Mineral Content in Initial and Follow-On Infant Formulas in Poland: Nutrient Adequacy and Comparison with Breast Milk
Abstract
1. Introduction
- (1)
- To evaluate the content of selected micro- and macrominerals in conventional initial, follow-on, and specialist IFs available on the Polish market.
- (2)
- To compare the content of micro- and macrominerals in infant formulas to the content in breast milk.
- (3)
- Evaluation of the content of mineral components about the values declared by the manufacturer on the label and the recommendations of the European Commission on the composition of IFs.
- (4)
- Analysis of coverage of the demand for selected minerals after consumption of a daily serving of IF and comparison with breast milk.
2. Materials and Methods
2.1. Sample Selection
2.2. Breast Milk Samples
2.3. Sample Preparation and Mineral Determination
2.4. Evaluation of Compliance with the Content of the Marked Minerals in Infant Formulas
2.5. Estimated Daily Mineral Intake After Consumption of Infant Formulas and Breast Milk
- CM—the average concentration of each micro- and macromineral (mg/100 g powder; mg/100 mL breast milk).
- CD—the recommended amount of intake of IFs per day according to the manufacturer’s data/recommended intake of breast milk per day by the Polish Society for Paediatrics Gastroenterology, Hepatology and Nutrition.
2.6. Statistical Analysis
3. Results
3.1. Mineral Content of Infant Formulas
3.2. Mineral Components in Breast Milk
3.3. Comparison of Mineral Content Between Different Types of Infant Formulas and Breast Milk
3.4. Evaluation of Compliance with the Content of Determined Mineral Components in Infant Formulas
3.4.1. Conventional Initial and Follow-On Infant Formulas
3.4.2. Specialist Infant Formulas
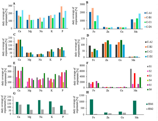
3.5. Daily Coverage of Mineral Requirements After Consumption of Infant Formulas and Human Milk
3.5.1. Conventional Initial and Follow-On and Specialist Infant Formulas
3.5.2. Human Milk
3.6. Principal Component Analysis (PCA)
4. Discussion
4.1. Mineral Content of Infant Formulas
4.1.1. Conventional Initial and Follow-On Infant Formulas
4.1.2. Specialist Infant Formulas
4.2. Comparison of Mineral Content in Different Types of IFs and Human Milk from Different Lactation Periods
4.2.1. Differences in Mineral Content of Human Milk Relative to the Lactation Period
4.2.2. Comparison of Mineral Content in Human Milk and Infant Formulas
4.3. Evaluation of the Compliance of Marked Mineral Content in Infant Formulas
4.4. Daily Coverage of Mineral Requirements After Consumption of Infant Formulas and Human Milk
4.5. Strengths and Limitations
5. Conclusions
Supplementary Materials
Author Contributions
Funding
Institutional Review Board Statement
Informed Consent Statement
Data Availability Statement
Acknowledgments
Conflicts of Interest
References
- Gavine, A.; Shinwell, S.C.; Buchanan, P.; Wade, A.; Lynn, F.; Marshall, J.; Cumming, S.E.; Dare, S.; McFadden, A. Support for healthy breastfeeding mothers with healthy term babies. Cochrane Database Syst. Rev. 2022, 2022, CD001141. [Google Scholar] [CrossRef]
- Moreno-Rojas, R.; Cañal-Ruiz, C.; Amaro-López, M.A.; Cámara-Martos, F. Probabilistic assessment of the intake of mineral and trace elements by consumption of infant formulas and processed cereal-based food in Spain. CyTA J. Food 2015, 13, 243–252. [Google Scholar] [CrossRef][Green Version]
- Almeida, C.C.; Baião, D.d.S.; Rodrigues, P.A.; Saint’Pierre, T.D.; Hauser-Davis, R.A.; Leandro, K.C.; Paschoalin, V.M.F.; Costa, M.P.d.; Conte-Junior, C.A. Macrominerals and trace minerals in commercial infant formulas marketed in Brazil: Compliance with established minimum and maximum requirements, label statements, and estimated daily intake. Front. Nutr. 2022, 9, 857698. [Google Scholar] [CrossRef] [PubMed]
- Ren, Q.; Li, K.; Li, J.; Liu, Y.; Chen, Y.; Xu, Y.; Xie, Q. Longitudinal changes in human milk minerals and vitamins in the Chinese population: A scoping review. Nutrients 2024, 16, 1710. [Google Scholar] [CrossRef]
- Kim, S.Y.; Yi, D.Y. Components of human breast milk: From macronutrient to microbiome and microRNA. Clin. Exp. Pediatr. 2020, 63, 301–309. [Google Scholar] [CrossRef]
- Dror, D.K.; Allen, L.H. Overview of nutrients in human milk. Adv. Nutr. 2018, 9, 278S–294S. [Google Scholar] [CrossRef]
- Dunford, E.; Popkin, B.M. Ultra-processed food for infants and toddlers; dynamics of supply and demand. Bull. World Health Organ. 2023, 101, 358–360. [Google Scholar] [CrossRef]
