Next Article in Journal
Accuracy of GNSS-Derived Acceleration Data for Dynamic Team Sport Movements: A Comparative Study of Smoothing Techniques
Previous Article in Journal
Multimodal Framework for Long-Tailed Recognition
 
 
Font Type:
Arial Georgia Verdana
Font Size:
Aa Aa Aa
Line Spacing:
Column Width:
Background:
Article

Crouch Gait Recognition in the Anatomical Space Using Synthetic Gait Data

by
Juan-Carlos Gonzalez-Islas
1,
Omar Arturo Dominguez-Ramirez
1,*,
Omar Lopez-Ortega
1 and
Jonatan Pena Ramirez
2
1
Basic Sciences and Engineering Institute, Autonomous University of the State of Hidalgo, Pachuca 42184, Hidalgo, Mexico
2
Department of Electronics and Telecommunications, Applied Physics Division, Center for Scientific Research and Higher Education at Ensenada, Ensenada 22860, Baja California, Mexico
*
Author to whom correspondence should be addressed.
Appl. Sci. 2024, 14(22), 10574; https://doi.org/10.3390/app142210574
Submission received: 27 September 2024 / Revised: 13 November 2024 / Accepted: 14 November 2024 / Published: 16 November 2024
(This article belongs to the Section Biomedical Engineering)

Abstract

Crouch gait, also referred to as flexed knee gait, is an abnormal walking pattern, characterized by an excessive flexion of the knee, and sometimes also with anomalous flexion in the hip and/or the ankle, during the stance phase of gait. Due to the fact that the amount of clinical data related to crouch gait are scarce, it is difficult to find studies addressing this problem from a data-based perspective. Consequently, in this paper we propose a gait recognition strategy using synthetic data that have been obtained using a polynomial based-generator. Furthermore, though this study, we consider datasets that correspond to different levels of crouch gait severity. The classification of the elements of the datasets into the different levels of abnormality is achieved by using different algorithms like k-nearest neighbors (KNN) and Naive Bayes (NB), among others. On the other hand, to evaluate the classification performance we consider different metrics, including accuracy (Acc) and F measure (FM). The obtained results show that the proposed strategy is able to recognize crouch gait with an accuracy of more than 92%. Thus, it is our belief that this recognition strategy may be useful during the diagnosis phase of crouch gait disease. Finally, the crouch gait recognition approach introduced here may be extended to identify other gait abnormalities.

1. Introduction

Crouch gait (CG) is one of the most common gait abnormalities, often seen in patients with stroke, cerebral palsy (CP) and spastic diplegic (SD) [1,2]. In this abnormal gait, the joints are abnormally flexed or extended, generally characterized by excessive knee flexion, broadly 20 during the stance phase, resulting in a significant reduction in the range of motion (ROM) of the joints and timing during the gait cycle [2,3]. Therefore, treatments and assistive technologies are required to prevent the worsening of the crouch posture and subsequent functional deterioration [4]. Usually, CG analysis is based on knee flexion [5,6], but other joints such as the hips and ankles, as well as pelvis and trunk are affected [7,8]. Similarly, gait analysis is often performed only in the sagittal plane [9]. Since CG is clinically recognized as a complex multi-joint and multiplanar gait disorder [10], it is necessary to also consider movements in the three anatomical planes.
On the other hand, computational modeling could be a powerful tool for evaluating gait abnormalities, such as crouch gait in workspace [11]. In the same way, the evaluation of two musculoskeletal models in children with crouch gait is presented in [12]. Also, a musculoskeletal computational model was used to simulate mild, moderate, and severe crouch gait in children with cerebral palsy [13]. In [14], the simulation of the effect of muscle activations on the performance of the knee prosthesis of a person with a crouch gait is presented, demonstrating the increased knee load during stance. However, current models to simulate crouch gait are not as accurate as is necessary for their use in clinical settings, opening the possibility for further research in this field.
Furthermore, machine learning (ML) is useful for dealing with large, noisy, multivariable, multidimensional, and noisy data, such as gait data. Although the reliability of ML algorithms depends on adequate data, real-world applications frequently encounter data-related problems. These include data of poor quality, insufficient data points, and low availability [15]. To address these challenges, synthetic data generation has recently emerged as a promising alternative to address these issues [16,17]. Some applications of artificial intelligence, such as medicine and healthcare, have been more susceptible to the proliferation of synthesized data [18,19,20].
Despite the increasing popularity of gait analysis systems, the amount of available gait-related data can often be limited. Using synthetic data for training learning models is a recent strategy to address data issues [21]. In [22], the authors propose a method to generate synthetic gait patterns (vertical load and angles of the lower limb joint) to control prosthetic legs, using a generative adversarial network (GAN). Then, they trained a deep neural network (DNN)-based controller using the synthetic gait patterns for level-ground walking, standing-to-sitting motion, and sitting-to-standing motion. In similar work [23], the author addressed trajectory prediction for the control of rehabilitation robots of a lower limb, using synthetic gait data based on augmented GANs. In addition, 3D synthesis of gait data have also been studied using 3D frameworks to generate silhouettes that represent the gait motion style and the appearance of characters [24,25]. Finally, calculating severity levels of a Parkinsonian gait with little data could be possible using synthetic data based on linear interpolation of video-based Parkinsonian gait models [26], and freezing of gait (FoG) and GAN [27]. In contrast to these works, we have not used generative AI or 3D data in our approach. We generated a dataset of the joint angles from an 8 DoF model for crouch gait.
Due to the characteristics of gait data, it is necessary to use a gait recognition approach for the processing and analysis [28]. In recent decades, several works of gait recognition have been described for different approaches such as soft biometrics, clinical analysis, and sports science, highlighting challenges and perspectives [29,30,31,32]. Using unsupervised learning methods for recognizing crouch gait, few works have been reported. For instance, cluster analysis using gait kinematic data of the lower limbs, pelvis, and trunk of children with cerebral palsy was used to define four clusters [9]. In this case, hip and knee flexion were identified as the main clustering factors and a correlation between trunk and pelvic kinematics and the severity of flexion of these joints was found.
In a similar work [33], a gait classification method for subjects with cerebral palsy was presented. Here, sagittal gait features were used as input in a K-means cluster analysis to classify five crouched groups, depending on severity. But these works, unlike ours, which proposes supervised learning, are based on unsupervised learning approaches to clustering. A more related work deals with the classifications of three hemiplegic patients and a healthy subject [34]. The categories for crouched patients are mild, moderate, and severe gait conditions, and they use time and frequency domains features. In the same way, an approach for a classification of crouch gait patterns was designed [35]. To classify the gait data into four classes: normal, crouch-2, crouch-3, and crouch-4, they use an artificial neural network and compare with k-means and k-nearest neighbor algorithms. However, the limitation of both works is the size of the dataset; using machine learning on small size datasets presents a problem, since the recognition capability of the algorithms depends on the size of the dataset [36].
In this work, we present a framework for crouch gait recognition. Specifically, multiclass recognition is performed using synthetic gait data in anatomical space using the joint angles of the 8 DoF multi-joint and multi-planar model presented in a previous work [37]. In particular, the following question is: is it possible to recognize multiclass crouch gait in anatomical space using gait synthetic data?. Through this paper, we demonstrate that the answer to this question is affirmative. Furthermore, the main contribution of this work is the synthetic joint angle generator for multiclass crouch gait recognition.

