Next Article in Journal
Earthwork Network Architecture (ENA): Research for Earthwork Quantity Estimation Method Improvement with Large Language Model
Next Article in Special Issue
Mechanical Design and Testing of Mobile Monitoring Units for Security Systems
Previous Article in Journal
Effects of Toe Tube Training on Intrinsic Foot Muscle Strength and Reactive Strength Index in Runners: A Randomized Controlled Trial
Previous Article in Special Issue
FedCrow: Federated-Learning-Based Data Privacy Preservation in Crowd Sensing
 
 
Font Type:
Arial Georgia Verdana
Font Size:
Aa Aa Aa
Line Spacing:
Column Width:
Background:
Article

LIMUNet: A Lightweight Neural Network for Human Activity Recognition Using Smartwatches

1
School of Computer Science and Technology, Xi’an Jiaotong University, Xi’an 710049, China
2
Dongguan Water Group Co., Ltd., Dongguan 523109, China
*
Author to whom correspondence should be addressed.
Appl. Sci. 2024, 14(22), 10515; https://doi.org/10.3390/app142210515
Submission received: 23 August 2024 / Revised: 3 October 2024 / Accepted: 7 November 2024 / Published: 15 November 2024
(This article belongs to the Special Issue Mobile Computing and Intelligent Sensing)

Abstract

The rise of mobile communication, low-power chips, and the Internet of Things has made smartwatches increasingly popular. Equipped with inertial measurement units (IMUs), these devices can recognize user activities through artificial intelligence (AI) analysis of sensor data. However, most existing AI-based activity recognition algorithms require significant computational power and storage, making them unsuitable for low-power devices like smartwatches. Additionally, discrepancies between training data and real-world data often hinder model generalization and performance. To address these challenges, we propose LIMUNet and its smaller variant LIMUNet-Tiny—lightweight neural networks designed for human activity recognition on smartwatches. LIMUNet utilizes depthwise separable convolutions and residual blocks to reduce computational complexity and parameter count. It also incorporates a dual attention mechanism specifically tailored to smartwatch sensor data, improving feature extraction without sacrificing efficiency. Experiments on the PAMAP2 and LIMU datasets show that the LIMUNet improves recognition accuracy by 2.9% over leading lightweight models while reducing parameters by 88.3% and computational load by 58.4%. Compared to other state-of-the-art models, LIMUNet achieves a 9.6% increase in accuracy, with a 60% reduction in parameters and a 57.8% reduction in computational cost. LIMUNet-Tiny further reduces parameters by 75% and computational load by 80%, making it even more suitable for resource-constrained devices.

1. Introduction

In recent years, wearable devices have gradually entered the public’s attention, especially in the category of wearable smartwatches, which has changed the habits of many users. The popularity of smartphones provides a powerful connectivity platform for smartwatches, allowing them to synchronize data [1], receive notifications, control music, and more. At the same time, smartphones can also analyze the data collected by smartwatch sensors [2], enhancing the data processing capabilities of wearable devices. Smartwatches, as the devices closest to the body, are more convenient to carry than mobile phones, allowing users to wear them for extended periods, which facilitates the long-term monitoring of human data. With the rapid development of smart healthcare [3], virtual reality [4], and smart home fields [5] over the past few years, human activity recognition (HAR) has received widespread attention [6], and these achievements have greatly promoted the development of research in related fields [7].
Human activity recognition technology can accurately capture and identify an individual’s activity status by analyzing complex patterns of human activities. This technology enables computers to conduct detailed analyses of human activities and utilizes the classification of these activities as an interface for human–computer interaction, thereby optimizing user experience and device functionality. Moreover, the patterns of human activity can also reflect an individual’s health status to a certain extent. By collecting and analyzing daily activity data, this technology can not only reveal the distribution of activities in a person’s life but also provides suggestions for improving lifestyle habits based on these data. Such applications are of significant importance for promoting health management and enhancing quality of life.
The main methods for human activity recognition at this stage include visual methods represented by video streams and images, wireless sensing methods represented by Wi-Fi signals and millimeter-wave radar, and wearable device collection methods represented by IMU (Inertial Measurement Unit) sensors. The data source chosen in this paper is the built-in IMU sensor of smartwatches, which belongs to the data collection method of wearable devices. Compared to the other two methods, using wearable devices can eliminate environmental constraints, as there is no need to deploy cameras in a specific environment in advance, nor is there a limitation to conducting activities in a specific setting; Moreover, when there is a lack of light in the environment, the data collection method of wearable devices can still function normally, while the effectiveness of visual methods will be significantly reduced. The cost of sensor devices is relatively low, and the data transmission volume is also small. In terms of privacy protection, the image information collected by visual methods contains a lot of information unrelated to human behavior, which poses a certain threat to user privacy. In addition, when wearable devices are combined with mobile phones, user data can only circulate and be processed on private devices without going through cloud servers, thus protecting user information security. In recent years, research based on data collected from wearable devices has gradually increased, but many studies rely on specific devices that have not yet encountered large-scale commercial scenarios. As a wearable device that has been validated by the market, smartwatches are favored by users of all age groups, making the use of smartwatches for human activity recognition a possibility for large-scale commercial applications. Smartwatches, as a type of wearable device worn at a single location, have a lower data volume and greater noise compared to wearable devices worn at multiple locations, which poses high demands on activity recognition algorithms. At the same time, performing computations at the edge also encounters issues such as excessive algorithm complexity and data distribution discrepancies.
Several years ago, traditional machine learning methods, such as decision trees, random forests, and support vector machines, were widely applied in the field of human activity recognition, effectively promoting research and development in this area. These methods provided new avenues for understanding complex behaviors by analyzing human activity patterns. However, they often rely on the expertise of domain experts and manual feature extraction, which not only has high technical requirements but is also costly and prone to human error, affecting recognition accuracy. These limitations are particularly evident when dealing with daily human-activity-recognition tasks, especially when faced with complex or irregular behavior data. In recent years, with the rapid development of technology, automatic learning [8,9], feature selection [10,11,12] and feature extraction [13,14] techniques have become research hotspots [15]. For example, new methods such as deep learning have reduced the reliance on specialized knowledge and improved the efficiency and accuracy of feature extraction. These advancements enable machine learning models to learn and recognize specific patterns more effectively from complex data, improving the performance of human activity recognition tasks while also reducing research and development costs and the error rate of recognition.
Many achievements in human activity recognition have emerged based on deep learning methods, but most of these works are difficult to deploy in practical devices. At the current stage, most research on human activity recognition using smartwatches faces the challenge of lightweight deployment, as many works in activity recognition did not consider lightweight design when developing neural networks. Although large and deep neural networks generally possess stronger recognition capabilities, the design of such algorithms leads to a massive increase in parameters and computational load. In general, smartwatches require lightweight algorithms to ensure the real-time nature of the recognition process and the operability of the recognition system.
To address this challenge, this study adopts lightweight depthwise separable convolution as the basic unit, combined with residual modules and dual attention mechanisms to enhance the model’s feature extraction capabilities. Specifically, the contributions of this paper can be summarized in the following three points:
  • Application of the dual attention mechanism: This paper innovatively combines the channel attention mechanism and the sensor attention mechanism, enabling the neural network to perform independent feature extraction and enhancement at both the channel and sensor levels. This dual attention mechanism not only enhances the model’s ability to focus on important features but also improves the network’s adaptability and generalization ability
  • Lightweight depthwise separable convolution structure: Depthwise separable convolution is employed to replace traditional convolution, significantly reducing the model’s parameter count and computational complexity. At the same time, a residual bottleneck layer is introduced, which first expands the number of channels and then performs convolution processing, further enhancing the feature extraction capability and the lightweight nature of the model. This design is particularly suitable for deployment on resource-constrained devices such as smartwatches.
  • Design of user behavior recognition algorithms for smartwatches: The proposed LIMUNet and its simplified version LIMUNet-Tiny are specifically optimized for user behavior recognition scenarios on smartwatches. By achieving efficient behavior recognition on a single IMU data point, it demonstrates the ability to significantly reduce computational and storage resource usage while maintaining recognition accuracy. This provides a new solution for deploying complex deep learning models on embedded systems and mobile devices.
The remainder of this paper is organized as follows: Section 2 reviews the current research status both domestically and internationally, Section 3 details the design and deployment schemes of LIMUNet and LIMUNet-Tiny, Section 4 conducts comparative experimental analysis with SOTA methods, and finally, Section 5 provides a summary and outlook.

2. Related Works

In this section, we will briefly describe the current research status of human activity recognition (HAR) using both traditional solutions and deep learning solutions, model lightweight, and the few-shot learning strategy.

