Next Article in Journal
Factors of Weight Loss for Telemedically Supported Metabolic Syndrome Patients in a Controlled Trial
Previous Article in Journal
The AI-Powered Evolution of Big Data
 
 
Font Type:
Arial Georgia Verdana
Font Size:
Aa Aa Aa
Line Spacing:
Column Width:
Background:
Article

Study of High-Frequency Pulsating Flow Control Valves

Key Laboratory of Special Equipment Manufacturing and Advanced Processing Technology, Ministry of Education & Zhejiang Province, Zhejiang University of Technology, Hangzhou 310023, China
*
Author to whom correspondence should be addressed.
Appl. Sci. 2024, 14(22), 10177; https://doi.org/10.3390/app142210177
Submission received: 12 September 2024 / Revised: 14 October 2024 / Accepted: 29 October 2024 / Published: 6 November 2024

Abstract

Pulsating flow signals are widely used in the fields of dynamic calibration of flow meters and reliability testing of fluid transmission pipelines. A high-frequency pulsating flow control valve is proposed, its structure and working principle are introduced, and its mathematical model is also established. Finally, an experimental platform is built to experimentally verify the performance of the high-frequency pulsating flow signal generation of this flow control valve prototype. When applying sinusoidal flow signals of 1–25 Hz, the amplitude of the output flow starts to decay after 2 Hz, and the frequency corresponding to the decay to −3 dB is about 23.5 Hz. The experimental results show that the valve can effectively generate unidirectional sinusoidal flow with a maximum amplitude of 25 L/min and a frequency of 23.5 Hz.

1. Introduction

Pulsating flow signals are crucial in the energy sector, especially in optimizing processes like application of aviation fuel and pipeline transport. They are used to detect flow irregularities, such as leaks or blockages, enhancing safety and efficiency. Pulsating flow valves have evolved significantly since their conceptual development in the mid-20th century, when early ideas focused on improving fluid system efficiency through controlled flow fluctuations. Introduced in the 1960s, these valves became vital in modulating hydraulic and pneumatic systems, initially for vibration damping and energy recovery. By the 1980s and 1990s, pulsating flow valves saw widespread integration into industries such as automotive and aerospace, with advancements in electronic control further enhancing their precision. In the 2000s, specialized designs and materials improved their performance, making them more compact and efficient [1]. Today, pulsating flow valves are critical in modern fluid power systems, enabling improved energy efficiency, better control, and extended equipment lifespan, while also opening avenues for energy recovery and system optimization with the integration of AI and predictive algorithms in the future.
In aviation fuel production, these signals help monitor well production and adjust extraction techniques for better yield [2]. Additionally, pulsating flow improves heat transfer in energy systems, making processes more energy-efficient and reducing operational costs [1]. Hydraulic transmission has the advantages of high power-to-weight ratio and good rapidity, and is widely used in aerospace, engineering machinery, ships, and other fields [3,4]. A flow meter is an important part of an electro-hydraulic servo system; its static and dynamic performance directly affects the working characteristics of the system, so it is important to realize the accurate measurement of dynamic flow [5]. At present, the measurement methods for dynamic flow are mainly a applying step signal (time domain analysis method) and applying a unidirectional sinusoidal signal (frequency domain analysis method) [6]. Among them, the fluid with zero time-averaged velocity is called oscillating flow, and the non-zero time-averaged velocity is called pulsating flow [7], which can be used for dynamic flow measurement. The sinusoidal signal is typically applied using a proportional or servo valve to achieve a controlled flow signal output. In order to ensure that the test results are not distorted, the proportional or servo valve is required to have a bandwidth of at least three times the signal of the dynamic flow being measured [8].
Proportional and servo valves are mainly of two types: direct-acting and pilot-operated [9]. The direct-acting type has a higher frequency response, but its output flow rate is small. The pilot-operated type can output a larger flow rate [10], but its frequency response is smaller than that of the direct-acting type. In order to improve the frequency response of the valve, Rybarczyk and Milecki designed a permanent magnet synchronous motor-driven electro-hydraulic flow valve; compared with the valve with a proportional solenoid, the valve’s step response is faster, with no dead zone [11]. Luo and Zhao and Xing, and Kwon proposed new types of driver for high-frequency voice-coil motors, which effectively improved the frequency response and frequency of the spool valve [12,13]. Huang et al. put forward a kind of claw-pole torque motor, comparing it with the traditional electro-mechanical converter. It exhibited positive stiffness, small mass, and a good linear relationship between the input current and output angular displacement compared with the traditional electro-mechanical converter [14]. In order to improve the reliability, dynamic characteristics, and digitization of the traditional proportional valves, Gao et al. proposed a two-stage digital proportional flow valve in which the pilot stage is two high-speed switching valves. The experimental results show that the delay time of the valve is always within 3.5 ms, and the final amplitude frequency results show that the cutoff frequency is about 15 Hz [15]. Li et al. developed a constant differential pressure fuel flow control servo valve utilizing the 2D principle, in which the valve spool can make linear motions along the axial direction while rotating. The valve has high linearity and a fast step response, and its dynamic response frequency can reach 38 Hz [16]. Wang et al. used a fuzzy PID controller [17] with an integral separation fuzzy proportional-integral differential controller [18] and utilized these two methods to improve the valve’s static-dynamic characteristics and frequency response. Lee et al. used the position control non-minimum phase model inverse feedforward controller on a multistage flow valve, and the results showed that the controller had the smallest phase delay, and the frequency of the phase lag of 90° was about 46 Hz [19]. In addition, a number of scholars use the magnetorheological body, piezoelectric ceramics, and super magnetostrictive and other emerging smart materials instead of the traditional proportional solenoid [20,21,22]. They use these materials to develop flow valves with the advantages of high control accuracy and high-frequency response; however, these output flows are very small and only suitable for ultra-precision machining and other fields [23].
In this paper, a HPFCV (high-frequency pulsating flow control valve) consisting of a constant differential pressure-reducing valve and a sinusoidal flow valve is proposed to generate sinusoidal flow signals at higher frequencies. The paper is organized as follows: in Section 2, the working principle of the high-frequency pulsating flow control valve is presented; in Section 3, its mathematical model is developed; in Section 4, an experimental prototype is developed to test the performance of the valve, and a comparative study is carried out with respect to the simulation results.