2. Gait Recognition Framework

The proposed framework based on two approaches to recognize crouch gait is shown in Figure 1. The first approach considers the availability of the gait data. In this study, we use synthetic joint angles based on polynomial fitting. The second approach contemplates the calculation of the joint angles from the Cartesian coordinates, using the inverse kinematics method proposed in a previous work [37]. This procedure is used to partially validate the correspondence of the synthesized data with those in the real case, a detailed description is provided throughout this section.
There are two categories to represent and extract gait recognition features defined as Model-free and Model-based [38]. In this study, we use an 8 DoF model-based approach. The model of the lower limbs during the gait cycle that we use is a reduced version of the conventional gait model [39]. Figure 2 shows the proposed 8-DoF multiplanar and multijoint system.
The model considers the lower limbs as eight rigid body segments as follows: right pelvis ( l 1 R ), left pelvis ( l 1 L ), right femur ( l 2 R ), left femur ( l 2 L ), right tibia ( l 3 R ), left tibia ( l 3 L ), right foot ( l 4 R ), and left foot ( l 4 L ). Meanwhile, the corresponding joint functions, rotation axis, and reference frame for the eight motions are pelvic rotation ( q 1 , Σ 0 , y 0 ), pelvic list ( q 2 , Σ 0 , x 0 ), right hip flexo-extension ( q 3 R , Σ 1 R , z 1 R ), left hip flexo-extension ( q 3 L , Σ 1 L , z 1 L ), right knee flexo-extension ( q 4 R , Σ 2 R , z 2 R ), left knee flexo-extension ( q 4 L , Σ 2 L , z 2 L ), right ankle dorsi-plantar flexion ( q 5 R , Σ 3 R , z 3 R ), and left ankle dorsi-plantar flexion ( q 5 L , Σ 3 L , z 3 L ).
Gait recognition is an approach to assess and compare different gait performances of different users based on the gait pattern [28]. For recognition of crouch gait, we consider four levels based on crouch severity: crouch-1 (C1), crouch-2 (C2), crouch-3 (C3), crouch-4 (C4), and normal gait (N). The eight joint angles taken as references for the five gaits are obtained from the dataset of the well-known and well-studied model 2392-OpenSim [40,41]. However, for gait recognition, one joint angle signal for each joint is not sufficient. To overcome this limitation, we implement a synthetic joint angle generator. The resulting synthetic gait angle dataset is stored and subsequently used as input in the recognition system. The workflow of the crouch gait recognition system consists of different modules [42], as shown in Figure 3.

2.1. Gait Data Acquisition

The first stage of the gait recognition system is data acquisition, which is used to collect human gait data. Generally, there exist four ways to this purpose: marker-based, non marker-based, floor sensors, and wearable sensors [28]. However, to address the scarcity and availability of crouch gait data, in this work, we propose the generation of synthetic gait data based on reference joint angles of the 2392 OpenSim model [41] and polynomial fitting. Figure 4 shows the eight joint reference angles of the five gaits during a gait cycle [41].
Table 1 summarizes the ROM values of the eight reference joint angles during a gait cycle [41], which is useful for local analysis if each joint is evaluated independently or by each lower limb.
As mentioned above, the crouch gait is characterized by excessive knee flexion. As indicated in the table for the right q 4 R and the left lower limbs, for q 4 L the ROM for the crouch gaits is reduced by up to 50% with respect to the normal gait. However, we can appreciate this effect not only in the knee joints, but also in the hips and ankles, as well as in the rotation and tilt movements of the pelvis.
Continuing with data generation, the flowchart of the gait joint angles generator is shown in Figure 5, where GF: gait joint angle, n: number of synthetic joint angles, DAE: desired approximation error, AE: approximation error, K: polynomial degree, i: iteration number, RNA: random noise amplitude, and SNR: signal-to-noise relationship.
Given a joint angle function q i , until the best fit is obtained to the joint angle function, we fit a polynomial curve to obtain the coefficients of a polynomial p ( x ) of degree k. Subsequently, the polynomial p ( x ) is evaluated at each point in x, where x in this case is the array of samples from the gait cycle. Next, we calculate the mean square error (MSE) (AE), between q i and the evaluation of p ( x ) . The process continues until the stop criterion is satisfied ( A E D A E ). The degree of polynomial k is inversely proportional to the desired error ( D A E = 0.2 ) for this case. A small error ( D A E ) generates a higher degree of polynomial, increasing the mathematical complexity and thus the computational cost during the evaluation.
The function applied to fit the polynomial curve (polyfit of Matlab) returns the following polynomial p ( x ) (synthetic joint function) of degree k that is a best fit (in the least-squares sense) for the data in q i .
p ( x ) = p 1 x k + p 2 x k 1 + + p k x + p k + 1 .
The fitting function uses x to form a Vandermonde matrix V with k + 1 columns and m = l e n g t h ( x ) rows, resulting in the following linear system:
x 1 k x 1 k 1 1 x 2 k x 2 k 1 1 x m k x m k 1 1 p 1 p 2 p k + 1 = y 1 y 2 y m .
The fitted polynomial is considered the polynomial generator of the joint angle function, which is used as a base function to synthesize the gait data. In Table 2 we present the degree of the fitted polynomial for each joint function of the five reference gait angles.
The degree of the fitted polynomial is related to the complexity of the joint angle function. In this case, the more complex is the dorsiplantar function of C2, while the simplest is the list of C4. Then, we generate a dataset containing joint angle functions for each gait (N, C1, C2, C3, and C4), where n = 50 . In order to reproduce the eight joint angle signals, we provide the coefficients of the generating polynomials for the normal gait. Table 3 summarizes the values of the fitted polynomial coefficients for the 8 DoF of the joint functions for a normal gait.
Subsequently, to generate the joint function dataset of the five gaits with the eight movements, the coefficients of the polynomial generator p ( x ) are modified using normally distributed random numbers and evaluated in x. The effect of this action on the signal is a positive or negative offset. In addition, additive white Gaussian noise (AWGN) is added to the previously modified signal, where for this case the S N R = 20 is previously defined. Both actions affect synthesized signals, in order to correspond to the disturbances caused by the instrumentation systems and the real-world issues during the acquisition of real gait data.
Finally, each synthetic joint angle is stored. To validate our generator approach, we developed a z test over the eight normal gait angles. The null hypothesis is defined as H 0 : A synthetic normal function has the same statistical distribution as the reference normal function; and the alternative hypothesis H 1 : A synthetic normal function has a different statistical distribution than the reference normal function. The established value of statistical significance is α = 0.05 . In all cases, the null hypothesis was accepted.