- Jiang, Y.J.; Guo, M. Processing technology for infant formula. In Human Milk Biochemistry and Infant Formula Manufacturing Technology; Woodhead Publishing Series in Food Science, Technology and Nutrition; Guo, M., Ed.; Woodhead Publishing: Sawston, UK, 2014; pp. 211–229. [Google Scholar]
- Fabiano, V.; Indrio, F.; Verduci, E.; Calcaterra, V.; Pop, T.L.; Mari, A.; Zuccotti, G.V.; Cokugras, F.C.; Pettoello-Mantovani, M.; Goulet, O. Term infant formulas influencing gut microbiota: An overview. Nutrients 2021, 13, 4200. [Google Scholar] [CrossRef]
- Purkiewicz, A.; Pietrzak-Fiećko, R. Changes in the fatty acid profile of lactating women living in Poland-a comparison with the fatty acid profile of selected infant formulas. Nutrients 2024, 16, 2411. [Google Scholar] [CrossRef]
- Goehring, K.C.; Marriage, B.J.; Oliver, J.S.; Wilder, J.A.; Barrett, E.G.; Buck, R.H. Similar to those who are breastfed, infants fed a formula containing 2′-fucosyllactose have lower inflammatory cytokines in a randomized controlled trial. J. Nutr. 2016, 146, 2559–2566. [Google Scholar] [CrossRef]
- Holst, A.Q.; Myers, P.; Rodríguez-García, P.; Hermes, G.D.A.; Melsaether, C.; Baker, A.; Jensen, S.R.; Parschat, K. Infant formula supplemented with five human milk oligosaccharides shifts the fecal microbiome of formula-fed infants closer to that of breastfed infants. Nutrients 2023, 15, 3087. [Google Scholar] [CrossRef]
- Lagkouvardos, I.; Intze, E.; Schaubeck, M.; Rooney, J.P.K.; Hecht, C.; Piloquet, H.; Clavel, T. Early life gut microbiota profiles linked to synbiotic formula effects: A randomized clinical trial in European infants. Am. J. Clin. Nutr. 2023, 117, 326–339. [Google Scholar] [CrossRef] [PubMed]
- Nieto-Ruiz, A.; Diéguez, E.; Sepúlveda-Valbuena, N.; Herrmann, F.; Cerdó, T.; López-Torrecillas, F.; De-Castellar, R.; Jiménez, J.; Pérez-García, M.; Miranda, M.T.; et al. The effects of an Infant formula enriched with milk fat globule membrane, long-chain polyunsaturated fatty acids and synbiotics on child behavior up to 2.5 years old: The COGNIS Ssudy. Nutrients 2020, 12, 3825. [Google Scholar] [CrossRef] [PubMed]
- Yuan, T.; Wei, W.; Wang, X.; Jin, Q. Biosynthesis of structured lipids enriched with medium and long-chain triacylglycerols for human milk fat substitute. LWT 2020, 128, 109255. [Google Scholar] [CrossRef]
- Dipasquale, V.; Serra, G.; Corsello, G.; Romano, C. Standard and specialized infant formulas in Europe: Making, marketing, and health outcomes. Nutr. Clin. Pract. 2019, 35, 273–281. [Google Scholar] [CrossRef]
- Maryniak, N.Z.; Sancho, A.I.; Hansen, E.B.; Bøgh, K.L. Alternatives to cow’s milk-based infant formulas in the prevention and management of cow’s milk allergy. Foods 2022, 11, 926. [Google Scholar] [CrossRef]
- Borschel, M.W.; Baggs, G.E.; Oliver, J.S. Comparison of growth of healthy term infants fedextensively hydrolyzed protein- and amino acid-based infant formulas. Nutrients 2018, 10, 289. [Google Scholar] [CrossRef]
- Vandenplas, Y.; Hegar, B. Benefit and Challenge of Soy plant-based formula in infants and children. World Nutr. J. 2020, 4, 1. [Google Scholar] [CrossRef]
- Lönnerdal, B.; Georgieff, M.K.; Hernell, O. Developmental physiology of iron absorption, homeostasis and metabolism in the healthy term infant. J. Pediatr. 2016, 167, S8–S14. [Google Scholar] [CrossRef]
- Kwiecień, M.; Winiarska-Mieczan, A.; Samolińska, W.; Kiczorowska, B.; Rusinek-Prystupa, E. The content of magnesium, calcium, sodium and potassium in infant formulas. J. Elem. 2017, 22, 339–347. [Google Scholar] [CrossRef]
- Pacquette, L.H.; Thompson, J.J. Minerals and trace elements in milk, milk products, infant formula, and adult/pediatric nutritional formula, ICP-MS method: Collaborative study, AOAC final action 2015.06, ISO/DIS 21424, IDF 243. J. AOAC Int. 2018, 101, 536–561. [Google Scholar] [CrossRef] [PubMed]
- Vanderhoof, J.; Moore, N.; De Boissieu, D. Evaluation of an Amino AcidBased Formula in Infants Not Responding to Extensively Hydrolyzed Protein Formula. J. Pediatr. Gastroenterol. Nutr. 2016, 63, 531–533. [Google Scholar] [CrossRef] [PubMed]
- Whiteside, P.; Miner, B. Pye Unicam Atomic Absorption Data Book; Pye Unicam Ltd.: Cambridge, UK, 1984. [Google Scholar]
- Rozporządzenie Delegowane Komisji (UE) 2016/127. Available online: https://eur-lex.europa.eu/legal-content/PL/TXT/PDF/?uri=CELEX:32016R0127 (accessed on 28 September 2024).