2. Working Principle

The schematic diagram of the high-frequency sinusoidal flow control valve proposed in this paper is shown in Figure 1. The HPFCV is composed of a constant differential pressure-reducing valve and a sinusoidal flow valve, in which the role of the constant differential pressure-reducing valve is to control the inlet and outlet pressure difference of the sinusoidal flow valve to a predetermined pressure difference Δ p . The sinusoidal flow valve is driven by a servo motor to rotate the eccentric wheel shaft, which in turn drives the valve spool to reciprocate according to the motion law of Equation (1a). According to the valve port flow equation, the valve outlet flow can be described as sinusoidal (1b).
x v 2 = x 0 s i n ω t + x 0
q 3 = C d W 2 x v 2 2 ρ Δ p
where x v 2 is the sinusoidal flow valve spool displacement; x 0 is the eccentric wheel axis of the eccentric distance; W 2 is the sinusoidal flow valve spool area gradient; q 3 is the sinusoidal flow valve inlet flow; Δ p is the constant differential pressure reducer valve spool pressure difference between the two ends; and ρ is the density of the fluid.
Based on this, the HPFCV can control the frequency of the output sinusoidal flow signal by changing the rotational speed of the motor. It can also adjust the difference between the inlet and outlet pressures by altering the pre-compression of the spring of the constant difference pressure-reducing valve to change the amplitude of the sinusoidal flow signal. Thus, it can realize the generation of high-frequency unidirectional sinusoidal flow signals within an adjustable range.

3. Mathematical Modeling

The following assumptions need to be made before developing a mathematical model of a HPFCV: the pressure loss in the pipeline is negligible; the oil temperature and the bulk modulus of elasticity are constants; and the leakage and Coulomb friction at both ends of the spool are negligible.