2.2. Gait Data Validation

Most of the machine learning works focus on improving the accuracy and efficiency of training and inference algorithms, but little attention has been paid to address the problem of monitoring the quality and validating raw data. Errors in input data can determine poor performance in accelerating and assessing the precision of the framework [43]. Therefore, in this work, we perform the statistical z test to confirm that the synthetic datasets for each gait are statistically different [44].
Thus, using the brute force method for the five gait datasets, we established H 0 : the synthetic joint angles of the test gait are outliers from the synthetic joint angles of the reference gait; and the alternative hypothesis H 1 : the synthetic joint angles of the test gait have a different statistical distribution than the synthetic joint angles of the reference gait. The value of statistical significance established for all cases is α = 0.05 . Table 4 summarizes the z values of the ten combinations between gait types.
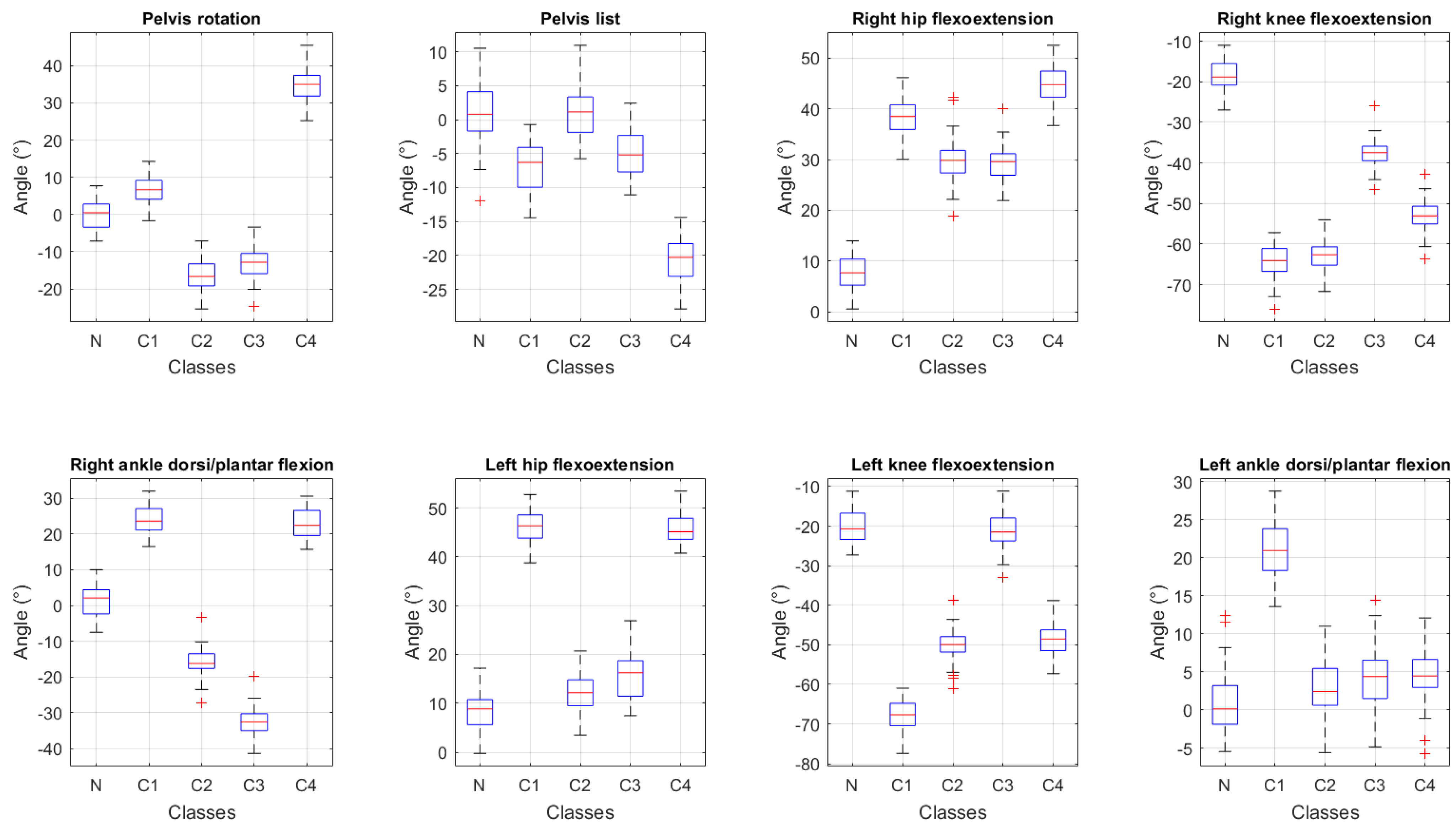
For this approach, one of the gait datasets is taken as a reference, and a different gait dataset is used as a test. For example, in the first case, normal gait is the reference and crouch-1 is the test (N-C1), and the z value is 3.57 . The p values depending on the z values, to q 1 , q 4 R , q 4 L and q 5 L lead to rejection of H 0 . That is, the datasets of the five gait joint functions have a statistically different distribution from each other. However, with respect to q 2 , q 3 R , q 3 L , and q 5 R in one case for each, (C1-C3), (C2-C3), and (C1-C4), respectively, we reject H 1 . This implies that, for those cases the datasets are not statistically different. In Figure 6, we can easily visualize and compare using the distribution boxplots of the data from the five gaits for each joint angle.
This boxplot is useful for the early detection of which gait datasets are different and are to be established as different classes in the recognition approach. On the other hand, to validate that the synthetic gait data correspond to a real-case scenario, we evaluate the inverse kinematic of the position method described in a previous work [45]. To this end, we test a marker-based visual method on an experimental 3 DoF platform, representing the right lower limb as a planar robot. The joints and movements analyzed in the sagittal plane are hip flexo-extension, knee flexo-extension, and ankle dorsi-plantar flexion. Figure 7 shows, among other details, a comparative between real and synthetic joint angles.
Referring to Figure 7, the correspondence between the joint reference angle and the real joint angle is a root mean square error (RMSE) average of 5.93 ° . The offset and high-frequency effects in the experimental signal are related to the actuators and measurement devices of the experimental platform, such as real gait data acquisition. Figure 7 provides evidence that the synthetic gait data generator provides signals corresponding to a real-world scenario. In this case, the RMSE average is 4.48 ° . To evaluate the tendency of the synthetic gait dataset of the joint angles, we calculate the arithmetic mean, which converges to the generator joint function. Table 5 summarizes the RMSE for each experimental and synthetic gait data.

2.3. Data Access and Pre-Processing

Gait data access and pre-processing are the next steps after data acquisition [46]. The raw data contain a dataset with 250 joint angle functions, 50 per each gait class. Subsequently, the pre-processing stage is useful for integrating, cleaning, transforming, and reducing data. Due to the fact that we do not have incomplete, noisy, multivariable data or with many elements for each function, we do not perform any of these actions at this stage.

2.4. Feature Extraction and Selection

In order to identify the individuals corresponding to the five gait classes in a general and non-redundant way, it is required in the gait recognition system to extract useful features from the raw data [47]. To this end, we calculate the arithmetic mean (AM) and standard deviation (STD), which have been widely used in gait recognition [48]. In addition, features such as the root mean square value (RMS) [34,49], and in a novel way for this purpose, the shape factor (SF), are included. SF is based on the waveform of the joint angle function and is calculated as follows:
S F = R M S 1 M i = 1 M | q i | ,
where the RMS value is calculated as
R M S = 1 M i = 1 M q i 2 .
where M is the length of the joint angle function. From each gait example in the feature extraction stage, we obtain an array with 32 features, containing the four metrics for the eight joint angles. But this initial approach makes the system tend toward overfitting. Table 6 summarizes the average values of each feature for each joint angle function corresponding to each gait. Therefore, we propose a classification approach based on three different body regions defined as pelvic ( q 1 and q 2 ), right lower limb ( q 3 R , q 4 R and q 5 R ), and left lower limb ( q 3 L , q 4 L and q 5 L ), which allows for a local classification and a local analysis. Hence, now, each example only contains the four features of the corresponding body region joint angles.
Then, in the feature selection stage, we determine the relevance of each of the features and, based on a threshold = 0.4 , we only select the most important features using neighborhood component analysis for classification [50]. Finally, we use the selected features for the training stage.

2.5. Training Classification Model

The synthetic gait dataset is randomly partitioned into two sets, where 80% is set as training and 20% as test data. For the supervised classification training stage, we use some of the most common algorithms used in gait recognition: K-nearest neighbors (KNN), Naive Bayes (NB), discriminant analysis (DA), decision trees (DT), and an artificial neural network (ANN) [51]. In order to evaluate the algorithm performance, we test each trained model while considering the following metrics: accuracy (Acc), recall (R), specificity (SP), precision (P), and the F-measure (F) [52], which are defined as follows:
  • Accuracy (Acc)
    A c c = T P + T N T P + T N + F P + F N × 100 ;
  • Recall or sensitivity (R)
    R = T P T P + F N × 100 ;
  • Specificity (SP)
    S P = T N T N + F P × 100 ;
  • Precision (P)
    P = T P T P + F × 100 ;
  • F-measure (F)
    F = 2 × P × R P + R i × 100 .
    where TP: true positives, TN: true negatives, FP: false positives, and FN: false negatives for each gait.

3. Results

The experimental results for each classification algorithm are calculated using a k-fold cross-validation with k = 10 . Table 7 and Table 8 present the results of accuracy (Acc), recall (R), specificity (SP), precision (P), and F-measure (FM) using the pelvic ( q 1 , q 2 ) body section with K-nearest neighbors (kNN), Naive Bayes (NB), discriminant analysis (DA), decision trees (DT), and an artifitial neural network (ANN), respectively.
These metrics are calculated using a multiclass confusion matrix. The algorithm with the best accuracy to correctly predict the outcome of the pelvic section for N, C1, C2, and C3 is DA, except that for C4 it is ANN. Sensitivity or recall (R) is the probability of correctly identifying the gait in people characterized by this type of gait. The best performance on the recall for the five gaits is DA. Precision is the rate of relevant instances among retrieved instances, which implies the probability of correctly classifying specific crouch individuals as general subjects with this condition. Specificity, on the other hand, is the true negative rate. These are the negative cases that the algorithm has classified as corresponding to other gaits. Precision refers to the distance from the measurement result to the true value. The algorithm with the best precision is DA for the five gaits. The F-measure is a measure of predictive performance and the DA is the best algorithm in this way, while KNN has the lowest performance. Table 9 and Table 10 show the performance using a similar approach, but using the body section of the right lower limb.
As we can see in Table 9 and Table 10 related to the right lower limb body section, the performance for the five gait types with the five metrics is better. This is because now it is considered a joint function more and before the feature selection stage derived from the feature relevance there are four more predictors, which improves the classification performance. For normal, crouch-1, crouch-3, and crouch-4 gaits, the best performance is achieved by NB, while for C2 it is achieved by KNN. In the same sense, to evaluate the classification performance by regions, Table 11 and Table 12 summarize the results for the five gaits and the five metrics using the left lower limb body region.
As we can visualize the results in Table 11 and Table 12, in general, the performance of the five algorithms for the five metrics increases using the body region of the left lower limb, and DA is the best algorithm. Finally, we analyze the global performance of the algorithms for each metric, and Table 13 summarizes the average performance of the algorithms to classify the five gaits by body region.
Considering average performance, for accuracy, the algorithm best evaluated in the pelvic and left regions is DA with 96.96 and 99.52%, respectively, while in the right region it is NB at 99.52%. The algorithm with the worst performance is KNN for the three cases. Regarding recall and specificity, the best performance was achieved in a similar way to the accuracy for the pelvic and left region; only for the left region, the algorithm with the best performance is NB with 98.59% and 99.70%, respectively. A similar performance occurs with the precision and F-measure, DA being the algorithm with the best performance for the first and third regions, and NB with 98. 79% and 98. 61%, respectively, for the region of the right lower limb.