- Szajewska, H.; Socha, P.; Horvath, A.; Rybak, A.; Zalewski, B.M.; Nehring-Gugulska, M.; Mojska, H.; Czerwionka-Szaflarska, M.; Gajewska, D.; Helwich, E.; et al. Zasady żywienia zdrowych niemowląt. Stanowisko Polskiego Towarzystwa Gastroenterologii, Hepatologii i Żywienia Dzieci. Stand. Med. Pediatr. 2021, 18, 7–24. [Google Scholar] [CrossRef]
- Wojtasik, A.; Woźniak, A.; Stoś, K.; Jarosz, M. Składniki mineralne. In Normy żywienia dla populacji Polski i ich zastosowanie; Jarosz, M., Rychlik, E., Stoś, K., Charzewska, J., Eds.; Narodowy Instytut Zdrowia Publicznego—Państwowy Zakład Higieny: Warsaw, Poland, 2020; pp. 273–315. [Google Scholar]
- Rychlik, E.; Woźniak, A.; Jarosz, M. Woda i elektrolity. In Normy żywienia dla populacji Polski i ich zastosowanie; Jarosz, M., Rychlik, E., Stoś, K., Charzewska, J., Eds.; Narodowy Instytut Zdrowia Publicznego—Państwowy Zakład Higieny: Warsaw, Poland, 2020; pp. 316–345. [Google Scholar]
- Lyons, K.E.; Ryan, C.A.; Dempsey, E.M.; Ross, R.P.; Stanton, C. Breast milk, a source of beneficial microbes and associated benefits for infant health. Nutrients 2020, 12, 1039. [Google Scholar] [CrossRef] [PubMed]
- World Health Organization. Breastfeeding. Available online: https://www.who.int/health-topics/breastfeeding (accessed on 4 September 2024).
- Hoang, T.N.G.; Do, T.T.D.; Nguyen, L.V.; Nguyen, T.T.N.; Thu, T.P.; Nguyen, T.M.D.; Trinh, T.D.L.; Tran, T.T.N.; Le, T.M.H.; Nguyen, T.T.V.; et al. Prevalence of exclusive breastfeeding for the first six months of an infant’s life and associated factors in a low–middle income country. Int. Breastfeed. J. 2023, 18, 47. [Google Scholar] [CrossRef]
- Bakshi, S.; Paswan, V.K.; Yadav, S.P.; Bhinchhar, B.K.; Kharkwal, S.; Rose, H.; Kanetkar, P.; Kumar, V.; Al-Zamani, Z.A.; Bunkar, D.S. A comprehensive review on infant formula: Nutritional and functional constituents, recent trends in processing and its impact on infants’ gut microbiota. Front. Nutr. 2023, 10, 1194679. [Google Scholar] [CrossRef]
- Moraes, M.R.; Da Silva, E.N.; Sanches, V.L.; Cadore, S.; Godoy, H.T. Bioaccessibility of some minerals in infant formulas. J. Food Sci. Technol. 2021, 59, 2004–2012. [Google Scholar] [CrossRef]
- Alfaris, N.A.; Alothman, Z.A.; Aldayel, T.S.; Wabaidur, S.M.; Altamimi, J.Z. Evaluation and comparison of the nutritional and mineral content of milk formula in the Saudi Arabia market. Front. Nutr. 2022, 9, 851229. [Google Scholar] [CrossRef]
- Hong, S.J. Types of special infant formulas marketed in Korea and their indications. Pediatr. Gastroenterol. Hepatol. Nutr. 2018, 21, 155–162. [Google Scholar] [CrossRef]
- Oliveira Da Camara, A.; Gomes Rodrigues, L.; Da Silva Ferreira, T.; Gadas de Moraes, O.M. Sodium found in processed cow milk and estimated intake by infants. J. Pediatr. 2021, 97, 665–669. [Google Scholar] [CrossRef]
- Chen, D.; Zong, J.; Huang, Z.; Liu, J.; Li, Q. Real-time analysis of potassium in infant formula powder by data-driven laser-induced breakdown spectroscopy. Front. Chem. 2018, 6, 325. [Google Scholar] [CrossRef] [PubMed]
- Emmerik, N.E.; De Jong, F.; Van Elburg, R.M. Dietary intake of sodium during infancy and the cardiovascular consequences later in life: A scoping review. Ann. Nutr. Metab. 2020, 76, 114–121. [Google Scholar] [CrossRef] [PubMed]
- Verduci, E.; DiProfio, E.; Cerrato, L.; Nuzzi, G.; Riva, L.; Vizzari, G.; D’Auria, E.; Gianni, M.L.; Zuccotti, G.; Peroni, D. Use of soy-based formulas and cow’s milk allergy: Lights and shadows. Front. Pediatr. 2020, 8, 591988. [Google Scholar] [CrossRef] [PubMed]
