Exploring the Biological Potential of Mountain Germander Polyphenolic Extract on Cellular Model Macromolecules, Human Cell Lines, and Microbiome Representatives
Abstract
1. Introduction
2. Materials and Methods
2.1. Materials
2.1.1. Plant Material, Model Macromolecules, and Biological Test Systems
2.1.2. Chemicals
2.2. Methods
2.2.1. Preparation and Bioactive Characterization of Mountain Germander Extract
2.2.2. Determination of Antioxidant/Pro-Oxidant Potential of Mountain Germander Extract on the Model Protein Macromolecule
2.2.3. Determination of Genotoxic/Genoprotective Effect of Mountain Germander Extract on Model DNA Macromolecule
2.2.4. Determination of Antioxidant/Pro-Oxidative Effect of Mountain Germander Extract on Human Cell Lines
2.2.5. Determination of Cytotoxic/Proliferative Effect of Mountain Germander Extract on Human Cell Lines
2.2.6. Determination of Genotoxic/Genoprotective Effect of Mountain Germander Extract on Human Cell Lines
2.2.7. Determination of Bacteriostatic/Proliferative Effect of Mountain Germander Extract on Representative Bacterial Strains of Human Microbiota
2.2.8. Statistical Analysis
3. Results and Discussion
3.1. Antioxidant/Pro-Oxidant Potential of Mountain Germander Extract on the Model Protein Macromolecule
3.2. Genotoxic/Genoprotective Effect of Mountain Germander Extract on Model DNA Macromolecule
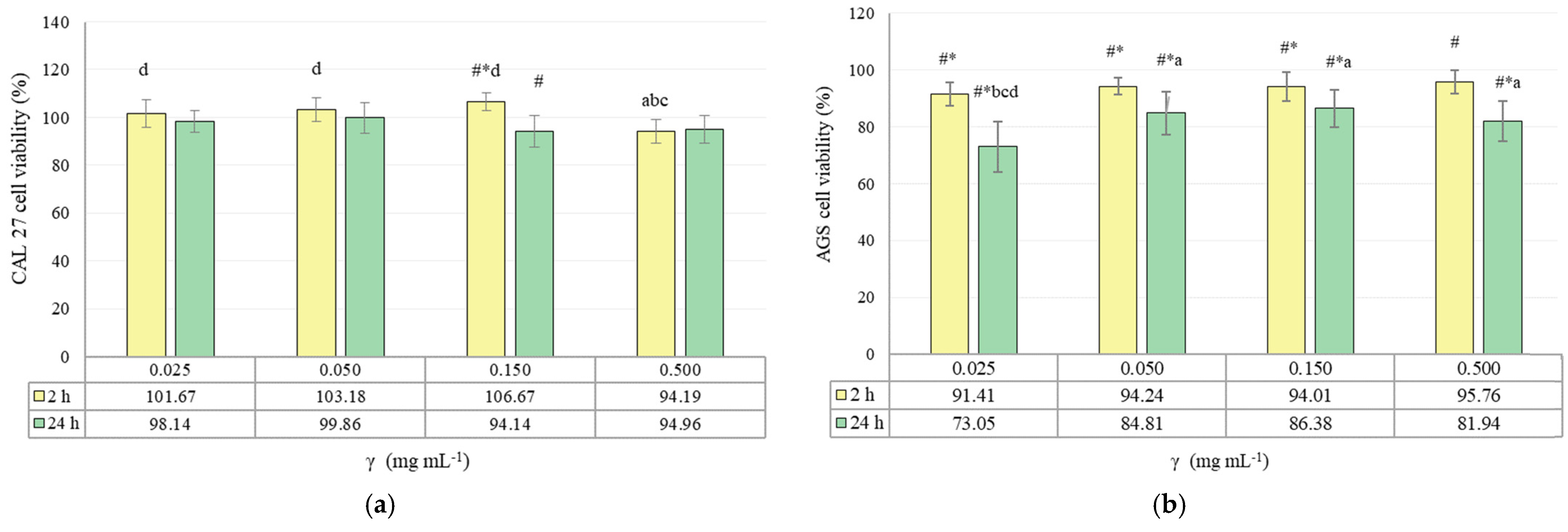
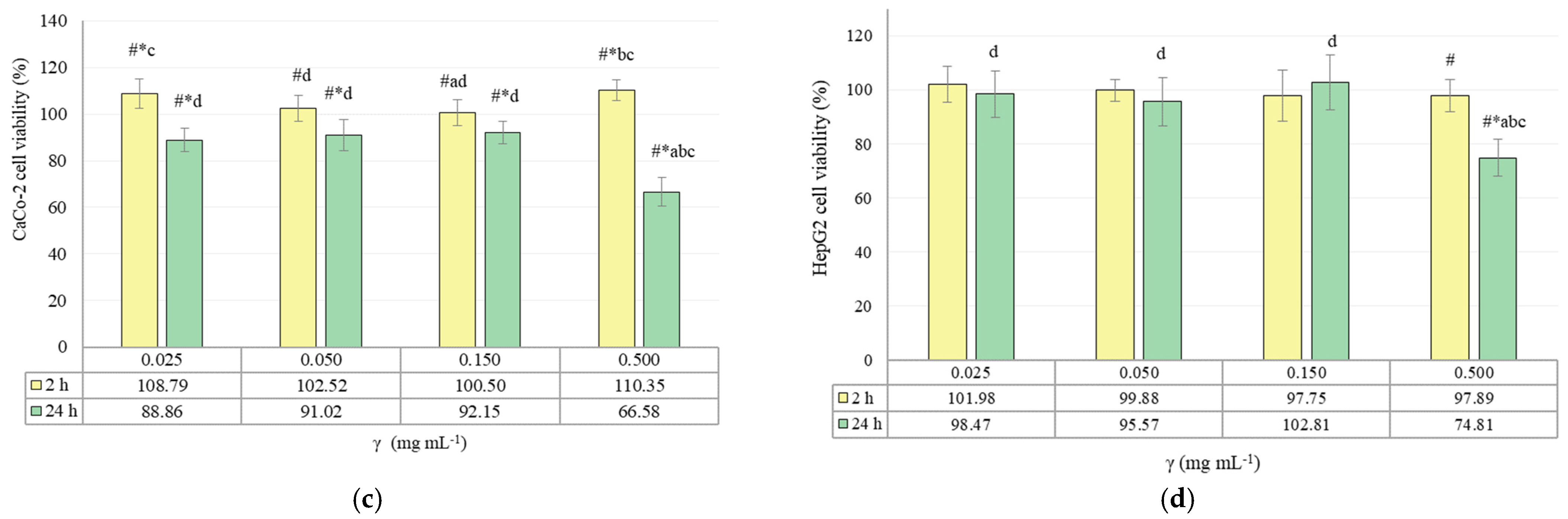
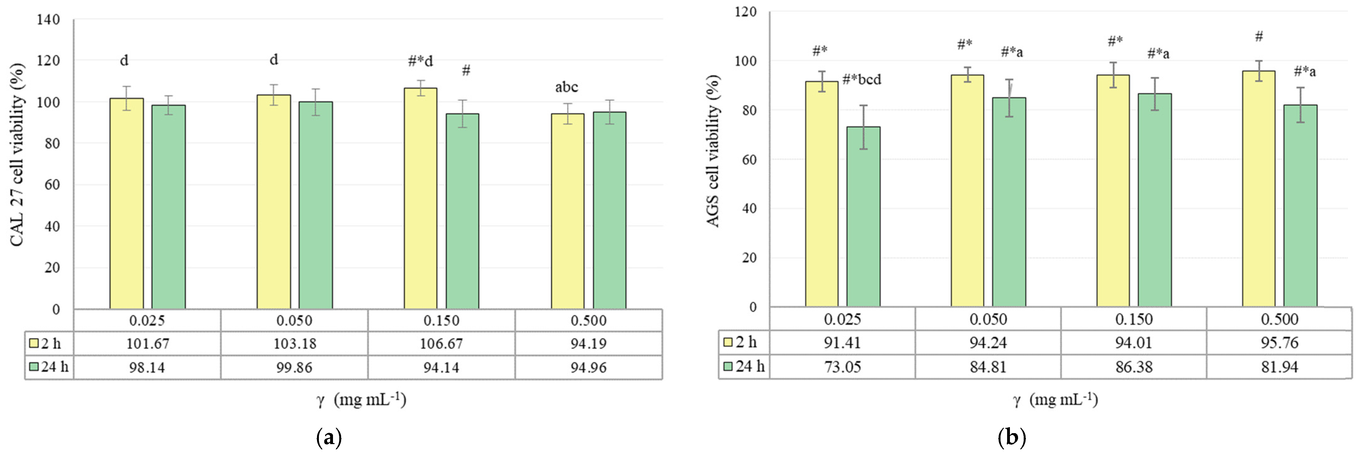
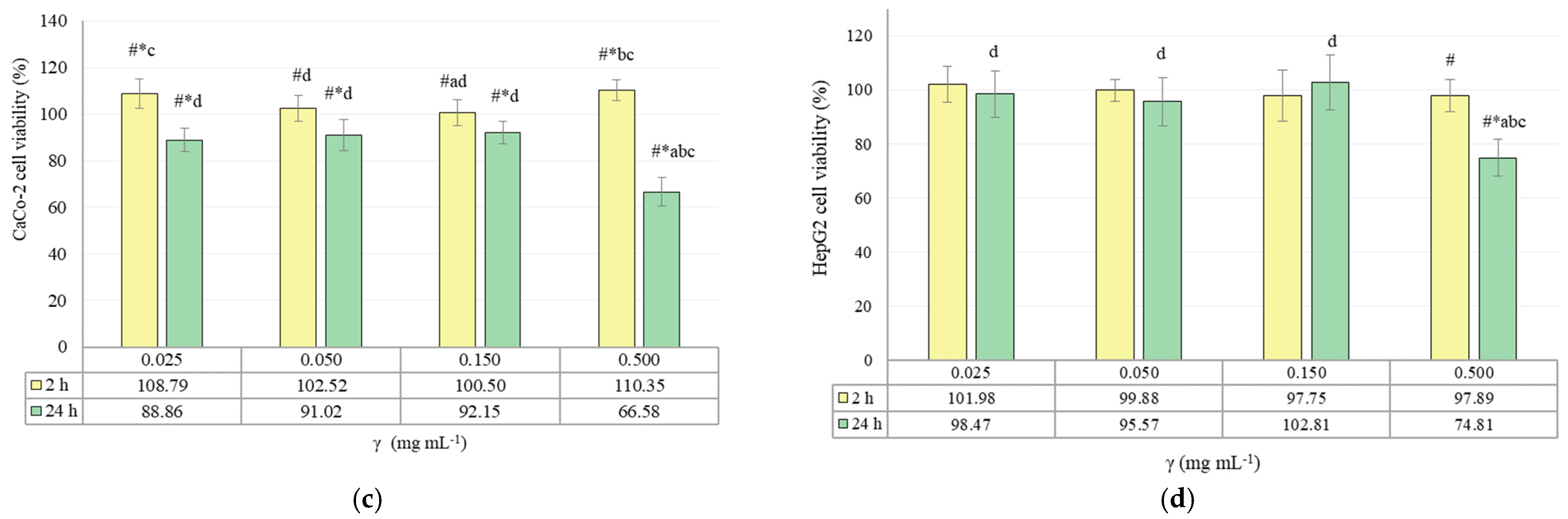
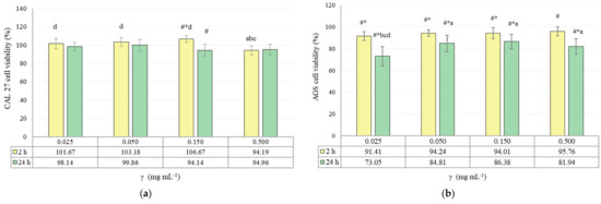