2.1. Traditional Solutions for HAR

In the early stages, research on human activity recognition based on wearable devices focused on the field of machine learning. Researchers selected feature information such as maximum, minimum, and peak values from the signals through experience and then performed activity recognition using traditional machine learning methods such as decision trees, support vector machines, and random forests. Anjum et al. [16] monitored the physical state of user behavior using the built-in IMU of smartphones, employing methods such as KNN, Naive Bayes, Support Vector Machine, and Decision Tree for feature classification. Balli et al. [17] conducted feature extraction on IMU data collected from smartwatches worn by the elderly and infants, combining principal component analysis and a hybrid method of random forests to achieve efficient fall detection. Traditional machine learning methods can be applied in the field of human activity recognition, but they often require manual labeling based on expert experience, which can lead to significant costs and difficulties in development and validation in increasingly broad application scenarios. Therefore, in recent years, researchers have focused more on the feasibility of deep learning methods in the context of activity recognition.

2.2. Deep Learning Solutions for HAR

Human activity recognition, as a means of human–computer interaction, holds special significance for some future intelligent applications. The introduction of deep learning methods has not only achieved strong results in fields such as speech recognition, image recognition, and object detection but has also demonstrated excellent recognition capabilities in the field of human activity recognition. In recent years, the introduction of convolutional neural networks (CNNs), Long Short-Term Memory (LSTM) Networks, and attention mechanisms has provided human activity recognition tasks with more powerful feature extraction capabilities, thereby enabling algorithms to achieve better recognition performance. Based on the practical application scenarios of this study, the research on human activity recognition based on deep learning is divided into two categories: traditional models and lightweight models.
Zeng et al. [18] proposed a feature extraction method based on convolutional neural networks for human activity recognition tasks, which can extract local features from sensor time series, resulting in better recognition performance than traditional handcrafted feature extraction methods. Jiang et al. [19] combined the time series data from accelerometers and gyroscopes into a behavior map and performed feature extraction using a two-dimensional convolutional neural network. Luo et al. [20] introduced a binarized convolutional neural network, which can be used for real-time human activity recognition. In this network, dilated convolution is used to expand the receptive field and enhance its ability to capture time series features. This work can reduce the recognition latency in resource-constrained mobile devices, thereby expanding the application scenarios of activity recognition. In addition, numerous CNN architectures addressing the problem of human activity recognition have been proposed in recent years, achieving strong results in their respective fields [21,22].
IMU data are essentially a type of time series data, so some neural network models that perform well on time series data are also applicable to the scenario of human activity recognition. Ma et al. [23] proposed a novel deep model called AttnSense for multimodal human activity recognition tasks, which combines attention modules with convolutional neural networks and gated recurrent units (GRUs) to highlight more important sensor modalities. In addition, attention-based deep neural network models can enhance the interpretability of neural network model behaviors. Ullah et al. [24] proposed a multi-layer stacked LSTM network structure that can perform feature extraction on IMU time series data collected from smartphones, achieving an accuracy of 93.13% on the UCI dataset. Murad et al. [25] introduced a deep recurrent neural network (DRCNN) based on LSTM, which implemented a bidirectional recurrent neural network for activity recognition and was capable of recognizing variable-length window data of human activities. Rivera et al. [26] designed a deep neural network based on RNN for the activity recognition scenario using a single IMU sensor located on the wrist, achieving results comparable to those in multi-sensor scenarios.
With the development of deep learning technology, some researchers tend to adopt hybrid models that combine various types of network structures for activity recognition. Zhao et al. [27] chose to combine residual modules with bidirectional LSTM in a hybrid model, where the bidirectional LSTM module can effectively consider both past and future contextual information, while ResNet can avoid the gradient vanishing problem caused by overly deep networks. Zhang et al. [7] combined reinforcement learning with LSTM, enhancing the model’s multimodal perception capabilities.
In general, using wearable devices for activity recognition often involves multiple specially designed sensors that are worn on specific parts of the human body, thereby sensing the relative motion of different parts of the body. This type of wearable device has richer data but is difficult to commercialize on a large scale, so many behavior recognition models based on smartwatches have been proposed. Laput et al. [28] designed 25 types of hand gestures on smartwatches and used convolutional neural networks to recognize these gestures. Bhattacharya et al. [29] proposed a multimodal behavior recognition model that combines IMU and microphone data from smartwatches, which can leverage the advantages of both modalities to achieve better behavior recognition performance in specific actions than using either modality alone.
Complex neural networks, while possessing strong feature extraction capabilities, also face the issue of high resource consumption. On edge devices such as smartwatches, memory and computational resources are somewhat scarce, and complex neural networks can negatively impact the usability and real-time performance of algorithms.

2.3. Lightweight Models

In existing research, most deep CNN models are large-scale and computationally intensive. Due to high computational resource demands, many high-performing models have significant limitations in real-world scenarios, especially in the edge intelligence domain with widespread application needs, such as smartwatches and smartphones. Therefore, the lightweight model is crucial in the problem of human activity recognition (HAR) based on smartwatches, as edge devices are characterized by weak computational power and limited storage space.
Especially in the field of deep learning, lightweight algorithms are designed to operate in resource-constrained environments by reducing the parameter count and computational complexity of deep neural networks, aiming to maintain high performance while minimizing storage space and computational cost, making them particularly suitable for mobile devices, embedded systems, and other scenarios where resources are limited.
Current cutting-edge research on lightweight convolution primarily focuses on the visual domain, with the Inception series of GoogLeNet continuously making progress in improving accuracy and computational complexity [30,31,32]. In Inception v1 [30], the authors proposed a convolutional neural network called Inception, which combines the convolution results of different convolution kernels, allowing a single-layer convolutional neural network to produce results processed by convolution kernels of various sizes. This method enables the network to learn which type of convolution can yield optimal results. By employing pointwise convolution, Inception can reduce the number of channels, thereby decreasing the parameter count. In Inception v2 [31], in order to further reduce the parameter count and computational complexity of Inception, a convolution kernel is decomposed into one and two convolutions. Xception [32] uses depthwise separable convolution to reduce the redundancy of parameters in convolutional neural networks, thereby enhancing the lightweight nature of the Inception network in terms of parameter count and computational complexity. Squeezenet [25] achieves significant compression of both computational complexity and parameter count by using pointwise convolution to reduce the number of channels. ResNeXt [26] combines ResNet [33] with Inception [30] and employs grouped convolution to achieve lightweight modeling, significantly reducing the number of parameters. MobileNet [34] also applies depthwise separable convolution, which decomposes standard convolution into depthwise convolution and pointwise convolution, significantly reducing computational complexity. In order to reduce the computational complexity of pointwise convolution, ShuffleNet [35] introduced grouped convolution. In addition, MobileNetV 2 [36] proposed the residual bottleneck layer, which combines depthwise separable convolution with ResNet, effectively avoiding the gradient vanishing problem while enhancing the feature extraction capability of the neural network.
Compared to visual systems, the development of lightweight design for human activity recognition systems is relatively slower. Currently, there are some studies on lightweight neural networks in the field of human activity recognition based on wearable devices. Han et al. [37] adopted the idea of grouped convolution, dividing the filters within specific convolution layers into two groups of different sizes. The two groups of filters complement each other, enhancing the reception range of the sensor signal while also reducing the parameter count and computational complexity. GTSNet [38] proposed the Grouped Temporal Shift (GTS) module, which reduces the number of network connections by grouping the channels of the signal and adds shifts in the temporal direction to enhance feature extraction capability, thereby achieving the lightweighting of the network.
Existing lightweight networks in the field of activity recognition often adopt the method of grouped convolution. This method divides the channels of the feature maps of deep neural networks into multiple groups, thereby reducing the complexity of the computation. Although depthwise separable convolution can achieve maximum lightweighting, it has a significant impact on recognition accuracy as it cannot enhance the feature extraction capability of the algorithm while achieving model lightweighting. Therefore, improving the feature extraction capability of depthwise separable convolution without significantly increasing model complexity should be the current research direction.