- Vandenplas, Y.; Gutierrez Cavtrellon, P.; Rivas, R.; Jimenez Gutiérrez, C.; Diaz Garcia, L.; Estevez Jimenez, J.; Anzo, A.; Hegar, B.; Alarcon, P. Safety of soya-based infant formulas in children. Br. J. Nutr. 2014, 111, 1340–1360. [Google Scholar] [CrossRef] [PubMed]
- Gomez Gomez, B.; Perez-Corona, T.; Madrid, Y. Availability of zinc from infant formula by in vitro methods (solubility and dialyzability) and size-exclusion chromatography coupled to inductively coupled plasma-mass spectrometry. J. Dairy Sci. 2016, 99, 9405–9414. [Google Scholar] [CrossRef]
- Ribes-Koninckx, C.; Amil-Dias, J.; Espin, B.; Molina, M.; Segarra, O.; Diaz-Martin, J.J. The use of amino acid formulas in pediatric patients with allergy to cow’s milk proteins: Recommendations from a group of experts. Front. Pediatr. 2023, 11, 1110380. [Google Scholar] [CrossRef]
- Zhao, A.; Ning, Y.; Zhang, Y.; Yang, X.; Wang, J.; Li, W.; Wang, P. Mineral compositions in breast milk of healthy Chinese lactating women in urban areas and its associated factors. Chin. Med. J. 2014, 127, 2643–2648. [Google Scholar] [CrossRef]
- Sun, H.; Xie, Q.; Zhou, Y.; Liu, Y.; Pan, J.; Xu, Y.; Jiang, S.; Li, K. An investigation of association between human milk mineral patterns and infant growth. Front. Nutr. 2024, 11, 1387956. [Google Scholar] [CrossRef]
- Mandiá, N.; Bermejo-Barrera, P.; Herbello, P.; López-Suárez, O.; Fraga, J.M.; Fernández-Pérez, C.; Couce, M.L. Human milk concentrations of minerals, essential and toxic trace elements and association with selective medical, social, demographic and environmental factors. Nutrients 2021, 13, 1885. [Google Scholar] [CrossRef]
- Sánchez, C.; Fente, C.; Barreiro, R.; López-Racamonde, O.; Cepeda, A.; Regal, P. Association between breast milk mineral content and maternal adherence to healthy dietary patterns in Spain: A transversal study. Foods 2020, 9, 659. [Google Scholar] [CrossRef]
- Bzikowska-Jura, A.; Sobieraj, P.; Michalska-Kacymirow, M.; Wesołowska, A. Investigation of iron and zinc concentrations in human milk in correlation to maternal factors: An observational pilot study in Poland. Nutrients 2021, 13, 303. [Google Scholar] [CrossRef] [PubMed]
- Aumeistere, L.; Ciproviča, I.; Zavadska, D.; Bavrins, K.; Borisova, A. Zinc content in breast milk and its association with maternal diet. Nutrients 2018, 10, 1438. [Google Scholar] [CrossRef] [PubMed]
- Molska, A.; Gutowska, I.; Baranowska-Bosiacka, I.; Nocen, I.; Chlubek, D. The content of elements in infant formulas and drinks against mineral requirements of children. Biol. Trace Elem. Res. 2014, 158, 422–427. [Google Scholar] [CrossRef] [PubMed]
- Shkembi, B.; Huppertz, T. Influence of dairy products on bioavailability of zinc from other food products: A review of complementarity at a meal level. Nutrients 2021, 13, 4253. [Google Scholar] [CrossRef]
- Yasuda, H.; Tsatsui, T. Infants and elderlies are susceptible to zinc deficiency. Sci. Rep. 2016, 6, 21850. [Google Scholar] [CrossRef]
- Roshdy El Safy, U.; Fathy, M.M.; Hassan, T.H.; Zakaria, M.; Kader Al Malky, M.A.; Arafa, M.; El Sayed, H.; Al Ghobashy, A.; Zaho, B.; Wahab, A.A.; et al. Effect of breastfeeding versus infant formula on iron status of infants with beta thalassemia major. Int. Breastfeed. J. 2016, 12, 18. [Google Scholar] [CrossRef]
- Stoffel, N.U.; Cepeda-López, A.C.; Zeder, C.; Herter-Aeberli, I.; Zimmermann, M.B. Measurement of iron absorption and iron gains from birth to 6 months in breastfed and formula-fed infants using iron isotope dilution. Sci. Adv. 2024, 10, eado4262. [Google Scholar] [CrossRef]
