud. 2024, 2, 30–40. [Google Scholar] [CrossRef]
- Zuo, J.; Zhao, L.; Fang, L.; Fang, Z. Soil geochemical division based on land quality geochemical survey. J. Arid. Land. Resour. Environ. 2021, 35, 133–138. [Google Scholar]
- Wu, F.; Liu, J.; Wang, J.; Hu, P.; Cheng, X.; Li, F.; Zhao, K.; Zheng, G.; Wang, C.; Xiang, P. Division of the geochemical landscapes in Morocco. Geophys. Geochem. Explor. 2023, 47, 47–54. [Google Scholar]
- Liu, B.; Zhong, L.; Song, Q.; Jiang, J.; Zhang, T.; Wei, X.; Jiang, H. Geochemical characteristics and zoning of soil in Pingxiang-Xinyu region, Jiangxi Province. J. Univ. South China (Sci. Technol.) 2022, 36, 20–26. [Google Scholar]
- Zhao, H.; Zhai, X.; Li, S.; Wang, Y.; Xie, J.; Yan, C. The continuing decrease of sandy desert and sandy land in northern China in the latest 10 years. Ecol. Indic. 2023, 154, 110699. [Google Scholar] [CrossRef]
- DZ/T0011-2015; Specifications for Geochemical Reconnaissance Survey (1:50,000) (DZ/T0011-2015). MLR (Ministry of Land and Resources of the People’s Republic of China). Geological Publishing House: Beijing, China, 2015; pp. 1–35. (In Chinese)
- DZ/T0145-2017; Code of Practice for Soil Geochemical Survey (DZ/T0145-2017). MLR (Ministry of Land and Resources of the People’s Republic of China). Geological Publishing House: Beijing, China, 2015; pp. 1–38. (In Chinese)
- DZ/T0167-2006; Specifications for Regional Geochemistry Exploration (DZ/T0167-2006). China Geological Survey, Ed.; Geological Publishing House: Beijing, China, 2006. (In Chinese)
- Wang, D.; Wei, Z.; Qi, Z. The methods for estimation of soil elements background: A review. In Proceedings of the 12th National Congress of the Soil Society of China and the 9th Cross-Strait Academic Exchange Seminar on Soil and Fertilizer, Chengdu, China, 20 August 2012. [Google Scholar]
- Zhang, J.; Huang, C.; Chen, K.; Gao, Z.; Huang, Q. The soil background values of heavy metals and ecological risk assessment based on the geo-statistical analysis. Environ. Sci. Technol. 2021, 44, 218–225. [Google Scholar]
- Reimann, C.; Filzmoser, P. Normal and lognormal data distribution in geochemistry: Death of a myth. Consequences for the statistical treatment of geochemical and environmental data. Environ. Geol. 2000, 39, 1001–1014. [Google Scholar] [CrossRef]
- Sinclair, A. A fundamental approach to threshold estimation in exploration geochemistry: Probability plots revisited. J. Geochem. Explor. 1991, 41, 1–22. [Google Scholar] [CrossRef]
- Reimann, C.; Fabian, K.; Birke, M.; Filzmoser, P.; Demetriades, A.; Négrel, P.; Oorts, K.; Matschullat, J.; Caritat, D.; Albanese, S.; et al. GEMAS: Establishing geochemical background and threshold for 53 chemical elements in European agricultural soil. Appl. Geochem. 2018, 88, 302–318. [Google Scholar] [CrossRef]
- Yang, F.; Kong, M.; Liu, H.; Yu, J.; Yang, S.; Hao, Z.; Zhang, D.; Cen, K. Discovery of Wolitu Pb-Zn deposit through geochemical prospecting under loess cover in Inner Mongolia, China. Geosci. Front. 2017, 8, 951–960. [Google Scholar] [CrossRef]
- Wu, L.; Bo, J.; Niu, J. Statistical analysis on the distribution characteristics of topographical parameters in loess area. Sci. Technol. Eng. 2021, 21, 8797–8806. [Google Scholar]
- Liang, X.; Yang, Y.; Luo, Q.; Yu, Z.; Lv, W.; Huang, P.; Liu, X. Application of ground gamma spectrometry in the exploration of uranium in Western Lujing Ore Field. Uranium Geol. 2023, 39, 446–459. [Google Scholar]
- Cheng, Q.; Agterberg, F.P.; Ballantyne, S.B. The separation of geochemical anomalies from background by fractal methods. J. Geochem. Explor. 1994, 51, 109–130. [Google Scholar] [CrossRef]
- Zadmehr, F.; Shahrokhi, S.V. Separation of geochemical anomalies by concentration-area and concentration-number methods in the Saqez 1:100,000 sheet, Kurdistan. Iran. J. Earth Sci. 2019, 11, 196–204. [Google Scholar]
- Shafieyan, F.; Abdideh, M. Application of concentration-area fractal method in static modeling of hydrocarbon reservoirs. J. Pet. Explor. Prod. Technol. 2019, 9, 1197–1202. [Google Scholar] [CrossRef]