2.4. Few-Shot Learning Model

Current research shows that deep learning has achieved excellent results in tasks such as computer vision and natural language processing, but most of these studies rely on a large amount of training data. In practical application scenarios, especially in the case of using smartwatches for human activity recognition, it is clearly impractical to collect a large amount of data to train a new model when new users use the smartwatch or when new behavior patterns need to be recognized. This has led to the emergence of the research direction of few-shot learning.
Data augmentation is a common few-shot learning method that expands the size of the dataset by enhancing limited data, thereby improving the generalization ability of deep learning algorithms. Methods of data augmentation are widely applied in visual methods, such as rotating images at different angles, adding noise to images, and changing image colors [39]. Similar methods can also be applied to time series data represented by audio data, IMU data, etc., specifically using techniques such as inversion, scaling, windowing, and adding noise for data augmentation. Xu et al. [40] applied data augmentation to the problem of human activity recognition based on wearable devices and innovatively proposed a physics-based data augmentation method, which allows the transformations of data augmentation to be mapped to a specific physical state transformation, thereby improving the quality of the data obtained through data augmentation.
In the field of machine learning, transfer learning is an effective technique for addressing small sample problems, particularly excelling in the application area of activity recognition. Specifically, transfer learning can fully utilize models that have been trained on source domains (such as large datasets) and adapt these models to new target domains with fewer samples through fine-tuning. This approach significantly reduces the dependence on large amounts of labeled data, accelerates the training efficiency of the model, and improves recognition accuracy. FSHAR [41] adopts a fine-tuning approach to transfer models trained on source domain data to the target domain, achieving small sample activity recognition. However, the pre-trained models of transfer learning are generally fitted to the source domain data, making it difficult to quickly transfer to the target domain in cases of very few samples in activity recognition.
In recent years, methods of meta-learning have often been used to achieve few-shot learning [42,43,44,45]. Meta-learning learns a general classification method from a majority of data and then performs few training iterations on tasks composed of a small number of samples to achieve usable classification results. Since meta-learning methods are not limited to a specific task during the learning phase, but are trained on randomly sampled tasks to obtain a general classification method, they exhibit better generalization capabilities. Existing research on meta-learning is generally divided into three categories: model-based methods, metric learning-based methods, and optimization-based methods. Wijayasingha et al. [46] adopted the prototype network, a metric-based meta-learning approach, to achieve more effective few-shot activity recognition.

3. Materials and Methods

This section outlines the data preprocessing steps, the design of the LIMUNet algorithm, and the strategies employed for lightweight model deployment, focusing on efficient feature extraction and optimization for resource-constrained environments.

3.1. Data Preprocessing

In order to train and validate the human activity recognition algorithm proposed in this paper, this section performs operations such as splitting, filtering, and normalization on the dataset. By selecting two heterogeneous datasets and conducting a series of preprocessing operations, the diversity and reliability of the dataset are enhanced, which can better demonstrate the universality of the activity recognition algorithm.

3.1.1. Data Splitting

In this paper, whether it is the PAMAP2 open-source dataset or the LIMU dataset developed in this research, the data are collected by users wearing sensing devices for a certain period while performing a series of repetitive actions. The characteristics of the data contained in these datasets include significant length inconsistency, where different segments of data may correspond to different behavior patterns performed by the user, and these patterns may overlap and intertwine within the data. It is precisely because of this peculiarity of the data that they are not directly suitable as input data for neural network models without appropriate processing and transformation. This is because neural networks typically require input data to have a certain format and structure in order to ensure that the model can effectively learn and extract features. However, due to the aforementioned length variability in the data within the dataset and the presence of complex overlapping behavior patterns, directly using these data for training and predicting with neural networks may lead to poor model performance or even prevent the model from correctly learning and recognizing different behavior patterns. Therefore, in the face of such special datasets, specific data preprocessing and feature extraction methods need to be adopted to make the data more suitable for the requirements of the neural network model, thereby improving the model’s learning efficiency and prediction accuracy.
In order to obtain a data format suitable for input into the neural network, this paper uses a sliding window to segment the data. This method is based on an initial fixed-size window, which slides in one direction with a fixed step size, and at each slide, a segment of the data of the window size is captured.
In the PAMAP2 dataset, the IMU has a sampling rate of 100 Hz, meaning 100 data points are sampled per second. To ensure a relatively short inference time, this paper sets the sliding window to 171 data points (1.71 s), while the sliding distance is set to 85 data points (0.85 s). The configuration of the sliding window allows this paper to capture important features of behaviors without excessively increasing the computational burden. When all data points within the sliding window correspond to the same type of behavior, the window is considered a data example of that specific behavior and is added to the sample set S. This strategy helps control the size of the dataset without sacrificing the diversity of the data. If the window contains different types of behavior data, this window is discarded to ensure that the model’s training is not confused. This helps to improve the accuracy and reliability of the model, as only data of the same type are used to train and test the model.

3.1.2. Data Filtering

In the usage scenarios of smartwatches such as home life, outdoor sports, and daily work, the built-in IMU of the smartwatch may produce noise due to factors such as environmental magnetic fields, external environmental interference, and hardware device accuracy, thereby affecting the effectiveness of the user behavior recognition algorithm. In multi-sensor user behavior recognition systems, using data generated by multiple wearable IMUs can mitigate the impact of noise to some extent. However, in daily scenarios where smartwatches serve as data collection devices and only a single IMU generates data, noise can significantly impact the user behavior recognition algorithm. Therefore, data should be filtered in single-sensor systems.
There are various types of filtering algorithms, including median filtering, low-pass filtering, and Kalman filtering. Previous studies have shown that the frequency of common human actions generally ranges from 1 to 15 Hz, which belongs to the low-frequency behavior category and can be filtered using a low-pass filter on IMU signals. The Butterworth filter is a classic, easy-to-use filter that can be employed as a low-pass filter to remove high-frequency noise. The characteristic of this filter is that within the passband, its frequency response curve exhibits a maximally flat characteristic, while in the stopband, its frequency response curve shows a gradual decline to zero. Moreover, the rate of amplitude attenuation in the stopband is proportional to the order of the filter. The frequency response curve of this filter has very excellent characteristics, so it has been widely used in the field of signal processing.
The Butterworth filter can be represented by Equation (1):
| H ( ω ) | 2 = 1 1 + ω ω c 2 N = 1 1 + ε 2 ω ω p 2 N
where N—order of the filter; ω c —cut-off frequency; ω p —edge frequency of the passband.
In the scenario designed in this paper, the IMU sampling rate of the smartwatch is set to 100 Hz to achieve high-precision behavior perception. To retain motion information below 15 Hz, the cut-off frequency of the filter is set to 20 Hz with an order of 4.
After segmenting the data from the PAMAP 2 dataset, three accelerometer data frames from a random sensor are filtered, and the signal waveforms before and after filtering are shown in Figure 1.
By comparing the morphology of the signal frames before and after filtering, it can be verified that the Butterworth filter designed in this paper has a good smoothing effect on the signal, while not losing low-frequency motion information, making it very suitable for the application scenario of user behavior recognition.

3.1.3. Data Normalization

Generally, when the human body is performing a certain static behavior, the data collected by the IMU sensor are in a stable state. However, during some dynamic behaviors, the amplitude of the signal will change with the type of action. Although the variation in amplitude is somewhat correlated with the type of behavior, the amplitude of the signal is also highly related to the subject’s body type, range of motion, and frequency of movement. Even for the same person, executing the same action multiple times can result in completely different amplitude representations. Therefore, it is necessary to normalize the IMU data, mapping the value ranges of all features to a similar scale to prevent the neural network from overly focusing on certain irrelevant features.
The data collected from the IMU include three types of data: accelerometer, gyroscope, and magnetometer. Different types of data have different units and thus different data ranges, and the variation in data ranges can negatively impact the performance of the neural network to some extent [30]. By normalizing the data collected from the IMU, these differences can be eliminated, making it easier for the neural network to learn the relationships between features.
There are errors present when the IMU sensor collects data, and these errors manifest as data offsets at certain moments. Normalization helps to reduce the offsets in sensor data, allowing the neural network to better learn the true distribution of the data. The nomalization method is shown in Equation (2).
After normalization is applied to the data, the model can be more robust against noise and offsets in the input data. For real-time sensor data like IMU data, the uncertainty can be better handled by the neural network. In addition, normalization also helps to avoid gradient explosion and gradient vanishing, making effective gradient propagation easier during the training of deep neural networks.
After applying normalization to the data, the model can be more robust against noise and offsets in the input data. For real-time sensor data like IMU data, the uncertainty can be better handled by the neural network. In addition, normalization also helps to avoid gradient explosion and gradient vanishing, making effective gradient propagation easier during the training of deep neural networks.
y ^ = y μ σ
where y ^ , y, μ , and σ denote normalized IMU data, original IMU data, mean of the original IMU data, and standard deviation of the original IMU data, respectively.

3.2. LIMUNet Algorithm Design

In the context of daily wearable smartwatches, this paper proposes the LIMUNet lightweight algorithm for user behavior recognition. The specific structure of LIMUNet is shown in Figure 2. The different color lines in the input block represent the changes in acceleration, gyroscope, and magnetometer in different directions. The LIMUNet algorithm includes a data preprocessing module, a conventional convolution module, a LIMUNet lightweight feature extraction module, and finally a classification module.
In order to further lightweight the activity recognition model based on the LIMUNet network architecture, this paper also proposes LIMUNet-Tiny, which reduces the model parameter count by an additional 75% and the computational complexity by an additional 80% after removing the LIMUNet module 1 from LIMUNet.
The core of the LIMUNet network is the LIMUNet module, which consists of two main parts: the lightweight convolution module and the dual attention mechanism module. The lightweight convolution module reduces the parameter count and computational complexity of the convolutional neural network through lightweight design, without causing a significant decline in activity recognition accuracy. The dual attention mechanism module significantly enhances the feature extraction capability of the neural network through a specially designed attention mechanism for IMU data, without noticeably increasing model complexity, thus achieving better activity recognition performance than non-lightweight models. The following subsections of this section provide a detailed description and analysis of the specific module designs in LIMUNet.