- Witczak, A.; Januszewska, A. The content of selected mineral nutrients in infant and follow-on formulae available at retail stores in Szczecin. Rocz. PZH 2011, 62, 257–262. [Google Scholar]
- Jenkins, A.; Murthy, D.; Rangan, A. Monitoring the mineral content of plant foods in food composition databases. Dietetics 2024, 3, 235–248. [Google Scholar] [CrossRef]
- Astolfi, M.L.; Marotta, D.; Cammalleri, V.; Marconi, E.; Antonucci, A.; Avino, P.; Canepari, S.; Vitali, M.; Protano, C. Determination of 40 elements in powdered infant formulas and related risk assessment. Int. J. Environ. Res. Public Health 2021, 18, 5073. [Google Scholar] [CrossRef]
- Da Silva, S.V.; Mattanna, P.; Bizzi, C.A.; Dos Santos Richards, N.S.P.; Barin, J.S. Evaluation of the mineral content of infant formulas consumed in Brazil. J. Dairy Sci. 2013, 96, 3498–3505. [Google Scholar] [CrossRef] [PubMed]
- Rudnicka, A.; Hozyasz, K.K. Choice of water in healthy baby nutrition—Practical aspects. Pediatr. Med. Rodz. 2018, 14, 33–46. [Google Scholar] [CrossRef]
- Antoniou, E.; Dagla, M.; Iliadou, M.; Palaska, E.; Orovou, E. Early introduction of solid foods in infant’s nutrition and long-term effects on childhood: A systematic review. Int. J. Innov. Res. Med. Sci. 2022, 7, 777–785. [Google Scholar] [CrossRef]
- Björmsjö, M.; Hernell, O.; Lönnerdal, B.; Berglund, S.K. Reducing iron content in infant formula from 8 to 2 mg/L does not increase the risk of iron deficiency at 4 or 6 months of age: A randomized controlled trial. Nutrients 2021, 13, 3. [Google Scholar] [CrossRef]
- Pinana, C.J.; Pons, N.A.; Carretero, C.B.; Val, V.A. Nutritional composition of infant milk formulas. Level of compliance in their manufacture and adequacy of nutritional needs. An. Pediatr. 2015, 83, 417–429. [Google Scholar]
- Lönnerdal, B. Excess iron intake as a factor in growth, infections, and development of infants and young children. Am. J. Clin. Nutr. 2017, 106 (Suppl. 6), 1681S–1687S. [Google Scholar] [CrossRef]
- Woźniak, A.; Stoś, K.; Ołtarzewski, M. Górne tolerowane poziomy spożycia witamin i składników mineralnych. In Normy żywienia dla populacji Polski i ich zastosowanie; Jarosz, M., Rychlik, E., Stoś, K., Charzewska, J., Eds.; Narodowy Instytut Zdrowia Publicznego—Państwowy Zakład Higieny: Warsaw, Poland, 2020; pp. 346–376. [Google Scholar]
- Overview on Tolerable Upper Intake Levels as Derived by the Scientific Committee on Food (SCF) and the EFSA Panel on Dietetic Products, Nutrition and Allergies (NDA). Available online: https://www.efsa.europa.eu/sites/default/files/2024-05/ul-summary-report.pdf (accessed on 29 September 2024).
- EFSA NDA Panel. Scientific opinion on the tolerable upper intake level for iron. EFSA J. 2024, 22, 8819. [Google Scholar] [CrossRef]
- EFSA NDA Panel. Scientific opinion on the tolerable upper intake level for manganese. EFSA J. 2023, 21, 8413. [Google Scholar] [CrossRef]
- Dumrongwongsiri, O.; Chongviriyaphan, N.; Chatvutinun, S.; Phoonlabdacha, P.; Sangcakul, A.; Siripinyanond, A.; Suthutvoravut, U. Dietary intake and milk micronutrient levels in lactating women with full and partial breastfeeding. Matern. Child Health J. 2021, 25, 991–997. [Google Scholar] [CrossRef]
- Zielinska-Pukos, M.A.; Michalska-Kacymirow, M.; Kurek, E.; Bulska, E.; Grabowicz-Chądrzyńska, I.; Wesołowska, A.; Hamulka, J. Breastmilk mineral composition among well-educated mothers from Central Poland—Associations with maternal dietary intake, dietary patterns and infant psychomotor development. J. Trace Elem. Med. Biol. 2024, 83, 127393. [Google Scholar] [CrossRef]