4. Discussion

To the best of our knowledge, this work represents one of the first works for multiclass crouch gait recognition using synthetic data. The 8 DoF model based on feature extraction in the joint space was reported in a previous work [37]. Unlike other well-studied biomechanical models [40,47], our 8 DoF model provides a reduction in degrees of freedom and is useful for an early analysis in addition to reducing the computational burden and data acquisition instrumentation.
On the other hand, the synthetic gait data provided in this study correspond to the real gait data acquisition scenarios, including offset and noisy defects. Although experimental validation was only performed with the right lower limb, this approach can be extended in parallel to the movements of the left limb and hip. Given the complexity of experimental settings of real crouched gait subjects, we believe that this approach could be beneficial for overcoming the scarcity and low availability of data for gait recognition systems. There are several works related to the generation of synthetic gait data using GAN [23,27]; although the data are very similar to real data, some limitations such as possible instability and large amount of training data required should be addressed. The work reported in [23] presents RMSE values for hip and knee angles less than 0.2 degrees to predict real signals using LSTM. Although we can indirectly control the RMSE with parameters S N R and D A E , for more joint angles, for future research we could synthesize crouch gait signals using GANs. Another related work synthesizing gait data is addressed for hip displacement [21], achieving 12% error, using a CFP-neural model and stop criterion the standard deviation instead of the RMSE, which somehow guarantees that the narrow synthetical signal falls within the band of the dataset distribution. Adding more neurons to the CPG model could improve the accuracy of the algorithms, and this approach could be extended to other joint angles.
Although the results obtained with respect to the synthetic gait data are promising, there are opportunities to improve upon the method outlined to obtain accurate synthetic crouch gait data. In general, in healthcare scenarios, a total of 92% of models trained with synthetic data have a lower accuracy than those trained on real data [53]. So, a further evaluation is needed to probe robustness and confidence in clinical settings. Furthermore, it is important to note that the creation of any synthetic dataset must be in agreement with the original dataset [54]. Thus, this aspect of using synthetic data should be heavily analyzed. More complex algorithms that encompass additional characteristics could be incorporated.
The design of efficient gait recognition systems in real-world settings is a challenging task for researchers. Several methods related to gait recognition have been tested, for the classification of Parkinson’s disease. To this end, in [27], the authors report an accuracy greater than 90% using deep neural networks (DNNs), while k-nearest neighbors (KNN), in [26], achieve an accuracy between 96 and 99%. In similar research, using an IMMU-based recognition system, the algorithms were as follows: KNN, ANN, SVM, DT, and RF were tested, showing an accuracy greater than 80% in the last three [32]. On the other hand, synthetic gaits of the knee or of the ankle for a DNN- based controller for prosthetic legs have also been proposed [22].
Specifically, for the recognition of the crouch gait, the two supervised and unsupervised approaches have been tested. Cluster analysis of the crouch gait pattern in children with spastic diplegic cerebral palsy using the sparse K-means method has been presented in [9] and the underlying severity of different gait patterns of the gait of the crouch [33] has been proposed. In a related work, though not recent, recognition of crouch gait based on AW-ELM has been reported [34]. Three subjects with mild, moderate, and severe crouch cases were classified with an accuracy of up to 91%. Finally, a work for biometric crouch gait identification is the most related. The gait data were classified into four classes: normal, crouch-2, crouch-3, and crouch-4, using K-mean, KNN, and ANN. They used 30 samples from each data category for training and 20 data points for testing. For the normal class, the accuracy was 74.68%, 100%, and 100% for each algorithm, while for the crouch, the general accuracy is below 60% for KNN and ANN and 80% for the k-mean. For these collision studies, unlike our work, the main limitation is the size of the dataset.
For our recognition approach as a feasibility study, we use the most common algorithms KNN, NB, DA, DT, and ANN. The overall accuracy for the tree body region is up by 92%, which is promising. As future directions of the research, we plan to evaluate the latest algorithms such as DNNs. On the other hand, the primary design challenge of any gait recognition system is to select the most significant and optimum gait features [55]. For this study, we use the basic gait features used for gait recognition purposes; however, it is possible to test other frequency–temporal domain features.
Finally, we believe that the results presented here provide evidence that our crouch gait recognition, as an early detection system, is capable of supporting diagnosis and decision making. Further research on the gait synthetic data generation and classification algorithms is required. Broader real-world areas such as surveillance, robotics, biomechanics, and sports medicine, among others, could also benefit.

5. Conclusions

This paper presents a framework for multiclass crouch gait recognition in anatomical space using synthetic gait data. To begin with, unlike other models in the literature, the 8 DoF model-based approach used for feature extraction in the anatomical space reduces the instrumentation and computational complexity for gait recognition. The synthetic gait data approach is the main contribution of this work. The correspondence with offset and noisy real-world signals is closer, which was validated using an experimental platform of 3 DoF emulating the right lower limb in the sagittal plane. The average RMSE for the experimental joint angles was 5 . 93 and for synthetic signals 4 . 48 , the RMSE for the average of synthetic joint angles with respect to the joint angle reference is 0 . 63 . Although these preliminary results are promising, further analysis and testing is required. On the other hand, anatomical space features such as AM, STD, RMS, and SF used widely in the literature as in this work are useful for classifying crouch gaits. In addition, the algorithms K-nearest neighbors (kNN), Naive Bayes (NB), discriminant analysis (DA), decision trees (DT), and artificial neural network (ANN), respectively, achieve an accuracy average over 92%, in the three proposed body regions. The proposed classification framework can be used to define homogeneous groups of subjects with crouch gait, which can help during early diagnose and to make decisions about treatments related to crouch gait diseases or other gait abnormalities.
Although we have achieved good results in establishing the proposal as a feasibility study, some considerations in future research can improve performance. In this sense, different GAN architectures could be evaluated for the generation of a synthetic crouch gait. Other spatio-temporal and frequency domain features could be explored. Finally, the latest deep learning algorithms could be evaluated and compared.

Author Contributions

Conceptualization, J.-C.G.-I. and O.A.D.-R.; methodology, J.-C.G.-I., O.A.D.-R. and O.L.-O.; software, J.-C.G.-I.; validation, J.-C.G.-I. and O.L.-O.; formal analysis, J.-C.G.-I., O.A.D.-R. and J.P.R.; investigation, J.-C.G.-I. and O.A.D.-R.; resources, J.-C.G.-I. and O.A.D.-R.; data curation, O.L.-O. and J.P.R.; writing—original draft preparation, J.-C.G.-I. and O.A.D.-R.; writing—review and editing, O.L.-O. and J.P.R.; visualization, J.-C.G.-I.; supervision, O.L.-O. and J.P.R.; project administration, O.A.D.-R.; funding acquisition, O.A.D.-R. All authors have read and agreed to the published version of the manuscript.

Funding

This research received no external funding.

Institutional Review Board Statement

Not applicable.

Informed Consent Statement

Not applicable.

Data Availability Statement

The original contributions presented in the study are included in the article, further inquiries can be directed to the corresponding author.

Conflicts of Interest

The authors declare no conflicts of interest.