3.2.1. Lightweight Convolution Structure

This paper employs convolutional neural networks for feature extraction from sensor data, a network architecture that has achieved great success in visual domain applications and has driven the development of multiple research areas in artificial intelligence in recent years.
Convolutional neural networks possess strong capabilities in feature extraction, allowing them to capture spatial dependencies in data and alter the dimensions of the data. To reduce computational complexity and better deploy deep neural networks on edge devices, this paper adopts depthwise separable convolution [34] to replace traditional convolutional neural networks.
In some neural networks with time series as input, such as in the research on multi-user sound direction localization using the time–frequency map of microphone signals [30], the authors choose to use only one-dimensional convolution kernels to convolve the time dimension, while keeping the frequency dimension data unchanged in the position on the feature map. The IMU contains multiple sensors that can collect multi-channel data. At the same sampling point, the data collected by different sensors are independent of each other, and the information from each sensor may contain more behavior-related feature information at a certain moment. If two-dimensional convolution is used to perform feature extraction simultaneously in the time dimension and data channel dimension, it will cause the channel data with high information content to be overwhelmed by data from other channels. Therefore, in this study, a one-dimensional convolution kernel is also used to convolve the time dimension.
In the field of human activity recognition, current cutting-edge research based on lightweight models has achieved good results. Han et al. [31] designed a grouped convolutional neural network, which divides the channels of the feature map into two groups, reducing the model’s parameter count and computational complexity. Although this method can effectively lighten the model, its degree of lightweighting is relatively low and does not achieve an order-of-magnitude reduction in parameter count and computational complexity. This paper adopts depthwise separable convolution as the basic module of LIMUNet and further lightweights the model.
In grouped convolution, the input and output channels are divided into groups, with each group responsible for a set of input and output channels. To compare the computational complexity of grouped convolution and depthwise separable convolution, Equation (3) shows the ratio of computational complexity between depthwise convolution and grouped convolution.
R c = h i × w i × d i × k m × k n h i × w i × d i × d j × k m × k n G = G d j
where h i , w i , d i , d j , k m , k n , and G denote the number of rows in the input tensor, the number of columns in the input tensor, the depth of the input tensor, the depth of the output tensor, the length of the convolution kernel, the width of the convolution kernel, and the number of groups, respectively.
In general, the number of groups in grouped convolution does not exceed the number of output channels; thus, depthwise separable convolution is more lightweight. Moreover, due to the independence of channels among different groups in grouped convolution, it is not conducive to the extraction of behavioral features.

3.2.2. The Design Details of CNN Structure and Residual Bottleneck Layer

The core of the network consists of six convolutional blocks, each designed to extract features from the input data. Each block follows the same structure: 2D Convolution (Conv2D) extracts spatial features from the input with a kernel size of (6, 1), which performs convolution over the time-series dimension while keeping the sensor channel dimension fixed. The stride for each convolution is set to (2, 1) to downsample the time-series length but retain the sensor channel structure. Batch normalization normalizes the output of the convolution to ensure stable training and prevent vanishing/exploding gradients. Dropout: A 0.1 dropout rate is applied to prevent overfitting by randomly deactivating a portion of the neurons during training. The convolutional blocks incrementally increase the number of output channels to allow the network to learn more complex feature representations as data progress through the network. The number of channels in each block is progressively doubled to enhance feature extraction capacity. The detailed design of each convolutional block is as follows:
  • Block 1: 8 filters, kernel size (6, 1), stride (2, 1);
  • Block 2: 64 filters, kernel size (6, 1), stride (2, 1);
  • Block 3: 128 filters, kernel size (6, 1), stride (2, 1);
  • Block 4: 256 filters, kernel size (6, 1), stride (2, 1);
  • Block 5: 512 filters, kernel size (6, 1), stride (2, 1);
  • Block 6: 1024 filters, kernel size (6, 1), stride (2, 1).
Each block reduces the temporal dimension of the input data while increasing the depth of the feature maps, allowing the model to progressively capture more abstract and high-level representations of the time-series data.
In addition to depthwise separable convolution, this paper also adopts the residual bottleneck layer as a network model, which not only further lightens the model but also enhances the effectiveness of feature extraction [7]. The residual bottleneck layer is developed from the bottleneck layer in the ResNet algorithm. In ResNet’s Bottleneck Layer, a compression-convolution–expansion method is adopted, where pointwise convolution with a size reduces the dimensionality of the channels, followed by convolution using depthwise separable convolution kernels with a size, and finally, pointwise convolution with a size is used for channel expansion, restoring the original number of channels, thereby reducing the computational complexity during convolution and improving the operational efficiency of the residual module [26]. However, this approach reduces the number of channels before convolution, which can affect feature extraction, leading to a decrease in the number of extractable features and negatively impacting the model’s recognition performance. The residual bottleneck layer adopts an approach opposite to that of the bottleneck layer, first expanding the number of channels in the input feature map through pointwise convolution and then performing feature extraction using depthwise separable convolution on the feature map with a larger number of channels, ultimately merging the channels of the feature map with convolution kernels to reduce the number of channels. Using the residual bottleneck layer can result in more features being obtained compared to a regular bottleneck layer, which can improve the accuracy of human perception algorithms. The structure of the residual bottleneck layer adopted in this paper is shown in Figure 3. To adapt to the data structure of the IMU information collected by smartwatches, improvements have been made to the residual bottleneck layer in this paper. In the feature extraction phase, this paper adopts a depth-first convolution structure to prevent the disruption of the independence between different channel data.

3.2.3. Lightweight IMU Feature Extraction Method Based on Dual Attention Mechanism

The attention mechanism can reduce relevant interference items by discarding the practice of incorporating all information into the reference range, instead focusing on information that is more valuable to the task. The attention mechanism, as a relatively independent network module, can also be well integrated into the previously designed lightweight neural network.
In the scenario of user behavior recognition based on smartwatches, the diversity of input data is strong, and the model faces significant challenges with new users, new activity areas, and new devices. The feature extraction capability of convolutional neural networks is very strong, but the weights of each channel and spatial region in the trained network are fixed. When the input data change, the representational capability of each channel and spatial region is the same, which limits the model’s generalization ability.
This paper combines the different representational capabilities of multi-channel sensor data and employs an attention mechanism for sensor feature extraction and fusion. By learning the weights that influence the classification results for each channel and each type of sensor data, the network can perform fine-grained enhancement and suppression at the neuron level when processing specific inputs. This helps the neural network to focus more on the parts beneficial for the user behavior recognition task, reducing sensitivity to redundant or irrelevant information and improving the model’s adaptability.
To improve the generalization ability of the residual bottleneck layer, this study adds a channel attention module [31]. This module learns to obtain the attention scores for each channel and then uses these scores as weights to enhance and suppress the channels of the feature map. The specific implementation of the channel attention mechanism is shown in Figure 4.
In the channel attention mechanism, to calculate the attention for each input channel, it is first necessary to compress the global spatial information of the feature map into channel descriptors. This paper uses an average pooling layer for compression, and the calculation method is shown in Equation (4):
z c = F s q u c = 1 W × H i = 1 H j = 1 W u c ( i , j )
where C , F s q , u c , W , and H denote the channel number of the feature map, the average pooling compression function, the input of the neural network at this layer, the width of the feature map, and the height of the feature map, respectively.
In order to obtain the attention information of each channel in the channel descriptor, it is necessary to fully capture the dependencies between channels. The input will be fed into a single-layer fully connected network, and in order to reduce computational complexity and increase operational speed, the ReLU functionzz [47] is used as the activation function, making it more suitable for lightweight requirements. Through the processing of the fully connected network, channel attention scores can be obtained, as shown in Equation (5):
s 1 = F ex ( z , W ) = δ ( W z + b )
where δ , W , and b denote the ReLU function, the weights of the fully connected neural network, and the biases of the fully connected neural network, respectively.
Finally, applying the attention scores to each channel yields the feature map processed by the channel attention mechanism, calculated as shown in Equation (6):
x c = F scale u c , s 1 c = u c × s 1 c
In recent cutting-edge research on lightweight activity recognition, lightweight convolutional neural networks apply the same weights for feature extraction across all sensor data, but this approach overlooks the specificity of IMU sensors. Generally, an IMU includes three sensors, capable of collecting nine sets of data, which are three sets of accelerometer data, three sets of gyroscope data, and three sets of magnetometer data. The nine sets of sensor data are independent of each other, thus requiring specific methods to find the correlation information between different sensors, while not compromising the independence of the sensor data. In previous user behavior recognition schemes, these nine sets of sensor data were directly combined into a large tensor and then directly input into the classification module after feature extraction [31]. In LIMUNet, the convolutional neural networks used for feature extraction employ one-dimensional convolution kernels, meaning they only perform convolution on the time dimension of the data, while the different sensor data are in a parallel relationship during the feature extraction phase. The data from the accelerometer, gyroscope, and magnetometer do not belong to the same modality, so processing these types of sensor data in the same way is inefficient. The data collected by the magnetometer is affected by ferromagnetic interference, the accelerometer is influenced by gravity in addition to human behavior, and the gyroscope may experience drift issues; these situations can all reduce the reliability of the data collected by the sensors [47]. Among the various categories of behavior, actions like walking generally only require the participation of the accelerometer, and data from other modalities do not enhance the recognition of this behavior; instead, the presence of noise introduces uncertainty. In order to address this issue, this paper proposes a multi-sensor feature extraction method based on the attention mechanism, as shown in Figure 5. This method enhances or suppresses the feature maps of each sensor’s data using the attention mechanism, thereby improving the capability of feature extraction for IMU data.
The design of the dual attention mechanism is of great significance for the independent feature extraction enhancement at the channel level and sensor level of the neural network model. Compared to methods that independently adopt a single attention mechanism, the dual attention module enhances the weight control of the feature map from one-dimensional to two-dimensional, thereby significantly improving feature extraction capability. Due to the computational process of the dual attention mechanism primarily involving fully connected layers and feature map weighting, both of which operate on the already compressed one-dimensional feature map, the impact on computational complexity and parameter count is minimal, ensuring that the model retains its lightweight characteristics.