3.3. Cytotoxic/Proliferative Effect of Mountain Germander Extract on Human Cell Lines
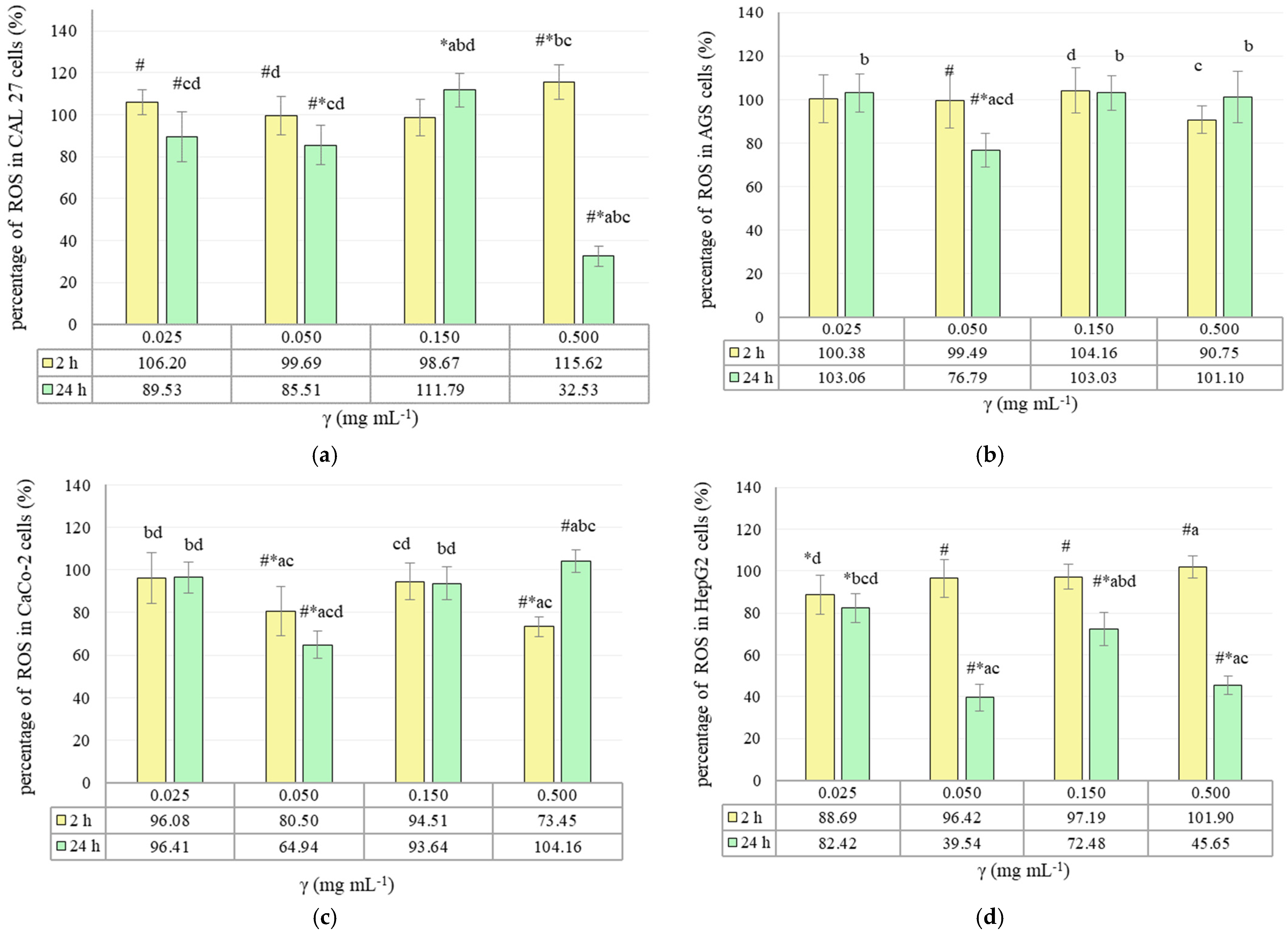
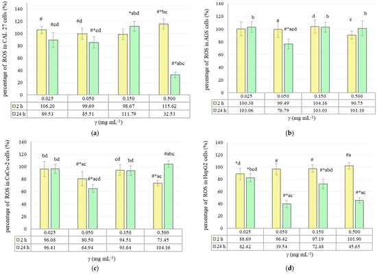
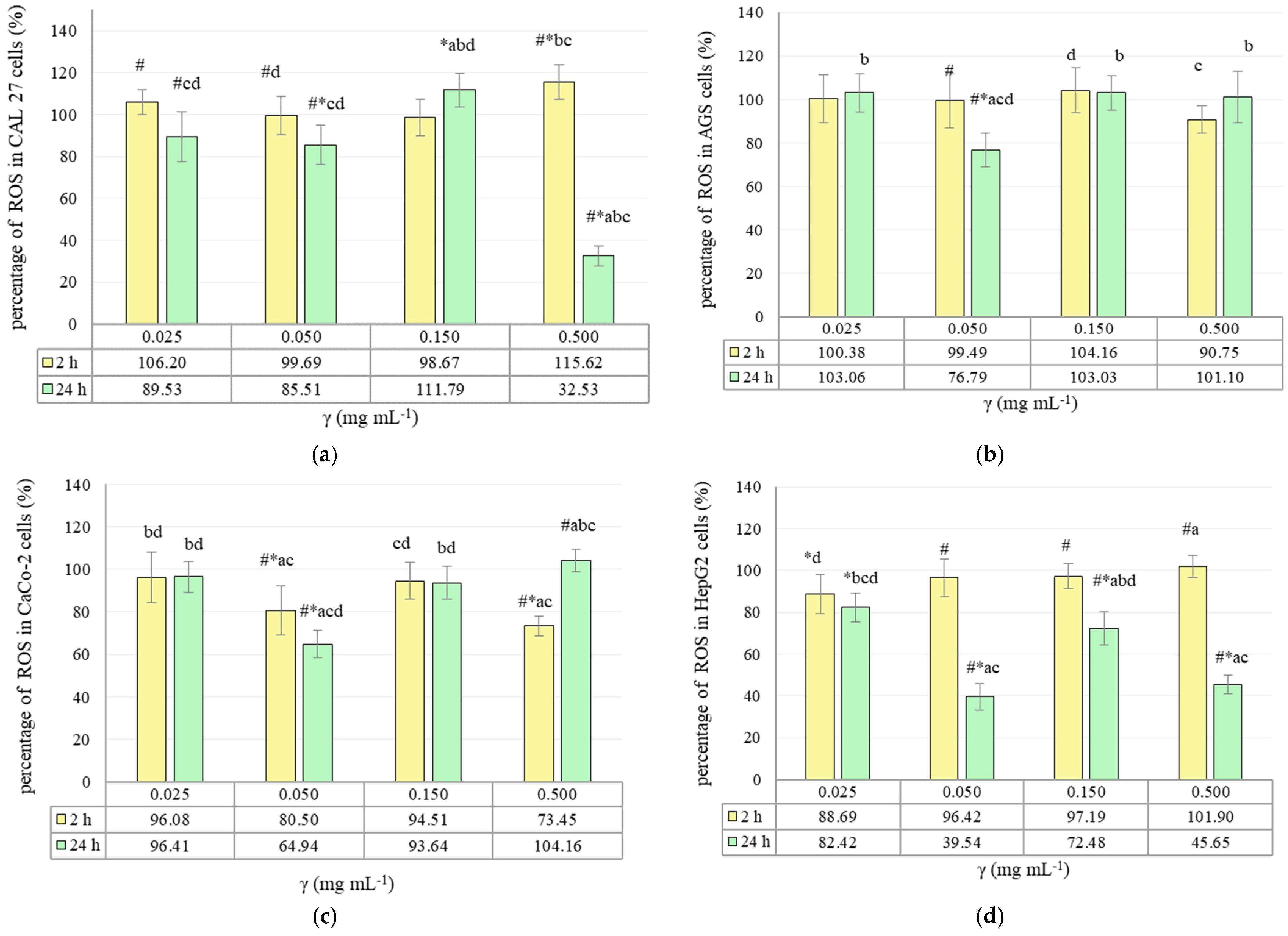
3.4. Antioxidant/Pro-Oxidative Effect of Mountain Germander Extract on Human Cell Lines
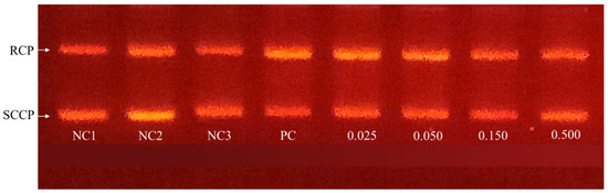
3.5. Genotoxic/Genoprotective Effect of Mountain Germander Extract on Human Cell Lines
3.6. Bacteriostatic/Proliferative Effect of Mountain Germander Extract on Representative Bacterial Strains of Human Microbiota
4. Conclusions
Author Contributions
Funding
Institutional Review Board Statement
Informed Consent Statement
Data Availability Statement
Conflicts of Interest
References
- Aboelsoud, N.H. Herbal medicine in ancient Egypt. J. Med. Plants Res. 2010, 4, 82–86. [Google Scholar]
- Li, F.S.; Weng, J.K. Demystifying traditional herbal medicine with modern approach. Nat. Plants 2017, 3, 17109. [Google Scholar] [CrossRef] [PubMed]
- WHO. WHO Global Report on Traditional and Complementary Medicine 2019; World Health Organization: Geneva, Switzerland, 2019. Available online: https://iris.who.int/handle/10665/312342 (accessed on 1 May 2024).
- Zhang, D.; Zhang, B.; Lv, J.T.; Sa, R.N.; Zhang, X.M.; Lin, Z.J. The clinical benefits of Chinese patent medicines against COVID-19 based on current evidence. Pharmacol. Res. 2020, 157, 104882. [Google Scholar] [CrossRef] [PubMed]
- NATCM. Diagnosis and Treatment Protocol for Novel Coronavirus Pneumonia; Trial Version 7; NATCM—National Administration of Traditional Chinese Medicine: Beijing, China, 2020.