- Han, D.; Gao, S.; Zheng, Y.; Chen, X.; Jiang, X.; Gu, Y.; Yan, C. A processing technique of step effect on area multifractal method. Geophys. Geochem. Explor. 2020, 46, 1420–1428. [Google Scholar]
- Zou, L.; Peng, S.; Yang, Z.; Lai, J.; Zhang, P. Multifractal study of geochemical (anomaly) fields in the A’ercituoshan area, Qinghai. Geol. China 2004, 31, 436–441. [Google Scholar]
- Khanna, T.; Kanakdande, P.; Bizimis, M.; Arora, K. Geochemical baselines in the Phanerozoic LIPs constrained from well-cores in the Deccan Volcanic Province, India. Lithos 2023, 462, 107403. [Google Scholar] [CrossRef]
- Bispo, F.; de Menezes, M.; Fontana, A.; Sarkis, S.; Gonçalves, M.; de Carvalho, S.; Curi, N.; Guilherme, G. Rare earth elements (REEs): Geochemical patterns and contamination aspects in Brazilian baseline soils. Environ. Pollut. 2021, 289, 117972. [Google Scholar] [CrossRef]
- Zhang, W.; Liu, Z.; Jia, L.; Li, T. Study on soil geochemical reference value in Shaoguan area of Guangdong Province. Geol. Miner. Resour. South China 2020, 36, 153–161. [Google Scholar]
- Liu, K.; Hu, X.; Zhou, H.; Tong, L.; Widanage, W.; Marco, J. Feature analyses and modeling of lithium-ion battery manufacturing based on random forest classification. IEEE/ASME Trans. Mechatron. 2021, 26, 2944–2955. [Google Scholar] [CrossRef]
- Montgomery, D.C.; Peck, E.A.; Vining, G.G. Introduction to Linear Regression Analysis; John Wiley & Sons: Hoboken, NJ, USA, 2021; pp. 12–500. [Google Scholar]
- Cui, H.; Xu, S.; Zhang, L.; Welsch, R.E.; Horn, B.K.P. The key techniques and future vision of feature selection in machine learning. J. Beijing Univ. Posts Telecommun. 2018, 41, 1–12. [Google Scholar]
- Hao, H.; Gu, Q.; Hu, X. Research advances and prospective in mineral intelligent identification based on machine learning. Earth Sci. 2021, 46, 3091–3106. [Google Scholar]
- Zhao, W.; Liu, L.; Chen, J.; Ji, J. Geochemical characterization of major elements in desert sediments and implications for the Chinese loess source. Sci. China Earth Sci. 2019, 62, 1428–1440. [Google Scholar] [CrossRef]
- Fahmy, H.; Pastore, F.; Bagherzadeh, M.; Briand, L. Supporting deep neural network safety analysis and retraining through heatmap-based unsupervised learning. IEEE Trans. Reliab. 2021, 70, 1641–1657. [Google Scholar] [CrossRef]
- Zhao, M.; Yan, Q.; Liu, Z.; Wang, W.; Li, G.; Wu, Z. Analysis of temporal and spatial evolution and influencing factors of soil erosion in Ordos City. Arid. Zone Res. 2022, 39, 1819–1831. [Google Scholar]
- Rudnick, R.L.; Gao, S. Composition of the continental crust. Treatise Geochem. 2013, 3, 659. [Google Scholar] [CrossRef]
- He, Q.; Chen, J.; Gan, L.; Gao, M.; Zan, M.; Xiao, Y. Insight into leaching of rare earth and aluminum from ion adsorption type rare earth ore: Adsorption and desorption. J. Rare Earths 2023, 41, 1398–1407. [Google Scholar] [CrossRef]
- Lafreniere, M.C.; Lapierre, J.F.; Ponton, D.E.; Guillemette, F.; Amyot, M. Rare earth elements (REEs) behavior in a large river across a geological and anthropogenic gradient. Geochim. Cosmochim. Acta 2023, 353, 129–141. [Google Scholar] [CrossRef]
- Liu, C.; Deng, J.; Liu, J.; Shi, Y. Characteristics of volcanic rocks from Late Permian to Early Triassic in Ailaoshan tectono-magmatic belt and implications for tectonic settings. Acta Petrol. Sin. 2011, 27, 3590–3602. [Google Scholar]
- An, F.; Zhu, Y. Studies on geology and geochemistry of alteration-type ore in Hatu gold deposit (western Junggar), Xinjiang, NW China. Min. Depos. 2007, 26, 621–633. [Google Scholar]
- Wang, Y.; Gong, P.; Gong, M.; Ma, Z. Geochemical subdivisions in metallogenic belt with the 1:200,000 stream sediments and its geological significance: A case study in Gangdese Copper-Polymetallic Metallogenic Belt. Geoscience 2010, 24, 801–806. [Google Scholar]
- Xu, C.; Fu, L.; Lin, T.; Li, W.; Ma, S. Machine learning in petrophysics: Advantages and limitations. Artif. Intell. Geosci. 2022, 3, 157–161. [Google Scholar] [CrossRef]