3.3. Model Lightweight Deployment

Due to the limited computational capability and small memory space of embedded systems, models trained on servers often cannot be directly deployed in embedded systems. Only by performing lightweight optimization on the model before redeployment can the perception tasks be completed smoothly and efficiently.

Model Quantization

Although a lightweight deep neural network has been used to minimize the computational complexity of network inference and the space occupied by the network, the actual computational load and parameter count of the network remain quite substantial for embedded devices. To compress the model, quantization methods can be employed, which use lower precision data types to store the model’s weight information, specifically reducing float32 weight data to lower precision types such as uint8, int8, or int16. This approach achieves significant model compression while incurring only a slight loss in classification accuracy, and it can effectively prevent network overfitting [32,48]. Since embedded devices are not adept at floating-point operations, quantizing floating-point parameters to integers can also reduce inference time and improve the real-time performance of the algorithm.
To reduce the model size, all float 32-type model data can be quantized to int 8-type, which requires establishing an effective data mapping relationship. The quantization mapping method from float32 type floating-point values to int 8 type fixed-point values is given by Equation (7):
Q = R S + Z
In the equation, R , S , and Z represent the real number representation of the data, the minimum scale that can be represented after fixed-point quantization, and the quantized fixed-point value corresponding to the floating point, respectively.
The dequantization mapping method from int 8-type fixed-point values to float32 type floating-point values is given by Equation (10)
R = ( Q Z ) × S
The calculation method for the quantized fixed point value Z corresponding to the floating-point value 0 is as follows (9):
S = R max R min Q max Q min
The calculation method for the quantized fixed point value Z corresponding to the floating-point value 0 is as follows:
Z = Q max R max ÷ S

4. Experiment and Evaluation

To demonstrate LIMUNet’s capabilities in lightweight design and activity recognition accuracy, this section designs a series of experiments and compares it with other models from the perspectives of recognition accuracy, parameter count, and computational complexity.
The experimental platform is equipped with Intel(R) Xeon(R) Gold 5215M CPU @ 2.50 GHz, a GeForce GTX 3060 graphics card, and 125 GB of memory. The platform’s operating system is Ubuntu 22.04.4 LTS, Python version is 3.9.18, and TensorFlow version is 2.14.0.

4.1. Dataset Construction

In order to facilitate the verification of the algorithm’s performance and improve its generalizability in different environments, this paper uses not only a self-made dataset but also open-source datasets for training and validating the user behavior recognition algorithm.

4.1.1. Open-Source Dataset

When it comes to using sensors for user behavior recognition, the choice of dataset is crucial. The PAMAP2 [49] dataset is evidently a very comprehensive resource, providing this research with information on various physical activities, as well as data from multiple subjects. These datasets include eight males and one female, which helps to consider the potential impact of gender differences on user behavior recognition.
In the PAMAP 2 dataset, each subject wore thre IMUs and a heart rate monitor, with one IMU placed on the wrist of the dominant hand, producing data that were very similar to that generated by common wrist-worn smartwatches. This makes the PAMAP2 dataset particularly suitable for simulating scenarios of user behavior recognition using smartwatches.
By selecting data only from the wrist sensors, this study can better simulate real-world application scenarios, which is very helpful for the development and testing of user behavior recognition algorithms in wearable devices such as smartwatches. This method of selecting datasets helps ensure that the algorithm performs with higher accuracy and reliability in real-world usage scenarios.
The PAMAP 2 dataset encompasses various daily human activities such as sitting, lying down, walking, running, cycling, and climbing stairs, which are crucial for the analysis of human daily behaviors. From the training data provided by PAMAP2, one can understand the proportion of various behaviors exhibited by the subjects during the testing period, thereby allowing for the assessment of the subjects’ physical condition and self-care abilities. When conducting research using the PAMAP2 dataset, different machine learning and deep learning methods can be explored to identify and classify various physical behaviors. This has huge application potential in areas such as health monitoring, sports analysis, and quality of life improvement.
Therefore, the PAMAP2 dataset not only provides a rich source of data but also supports this research in better simulating real-world usage scenarios, which will provide a stronger foundation for the research and application development presented in this paper.

4.1.2. Custom Dataset

Unlike most established research fields, there is a lack of a universal, standard dataset for single-sensor home behavior monitoring using smartwatches. In this study, a custom dataset LIMU was created to obtain richer and more targeted data. The design of the LIMU dataset primarily targets home scenarios, encompassing rest data (sitting, lying down), exercise data (walking, running, jumping rope), and work data (computer office work, window cleaning), covering 14 types of behavior data. These behavior categories possess the capability to conduct detailed analysis of users’ daily lives while also estimating individuals’ daily health levels based on daily behavior statistics, providing users with corresponding lifestyle adjustment suggestions.
During the data collection process, this paper simulates a smartwatch using a single IMU. By employing the WIT’s WT 901 WIFI wireless IMU, sensor data can be uploaded in real time via WIFI to a UDP server running on a Raspberry Pi, with further processing of the data conducted by the perception platform running on the Raspberry Pi. According to regulations, the IMU is worn on the wrist of the dominant hand, sampling data from the three-axis accelerometer, three-axis gyroscope, and three-axis magnetometer at a sampling rate of 100 Hz.
During the data collection process, a total of six participants were involved, including five males and one female. The participants were all university students, aged between 22 and 32 years, among whom one participant was left-handed while the others were right-handed. All participants agreed to use the recorded data for scientific research. Each participant chose to perform 14 types of behaviors (sitting, standing, walking, lying down, jumping rope, running, going upstairs, going downstairs, jumping back and forth, waving, working on a computer, opening and closing doors, cleaning windows, and washing hands), resulting in approximately 7100 s of data collected.
The data collection scenario has a certain degree of closure, which can ensure that the data collection activities are not disturbed by pedestrians and environmental noise, thereby guaranteeing the integrity of the data to a certain extent. Figure 6 shows the correspondence between several typical human activities and waveforms in the LIMU dataset. The red, green, and blue curves depict the accelerometer, gyroscope, and magnetometer values on X-axis, Y-axis, and Z-axis. It can be seen that these activities exhibit different forms in the data from different sensors, and these implicit features can be effectively extracted through deep learning algorithms.
Table 1 lists the basic information of the subjects involved in data collection. Figure 7 statistically analyzes the distribution of data in LIMU across different types of behaviors and users. From the statistical results, it can be observed that the dataset has a relatively even distribution.

4.2. Algorithm Performance Evaluation

Experiments were conducted on the PAMAP 2 and LIMU datasets, with a sliding window size of 171 and a step size of 85. The window size is explained in Section 4.3. In the human activity recognition experiment, 80% of the dataset was used for training, while the remaining 20% was used for testing. The learning rate was set to α = 0.0005 , and the number of training epochs was 100, with 64 random samples used for training in each epoch.