- Si, X.; Ma, X.; Wang, Y.; Li, Y.; Liu, L.; Yang, Y.; Guo, Z.; Liang, Y.; Pan, G. Efficacy and safety of Jinhua Qinggan granules in the treatment of coronavirus disease 2019 (COVID-19): A systematic review and meta-analysis. Medicine 2023, 102, e33545. [Google Scholar] [CrossRef] [PubMed]
- Cheohen, C.F.D.A.R.; Esteves, M.E.A.; da Fonseca, T.S.; Leal, C.M.; Assis, F.D.L.F.; Campos, M.F.; Rebelo, R.S.; Allonso, D.; Leitão, G.G.; da Silva, M.L.; et al. In silico screening of phenylethanoid glycosides, a class of pharmacologically active compounds as natural inhibitors of SARS-CoV-2 proteases. Comput. Struct. Biotechnol. J. 2023, 21, 1461–1472. [Google Scholar] [CrossRef]
- WHO. WHO Establishes the Global Centre for Traditional Medicine in India; World Health Organization: Geneva, Switzerland, 2022. Available online: https://www.who.int/news/item/25-03-2022-who-establishes-the-global-centre-for-traditional-medicine-in-india (accessed on 1 May 2024).
- WHO TEAM. WHO Traditional Medicine Global Summit 2023 Meeting Report: Gujarat Declaration; WHO Global Centre for Traditional Medicine: Geneva, Switzerland, 2023; Available online: https://www.who.int/publications/m/item/who-traditional-medicine-summit-2023-meeting-report--gujarat-declaration (accessed on 1 May 2024).
- Michel, J.; Abd Rani, N.Z.; Husain, K. A review on the potential use of medicinal plants from Asteraceae and Lamiaceae plant family in cardiovascular diseases. Front. Pharmacol. 2020, 11, 852. [Google Scholar] [CrossRef]
- Tutin, T.G.; Heywood, V.H.; Burges, N.A.; Moore, D.M.; Valentine, D.H.; Walters, S.M.; Webb, D.A. Flora Europaea III; Cambridge University Press: Cambridge, UK, 1972. [Google Scholar]
- Fatiha, B.A.; Ouafae, B.; Souad, S.; Fatima, E.H.; Jamila, D.; Allal, D.; Lahcen, Z. Ethnobotany study of medicinal plants used in the treatment of respiratory diseases in the middle region of Oum Rbai. Int. J. Environ. Agric. Biotechnol. 2017, 2, 1460–1468. [Google Scholar] [CrossRef]
- Ferrier, J.; Šačiragić, L.; Chen, E.C.H.; Trakić, S.; Saleem, A.; Alikadić, E.; Cuerrier, A.; Balick, M.J.; Arnason, J.T.; Redžić, S. Ways the Lukomir highlanders of Bosnia and Herzegovina treat diabetes. In Ethnobotany and Biocultural Diversities in the Balkans; Pieroni, A., Quave, C.L., Eds.; Springer Publishing: New York, NY, USA, 2014; pp. 13–27. ISBN 978-1-4939-1492-0. [Google Scholar]
- Šarić-Kundalić, B.; Fritz, E.; Dobeš, C.; Saukel, J. Traditional medicine in the pristine village of Prokoško lake on Vranica Mountain, Bosnia and Herzegovina. Sci. Pharm. 2010, 78, 275–290. [Google Scholar] [CrossRef]
- Zlatković, B.; Bogosavljević, S.; Radivojević, A.; Pavlović, M. Traditional use of the native medicinal plant resource of Mt. Rtanj (Eastern Serbia): Ethnobotanical evaluation and comparison. J. Ethnopharmacol. 2014, 151, 704–713. [Google Scholar] [CrossRef]
- Jarić, S.; Mitrović, M.; Pavlović, P. Ethnobotanical featured of Teucrium species. In Teucrium Species: Biology and Applications; Stanković, M., Ed.; Springer Nature: Cham, Switzerland; Berlin/Heidelberg, Germany, 2020; pp. 111–142. ISBN 978-3-030-52159-2. [Google Scholar]
- Redžić, S. Wild medicinal plants and their usage in traditional human therapy (Southern Bosnia and Herzegovina, W. Balkan). J. Med. Plant. Res. 2010, 4, 1003–1027. [Google Scholar]
- Li, J.J.; Ma, S.; Wang, Y.; Wang, M.; Li, M.; Gao, C.; Zhang, L.; Li, Y.; Liu, Y.; Stevanović, Z.D.; et al. Teucrium montanum extract drives effector and memory differentiation of CD8+ T cells. Biomed. Res. Ther. 2023, 10, 6023–6034. [Google Scholar] [CrossRef]
- Oalđe, M.M.; Kolarević, S.M.; Živković, J.C.; Vuković-Gačić, B.S.; Marić, J.M.J.; Kolarević, M.J.K.; Đorđević, J.; Matin, P.D.; Šavikin, K.; Vuković-Gačić, B.; et al. The impact of different extracts of six Lamiaceae species on deleterious effects of oxidative stress assessed in acellular, prokaryotic and eukaryotic models in vitro. Saudi Pharm. J. 2020, 28, 1592–1604. [Google Scholar] [CrossRef] [PubMed]
- Stanković, M.S.; Mitrović, T.L.; Matić, I.Z.; Topuzović, M.D.; Stamenković, S.M. New values of Teucrium species: In vitro study of cytotoxic activities of secondary metabolites. Not. Bot. Horti Agrobot. 2015, 43, 41–46. [Google Scholar] [CrossRef]