- Han, W.; Zhang, X.; Wang, Y.; Wang, L.; Huang, X.; Li, J.; Wang, S.; Chen, W.; Li, X.; Feng, R.; et al. A survey of machine learning and deep learning in remote sensing of geological environment: Challenges, advances, and opportunities. ISPRS J. Photogramm. Remote Sens. 2023, 202, 87–113. [Google Scholar] [CrossRef]
- Han, Y.; An, Z.; Qu, W. Research status of magnetotelluric time domain data processing based on machine learning. Prog. Geophys. 2021, 36, 1975–1987. [Google Scholar]
- Shi, C.; Wei, L.; Zhang, J.; Yang, L. Reservoir prediction method based on machine learning. Pet. Geol. Recover. Eff. 2022, 29, 90–97. [Google Scholar]
- Li, G.J.; Chen, J.; Chen, Y.; Yang, J.D.; Ji, J.F.; Liu, L.W. Dolomite as a tracer for the source regions of Asian dust. J. Geophys. Res. 2007, 112, D17201. [Google Scholar] [CrossRef]
- Wang, P.; Dong, Q.; Gong, X.; Cheng, H.; Song, C.; Guo, J. Geochemical characteristics of soil elements in the Jingbian area of Loess Plateau-Mu Us Desert transitional zone, China during Holocene and their environmental implications. J. Earth Sci. Environ. 2020, 42, 678–687. [Google Scholar]
- Zhang, H.; Li, J.; Ma, Y.; Cao, J.; Wang, N. A study on elemental geochemical characters of the Wuwei loess section in the south vicinity of Tengger Desert. Acta Sedimentol. Sin. 1997, 15, 152–158. [Google Scholar]
- Yang, P.; Chi, Y.; Xie, Y.; Kuang, C.; Sun, L.; Wu, P.; Wei, Z. Characteristics of element and Sr-Nd isotope composition of the Songnen sandy land and their indications of regional dust material sources. Chin. J. Geol. 2024, 59, 549–561. [Google Scholar]








| Analytical Methods | Target Elements |
|---|---|
| Inductively Coupled Plasma Mass Spectrometry (ICP-MS) | Ag, Bi, Cd, Ce, Co, Dy, Er, Eu, Gd, Ho, I, La, Lu, Mo, Nd, Ni, Pb, Pr, Rb, Sb, Sm, Tb, Th, Tm, Yb |
| X-ray Fluorescence Spectroscopy (XRF) | Al2O3, Ba, Br, CaO, Cl, Cr, TFe2O3, Ga, K2O, MgO, Mn, Na2O, Nb, P, S, SiO2, Sr, Ti, Y, Zn, Zr |
| Inductively Coupled Plasma Atomic Emission Spectrosco (ICP-AES) | Be, Cu, Li |
| Atomic Fluorescence Spectroscopy (AFS) | As, Ge, Hg, Se |
| Graphite Furnace Atomic Absorption Spectroscopy (AAS) | Au |
| Alternating Current Arc-Emission Spectroscopy (AES) | B, Sn |
| Gas Chromatography (GC) | TC, N |
| Potentiometry Method (POT) | F, pH |
| Volumetric Method (VOL) | Corg. |
Disclaimer/Publisher’s Note: The statements, opinions and data contained in all publications are solely those of the individual author(s) and contributor(s) and not of MDPI and/or the editor(s). MDPI and/or the editor(s) disclaim responsibility for any injury to people or property resulting from any ideas, methods, instructions or products referred to in the content. |
© 2024 by the authors. Licensee MDPI, Basel, Switzerland. This article is an open access article distributed under the terms and conditions of the Creative Commons Attribution (CC BY) license (https://creativecommons.org/licenses/by/4.0/).
Share and Cite
Wen, W.; Yang, F.; Xie, S.; Wang, C.; Song, Y.; Zhang, Y.; Zhou, W. Determination of Geochemical Background and Baseline and Research on Geochemical Zoning in the Desert and Sandy Areas of China. Appl. Sci. 2024, 14, 10612. https://doi.org/10.3390/app142210612
Wen W, Yang F, Xie S, Wang C, Song Y, Zhang Y, Zhou W. Determination of Geochemical Background and Baseline and Research on Geochemical Zoning in the Desert and Sandy Areas of China. Applied Sciences. 2024; 14(22):10612. https://doi.org/10.3390/app142210612
Chicago/Turabian StyleWen, Weiji, Fan Yang, Shuyun Xie, Chengwen Wang, Yuntao Song, Yuepeng Zhang, and Weihang Zhou. 2024. "Determination of Geochemical Background and Baseline and Research on Geochemical Zoning in the Desert and Sandy Areas of China" Applied Sciences 14, no. 22: 10612. https://doi.org/10.3390/app142210612
APA StyleWen, W., Yang, F., Xie, S., Wang, C., Song, Y., Zhang, Y., & Zhou, W. (2024). Determination of Geochemical Background and Baseline and Research on Geochemical Zoning in the Desert and Sandy Areas of China. Applied Sciences, 14(22), 10612. https://doi.org/10.3390/app142210612