3.1. Mathematical Model of Constant Difference Pressure-Reducing Valve

A constant pressure difference between the two ends of the spool in the constant difference pressure-reducing valve is achieved by the spool’s back-and-forth movement, which is a dynamic process. According to Newton’s second law, the force balance of the spool can be obtained from Equation (2).
m 1 d 2 x v 1 d t 2 = p 2 p 3 A k 1 x 1 + x v 1 B p 1 d x v 1 d t + ρ L 0 d q 1 d t + 2 C v C d W 1 x v 1 p 1 p 2 c o s θ
In the formula: m 1 is the mass of the spool of the constant differential pressure-reducing valve; p 2 , p 3 are the pressure of the unsprung chamber and the spring chamber of the spool of the constant differential pressure-reducing valve; A is the effective area of the spool of the constant differential pressure-reducing valve; k 1 is the spring stiffness; x 1 is the spring pre-compression; x v 1 is the displacement of the spool of the constant differential pressure-reducing valve; B p 1 is the viscous damping coefficient; L 0 is the actual process length of the liquid flow in the valve chamber; q 1 is the inlet flow rate; C v is the velocity coefficient; C d is the flow coefficient; W 1 is the area gradient of the fixed-difference pressure-reducing valve; p 1 and p 2 are the inlet and outlet pressures of the fixed-difference pressure-reducing valve, respectively; and θ is the jet angle.
The flow rate through the constant differential pressure-reducing valve can be obtained by Equation (3).
q 1 = q 2 = C d W 1 x v 1 2 ρ p 1 p 2
where q 2 is the outlet flow rate of the constant differential pressure-reducing valve.
When the spool moves, the non-spring/spring feedback chamber will also have flow changes. The spring/non-spring feedback chamber flow continuity equations are Equation (4) and Equation (5), respectively.
q f 1 = A d x v 1 d t V 1 β e d p 2 d t = C d A 1 2 ρ p 2 p 2
q f 2 = A d x v 1 d t + V 2 β e d p 3 d t = C d A 2 2 ρ p 3 p 3
where q f 1 , q f 2 are the non-spring cavity damping hole and spring cavity damping hole through the flow; V 1 , V 2 are the non-spring/spring feedback cavity volume; A 1 , A 2 are the non-spring/spring feedback cavity damping hole size; β e is the modulus of elasticity of the fluid; and p 3 is the flow control valve outlet pressure.

3.2. Servo Motor Mathematical Model

The spool movement of the sinusoidal flow valve is driven by the eccentric wheel shaft, which is connected to the servo motor with a keyway, and the servo motor drives the eccentric wheel shaft to rotate together. The structure of the servo motor is relatively complex, and it has more nonlinear factors; therefore, when deriving the mathematical model of the servo motor, some non-important factors that do not have much influence on the nature of the system are ignored.
The servo motor in this paper uses the Id = 0 vector control method; therefore, the torque equation for EM can be simplified as:
T e = 3 2 p n ψ f i q
where T e is the internal torque of the motor; P n is the number of pole pairs; ψ f is the magnetic chain of the permanent magnet; and i q is the component of the current in the stator in the q -axis.
The balance equation for torque on the servo motor shaft is as follows:
T e T L = J L d ω m d t + D ω m
where T L is the load torque; D is the damping coefficient of the motor; ω m is the mechanical angular velocity; and J L is the moment of inertia converted to the top of the rotating shaft.
Both P n and ψ f in Equation (6) are constants, so by making K t = 1.5 P n ψ f , Equation (6) can be changed to:
T e = K t i q
where K t is the torque coefficient.
In addition, the speed, angle of rotation, and rotor angular velocity have the following relationships:
N r = K b ω m ω e = n p ω m θ e = ω e d t
where K b is the speed factor; and ω e is the rotor angular velocity.
The voltage equation for the equivalent armature circuit of a motor in operation is as follows:
U q = L q d i q d t + R s i q + K m ω e
where K m is the antipotential coefficient.
The speed regulation method used in this servo motor is a speed closed loop; the speed and current loops can be regarded as proportional links, and the gains at these two places are represented by K P and K I , respectively. In addition, the control signal is represented by U r , and the motor’s rotational speed constant is represented by K ω .
The relationship between the servo motor speed and the input voltage can be obtained by performing the Rasch transformation of Equations (7), (8) and (10) in combination with the motor speed control method:
G s = N r s U r s = K I K p K t K b L q s + R s + K i J L s + D + K m n p K t + K Q
where K Q = K I K P K t K b K ω .