- Keikha, M.; Shayan-Moghadam, R.; Bahreynian, M.; Kelishadi, R. minerals in breast milk and the diet of breastfeeding women. Int. Breastfeed. J. 2021, 16, 1. [Google Scholar] [CrossRef] [PubMed]


| No | Code | Use | Description of the Product |
|---|---|---|---|
| 1 | C-A1 | Initial IF for infants from birth to 6 months of age. | Conventional IF based on cow’s milk |
| 2 | C-B1 | Conventional IF based on cow’s milk | |
| 3 | C-C1 | Conventional IF based on cow’s milk | |
| 4 | C-D1 | Based on goat’s milk, contains DHA | |
| 5 | C-A2 | Follow-on IF for infants 6–12 months. | Conventional IF based on cow’s milk |
| 6 | C-B2 | Conventional IF based on cow’s milk | |
| 7 | C-C2 | Conventional IF based on cow’s milk with added probiotics and prebiotics | |
| 8 | C-D2 | Based on goat’s milk, contains DHA and AA | |
| 9 | S1 | For the dietary treatment of gastrointestinal disorders, infant colic, and constipation. Nutritionally complete for infants up to 6 months of age. | Milk proteins are partially hydrolyzed for easier digestion and faster gastric emptying. Contains B-palmitate and galactooligosaccharides |
| 10 | S2 | For the dietary management of gastrointestinal reflux and urination and gastrointestinal disorders. Nutritionally complete for infants up to 6 months of age. | Milk proteins are partially hydrolyzed for easier digestion. Thickened formula |
| 11 | S3 | For dietary treatment of cow’s milk intolerance, lactose intolerance, galactosemia, or cow’s milk protein allergy. Nutritionally complete for infants up to 6 months of age. | Based on soy proteins |
| 12 | S4 | Milk substitute for the dietary treatment of cow’s milk protein allergy and other food allergies (e.g., soy protein), lactose intolerance, and secondary sucrose intolerance. Intended for infants over 6 months of age. | Hypoallergenic; based on casein hydrolysate with a high degree of hydrolysis; contains probiotics |
| 13 | S5 | For the dietary management of infants from birth from 0 to 12 months of age with cow’s milk allergy, multiple food protein allergy, eosinophilic esophagitis, and other indications where an amino acid-based blend is recommended. | Hypoallergenic, suitable as the only source of food for infants under 1 year of age, contains LCPUFA, contains probiotics and prebiotics |
| 14 | S6 | For dietary management of cow’s milk protein allergy and multiple food allergies; amino acid-based blend. Nutritionally complete for infants up to 6 months of age. | Hypoallergenic, lactose and milk protein free, good digestibility and tolerability |
| IFs | Macrominerals [mg/100 g] | Microminerals [mg/100 g] | |||||||
|---|---|---|---|---|---|---|---|---|---|
| Ca | Mg | Na | K | P | Fe | Zn | Cu | Mn | |
| Initial IFs | |||||||||
| C-A1 | 399.67 ± 12.16 b | 28.76 ± 0.42 c | 130.71 ± 3.43 b | 562.86 ± 14.20 c | 269.50 ± 7.78 a | 5.26 ± 0.22 b | 3.98 ± 0.00 b | 0.39 ± 0.01 b | 0.03 ± 0.00 c |
| C-B1 | 379.55 ± 1.86 b | 45.76 ± 0.39 b | 148.27 ± 1.10 b | 597.30 ± 1.34 c | 374.50 ± 9.19 a | 6.50 ± 0.14 a | 3.49 ± 0.13 b | 0.36 ± 0.01 b | 0.02 ± 0.00 c |
| C-C1 | 326.58 ± 21.97 b | 34.81 ± 1.78 c | 110.23 ± 0.93 b | 568.92 ± 5.58 c | 219.96 ± 9.59 a | 2.94 ± 0.03 d | 3.94 ± 0.39 b | 0.37 ± 0.00 b | 0.04 ± 0.00 c |
| C-D1 | 433.5 ± 4.15 b | 30.47 ± 0.22 c | 151.01 ± 0.20 b | 651.60 ± 1.47 b | 312.50 ± 0.71 a | 4.40 ± 0.03 c | 4.10 ± 0.03 b | 0.40 ± 0.00 b | 0.05 ± 0.00 c |
| Follow-on IFs | |||||||||
| C-A2 | 453.92 ± 0.92 b | 37.80 ± 0.22 c | 129.07 ± 3.81 b | 543.26 ± 8.80 c | 340.00 ± 4.24 a | 6.52 ± 0.36 a | 3.21 ± 0.02 b | 0.30 ± 0.00 b | 0.03 ± 0.00 c |
| C-B2 | 447.5 ± 30.78 b | 36.78 ± 1.38 c | 135.15 ± 4.12 b | 516.24 ± 11.96 c | 300.00 ± 8.49 a | 2.98 ± 0.31 d | 3.60 ± 0.14 b | 0.36 ± 0.00 b | 0.03 ± 0.00 c |