References

  1. Bumbard, K.B.; Herrington, H.; Goh, C.H.; Ibrahim, A. Incorporation of torsion springs in a knee exoskeleton for stance phase correction of crouch gait. Appl. Sci. 2022, 12, 7034. [Google Scholar] [CrossRef]
  2. Miller, F. Crouch Gait in Cerebral Palsy. Cereb. Palsy 2020, 1489–1504. [Google Scholar]
  3. Brunner, R.; Frigo, C.A. Control of Tibial Advancement by the Plantar Flexors during the Stance Phase of Gait Depends on Knee Flexion with Respect to the Ground Reaction Force. Bioengineering 2023, 11, 41. [Google Scholar] [CrossRef]
  4. Shideler, B.L.; Bulea, T.C.; Chen, J.; Stanley, C.J.; Gravunder, A.J.; Damiano, D.L. Toward a hybrid exoskeleton for crouch gait in children with cerebral palsy: Neuromuscular electrical stimulation for improved knee extension. J. Neuroeng. Rehabil. 2020, 17, 121. [Google Scholar] [CrossRef]
  5. O’Sullivan, R.; Marron, A.; Brady, K. Crouch gait or flexed-knee gait in cerebral palsy: Is there a difference? A systematic review. Gait Posture 2020, 82, 153–160. [Google Scholar] [CrossRef]
  6. Pandey, R.A.; Johari, A.N.; Shetty, T. Crouch Gait in Cerebral Palsy: Current Concepts Review. Indian J. Orthop. 2023, 57, 1913–1926. [Google Scholar] [CrossRef]
  7. Miscusi, M.; Di Bartolomeo, A.; Scafa, A.; Ricciardi, L.; Chiarella, V.; Giugliano, M.; Castiglia, S.; Varrecchia, T.; Serrao, M.; Raco, A. The dynamic sagittal balance: Definition of dynamic spino-pelvic parameters using a method based on gait analysis. World Neurosurg. X 2023, 18, 100165. [Google Scholar] [CrossRef]
  8. Richards, J.; Levine, D.; Whittle, M.W. Whittle’s Gait Analysis-E-Book; Elsevier Health Sciences: Amsterdam, The Netherlands, 2022. [Google Scholar]
  9. Abbasi, L.; Rojhani-Shirazi, Z.; Razeghi, M.; Raeisi-Shahraki, H. Kinematic cluster analysis of the crouch gait pattern in children with spastic diplegic cerebral palsy using sparse K-means method. Clin. Biomech. 2021, 81, 105248. [Google Scholar] [CrossRef]
  10. Galey, S.A.; Lerner, Z.F.; Bulea, T.C.; Zimbler, S.; Damiano, D.L. Effectiveness of surgical and non-surgical management of crouch gait in cerebral palsy: A systematic review. Gait Posture 2017, 54, 93–105. [Google Scholar] [CrossRef]
  11. González-Islas, J.; Domínguez-Ramírez, O.A.; López-Ortega, O. Biped gait analysis based on forward kinematics modeling using quaternions algebra. Mex. J. Biomed. Eng. RMIB 2020, 41, 56–71. [Google Scholar]
  12. Ravera, E.P.; Beret, J.A.; Riveras, M.; Crespo, M.J.; Shaheen, A.F.; Catalfamo Formento, P.A. Assessment of two musculoskeletal models in children with crouch gait. In Proceedings of the Biomedical Engineering and Computational Intelligence: Proceedings of the World Thematic Conference—Biomedical Engineering and Computational Intelligence, BIOCOM 2018, London, UK, 30–31 October 2018; Springer: Cham, Switzerland, 2020; pp. 13–23. [Google Scholar]
  13. Brandon, S.C.; Thelen, D.G.; Smith, C.R.; Novacheck, T.F.; Schwartz, M.H.; Lenhart, R.L. The coupled effects of crouch gait and patella alta on tibiofemoral and patellofemoral cartilage loading in children. Gait Posture 2018, 60, 181–187. [Google Scholar] [CrossRef] [PubMed]
  14. Guess, T.M.; Razu, S. Musculoskeletal modeling of crouch gait. In Proceedings of the 2018 3rd Biennial South African Biomedical Engineering Conference (SAIBMEC), Stellenbosch, South Africa, 4–6 April 2018; IEEE: Piscataway, NJ, USA, 2018; pp. 1–4. [Google Scholar]
  15. Lu, Y.; Shen, M.; Wang, H.; Wang, X.; van Rechem, C.; Fu, T.; Wei, W. Machine learning for synthetic data generation: A review. arXiv 2023, arXiv:2302.04062. [Google Scholar]
  16. Abufadda, M.; Mansour, K. A survey of synthetic data generation for machine learning. In Proceedings of the 2021 22nd International Arab Conference on Information Technology (ACIT), Muscat, Oman, 21–23 December 2021; IEEE: Piscataway, NJ, USA, 2021; pp. 1–7. [Google Scholar]
  17. Alkhalifah, T.; Wang, H.; Ovcharenko, O. MLReal: Bridging the gap between training on synthetic data and real data applications in machine learning. Artif. Intell. Geosci. 2022, 3, 101–114. [Google Scholar] [CrossRef]
  18. Chen, R.J.; Lu, M.Y.; Chen, T.Y.; Williamson, D.F.; Mahmood, F. Synthetic data in machine learning for medicine and healthcare. Nat. Biomed. Eng. 2021, 5, 493–497. [Google Scholar] [CrossRef]
  19. Rajotte, J.F.; Bergen, R.; Buckeridge, D.L.; El Emam, K.; Ng, R.; Strome, E. Synthetic data as an enabler for machine learning applications in medicine. iScience 2022, 25, 105331. [Google Scholar] [CrossRef]
  20. Tucker, A.; Wang, Z.; Rotalinti, Y.; Myles, P. Generating high-fidelity synthetic patient data for assessing machine learning healthcare software. npj Digit. Med. 2020, 3, 147. [Google Scholar] [CrossRef]
  21. Li, M.; Martin, A.E. Using System Identification and Central Pattern Generators to Create Synthetic Gait Data. IFAC-Pap. 2022, 55, 432–438. [Google Scholar] [CrossRef]
  22. Kim, M.; Hargrove, L.J. Generating synthetic gait patterns based on benchmark datasets for controlling prosthetic legs. J. Neuroeng. Rehabil. 2023, 20, 115. [Google Scholar] [CrossRef]
  23. Wang, Y.; Li, Z.; Wang, X.; Yu, H.; Liao, W.; Arifoglu, D. Human gait data augmentation and trajectory prediction for lower-limb rehabilitation robot control using GANs and attention mechanism. Machines 2021, 9, 367. [Google Scholar] [CrossRef]
  24. Cheng, Y.; Zhang, G.; Huang, S.; Wang, Z.; Cheng, X.; Lin, J. Synthesizing 3d gait data with personalized walking style and appearance. Appl. Sci. 2023, 13, 2084. [Google Scholar] [CrossRef]
  25. Dou, H.; Zhang, W.; Zhang, P.; Zhao, Y.; Li, S.; Qin, Z.; Wu, F.; Dong, L.; Li, X. Versatilegait: A large-scale synthetic gait dataset with fine-grainedattributes and complicated scenarios. arXiv 2021, arXiv:2101.01394. [Google Scholar]
  26. Chavez, J.M.; Tang, W. A vision-based system for stage classification of parkinsonian gait using machine learning and synthetic data. Sensors 2022, 22, 4463. [Google Scholar] [CrossRef] [PubMed]
  27. Peppes, N.; Tsakanikas, P.; Daskalakis, E.; Alexakis, T.; Adamopoulou, E.; Demestichas, K. FoGGAN: Generating realistic Parkinson’s disease freezing of gait data using GANs. Sensors 2023, 23, 8158. [Google Scholar] [CrossRef] [PubMed]
  28. Rani, V.; Kumar, M. Human gait recognition: A systematic review. Multimed. Tools Appl. 2023, 82, 37003–37037. [Google Scholar] [CrossRef]
  29. Munusamy, V.; Senthilkumar, S. Emerging trends in gait recognition based on deep learning: A survey. PeerJ Comput. Sci. 2024, 10, e2158. [Google Scholar] [CrossRef]
  30. Patil, P.; Kumar, K.S.; Gaud, N.; Semwal, V.B. Clinical human gait classification: Extreme learning machine approach. In Proceedings of the 2019 1st International Conference on Advances in Science, Engineering and Robotics Technology (ICASERT), Dhaka, Bangladesh, 3–5 May 2019; IEEE: Piscataway, NJ, USA, 2019; pp. 1–6. [Google Scholar]
  31. Sepas-Moghaddam, A.; Etemad, A. Deep gait recognition: A survey. IEEE Trans. Pattern Anal. Mach. Intell. 2022, 45, 264–284. [Google Scholar] [CrossRef]
  32. Trabassi, D.; Serrao, M.; Varrecchia, T.; Ranavolo, A.; Coppola, G.; De Icco, R.; Tassorelli, C.; Castiglia, S.F. Machine learning approach to support the detection of Parkinson’s disease in IMU-based Gait analysis. Sensors 2022, 22, 3700. [Google Scholar] [CrossRef]
  33. Rozumalski, A.; Schwartz, M.H. Crouch gait patterns defined using k-means cluster analysis are related to underlying clinical pathology. Gait Posture 2009, 30, 155–160. [Google Scholar] [CrossRef]
  34. Adil, S.; Al Jumaily, A.; Anam, K. AW-ELM-based Crouch Gait recognition after ischemic stroke. In Proceedings of the 2016 5th International Conference on Electronic Devices, Systems and Applications (ICEDSA), Ras Al Khaimah, United Arab Emirates, 6–8 December 2016; IEEE: Piscataway, NJ, USA, 2016; pp. 1–4. [Google Scholar]
  35. Semwal, V.B.; Raj, M.; Nandi, G.C. Biometric gait identification based on a multilayer perceptron. Robot. Auton. Syst. 2015, 65, 65–75. [Google Scholar] [CrossRef]
  36. Kokol, P.; Kokol, M.; Zagoranski, S. Machine learning on small size samples: A synthetic knowledge synthesis. Sci. Prog. 2022, 105, 00368504211029777. [Google Scholar] [CrossRef]