4.2.1. The Performance of Human Activity Recognition

In the user behavior recognition experiment, the accuracy curve on the test data during the training process is shown in Figure 8, and the confusion matrix of the LIMUNet recognition results is shown in Figure 9.
On the PAMAP2 dataset, LIMUNet achieves a peak accuracy of 95.87%. When applied to the LIMU dataset created by the authors, the model’s accuracy reached 97.05%, demonstrating excellent recognition capability for home behavior data. This ablation experiment compared three methods: LIMUNet, the sensor attention method, and the channel attention method. The sensor attention method only employed the sensor attention mechanism within the dual attention mechanism, while the channel attention method solely utilized the channel attention mechanism.
When evaluating the lightweight nature of a neural network, two indicators are typically considered: parameter count and FLOPS. Parameter count refers to the number of parameters that need to be learned in the neural network, including weights and biases. An increase in parameter count makes the model more complex and also consumes more memory during inference. FLOPS refers to the number of floating-point operations during inference, which is the total number of multiplication and addition operations performed in the neural network. A higher FLOPS indicates that more computations are required during inference, which consumes more CPU resources and leads to longer inference times on the same device.
To demonstrate that our solution can achieve superior human activity recognition, we select and compare the results reported in several recent cross-user behavior recognition solutions based on the recognition results on the PAMAP2 dataset:
  • ADFE [50] used an encoder–decoder architecture combined with the maximum mean difference (MMD) technique to realize the best behavioral recognition results from the user-independent features from many source domain users and applying these features to the target users.
  • LDA [51], as a local domain adaptation strategy, enables cluster-to-cluster feature alignment at a finer-granularity signature alignment.
  • DAMUN [52] utilizes a multidimensional convolutional network to reduce the the user dependency of features through adversarial learning.
As shown in Table 2, LIMUNet achieves better recognition results than other algorithms.

4.2.2. The Performance of Lightweight Degree

In order to better understand the performance of user behavior recognition, this paper compares the accuracy, parameter count, and FLOPS of LIMUNet with other models, as shown in Table 3.
  • Han et al. [48] adopted a novel convolution operation, inspired by the idea of grouped convolution, which divides the filters within a specific convolution layer into two unequal groups. The two groups of filters complement each other, enhancing the feature extraction capability of the sensor signal.
  • GTSNet [38] proposed the Grouped Temporal Shift (GTS) module, which reduces the number of network connections by grouping the channels of the signal and adds shifts in the temporal direction to enhance feature extraction capability, thereby achieving lightweight network implementation.
Through the results of comparative experiments, it can be concluded that the basic model for user behavior recognition proposed in this paper demonstrates a high accuracy on the PAMAP2 and LIMU datasets. LIMUNet contains two LIMUNet modules, achieving the highest recognition accuracy among similar works. Moreover, its parameter count and computational complexity are relatively low. As for LIMUNet-Tiny, although it contains only a single LIMUNet module, it also possesses excellent behavior recognition capabilities. Compared to other lightweight behavior recognition algorithms, both the parameter count and computational complexity of LIMUNet-Tiny are significantly reduced. Although its recognition accuracy is slightly lower than that of LIMUNet, LIMUNet-Tiny remains the best-performing model among current lightweight activity recognition algorithms. Experimental results show that both the proposed base model and its lightweight version not only achieve high accuracy in activity recognition tasks but also attain high efficiency in terms of parameter count and computational complexity, which is of significant importance for practical applications in resource-constrained scenarios.

4.3. Parameter Evaluation

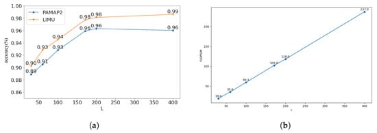
Size of the sliding window: In LIMUNet, we input a tensor of size L × 9 , where L is the size of the sliding window used when preparing the training data. Human activities generally have a frequency of 1–15 Hz, and many studies suggest selecting a larger window size to encompass as many cycles of behavior as possible within a window, thereby facilitating feature extraction by the neural network. Although adopting a larger size is a prudent choice, it increases the complexity of the network, raising the computational and time costs for model training and inference, which conflicts with the lightweight intention of this paper. Due to the high cost of collecting labeled data from users wearing smartwatches, a value that is too large can lead to a reduction in the available data. Here, the same experimental setup as in Section 4.2.2 is adopted to test the impact of different values on recognition accuracy, with results shown in Figure 10a. In addition, Figure 10b illustrates the changes in FLOPS under different values, which to some extent reflects the impact of window size on the degree of lightweighting. According to the experimental results, the increase in the size of the sliding window initially brings a significant improvement in accuracy, but after 171, the improvement effect is not obvious. Therefore, this paper chooses 171 as the sliding window size during data segmentation.
LIMUNet number of lightweight modules: The LIMUNet lightweight modules serve as the main components of the network, significantly impacting both the feature extraction capability and the degree of lightweight design. If the number of modules is small, the feature extraction capability may weaken; however, a larger number may lead to redundancy in parameters and computation, negatively affecting the degree of lightweight design. To verify the impact of the number of lightweight module layers on accuracy, parameter count, and computational complexity, this paper designs three different networks, where the stacking layers of the LIMUNet modules are 1, 2, and 3 layers, and the channel expansion factors of the residual bottleneck layers are 8, 32, and 128, respectively. Figure 11 shows the relationship between model recognition accuracy and the degree of lightweight design with the number of LIMUNet modules. It can be observed that, at this time, both the degree of lightweight design and the effectiveness of activity recognition can be balanced.

5. Conclusions and Further Work

This paper tackles the challenge of lightweight algorithm design for human activity recognition (HAR) using smartwatches by proposing LIMUNet, a deep learning-based model optimized for efficiency. Through a combination of depthwise separable convolutions, residual modules, and a dual attention mechanism, LIMUNet achieves strong feature extraction capabilities while maintaining low computational complexity. The model outperforms recent HAR methods using either single or multiple sensors, achieving high recognition accuracy with minimal CPU and memory usage. Additionally, the simplified version, LIMUNet-Tiny, maintains competitive performance with the lowest parameter count and complexity among models designed for wearable devices.
In future work, we aim to explore other modal data from the smartwatch for integration, including additional sensor inputs, to further improve recognition accuracy. We also plan to introduce heterogeneous convolutional kernels to better adapt to diverse behavior patterns and explore transfer learning approaches to enhance model adaptability for new users and unseen activities with limited data.

Author Contributions

Conceptualization, L.L.; methodology, J.W.; software, R.A.; validation, S.M.; formal analysis, K.Z.; investigation, H.D.; writing—original draft preparation, L.L. and S.M.; writing—review and editing, J.W. and K.Z.; supervision, H.D. All authors have read and agreed to the published version of the manuscript.

Funding

This research received no external funding.

Institutional Review Board Statement

Not applicable.

Informed Consent Statement

Not applicable.

Data Availability Statement

We leverage open source dataset PAMAP2. This dataset can be accessed at https://archive.ics.uci.edu/dataset/231, accessed on 26 April 2024.

Conflicts of Interest

Author Junjie Wu was employed by the company Dongguan Water Group Co., Ltd. The remaining authors declare that the research was conducted in the absence of any commercial or financial relationships that could be construed as a potential conflict of interest.