| C-C2 | 518.82 ± 6.29 b | 36.11 ± 0.32 c | 135.41 ± 0.20 b | 652.27 ± 2.28 b | 335.00 ± 0.00 a | 4.17 ± 0.11 c | 3.59 ± 0.03 b | 0.37 ± 0.02 b | 0.03 ± 0.00 c |
| C-D2 | 466.27 ± 4.34 b | 30.28 ± 0.08c | 153.01 ± 0.21b | 678.53 ± 2.39 b | 337.00 ± 7.07 a | 5.26 ± 0.22 b | 4.11 ± 0.02 b | 0.40 ± 0.00 b | 0.05 ± 0.00 c |
| Specialist IFs | |||||||||
| S1 | 737.25 ± 39.15 a | 61.99 ± 0.26 a | 211.18 ± 8.32 b | 699.40 ± 7.52 b | 319.50 ± 16.26 a | 5.11 ± 0.14 b | 6.68 ± 0.23 a | 0.41 ± 0.01 b | 0.19 ± 0.01 a |
| S2 | 379.80 ± 2.62 b | 32.67 ± 0.32 c | 164.66 ± 3.01 b | 508.35 ± 4.73 c | 303.00 ± 5.66 a | 3.93 ± 0.05 c | 3.88 ± 0.00 b | 0.34 ± 0.01 b | 0.04 ± 0.00 c |
| S3 | 565.25 ± 27.79 b | 47.79 ± 0.46 b | 167.31 ± 0.64 b | 592.83 ± 2.23 c | 383.00 ± 8.49 a | 5.31 ± 0.03 b | 4.45 ± 0.04 b | 0.41 ± 0.02 b | 0.14 ± 0.00 b |
| S4 | 595.65 ± 2.99 b | 48.23 ± 0.38 b | 165.04 ± 2.16 b | 690.84 ± 0.42 b | 341.50 ± 2.12 a | 6.50 ± 0.14 a | 6.46 ± 0.09 a | 0.43 ± 0.00 b | 0.12 ± 0.00 b |
| S5 | 469.57 ± 40.82 b | 37.80 ± 4.90 c | 156.4 ± 10.32 b | 467.66 ± 17.28 c | 321.00 ± 32.53 a | 5.40 ± 0.37 b | 4.50 ± 0.93 b | 0.64 ± 0.04 a | 0.03 ± 0.00 c |
| S6 | 605.82 ± 4.45 b | 33.92 ± 0.01 c | 257.86 ± 0.78 a | 808.07 ± 4.84 a | 389.00 ± 1.41 a | 3.96 ± 0.11 c | 3.86 ± 0.04 b | 0.34 ± 0.00 b | 0.09 ± 0.00 b |
| Type of Milk | Macrominerals [mg/100 mL] | Microminerals [mg/100 mL] | |||||||
|---|---|---|---|---|---|---|---|---|---|
| Ca | Mg | Na | K | P | Fe | Zn | Cu | Mn | |
| Initial IFs | 51.40 ± 6.36 a | 4.68 ± 1.20 b | 18.05 ± 2.74 b | 79.39 ± 4.83 a | 39.39 ± 9.63 a | 0.69 ± 0.22 a | 0.54 ± 0.065 a | 0.053 ± 0.005 a | 0.006 ± 0.004 a |
| Follow-on IFs | 64.87 ± 3.84 a | 4.87 ± 0.69 b | 18.98 ± 0.75 b | 77.32 ± 7.75 a | 45.13 ± 2.66 a | 0.65 ± 0.22 a | 0.50 ± 0.03 a | 0.049 ± 0.004 a | 0.005 ± 0.001 a |
| Specialist IFs | 76.77 ± 16.01 a | 6.54 ± 1.60 a | 25.925.62 a | 85.89 ± 17.13 a | 46.64 ± 5.80 a | 0.73 ± 0.18 a | 0.69 ± 0.18 a | 0.060 ± 0.017 a | 0.014 ± 0.010 a |
| Colostrum 1 | 27.75 ± 5.34 b | 3.43 ± 0.65 b | 22.37 ± 6.33 b* | 60.78 ± 12.75 b | 14.91 ± 2.03 b* | 0.32 ± 0.15 b* | 0.34 ± 0.09 b* | 0.04 ± 0.02 a | 0.002 ± 0.001 b |
| Transitional and mature milk 2 | 25.97 ± 4.46 b | 2.94 ± 0.59 b | 14.64 ± 8.40 b | 51.45 ± 6.79 b | 12.67 ± 1.15 b | 0.22 ± 0.10 b | 0.16 ± 0.08 c | 0.030 ± 0.01 b | 0.003 ± 0.001 a* |
| Minerals | Initial IFs (mg/100 kcal) | |||||||||
| Values Recommended by Commission Delegated Regulation | C-A1 | C-B1 | C-C1 | C-D1 | ||||||
| Min. | Max. | VL | VM | VL | VM | VL | VM | VL | VM | |
| Ca | 50 | 140 | 90.91 | 83.57 | 87.88 | 79.36 | 77.27 | 63.83 | 80.3 | 84.73 |
| Mg | 5 | 15 | 8.18 | 6.01 | 10 | 9.57 | 6.82 | 6.8 | 6.97 | 5.96 |
| Na | 25 | 60 | 33.18 | 27.33 | 33.48 | 31 | 30.3 | 21.54 | 28.79 | 29.52 |
| K | 80 | 160 | 112.12 | 117.69 | 125.76 | 124.89 | 100 | 111.2 | 106.06 | 127.36 |
| P | 25 | 90 | 62.12 | 56.35 | 50 | 78.30 | 45.45 | 42.99 | 59.09 | 61.08 |
| Fe | 0.3 | 1.3 | 0.8 | 1.1 | 0.8 | 1.36 | 0.76 | 0.59 | 0.98 | 0.86 |
| Zn | 0.5 | 1 | 0.73 | 0.83 | 0.73 | 0.73 | 0.76 | 0.77 | 0.74 | 0.8 |
| Cu | 0.06 | 0.1 | 0.08 | 0.08 | 0.08 | 0.08 | 0.08 | 0.07 | 0.07 | 0.08 |
| Mn | 0.001 | 0.1 | 0.0045 | 0.0062 | 0.0045 | 0.0042 | 0.009 | 0.008 | 0.013 | 0.0097 |
| Minerals | Follow-On IFs | |||||||||
| Values Recommended by Commission Delegated Regulation | C-A2 | C-B2 | C-C2 | C-D2 | ||||||
| Min. | Max. | VL | VM | VL | VM | VL | VM | VL | VM | |
| Ca | 50 | 140 | 105.88 | 96.12 | 107.35 | 94.76 | 113.24 | 102.24 | 89.39 | 91.13 |