  37. Gonzalez-Islas, J.C.; Dominguez-Ramirez, O.A.; Lopez-Ortega, O.; Peña-Ramirez, J.; Ordaz-Oliver, J.P.; Marroquin-Gutierrez, F. Crouch Gait Analysis and Visualization Based on Gait Forward and Inverse Kinematics. Appl. Sci. 2022, 12, 10197. [Google Scholar] [CrossRef]
  38. Harris, E.J.; Khoo, I.; Demircan, E. A survey of human gait-based artificial intelligence applications. Front. Robot. AI 2022, 8, 749274. [Google Scholar] [CrossRef] [PubMed]
  39. Flux, E.; Van der Krogt, M.; Cappa, P.; Petrarca, M.; Desloovere, K.; Harlaar, J. The Human Body Model versus conventional gait models for kinematic gait analysis in children with cerebral palsy. Hum. Mov. Sci. 2020, 70, 102585. [Google Scholar] [CrossRef]
  40. Kainz, H.; Schwartz, M.H. The importance of a consistent workflow to estimate muscle-tendon lengths based on joint angles from the conventional gait model. Gait Posture 2021, 88, 1–9. [Google Scholar] [CrossRef]
  41. Seth, A.; Hicks, J.L.; Uchida, T.K.; Habib, A.; Dembia, C.L.; Dunne, J.J.; Ong, C.F.; DeMers, M.S.; Rajagopal, A.; Millard, M.; et al. OpenSim: Simulating musculoskeletal dynamics and neuromuscular control to study human and animal movement. PLoS Comput. Biol. 2018, 14, e1006223. [Google Scholar] [CrossRef]
  42. Amsaprabhaa, M.; Jane, Y.N.; Nehemiah, H.K. A survey on spatio-temporal framework for kinematic gait analysis in RGB videos. J. Vis. Commun. Image Represent. 2021, 79, 103218. [Google Scholar] [CrossRef]
  43. Breck, E.; Polyzotis, N.; Roy, S.; Whang, S.; Zinkevich, M. Data Validation for Machine Learning. In Proceedings of the MLSys, Stanford, CA, USA, 31 March–2 April 2019. [Google Scholar]
  44. Stine, R.; Foster, D. Statistics for Business: Decision Making and Analysis; Addison-Wesley: Boston, MA, USA, 2011. [Google Scholar]
  45. Gonzalez-Islas, J.C. Analisis y Reconocimiento Automatico de Anomalias de la Marcha Basados en la Cinematica Bípeda del Humano. Ph.D. Thesis, Autonomous University of the Estate of Hidalgo, Pachuca, Mexico, 2023. Available online: http://dgsa.uaeh.edu.mx:8080/bibliotecadigital/handle/231104/2964 (accessed on 13 November 2024).
  46. Taye, M.M. Understanding of machine learning with deep learning: Architectures, workflow, applications and future directions. Computers 2023, 12, 91. [Google Scholar] [CrossRef]
  47. Sethi, D.; Bharti, S.; Prakash, C. A comprehensive survey on gait analysis: History, parameters, approaches, pose estimation, and future work. Artif. Intell. Med. 2022, 129, 102314. [Google Scholar] [CrossRef]
  48. Saboor, A.; Kask, T.; Kuusik, A.; Alam, M.M.; Le Moullec, Y.; Niazi, I.K.; Zoha, A.; Ahmad, R. Latest research trends in gait analysis using wearable sensors and machine learning: A systematic review. IEEE Access 2020, 8, 167830–167864. [Google Scholar] [CrossRef]
  49. Chen, W.; Li, J.; Zhu, S.; Zhang, X.; Men, Y.; Wu, H. Gait recognition for lower limb exoskeletons based on interactive information fusion. Appl. Bionics Biomech. 2022, 2022, 9933018. [Google Scholar] [CrossRef]
  50. Agrawal, A.K.; Chakraborty, G. Neighborhood component analysis to leverage the class label information during feature selection to enhance the damage classification performance. Structures 2023, 57, 105174. [Google Scholar]
  51. Kececi, A.; Yildirak, A.; Ozyazici, K.; Ayluctarhan, G.; Agbulut, O.; Zincir, I. Implementation of machine learning algorithms for gait recognition. Eng. Sci. Technol. Int. J. 2020, 23, 931–937. [Google Scholar] [CrossRef]
  52. Jun, K.; Lee, Y.; Lee, S.; Lee, D.W.; Kim, M.S. Pathological Gait Classification Using Kinect v2 and Gated Recurrent Neural Networks. IEEE Access 2020, 8, 139881–139891. [Google Scholar] [CrossRef]
  53. Rankin, D.; Black, M.; Bond, R.; Wallace, J.; Mulvenna, M.; Epelde, G. Reliability of supervised machine learning using synthetic data in health care: Model to preserve privacy for data sharing. JMIR Med. Inform. 2020, 8, e18910. [Google Scholar] [CrossRef]
  54. Rehman, R.Z.U.; Del Din, S.; Guan, Y.; Yarnall, A.J.; Shi, J.Q.; Rochester, L. Selecting clinically relevant gait characteristics for classification of early Parkinson’s disease: A comprehensive machine learning approach. Sci. Rep. 2019, 9, 17269. [Google Scholar] [CrossRef] [PubMed]
  55. Ali, B.; Bukhari, M.; Maqsood, M.; Moon, J.; Hwang, E.; Rho, S. An End-to-End Gait Recognition System for Covariate Conditions Using Custom Kernel CNN. Heliyon 2024, 10, e32934. [Google Scholar] [CrossRef] [PubMed]
Figure 1. Framework for crouch gait recognition in anatomical space using synthetic gait data.
Figure 1. Framework for crouch gait recognition in anatomical space using synthetic gait data.
Applsci 14 10574 g001
Figure 2. 8 DoF gait kinematics model. (Right) (skeletal model), (left) (open kinematic chain).
Figure 2. 8 DoF gait kinematics model. (Right) (skeletal model), (left) (open kinematic chain).
Applsci 14 10574 g002
Figure 3. Workflow stages of the crouch gait recognition in the anatomical space.
Figure 3. Workflow stages of the crouch gait recognition in the anatomical space.
Applsci 14 10574 g003
Figure 4. Gait joint angles for the 8 movements for the 5 gaits. Normal (green), crouch-1 (blue), crouch-2 (red), crouch-3 (black), and crouch-4 (magenta). Limit between the stance phase and swing phase of the gait cycle (cyan).
Figure 4. Gait joint angles for the 8 movements for the 5 gaits. Normal (green), crouch-1 (blue), crouch-2 (red), crouch-3 (black), and crouch-4 (magenta). Limit between the stance phase and swing phase of the gait cycle (cyan).
Applsci 14 10574 g004
Figure 5. Flowchart of the synthetic gait joint angles generator algorithm.
Figure 5. Flowchart of the synthetic gait joint angles generator algorithm.
Applsci 14 10574 g005
Figure 6. Statistical distribution of the dataset of 5 gait classes for each joint angle.
Figure 6. Statistical distribution of the dataset of 5 gait classes for each joint angle.
Applsci 14 10574 g006
Figure 7. Joint angles of hip flexo-extension ( q 3 R ), knee flexo-extension ( q 4 R ), and ankle dorsi-plantar flexion ( q 5 R ). (First column): joint reference angle (black) and real joint angle (blue); (second column): joint reference angle (black) and synthetic joint angle (blue) and (third column); joint reference angle (black) and average of dataset of this joint angle (blue). Limit between the stance phase and swing phase of the gait cycle (cyan).
Figure 7. Joint angles of hip flexo-extension ( q 3 R ), knee flexo-extension ( q 4 R ), and ankle dorsi-plantar flexion ( q 5 R ). (First column): joint reference angle (black) and real joint angle (blue); (second column): joint reference angle (black) and synthetic joint angle (blue) and (third column); joint reference angle (black) and average of dataset of this joint angle (blue). Limit between the stance phase and swing phase of the gait cycle (cyan).
Applsci 14 10574 g007
Table 1. Maximum and minimum range of movement (ROM) in degrees of the eight joint angles for the 5 gaits.
Table 1. Maximum and minimum range of movement (ROM) in degrees of the eight joint angles for the 5 gaits.
NormalCrouch 1Crouch 2Crouch 3Crouch 4
JAMinMaxMinMaxMinMaxMinMaxMinMax
q 1 −3.572.560.0211.56−29.01−6.14−24.5−2.3128.8645.37
q 2 −4.104.42−8.12−2.27−5.546.05−9.52−0.84−24.92−14.8
q 3 R −16.8225.2618.2954.3614.2342.549.8945.9117.2564.45
q 4 R −58.25−2.27−68.75−57.64−73.46−54.91−47.27−26.25−72.13−37.31
q 5 R −14.0710.7513.0734.16−24.15−8.2−39.07−29.9613.5529.48
q 3 L −16.8225.2629.9058.78−6.9928.55−6.4431.2833.5159.40
q 4 L −58.25−2.27−81.97−55.32−55.86−39.10−39.76−12.06−67.43−31.68
q 5 L −14.0710.756.8929.31−9.5617.96−3.6615.10−1.069.30
Table 2. Degree of the fitted polynomial for each joint function q i of the 5 gaits.
Table 2. Degree of the fitted polynomial for each joint function q i of the 5 gaits.
Gaits q 1 q 2 q 3 R q 4 R q 4 R q 3 L q 4 L q 5 L
N8811131991618
C 1 137101516101716
C 2 11812812141225
C 3 1091199172010
C 4 136111411121517
Table 3. Coefficients of the 8 fitted polynomials related to the joint angles (JA) for a normal gait.
Table 3. Coefficients of the 8 fitted polynomials related to the joint angles (JA) for a normal gait.
Degree q 1 q 2 q 3 R q 4 R q 4 R q 3 L q 4 L q 5 L
02.55−0.6124.54−16.70−4.07−8.23−1.689.83
17.4023.4921.757.22−4.8417.98−483.51236.07