- Vujanović, M.; Zengin, G.; Durović, S.; Mašković, P.; Cvetanović, A.; Radojković, M. Biological activity of extracts of traditional wild medicinal plants from the Balkan Peninsula. S. Afr. J. Bot. 2019, 120, 213–218. [Google Scholar] [CrossRef]
- Stanković, M.; Stefanović, O.; Čomić, L.; Topuzović, M.; Radojević, I.; Solujić, S. Antimicrobial activity, total phenolic content and flavonoid concentrations of Teucrium species. Open Life Sci. 2012, 7, 664–671. [Google Scholar] [CrossRef]
- Sailović, P.; Odžaković, B.; Bodroža, D.; Vulić, J.; Čanadanović-Brunet, J.; Zvezdanović, J.; Danilović, B. Polyphenolic composition and antimicrobial, antioxidant, anti-inflammatory, and antihyperglycemic activity of different extracts of Teucrium montanum from Ozren Mountain. Antibiotics 2024, 13, 358. [Google Scholar] [CrossRef]
- Milošević-Djordjević, O.; Stošić, I.; Stanković, M.; Grujičić, D. Comparative study of genotoxicity and antimutagenicity of methanolic extracts from Teucrium chamaedrys and Teucrium montanum in human lymphocytes using micronucleus assay. Cytotechnology 2013, 65, 863–869. [Google Scholar] [CrossRef]
- Vladimir-Knežević, S.; Blažeković, B.; Kindl, M.; Vladić, J.; Lower-Nedza, A.D.; Brantner, A.H. Acetylcholinesterase inhibitory, antioxidant and phytochemical properties of selected medicinal plants of the Lamiaceae family. Molecules 2014, 19, 767–782. [Google Scholar] [CrossRef]
- Bektašević, M.; Jurin, M.; Roje, M.; Politeo, O. Phytochemical Profile, Antioxidant activity and cholinesterase inhibition potential of essential oil and extracts of Teucrium montanum from Bosnia and Herzegovina. Separations 2023, 10, 421. [Google Scholar] [CrossRef]
- Stanković, M.; Ćurčić, M.; Žižić, J.; Topuzović, M.; Solujić, S.; Marković, S. Teucrium plant species as natural sources of novel anticancer compouds: Antiproliferative, proapoptotic and antioxidant properties. Int. J. Mol. Sci. 2011, 12, 4190–4205. [Google Scholar] [CrossRef]
- Nair, S.; Li, W.; Kong, A.N.T. Natural dietary anti-cancer chemopreventive compounds: Redox-mediated differential signaling mechanisms in cytoprotection of normal cells versus cytotoxicity in tumor cells. Acta Pharmacol. Sin. 2007, 28, 459–472. [Google Scholar] [CrossRef] [PubMed]
- Pelicano, H.; Carney, D.; Huang, P. ROS stress in cancer cells and therapeutic implications. Drug Resist. Update 2004, 7, 97–110. [Google Scholar] [CrossRef] [PubMed]
- Babich, H.; Schuck, A.G.; Weisburg, J.H.; Zuckerbraun, H.L. Research strategies in the study of the pro-oxidant nature of polyphenol nutraceuticals. J. Toxicol. 2011, 2011, 467305. [Google Scholar] [CrossRef] [PubMed]
- Weisburg, J.H.; Weissman, D.B.; Sedaghat, T.; Babich, H. In vitro cytotoxicity of epigallocatechin gallate and tea extracts to cancerous and normal cells from the human oral cavity. Basic Clin. Pharmacol. Toxicol. 2004, 95, 191–200. [Google Scholar] [CrossRef] [PubMed]
- Fukumoto, L.R.; Mazza, G. Assessing antioxidant and prooxidant activities of phenolic compounds. J. Agric. Food Chem. 2000, 48, 3597–3604. [Google Scholar] [CrossRef]
- Zhang, D.; Li, H.; Wang, J.B. Echinacoside inhibits amyloid fibrillization of HEWL and protects against Aβ-induced neurotoxicity. Int. J. Biol. Macromol. 2015, 72, 243–253. [Google Scholar] [CrossRef]
- Liu, J.; Tang, N.; Liu, N.; Lei, P.; Wang, F. Echinacoside inhibits the proliferation, migration, invasion and angiogenesis of ovarian cancer cells through PI3K/AKT pathway. J. Mol. Histol. 2022, 53, 493–502. [Google Scholar] [CrossRef]
- Khorashadizadeh, N.; Neamati, A.; Moshiri, M.; Etemad, L. Verbascoside inhibits paraquate-induced pulmonary toxicity via modulating oxidative stress, inflammation, apoptosis and DNA damage in A549 cell. Drug Chem. Toxicol. 2022, 45, 2212–2220. [Google Scholar] [CrossRef]
- WHO. WHO Guidelines on Safety Monitoring of Herbal Medicines in Pharmacovigilance Systems; World Health Organization: Geneva, Switzerland, 2004. Available online: https://www.who.int/publications/i/item/9241592214 (accessed on 26 August 2024).