| Mg | 5 | 15 | 10.44 | 8 | 10 | 7.79 | 9.26 | 7.12 | 6.97 | 5.92 |
| Na | 25 | 60 | 33.82 | 27.68 | 34.71 | 28.62 | 29.41 | 26.68 | 28.79 | 29.91 |
| K | 80 | 160 | 114.71 | 119.19 | 123.53 | 109.32 | 129.41 | 128.54 | 106.06 | 132.62 |
| P | 25 | 90 | 73.53 | 72 | 73.53 | 63.53 | 64.71 | 66.01 | 66.67 | 65.87 |
| Fe | 0.6 | 2 | 1.47 | 1.38 | 1.47 | 0.64 | 1.47 | 0.82 | 1.35 | 1.03 |
| Zn | 0.5 | 1 | 0.74 | 0.68 | 0.74 | 0.76 | 0.74 | 0.71 | 0.74 | 0.8 |
| Cu | 0.06 | 0.1 | 0.07 | 0.06 | 0.08 | 0.08 | 0.08 | 0.07 | 0.07 | 0.08 |
| Mn | 0.001 | 0.1 | 0.007 | 0.0064 | 0.007 | 0.006 | 0.01 | 0.01 | 0.01 | 0.0097 |
| Minerals | Specialist IFs (mg/100 kcal) | |||||||||||||
|---|---|---|---|---|---|---|---|---|---|---|---|---|---|---|
| Values Recommended by Commission Delegated Regulation | S1 | S2 | S3 | S4 | S5 | S6 | ||||||||
| Min. | Max. | VL | VM | VL | VM | VL | VM | VL | VM | VL | VM | VL | VM | |
| Ca | 50 | 140 | 148.36 | 148.55 | 78.79 | 74.23 | 114.49 | 115.51 | 119.12 | 118.25 | 116.47 | 99.44 | 123.53 | 120.27 |
| Mg | 5 | 15 | 10 | 12.49 | 8.94 | 6.39 | 12.32 | 9.77 | 11.91 | 9.58 | 10.59 | 8 | 10 | 6.73 |
| Na | 25 | 60 | 46.42 | 46.34 | 32.58 | 32.18 | 40.87 | 34.19 | 35.29 | 32.77 | 44.26 | 33.12 | 50 | 51.19 |
| K | 80 | 160 | 144.03 | 144.07 | 108.33 | 99.36 | 127.68 | 121.14 | 138.24 | 137.15 | 110.12 | 99.03 | 108.82 | 160.43 |
| P | 30 | 100 | 62.54 | 64.38 | 62.12 | 59.27 | 81.74 | 78.27 | 69.12 | 67.8 | 75.81 | 67.98 | 79.41 | 77.23 |
| Fe | 0.45 | 2 | 1.39 | 1.03 | 0.98 | 0.77 | 1.23 | 1.09 | 1.59 | 1.29 | 1.51 | 1.14 | 1.03 | 0.79 |
| Zn | 0.75 | 1.25 | 1.42 | 1.35 | 0.77 | 0.76 | 0.91 | 0.91 | 1.09 | 1.28 | 1.1 | 0.95 | 0.74 | 0.77 |
| Cu | 0.06 | 0.1 | 0.09 | 0.08 | 0.08 | 0.07 | 0.07 | 0.08 | 0.07 | 0.09 | 0.08 | 0.14 | 0.07 | 0.07 |
| Mn | 0.001 | 0.1 | 0.044 | 0.038 | 0 | 0.01 | 0.057 | 0.028 | 0.03 | 0.023 | 0.009 | 0.006 | 0.0205 | 0.018 |
Disclaimer/Publisher’s Note: The statements, opinions and data contained in all publications are solely those of the individual author(s) and contributor(s) and not of MDPI and/or the editor(s). MDPI and/or the editor(s) disclaim responsibility for any injury to people or property resulting from any ideas, methods, instructions or products referred to in the content. |
© 2024 by the authors. Licensee MDPI, Basel, Switzerland. This article is an open access article distributed under the terms and conditions of the Creative Commons Attribution (CC BY) license (https://creativecommons.org/licenses/by/4.0/).
Share and Cite
Purkiewicz, A.; Mumtaz, W.; Tońska, E.; Pietrzak-Fiećko, R. Mineral Content in Initial and Follow-On Infant Formulas in Poland: Nutrient Adequacy and Comparison with Breast Milk. Appl. Sci. 2024, 14, 10235. https://doi.org/10.3390/app142210235
Purkiewicz A, Mumtaz W, Tońska E, Pietrzak-Fiećko R. Mineral Content in Initial and Follow-On Infant Formulas in Poland: Nutrient Adequacy and Comparison with Breast Milk. Applied Sciences. 2024; 14(22):10235. https://doi.org/10.3390/app142210235
Chicago/Turabian StylePurkiewicz, Aleksandra, Wajeeha Mumtaz, Elżbieta Tońska, and Renata Pietrzak-Fiećko. 2024. "Mineral Content in Initial and Follow-On Infant Formulas in Poland: Nutrient Adequacy and Comparison with Breast Milk" Applied Sciences 14, no. 22: 10235. https://doi.org/10.3390/app142210235
APA StylePurkiewicz, A., Mumtaz, W., Tońska, E., & Pietrzak-Fiećko, R. (2024). Mineral Content in Initial and Follow-On Infant Formulas in Poland: Nutrient Adequacy and Comparison with Breast Milk. Applied Sciences, 14(22), 10235. https://doi.org/10.3390/app142210235