References

  1. Shih, C.S.; Chou, J.J.; Lin, K.J. WuKong: Secure Run-Time environment and data-driven IoT applications for Smart Cities and Smart Buildings. J. Internet Serv. Inf. Secur. 2018, 8, 1–17. [Google Scholar]
  2. Saboor, A.; Kask, T.; Kuusik, A.; Alam, M.M.; Le Moullec, Y.; Niazi, I.K.; Zoha, A.; Ahmad, R. Latest research trends in gait analysis using wearable sensors and machine learning: A systematic review. IEEE Access 2020, 8, 167830–167864. [Google Scholar] [CrossRef]
  3. Sánchez, D.; Tentori, M.; Favela, J. Activity recognition for the smart hospital. IEEE Intell. Syst. 2008, 23, 50–57. [Google Scholar] [CrossRef]
  4. Ladha, C.; Hammerla, N.Y.; Olivier, P.; Plötz, T. ClimbAX: Skill assessment for climbing enthusiasts. In Proceedings of the 2013 ACM International Joint Conference on Pervasive and Ubiquitous Computing, Zurich, Switzerland, 8–12 September 2013; pp. 235–244. [Google Scholar]
  5. Lin, H.; Hou, J.; Yu, H.; Shen, Z.; Miao, C. An agent-based game platform for exercising people’s prospective memory. In Proceedings of the 2015 IEEE/WIC/ACM International Conference on Web Intelligence and Intelligent Agent Technology (WI-IAT), Singapore, 6–9 December 2015; Volume 3, pp. 235–236. [Google Scholar]
  6. Kaur, H.; Rani, V.; Kumar, M. Human activity recognition: A comprehensive review. Expert Syst. 2022, 39, e13680. [Google Scholar] [CrossRef]
  7. Zhang, X.; Yao, L.; Huang, C.; Wang, S.; Tan, M.; Long, G.; Wang, C. Multi-modality sensor data classification with selective attention. arXiv 2018, arXiv:1804.05493. [Google Scholar]
  8. Popescu, A.C.; Mocanu, I.; Cramariuc, B. Fusion mechanisms for human activity recognition using automated machine learning. IEEE Access 2020, 8, 143996–144014. [Google Scholar] [CrossRef]
  9. Ismail, W.N.; Alsalamah, H.A.; Hassan, M.M.; Mohamed, E. AUTO-HAR: An adaptive human activity recognition framework using an automated CNN architecture design. Heliyon 2023, 9, e14970. [Google Scholar] [CrossRef]
  10. Suto, J.; Oniga, S.; Sitar, P.P. Comparison of wrapper and filter feature selection algorithms on human activity recognition. In Proceedings of the 2016 6th International Conference on Computers Communications and Control (ICCCC), Oradea, Romania, 10–14 May 2016; pp. 124–129. [Google Scholar]
  11. Suto, J.; Oniga, S.; Sitar, P.P. Feature analysis to human activity recognition. Int. J. Comput. Commun. Control 2017, 12, 116–130. [Google Scholar] [CrossRef]
  12. Thakur, D.; Biswas, S. Permutation importance based modified guided regularized random forest in human activity recognition with smartphone. Eng. Appl. Artif. Intell. 2024, 129, 107681. [Google Scholar] [CrossRef]
  13. Li, X.; Wang, Y.; Zhang, B.; Ma, J. PSDRNN: An efficient and effective HAR scheme based on feature extraction and deep learning. IEEE Trans. Ind. Inform. 2020, 16, 6703–6713. [Google Scholar] [CrossRef]
  14. Ahmed Bhuiyan, R.; Ahmed, N.; Amiruzzaman, M.; Islam, M.R. A robust feature extraction model for human activity characterization using 3-axis accelerometer and gyroscope data. Sensors 2020, 20, 6990. [Google Scholar] [CrossRef] [PubMed]
  15. Chen, K.; Zhang, D.; Yao, L.; Guo, B.; Yu, Z.; Liu, Y. Deep learning for sensor-based human activity recognition: Overview, challenges, and opportunities. ACM Comput. Surv. (CSUR) 2021, 54, 1–40. [Google Scholar] [CrossRef]
  16. Anjum, A.; Ilyas, M.U. Activity recognition using smartphone sensors. In Proceedings of the 2013 IEEE 10th Consumer Communications and Networking Conference (CCNC), Las Vegas, NV, USA, 11–14 January 2013; pp. 914–919. [Google Scholar]
  17. Balli, S.; Sağbaş, E.A.; Peker, M. Human activity recognition from smart watch sensor data using a hybrid of principal component analysis and random forest algorithm. Meas. Control 2019, 52, 37–45. [Google Scholar] [CrossRef]
  18. Zeng, M.; Nguyen, L.T.; Yu, B.; Mengshoel, O.J.; Zhu, J.; Wu, P.; Zhang, J. Convolutional neural networks for human activity recognition using mobile sensors. In Proceedings of the 6th International Conference on Mobile Computing, Applications and Services, Austin, TX, USA, 6–7 November 2014; pp. 197–205. [Google Scholar]
  19. Jiang, W.; Yin, Z. Human activity recognition using wearable sensors by deep convolutional neural networks. In Proceedings of the 23rd ACM International Conference on Multimedia, Brisbane, Australia, 26–30 October 2015; pp. 1307–1310. [Google Scholar]
  20. Luo, F.; Khan, S.; Huang, Y.; Wu, K. Binarized neural network for edge intelligence of sensor-based human activity recognition. IEEE Trans. Mob. Comput. 2021, 22, 1356–1368. [Google Scholar] [CrossRef]
  21. Gholamrezaii, M.; AlModarresi, S.M.T. A time-efficient convolutional neural network model in human activity recognition. Multimed. Tools Appl. 2021, 80, 19361–19376. [Google Scholar] [CrossRef]
  22. Xu, Y.; Qiu, T.T. Human activity recognition and embedded application based on convolutional neural network. J. Artif. Intell. Technol. 2021, 1, 51–60. [Google Scholar] [CrossRef]
  23. Ma, H.; Li, W.; Zhang, X.; Gao, S.; Lu, S. AttnSense: Multi-level attention mechanism for multimodal human activity recognition. In Proceedings of the IJCAI, Macau, China, 10–16 August 2019; pp. 3109–3115. [Google Scholar]
  24. Ullah, M.; Ullah, H.; Khan, S.D.; Cheikh, F.A. Stacked lstm network for human activity recognition using smartphone data. In Proceedings of the 2019 8th European Workshop on Visual Information Processing (EUVIP), IEEE, Rome, Italy, 28–31 October 2019; pp. 175–180. [Google Scholar]
  25. Murad, A.; Pyun, J.Y. Deep recurrent neural networks for human activity recognition. Sensors 2017, 17, 2556. [Google Scholar] [CrossRef]
  26. Rivera, P.; Valarezo, E.; Choi, M.T.; Kim, T.S. Recognition of human hand activities based on a single wrist imu using recurrent neural networks. Int. J. Pharma Med. Biol. Sci. 2017, 6, 114–118. [Google Scholar] [CrossRef]
  27. Zhao, Y.; Yang, R.; Chevalier, G.; Xu, X.; Zhang, Z. Deep residual bidir-LSTM for human activity recognition using wearable sensors. Math. Probl. Eng. 2018, 2018, 7316954. [Google Scholar] [CrossRef]
  28. Laput, G.; Harrison, C. Sensing fine-grained hand activity with smartwatches. In Proceedings of the 2019 CHI Conference on Human Factors in Computing Systems, Glasgow, UK, 4–9 May 2019; pp. 1–13. [Google Scholar]
  29. Bhattacharya, S.; Adaimi, R.; Thomaz, E. Leveraging sound and wrist motion to detect activities of daily living with commodity smartwatches. Proc. ACM Interact. Mob. Wearable Ubiquitous Technol. 2022, 6, 1–28. [Google Scholar] [CrossRef]
  30. Szegedy, C.; Liu, W.; Jia, Y.; Sermanet, P.; Reed, S.; Anguelov, D.; Erhan, D.; Vanhoucke, V.; Rabinovich, A. Going deeper with convolutions. In Proceedings of the IEEE Conference on Computer Vision and Pattern Recognition, Boston, MA, USA, 7–12 June 2015; pp. 1–9. [Google Scholar]
  31. Szegedy, C.; Vanhoucke, V.; Ioffe, S.; Shlens, J.; Wojna, Z. Rethinking the inception architecture for computer vision. In Proceedings of the IEEE Conference on Computer Vision and Pattern Recognition, Las Vegas, NV, USA, 27–30 June 2016; pp. 2818–2826. [Google Scholar]
  32. Chollet, F. Xception: Deep learning with depthwise separable convolutions. In Proceedings of the IEEE Conference on Computer Vision and Pattern Recognition, Honolulu, HI, USA, 21–26 July 2017; pp. 1251–1258. [Google Scholar]
  33. He, K.; Zhang, X.; Ren, S.; Sun, J. Deep residual learning for image recognition. In Proceedings of the IEEE Conference on Computer Vision and Pattern Recognition, Las Vegas, NV, USA, 27–30 June 2016; pp. 770–778. [Google Scholar]
  34. Howard, A.G.; Zhu, M.; Chen, B.; Kalenichenko, D.; Wang, W.; Weyand, T.; Andreetto, M.; Adam, H. Mobilenets: Efficient convolutional neural networks for mobile vision applications. arXiv 2017, arXiv:1704.04861. [Google Scholar]
  35. Zhang, X.; Zhou, X.; Lin, M.; Sun, J. Shufflenet: An extremely efficient convolutional neural network for mobile devices. In Proceedings of the IEEE Conference on Computer Vision and Pattern Recognition, Salt Lake City, UT, USA, 18–22 June 2018; pp. 6848–6856. [Google Scholar]
  36. Sandler, M.; Howard, A.; Zhu, M.; Zhmoginov, A.; Chen, L.C. Mobilenetv2: Inverted residuals and linear bottlenecks. In Proceedings of the IEEE Conference on Computer Vision and Pattern Recognition, Salt Lake City, UT, USA, 18–22 June 2018; pp. 4510–4520. [Google Scholar]
  37. Han, C.; Zhang, L.; Tang, Y.; Huang, W.; Min, F.; He, J. Human activity recognition using wearable sensors by heterogeneous convolutional neural networks. Expert Syst. Appl. 2022, 198, 116764. [Google Scholar] [CrossRef]
  38. Park, J.; Lim, W.S.; Kim, D.W.; Lee, J. GTSNet: Flexible architecture under budget constraint for real-time human activity recognition from wearable sensor. Eng. Appl. Artif. Intell. 2023, 124, 106543. [Google Scholar] [CrossRef]
  39. Shorten, C.; Khoshgoftaar, T.M. A survey on image data augmentation for deep learning. J. Big Data 2019, 6, 60. [Google Scholar] [CrossRef]
  40. Xu, H.; Zhou, P.; Tan, R.; Li, M. Practically Adopting Human Activity Recognition. In Proceedings of the 29th Annual International Conference on Mobile Computing and Networking, San Diego, CA, USA, 3–7 October 2023; pp. 1–15. [Google Scholar]
  41. Feng, S.; Duarte, M.F. Few-shot learning-based human activity recognition. Expert Syst. Appl. 2019, 138, 112782. [Google Scholar] [CrossRef]
  42. Nichol, A.; Schulman, J. Reptile: A scalable metalearning algorithm. arXiv 2018, arXiv:1803.02999. [Google Scholar]
  43. Graves, A.; Wayne, G.; Danihelka, I. Neural turing machines. arXiv 2014, arXiv:1410.5401. [Google Scholar]
  44. Munkhdalai, T.; Yu, H. Meta networks. In Proceedings of the International Conference on Machine Learning, PMLR, Sydney, Australia, 6–11 August 2017; pp. 2554–2563. [Google Scholar]
  45. Finn, C.; Abbeel, P.; Levine, S. Model-agnostic meta-learning for fast adaptation of deep networks. In Proceedings of the International Conference on Machine Learning, PMLR, Sydney, Australia, 6–11 August 2017; pp. 1126–1135. [Google Scholar]
  46. Wijayasingha, L.; Stankovic, J.A. Generalized Few-Shot Learning For Wearable Sensor-based Human Activity Recognition. In Proceedings of the 2022 IEEE International Conference on Pervasive Computing and Communications Workshops and other Affiliated Events (PerCom Workshops), IEEE, Virtual, 21–25 March 2022; pp. 328–334. [Google Scholar]
  47. Szegedy, C.; Ioffe, S.; Vanhoucke, V.; Alemi, A. Inception-v4, inception-resnet and the impact of residual connections on learning. In Proceedings of the AAAI Conference on Artificial Intelligence, San Francisco, CA, USA, 4–9 February 2017; Volume 31. [Google Scholar]
  48. Iandola, F.N.; Han, S.; Moskewicz, M.W.; Ashraf, K.; Dally, W.J.; Keutzer, K. SqueezeNet: AlexNet-level accuracy with 50× fewer parameters and <0.5 MB model size. arXiv 2016, arXiv:1602.07360. [Google Scholar]
  49. Xie, S.; Girshick, R.; Dollár, P.; Tu, Z.; He, K. Aggregated residual transformations for deep neural networks. In Proceedings of the IEEE Conference on Computer Vision and Pattern Recognition, Honolulu, HI, USA, 21–26 July 2017; pp. 1492–1500. [Google Scholar]
  50. Suh, S.; Rey, V.F.; Lukowicz, P. Adversarial deep feature extraction network for user independent human activity recognition. In Proceedings of the 2022 IEEE International Conference on Pervasive Computing and Communications (PerCom), IEEE, Virtual, 21–25 March 2022; pp. 217–226. [Google Scholar]
  51. Zhao, J.; Deng, F.; He, H.; Chen, J. Local domain adaptation for cross-domain activity recognition. IEEE Trans. Hum.-Mach. Syst. 2020, 51, 12–21. [Google Scholar] [CrossRef]
  52. Bai, L.; Yao, L.; Wang, X.; Kanhere, S.S.; Guo, B.; Yu, Z. Adversarial multi-view networks for activity recognition. Proc. ACM Interact. Mob. Wearable Ubiquitous Technol. 2020, 4, 1–22. [Google Scholar] [CrossRef]
Figure 1. Random signal frames before and after filtering.
Figure 1. Random signal frames before and after filtering.
Applsci 14 10515 g001
Figure 2. LIMUNet network architecture.
Figure 2. LIMUNet network architecture.
Applsci 14 10515 g002
Figure 3. Residual bottleneck layer.
Figure 3. Residual bottleneck layer.
Applsci 14 10515 g003
Figure 4. Channel attention mechanism.
Figure 4. Channel attention mechanism.
Applsci 14 10515 g004
Figure 5. Dual attention mechanism.
Figure 5. Dual attention mechanism.
Applsci 14 10515 g005
Figure 6. Correspondence between activities and waveforms in the LIMU dataset.
Figure 6. Correspondence between activities and waveforms in the LIMU dataset.
Applsci 14 10515 g006
Figure 7. Distribution of data in LIMU across different types of behaviors and users.
Figure 7. Distribution of data in LIMU across different types of behaviors and users.
Applsci 14 10515 g007
Figure 8. Training curves for different datasets.
Figure 8. Training curves for different datasets.
Applsci 14 10515 g008
Figure 9. Confusion matrices for different datasets.
Figure 9. Confusion matrices for different datasets.
Applsci 14 10515 g009
Figure 10. The impact of window size. (a) The impact of window size on accuracy in the PAMAPL2 and LIMU datasets. (b) The impact of window size L on FLOPS for the LIMU datasets.
Figure 10. The impact of window size. (a) The impact of window size on accuracy in the PAMAPL2 and LIMU datasets. (b) The impact of window size L on FLOPS for the LIMU datasets.
Applsci 14 10515 g010
Figure 11. LIMUNet (N = 2), LIMUNet-Tiny (N = 1), and LIMUNet-More (N = 3) the accuracy and degree of lightweight design.
Figure 11. LIMUNet (N = 2), LIMUNet-Tiny (N = 1), and LIMUNet-More (N = 3) the accuracy and degree of lightweight design.
Applsci 14 10515 g011
Table 1. Basic information of subjects.
Table 1. Basic information of subjects.
UserGenderAgeDominant Hand
User 0Male24Right Hand
User 1Male24Right Hand
User 2Female32Right Hand
User 3Male23Right Hand
User 4Male22Right Hand
User 5Male23Left Hand
Table 2. Performance of human activity recognition.
Table 2. Performance of human activity recognition.
SolutionAccuracy
ADFE [50]0.857
LDA [51]0.798
DAMUN [52]0.832
Ours0.871
Table 3. Recognition accuracy and lightweight degree of different deep learning algorithms.
Table 3. Recognition accuracy and lightweight degree of different deep learning algorithms.
ModelAccuracyParameter CountFLOPS
PAMAP2LIMU
CNN0.9230.9495.96 M320 M
DWCNN [34]0.9130.9634.57 M213 M
ResNet [33]0.9060.8926.66 M373 M
SqueezeNet [48]0.9300.9561.37 M245 M
GTSNet [38]0.8910.8490.10 M45 M
Channel Atte0.9300.9430.16 M102 M
Sensor Atte0.9430.9590.14 M102 M
LIMUNet0.9590.9770.16 M102 M
LIMUNet-Tiny0.9370.9450.04 M19 M
Disclaimer/Publisher’s Note: The statements, opinions and data contained in all publications are solely those of the individual author(s) and contributor(s) and not of MDPI and/or the editor(s). MDPI and/or the editor(s) disclaim responsibility for any injury to people or property resulting from any ideas, methods, instructions or products referred to in the content.