- Mandura Jarić, A.; Šeremet, D.; Vojvodić Cebin, A.; Jokić, S.; Komes, D. The multiple-response modeling of heat-assisted, microwave-assisted and subcritical water extraction on selected phenolics from traditional plant species Teucrium montanum. Prep. Biochem. Biotechnol. 2022, 52, 809–822. [Google Scholar] [CrossRef]
- Mandura Jarić, A.; Čikoš, A.; Pocrnić, M.; Aladić, K.; Jokić, S.; Šeremet, D.; Vojvodić Cebin, A.; Komes, D. Teucrium montanum L.—Unrecognized Source of Phenylethanoid Glycosides: Green Extraction Approach and Elucidation of Phenolic Compounds via NMR and UHPLC-HR MS/MS. Antioxidants 2023, 12, 1903. [Google Scholar] [CrossRef]
- Mandura Jarić, A.; Haramustek, L.; Nižić Nodilo, L.; Vrsaljko, D.; Petrović, P.; Kuzmić, S.; Jozinović, A.; Aladić, K.; Jokić, S.; Šeremet, D.; et al. A Novel Approach to Serving Plant-Based Confectionery—The Employment of Spray Drying in the Production of Carboxymethyl Cellulose-Based Delivery Systems Enriched with Teucrium montanum L. Extract. Foods 2024, 13, 372. [Google Scholar] [CrossRef] [PubMed]
- Levine, R.L.; Garland, D.; Oliver, C.N.; Amici, A.; Climent, I.; Lenz, A.G.; Ahn, B.W.; Shaltiel, S.; Stadtman, E.R. Determination of carbonyl content in oxidatively modified proteins. Methods Enzymol. 1990, 186, 464–478. [Google Scholar] [PubMed]
- Keum, Y.S.; Park, K.K.; Lee, J.M.; Chun, K.S.; Park, J.H.; Lee, S.K.; Kwon, H.; Surh, Y.J. Antioxidant and anti-tumor promoting activities of the methanol extract of heat-processed ginseng. Cancer Lett. 2000, 150, 41–48. [Google Scholar] [CrossRef] [PubMed]
- Silveira, L.R.; Pereira-Da-Silva, L.; Juel, C.; Hellsten, Y. Formation of hydrogen peroxide and nitric oxide in rat skeletal muscle cells during contractions. Free Radic. Biol. Med. 2003, 35, 455–464. [Google Scholar] [CrossRef] [PubMed]
- Repetto, G.; del Peso, A.; Zurita, J.L. Neutral red uptake assay for the estimation of cell viability/cytotoxicity. Nat. Protoc. 2008, 3, 1125–1131. [Google Scholar] [CrossRef]
- Singh, N.P.; McCoy, M.T.; Tice, R.R.; Schneider, E.L. A simple technique for quantitation of low levels of DNA damage in individual cells. Exp. Cell Res. 1988, 175, 184–191. [Google Scholar] [CrossRef]
- Šamec, D.; Durgo, K.; Grúz, J.; Kremer, D.; Kosalec, I.; Piljac-Žegarac, J.; Salopek-Sondi, B. Genetic and phytochemical variability of six Teucrium arduini L. populations and their antioxidant/prooxidant behaviour examined by biochemical, macromolecule-and cell-based approaches. Food Chem. 2015, 186, 298–305. [Google Scholar] [CrossRef]
- Dorman, H.J.; Hiltunen, R. Antioxidant and pro-oxidant in vitro evaluation of water-soluble food-related botanical extracts. Food Chem. 2011, 129, 1612–1618. [Google Scholar] [CrossRef]
- Jang, T.W.; Choi, J.S.; Park, J.H. Protective and inhibitory effects of acteoside from Abeliophyllum distichum Nakai against oxidative DNA damage. Mol. Med. Rep. 2020, 22, 2076–2084. [Google Scholar] [CrossRef]
- Zhang, D.; Lu, C.; Yu, Z.; Wang, X.; Yan, L.; Zhang, J.; Li, H.; Wang, J.; Wen, A. Echinacoside alleviates UVB irradiation-mediated skin damage via inhibition of oxidative stress, DNA damage, and apoptosis. Oxidative Med. Cell. Longev. 2017, 2017, 6851464. [Google Scholar] [CrossRef]
- Ye, Y.; Song, Y.; Zhuang, J.; Wang, G.; Ni, J.; Xia, W. Anticancer effects of echinacoside in hepatocellular carcinoma mouse model and HepG2 cells. J. Cell Physiol. 2019, 234, 1880–1888. [Google Scholar] [CrossRef] [PubMed]
- Mulani, S.K.; Guh, J.H.; Mong, K.K.T. A general synthetic strategy and the anti-proliferation properties on prostate cancer cell lines for natural phenylethanoid glycosides. Org. Biomol. Chem. 2014, 12, 2926–2937. [Google Scholar] [CrossRef] [PubMed]
- Attia, Y.M.; El-Kersh, D.M.; Wagdy, H.A.; Elmazar, M.M. Verbascoside: Identification, quantification, and potential sensitization of colorectal cancer cells to 5-FU by targeting PI3K/AKT pathway. Sci. Rep. 2018, 8, 16939. [Google Scholar] [CrossRef] [PubMed]
- Yuan, P.; Fu, C.; Yang, Y.; Adila, A.; Zhou, F.; Wei, X.; Wang, W.; Lv, J.; Li, Y.; Xia, L.; et al. Cistanche tubulosa phenylethanoid glycosides induce apoptosis of hepatocellular carcinoma cells by mitochondria-dependent and MAPK pathways and enhance antitumor effect through combination with cisplatin. Integr. Cancer Ther. 2021, 20, 15347354211013085. [Google Scholar] [CrossRef] [PubMed]
- Živanović, M.N.; Stojanović, A.Z.; Cvetković, D.M.; Milutinović, M.G.; Stanković, M.S.; Marković, S.D. Effects of Teucrium spp.: Extracts on migratory potential and redox status of human colon SW-480 and breast MDA-MB-231 cancer cells. Kragujevac J. Sci. 2016, 38, 161–172. [Google Scholar] [CrossRef]
- Cardinali, A.; Pati, S.; Minervini, F.; D’Antuono, I.; Linsalata, V.; Lattanzio, V. Verbascoside, isoverbascoside, and their derivatives recovered from olive mill wastewater as possible food antioxidants. J. Agric. Food Chem. 2012, 60, 1822–1829. [Google Scholar] [CrossRef]