3.3. Mathematical Model of Sinusoidal Flow Valve

The operating principle of the sinusoidal flow valve is that the servo motor drives the eccentric wheel shaft to rotate, and the eccentric wheel shaft drives the spool to move. The spool displacement of the sinusoidal flow valve is related to the rotational speed of the servo motor:
x v 2 = x 0 + x 0 s i n π 30 n r t
where n r is the servo motor speed.
The flow equation through a sinusoidal flow valve is:
q 3 = q 4 = C d W 2 x v 2 2 ρ p 2 p 3
where q 4 is the outlet flow rate of the sinusoidal flow valve.
At node 1 shown in Figure 1, Equation (8) can be obtained using the flow continuity equation.
q 2 = q 3 + q f 1 + V 3 β e d p 2 d t
where V 3 is the total volume from the outlet of the constant difference pressure-reducing valve to the inlet of the sinusoidal flow valve and the unsprung chamber damping orifice.
The flow relationship at the outlet of the flow control valve is:
q 5 = q 4 + q f 2 V 4 β e d P 3 d t = C d A 3 2 ρ P 3
where q 5 is the flow rate at the outlet of the flow control valve; A 3 is the size of the damping orifice at the outlet; and V 4 is the total volume from the outlet of the flow control valve to the outlets of the sinusoidal flow valve, and the damping orifice of the left spring chamber.
From the conservation of mass, it can be seen that the inlet and outlet flow rates of the two-way flow control valve are equal, so Equation (9) can be obtained.
q 1 = q 5
The flow rate generated from this flow control valve also needs to be calibrated using testing equipment, and since the dynamic cylinder has good dynamic performance, the experimental system shown in Figure 2 was constructed. The oil flowing from the valve pushes the piston to move, so the flow rate can be obtained by collecting the speed of the piston.
The Equations (2)–(5) and (13)–(16) are subjected to Raschel transformations, in which a block diagram of this flow control valve can be obtained according to Equation (11):
In Figure 3, K q 1 , K q 2 for Q 1 , Q 3 are the flow gain, K c 1 , K c 2 , K c 3 , K c 4 , K c 5 for Q 1 , Q 3 , Q f 1 , Q f 2 , Q 5 are the flow—pressure coefficient, A 4 is the effective area of the hydraulic cylinder piston, V p is the piston speed, and K D , K G represent the servo motor input voltage and speed of rotation, as well as the speed and sinusoidal flow valve spool displacement of the relationship between them. From the figure, it is easy to understand that by controlling different input voltage signals, the corresponding frequency of the output flow can be obtained.

4. Experimental Research

In order to verify the performance of the high-frequency flow control valve, an experimental bench as shown in Figure 4 was built. The experimental bench mainly contains the constant differential pressure-reducing valve, sinusoidal flow valve, hydraulic cylinder, directional valve, speed sensor, and other devices. The oil selected was No. 46 hydraulic oil (Fluid temperature:40 °C; Density:850 g/m3; Viscosity: 46 mm2/s). The output flow from the high-frequency flow control valve passes through the reversing valve into the hydraulic cylinder, causing the piston to move. On the other side of the hydraulic cylinder, flow exists through the reversing valve into the tank. A speed sensor, installed on one end of the piston rod, collect speed signals in the hydraulic cylinder. By multiplying these signals by the piston’s effective area of action, the output flow of the high-frequency flow control valve is obtained.
The parameters of the measured valve and the parameters of the hydraulic cylinder are shown in Table 1.
By controlling the speed of the servo motor in order to generate a sinusoidal flow rate of 0.1–25 Hz, the flow rate measured by the HPFCV can be calculated by picking the signal from the speed sensor. Figure 3 presents the sinusoidal flow rate obtained from the experiment and simulation at four different frequencies.
As can be seen in Figure 5, in the low-frequency state at 1 Hz and 10 Hz, the HPFCV outputs a flow rate amplitude of about 24.5 L/min. Afterwards, as the frequency continues to rise, the amplitude of the resulting flow rate begins to gradually decay, and when the frequency reaches 25 Hz, the amplitude of the sinusoidal flow rate output from the sinusoidal flow control valve decays by about 33%. The amplitude-frequency characteristics of the HPFCV can be obtained according to Equation (17).
L = 20 lg A i A 0
where, A i is the flow amplitude at any frequency of the output of the HPFCV, and A 0 is the flow amplitude at the fundamental frequency, which corresponds to 0.1 Hz in this paper.
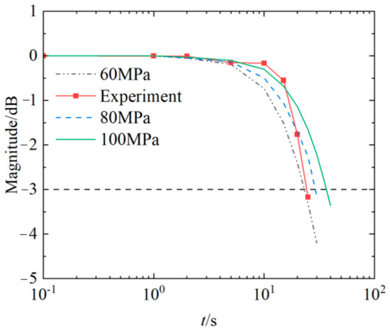
At this point, the experimental Bode plot of the HPFCV shown in Figure 6 can be obtained. As can be seen from the figure, when the frequency reaches 23.5 Hz, the amplitude–frequency characteristic curve of the Bode plot decays to −3 dB. At this time, the sinusoidal flow amplitude of the output of the HPFCV has been attenuated to less than 70% of the amplitude of the flow rate measured at the test frequency of 0.1 Hz. In addition, according to Figure 6, it can be seen that the experimental −3 dB frequency is much smaller than the simulation results. It was assessed that this could be due to the fact that two longer rubber hoses were used for the oil to enter and exit the hydraulic cylinder, and these hoses would have a greater effect on the system. After that, the simulated Bode plots of the rubber hoses with a different Young’s modulus were also obtained. From Figure 7, it can be seen that as the Young’s modulus decreases, the frequency corresponding to −3 dB also decreases; the Young’s modulus corresponding to the rubber hose used in this experiment is around 60 MPa. On the other hand, the hydraulic cylinder used for the experiment has a limited stroke, which may also have some effect on the accurate measurement of the flow rate.