Share and Cite

MDPI and ACS Style

Lin, L.; Wu, J.; An, R.; Ma, S.; Zhao, K.; Ding, H. LIMUNet: A Lightweight Neural Network for Human Activity Recognition Using Smartwatches. Appl. Sci. 2024, 14, 10515. https://doi.org/10.3390/app142210515

AMA Style

Lin L, Wu J, An R, Ma S, Zhao K, Ding H. LIMUNet: A Lightweight Neural Network for Human Activity Recognition Using Smartwatches. Applied Sciences. 2024; 14(22):10515. https://doi.org/10.3390/app142210515

Chicago/Turabian Style

Lin, Liangliang, Junjie Wu, Ran An, Song Ma, Kun Zhao, and Han Ding. 2024. "LIMUNet: A Lightweight Neural Network for Human Activity Recognition Using Smartwatches" Applied Sciences 14, no. 22: 10515. https://doi.org/10.3390/app142210515

APA Style

Lin, L., Wu, J., An, R., Ma, S., Zhao, K., & Ding, H. (2024). LIMUNet: A Lightweight Neural Network for Human Activity Recognition Using Smartwatches. Applied Sciences, 14(22), 10515. https://doi.org/10.3390/app142210515

Note that from the first issue of 2016, this journal uses article numbers instead of page numbers. See further details here.

Article Metrics

Back to TopTop