2−492.37−1472.05−1369.65−722.66−7670.96−14,597.6448,218.72−34,696.65
35544.5414,185.4122,725.4924,034.68161,661.15458,524.13−2,253,486.621,504,465.30
4−26,216.01−59,323.86−241,392.15−154,960.95−1,767,801.57−8,046,722.7556,425,115.24−35,800,895.63
561,950.47130,871.891,399,106.93469,784.7112,194,158.1583,268,450.62−862,057,667.9508,490,937
6−77,761.28−158,286.79−4,761,956.61−789,262.96−55,670,796.21−551,813,305.78,772,028,344−4,687,249,980
749,728.9399,084.509,980,083.31754,677.56172,033,407.92,489,659,884 6.2 × 10 10 29,838,603,312
8−12,763.75−25,082.45−13,020,755.88−385,074.79−363,732,411.8−7,945,107,407 3.28 × 10 11 1.36 × 10 11
90010,298,543.9681,518.01525,222,063.218,341,337,557 1.28 × 10 12 4.63 × 10 11
1000−4,520,035.130−508,420,218.7−30,965,724,446 3.83 × 10 12 1.18 × 10 12
1100845,028.270315,197,063.838,256,307,914 8.74 × 10 12 2.27 × 10 12
120000−113,039,758.2−34,210,329,856 1.53 × 10 13 3.33 × 10 12
13000017,830,308.1321,563,269,103 2.07 × 10 13 3.67 × 10 12
1400000−9,089,398,136 2.12 × 10 13 3.00 × 10 12
15000002,300,657,105 1.62 × 10 13 1.75 × 10 12
1600000−264,524,081.1 8.95 × 10 12 6.98 × 10 11
17000000 3.37 × 10 12 1.68 × 10 11
18000000 7.73 × 10 11 1.9 × 10 10
19000000 8.2 × 10 10 0
Table 4. Statistical z-values for the eight joint angles of the 5 gaits of the z test.
Table 4. Statistical z-values for the eight joint angles of the 5 gaits of the z test.
Gaits q 1 q 2 q 3 R q 4 R q 5 R q 3 L q 4 L q 5 L
N , C 1 −12.1212.47−67.1485.51−40.72−68.5580.28−36.012
N , C 2 30.31−0.63−47.4582.7731.49−6.5050.78−3.59
N , C 3 24.359.41−46.2435.2761.57−13.132.44−6.20
N , C 4 −64.4034.69−81.1664.44−38.64−68.1547.96−6.58
C 1 , C 2 43.38−15.8520.50−2.5572.6372.73−33.2032.82
C 1 , C 3 37.29−3.7021.76−46.77102.8864.96−87.6230.17
C 1 , C 4 −53.4426.87−14.59−19.612.090.46−36.3829.8
C 2 , C 3 −5.2211.990.88−51.9229.47−6.78−52.18−2.60
C 2 , C 4 −82.9742.18−24.77−20.03−68.71−63.06−3.05−2.98
C 3 , C 4 −80.6532.53−30.6931.83−100.02−46.9543.71−0.38
Table 5. RMSE for experimental and synthetic joint angles of hip flexo-extension ( q 3 R ), knee flexo-extension ( q 4 R ) and ankle dorsi-plantar flexion ( q 5 R ), where JRA: joint reference angle, EJA: experimental joint angle, JSA: joint synthetic angle, and JSAA: joint synthetic angle average.
Table 5. RMSE for experimental and synthetic joint angles of hip flexo-extension ( q 3 R ), knee flexo-extension ( q 4 R ) and ankle dorsi-plantar flexion ( q 5 R ), where JRA: joint reference angle, EJA: experimental joint angle, JSA: joint synthetic angle, and JSAA: joint synthetic angle average.
JRA-IKEJRA-JSAJRA-JSAA
q 3 R 6.104.760.93
q 4 R 6.113.560.43
q 5 R 5.675.110.51
Table 6. Gait features average, arithmetic mean (AM), standard deviation (STD), root mean square (RMS), and shape factor (SF).
Table 6. Gait features average, arithmetic mean (AM), standard deviation (STD), root mean square (RMS), and shape factor (SF).
NormalCrouch 1Crouch 2Crouch 3Crouch 4
JAAMSTDRMSSFAMSTDRMSSFAMSTDRMSSFAMSTDRMSSFAMSTDRMSSF
q 1 −0.652.282.351.096.223.146.971.11−16.497.5318.121.09−12.707.2514.601.1535.345.0835.701.01
q 2 0.212.322.311.29−6.011.896.301.040.764.094.141.09−5.602.586.161.09−20.153.2920.421.01
q 3 R 8.0215.3517.181.1238.4413.3940.691.0530.089.4631.521.0429.5310.8431.441.0644.7815.1947.261.05
q 4 R −19.9818.3226.991.35−64.362.8664.431.00−62.516.2262.821.00−37.685.0538.011.00−53.259.8554.151.01
q 5 R 1.086.476.501.2523.666.8124.621.04−16.865.0517.591.04−33.241.9533.301.0022.694.1123.051.01
q 3 L 8.0215.3517.181.1246.4710.3547.601.0212.8113.1018.281.1915.5111.8919.511.1545.268.2646.011.01
q 4 L −19.9818.3226.991.35−67.838.2968.341.00−49.294.8249.521.00−21.609.1123.431.08−47.3211.3948.661.02
q 5 L 1.086.476.501.2520.326.1921.231.042.508.558.871.215.076.177.971.274.753.295.771.18
Table 7. Classification performance of 5 gaits using pelvic section with KNN, NB, and DA.
Table 7. Classification performance of 5 gaits using pelvic section with KNN, NB, and DA.
KNNNBDA
MetricNC1C2C3C4NC1C2C3C4NC1C2C3C4
Acc92.6092.2092.2092.8093.4094.4097.0096.8094.2095.6097.8098.2095.8096.696.40
R83.0679.2983.6286.9879.4388.0198.3287.4888.5984.2492.7595.1691.8891.4092.25
SP95.1895.4194.6694.4197.2396.3696.63498.5995.7098.7099.0198.9897.0398.2697.27
P79.9081.9582.5678.5488.8788.5290.2291.6585.4595.3095.6996.4188.6992.3090.41
FM79.8780.1881.8481.7380.7786.8493.8588.8685.6889.0193.9895.6389.8491.5090.79
Table 8. Classification performance of 5 gaits using pelvic section with DT and ANN.
Table 8. Classification performance of 5 gaits using pelvic section with DT and ANN.
DTANN
MetricNC1C2C3C4NC1C2C3C4
Acc92.8093.2093.6095.0093.4095.0095.0095.2096.2097.40
R80.6481.0080.9186.2084.3288.5883.3892.1491.0590.32
SP95.8296.1296.2697.5594.7896.7897.7195.9997.5298.72
P81.2481.3684.1689.5777.2586.3890.3585.1091.0193.80
FM80.6580.1981.8186.9180.05486.8586.0888.0690.6191.58
Table 9. Classification performance of 5 gaits using right lower limb body section with KNN, NB, and DA.
Table 9. Classification performance of 5 gaits using right lower limb body section with KNN, NB, and DA.
KNNNBDA
MetricNC1C2C3C4NC1C2C3C4NC1C2C3C4
Acc99.2099.2099.8098.6099.2099.6099.8099.6099.2099.4099.4096.295.498.698.00
R97.5597.0099.2399.0097.6797.98100.00100.0094.97100.0099.0991.9487.6296.0994.56
SP99.7599.75100.0098.5599.75100.0099.7699.50100.0099.2699.5097.4797.3699.2498.72
P99.0998.75100.0094.4299.09100.0099.0098.04100.0096.9298.0990.5690.0096.8794.95
FM98.2297.7899.6096.4098.2898.9499.4798.9697.3198.3798.5690.9988.3296.4694.55
Table 10. Classification performance of 5 gaits using right lower limb body section with DT and ANN.
Table 10. Classification performance of 5 gaits using right lower limb body section with DT and ANN.
DTANN
MetricNC1C2C3C4NC1C2C3C4
Acc99.4099.0099.2099.0099.4098.0097.0097.5699.4096.20
R98.0997.6398.0099.4198.0496.3399.17100.0099.1798.20
SP99.7499.5099.5098.9299.7798.5296.6397.0999.5297.14
P99.2398.1898.0096.9898.5794.5791.3593.5798.0092.43
FM98.6097.8198.0098.1498.1995.0393.9595.4798.4594.14
Table 11. Classification performance of 5 gaits using left lower limb with KNN, NB, and DA.
Table 11. Classification performance of 5 gaits using left lower limb with KNN, NB, and DA.
KNNNBDA
MetricNC1C2C3C4NC1C2C3C4NC1C2C3C4
Acc99.4098.6099.6098.6099.8098.6099.2098.6099.6098.8099.8099.60100.0099.40100.00
R100.0098.5797.9895.0099.0094.31100.0095.8498.3397.0898.5798.26100.00100.00100.00
SP99.2698.61100.0099.50100.0099.5199.0199.2399.7699.20100.00100.00100.0099.26100.00
P96.9297.06100.0097.14100.0097.1496.3697.2798.8997.60100.00100.00100.0096.90100.00
FM98.3797.7498.9495.8899.4795.5898.0496.5098.5097.1899.2399.09100.0098.36100.00
Table 12. Classification performance of 5 gaits using left lower limb with DT and ANN.
Table 12. Classification performance of 5 gaits using left lower limb with DT and ANN.
DTANN
MetricNC1C2C3C4NC1C2C3C4
Acc98.8099.2099.4099.6099.4098.4097.8098.4098.6098.20
R96.3397.2699.0098.5799.4194.4396.1493.5295.6697.23
SP99.2399.7499.5099.7299.5299.2298.0599.4799.2698.54
P97.2899.1798.0499.3398.0097.4091.3198.4096.9294.14
FM96.6898.1398.4498.8998.5995.6493.5995.6396.0895.31
Table 13. Classification performance average of the 5 gaits for all algorithms and 3 body regions (pelvic, right, and left lower limbs).
Table 13. Classification performance average of the 5 gaits for all algorithms and 3 body regions (pelvic, right, and left lower limbs).
Pelvic ( Q 1 and Q 2 )Right Lower Limb ( Q 3 R , Q 4 R and Q 5 R )Left Lower Limb ( Q 3 L , Q 4 L and Q 5 L )
MetricKNNNBDADTANNKNNNBDADTANNKNNNBDADTANN
Acc92.6495.6096.9693.6095.7699.2099.5297.5299.2097.6399.2098.9699.7699.2898.28
R82.4789.3392.6982.6189.1098.0998.5993.8698.2398.5398.1197.1199.3698.1195.40
SP95.3897.1998.1196.1097.3499.5699.7098.4699.4897.7899.4799.3499.8599.5498.91
P82.3690.2392.7082.7289.3398.2798.7994.0998.1993.9998.2297.4599.3898.3695.64
FM80.8888.8592.3481.9288.6498.0698.6193.7798.1595.4198.0897.1699.3498.1495.25
Disclaimer/Publisher’s Note: The statements, opinions and data contained in all publications are solely those of the individual author(s) and contributor(s) and not of MDPI and/or the editor(s). MDPI and/or the editor(s) disclaim responsibility for any injury to people or property resulting from any ideas, methods, instructions or products referred to in the content.