5. Conclusions

In this paper, a HPFCV is proposed for dynamic flow measurement problems. After introducing the working principle of the high-frequency flow control valve, a block diagram of the HPFCV is established. Subsequently, the performance of the valve is experimentally investigated by building a principle prototype of the high-frequency flow control valve and a performance test bench. The main conclusions of this paper are as follows:
(1) The experimental results show that the output flow amplitude of the HPFCV is about 24.5 L/min in the low-frequency state at 1 Hz and 10 Hz. After that, the amplitude of the resulting flow begins to gradually decay as the frequency continues to rise, and the prototype’s −3 dB frequency response is about 23.5 Hz.
(2) There are several limitations to our proposed solution. Firstly, the frequency response of the prototype may not suffice for high-frequency applications. Additionally, significant discrepancies between experimental and simulation results were observed, likely due to the longer rubber hoses at the inlet and outlet of the hydraulic cylinder. Moreover, the stroke length of the hydraulic cylinder may also influence valve performance, introducing variability in the measurements. Lastly, the current design lacks flexibility in controlling the output flow range, which may restrict its use in applications with variable flow rate requirements.
(3) To address these limitations, future development directions will focus on several key areas. Improving the frequency response of the valve will be essential to extend its usability for high-frequency flow control applications. Investigating alternative materials or design adjustments for the rubber hoses can help mitigate their influence on measurement results. Additionally, optimizing the hydraulic cylinder design will ensure consistent performance across different stroke lengths. Integrating a proportional throttle valve will also enhance the versatility of the system by allowing for adjustable mean flow rates. Lastly, we plan to design and implement a unidirectional flow calibration test bench to facilitate continuous flow measurement. By addressing these areas, we aim to enhance the performance and applicability of the HPFCV in various fluid power systems.

Author Contributions

Validation, Y.W.; Writing—original draft, D.Z. and K.Z.; Writing—review & editing, J.R. and C.D.; Visualization, R.S. All authors have read and agreed to the published version of the manuscript.

Funding

This research was funded in part by the Zhejiang Provincial Natural Science Foundation, grant number LY21E050013, and in part by the National Natural Science Foundation of China, grant number 51805480.

Institutional Review Board Statement

Not applicable.

Informed Consent Statement

Not applicable.

Data Availability Statement

The data presented in this study are available on request from the corresponding author. The data are not publicly available due to Data non-disclosure is necessary for ethical reasons, to protect the rights and welfare of the study participants.

Conflicts of Interest

The authors declare no competing interests.