- Bian, P.; Liu, C.; Hu, W.; Ding, Y.; Qiu, S.; Li, L. Echinacoside suppresses the progression of breast cancer by downregulating the expression of miR-4306 and miR-4508. Integr. Cancer Ther. 2021, 20, 15347354211062639. [Google Scholar] [CrossRef]
- Wang, X.; Zhang, Z.; Cao, X. Salidroside inhibited the proliferation of gastric cancer cells through up-regulating tumor suppressor miR-1343-3p and down-regulating MAP3K6/MMP24 signal molecules. Cancer Biol. Ther. 2024, 25, 2322206. [Google Scholar] [CrossRef]
- Tureyen, A.; Navruz, F.Z.; Gunay, S.; Erden, Y.; Ince, S. Tubuloside A induces DNA damage and apoptosis in human ovarian cancer A2780 Cells. Eur. J. Ther. 2023, 29, 900–906. [Google Scholar] [CrossRef]
- Poirel, L.; Madec, J.Y.; Lupo, A.; Schink, A.K.; Kieffer, N.; Nordmann, P.; Schwarz, S. Antimicrobial resistance in Escherichia coli. Microbiol. Spectr. 2018, 6, 10–1128. [Google Scholar] [CrossRef]
- Silhavy, T.J.; Kahne, D.; Walker, S. The bacterial cell envelope. CSH Perspect. Biol. 2010, 2, a000414. [Google Scholar] [CrossRef] [PubMed]
- Khaled-Khodja, N.; Boulekbache-Makhlouf, L.; Madani, K. Phytochemical screening of antioxidant and antibacterial activities of methanolic extracts of some Lamiaceae. Ind. Crops Prod. 2014, 61, 41–48. [Google Scholar] [CrossRef]
- Stojković, D.; Gašić, U.; Drakulić, D.; Zengin, G.; Stevanović, M.; Rajčević, N.; Soković, M. Chemical profiling, antimicrobial, anti-enzymatic, and cytotoxic properties of Phlomis fruticosa L. J. Pharmaceut. Biomed. 2021, 195, 113884. [Google Scholar] [CrossRef] [PubMed]
- Shi, C.; Ma, Y.; Tian, L.; Li, J.; Qiao, G.; Liu, C.; Cao, W.; Liang, C. Verbascoside: An efficient and safe natural antibacterial adjuvant for preventing bacterial contamination of fresh meat. Molecules 2022, 27, 4943. [Google Scholar] [CrossRef]
- Jiang, T.; Yuan, D.; Wang, R.; Zhao, C.; Xu, Y.; Liu, Y.; Song, W.; Su, X.; Wang, B. Echinacoside, a promising sortase A inhibitor, combined with vancomycin against murine models of MRSA-induced pneumonia. Med. Microbiol. Immun. 2023, 212, 421–435. [Google Scholar] [CrossRef]









| TPC (mg GAE g−1 *) | Total Hydroxycinnamic Acids (mg ECH g−1 *) | |||||||
|---|---|---|---|---|---|---|---|---|
| 352.24 ± 1.56 | 275.23 ± 0.97 | |||||||
| phenylethanoid glycosides (mg g−1 **) | ||||||||
| ß-OH-forsythoside B | echinacoside | jionoside A | teupolioside | stachysoside A | poliumoside | verbascoside | forsythoside B | isoverbascoside |
| 2.73 ± 0.03 | 75.37 ± 1.10 | 4.73 ± 0.10 | 22.19 ± 0.42 | 42.86 ± 0.83 | 29.27 ± 0.39 | 25.29 ± 0.46 | 9.03 ± 0.33 | 6.43 ± 0.24 |
| flavonoids (mg g−1 **) | ||||||||
| vicenin-2 | diosmin | acacetin-7-O-rutinoside | ||||||
| 1.86 ± 0.03 | 1.76 ± 0.10 | 1.19 ± 0.02 | ||||||
Disclaimer/Publisher’s Note: The statements, opinions and data contained in all publications are solely those of the individual author(s) and contributor(s) and not of MDPI and/or the editor(s). MDPI and/or the editor(s) disclaim responsibility for any injury to people or property resulting from any ideas, methods, instructions or products referred to in the content. |
© 2024 by the authors. Licensee MDPI, Basel, Switzerland. This article is an open access article distributed under the terms and conditions of the Creative Commons Attribution (CC BY) license (https://creativecommons.org/licenses/by/4.0/).
Share and Cite
Mandura Jarić, A.; Durgo, K.; Huđek Turković, A.; Petek, P.; Petrinić, A.; Šeremet, D.; Vojvodić Cebin, A.; Komes, D. Exploring the Biological Potential of Mountain Germander Polyphenolic Extract on Cellular Model Macromolecules, Human Cell Lines, and Microbiome Representatives. Appl. Sci. 2024, 14, 10602. https://doi.org/10.3390/app142210602
Mandura Jarić A, Durgo K, Huđek Turković A, Petek P, Petrinić A, Šeremet D, Vojvodić Cebin A, Komes D. Exploring the Biological Potential of Mountain Germander Polyphenolic Extract on Cellular Model Macromolecules, Human Cell Lines, and Microbiome Representatives. Applied Sciences. 2024; 14(22):10602. https://doi.org/10.3390/app142210602
Chicago/Turabian StyleMandura Jarić, Ana, Ksenija Durgo, Ana Huđek Turković, Petra Petek, Andrea Petrinić, Danijela Šeremet, Aleksandra Vojvodić Cebin, and Draženka Komes. 2024. "Exploring the Biological Potential of Mountain Germander Polyphenolic Extract on Cellular Model Macromolecules, Human Cell Lines, and Microbiome Representatives" Applied Sciences 14, no. 22: 10602. https://doi.org/10.3390/app142210602
APA StyleMandura Jarić, A., Durgo, K., Huđek Turković, A., Petek, P., Petrinić, A., Šeremet, D., Vojvodić Cebin, A., & Komes, D. (2024). Exploring the Biological Potential of Mountain Germander Polyphenolic Extract on Cellular Model Macromolecules, Human Cell Lines, and Microbiome Representatives. Applied Sciences, 14(22), 10602. https://doi.org/10.3390/app142210602