Share and Cite

MDPI and ACS Style

Gonzalez-Islas, J.-C.; Dominguez-Ramirez, O.A.; Lopez-Ortega, O.; Pena Ramirez, J. Crouch Gait Recognition in the Anatomical Space Using Synthetic Gait Data. Appl. Sci. 2024, 14, 10574. https://doi.org/10.3390/app142210574

AMA Style

Gonzalez-Islas J-C, Dominguez-Ramirez OA, Lopez-Ortega O, Pena Ramirez J. Crouch Gait Recognition in the Anatomical Space Using Synthetic Gait Data. Applied Sciences. 2024; 14(22):10574. https://doi.org/10.3390/app142210574

Chicago/Turabian Style

Gonzalez-Islas, Juan-Carlos, Omar Arturo Dominguez-Ramirez, Omar Lopez-Ortega, and Jonatan Pena Ramirez. 2024. "Crouch Gait Recognition in the Anatomical Space Using Synthetic Gait Data" Applied Sciences 14, no. 22: 10574. https://doi.org/10.3390/app142210574

APA Style

Gonzalez-Islas, J.-C., Dominguez-Ramirez, O. A., Lopez-Ortega, O., & Pena Ramirez, J. (2024). Crouch Gait Recognition in the Anatomical Space Using Synthetic Gait Data. Applied Sciences, 14(22), 10574. https://doi.org/10.3390/app142210574

Note that from the first issue of 2016, this journal uses article numbers instead of page numbers. See further details here.

Article Metrics

Back to TopTop