References

  1. Ye, Q.; Zhang, Y.; Wei, J. A comprehensive review of pulsating flow on heat transfer enhancement. Appl. Therm. Eng. 2021, 196, 117275. [Google Scholar] [CrossRef]
  2. Sehra, A.K.; Whitlow, W., Jr. Propulsion and power for 21st century aviation. Prog. Aerosp. Sci. 2004, 40, 199–235. [Google Scholar] [CrossRef]
  3. Wen, D.; Zhen, X.; Chen, F.; Jiang, F.; Shang, X.D. A comparison analysis of hydraulic synchronous multi-motor and traditional synchronous motor. J. Harbin Inst. Technol. 2017, 49, 173–177. [Google Scholar]
  4. Zhang, X.; Liu, P.; Wei, W.; Tian, G.; Li, H. Design and characteristic simulation of variable gear synchronous shunt. Trans. Chin. Soc. Agric. Eng. 2017, 33, 63–69. [Google Scholar]
  5. Johnson, A.N.; Harman, E.; Boyd, J.T. Blow-down calibration of a large ultrasonic flow meter. Flow Meas. Instrum. 2021, 77, 101848. [Google Scholar] [CrossRef]
  6. Liu, T.; Song, T.; Yao, H. Pump-cylinder composite structure new dynamic flowmeter. China Mech. Eng. 2016, 27, 2060–2063+2068. [Google Scholar]
  7. Džemić, Z.; Širok, B.; Bizjan, B. Turbine flowmeter response to transitional flowregimes. Flow Meas. Instrum. 2018, 59, 18–22. [Google Scholar] [CrossRef]
  8. Liu, T.; Jiang, W.; Wang, Y. Research of dynamical flow testing hydraulic experiment. Mach. Tool Hydraul. 2002, 3–4+10. [Google Scholar] [CrossRef]
  9. Meng, B.; Yang, G.; Xu, H.; Li, S.; Ruan, J. Study on characteristics of 2D cartridge electro-hydraulic proportional flow rate valve. J. Mech. Eng. 2022, 58, 421–437. [Google Scholar]
  10. Xu, B.; Ding, R.; Zhang, J.; Su, Q. Modeling and dynamic characteristics analysis on a three-stage fast-response and large-flow directional valve. Energy Convers. Manag. 2014, 79, 187–199. [Google Scholar] [CrossRef]
  11. Rybarczyk, D.; Milecki, A. Electrohydraulic drive with a flow valve controlled by a permanent magnet synchronous motor. Trans. Famena 2020, 44, 31–44. [Google Scholar] [CrossRef]
  12. Luo, C.; Zhao, R. Analysis and restraining of eddy current damping effect in linear voice coil motor. IET Electr. Power Appl. 2020, 14, 837–842. [Google Scholar] [CrossRef]
  13. Xing, F.; Kwon, B. Design of a rotary-linear motor with unipolar spm and voice coil structure. IEEE Access 2020, 8, 150291–150300. [Google Scholar] [CrossRef]
  14. Huang, J.; Song, Z.; Li, S.; Ruan, J. Claw-pole magnetic levitation torque motor for 2D valve with automatic neutral adjustment. IET Electr. Power Appl. 2023, 17, 1285–1303. [Google Scholar] [CrossRef]
  15. Gao, Q.; Zhu, Y.; Wu, C.; Jiang, Y. Development of a novel two-stage proportional valve with a pilot digital flow distribution. Front. Mech. Eng. 2021, 16, 420–434. [Google Scholar] [CrossRef]
  16. Li, Z.; Chang, L.; Cao, J.Z.J.; Ruan, J. Development of a novel two-dimensional(2D) three-way(3W) fuel flow control servo valve with constant pressure difference. Flow Meas. Instrum. 2022, 87, 102210. [Google Scholar] [CrossRef]
  17. Wang, H.; Wang, X.; Huang, J.; Quan, L. Flow control for a two-stage proportional valve with hydraulic position feedback. Chin. J. Mech. Eng. 2020, 33, 93. [Google Scholar] [CrossRef]
  18. Wang, H.; Wang, X.; Huang, J.; Quan, L. Performance improvement of a two-stage proportional valve with internal hydraulic position feedback. J. Dyn. Syst. Meas. Control-Trans. ASME 2021, 143, 071005. [Google Scholar] [CrossRef]
  19. Lee, K.H.; Baek, S.G.; Choi, H.R.; Moon, H.; Ji, S.H.; Koo, J.C. Feedforward model-inverse position control of three-stage servo-valve using zero magnitude error tracking control. Proc. Inst. Mech. Eng. Part C-J. Mech. Eng. Sci. 2019, 233, 2340–2348. [Google Scholar] [CrossRef]
  20. Karunanidhi, S.; Singaperumal, M. Design, analysis and simulation of magnetostrictive actuator and its application to high dynamic servo valve. Sens. Actuatators A-Phys. 2010, 157, 185–197. [Google Scholar] [CrossRef]
  21. Zhang, T.; Yang, B.; Li, H.; Meng, G. Dynamic modeling and adaptive vibration control study for giant magnetostrictive actuators. Sens. Actuators A-Phys. 2013, 190, 96–105. [Google Scholar] [CrossRef]
  22. Yamamoto, H.; Kanda, T.; Wakimoto, S.; Ota, Y.; Takami, H.; Suzumori, K.; Ukida, T.; Nabae, H. A small three-way valve using particle excitation driven by a single piezoelectric transducer for hydraulic actuator. Sens. Actuators A-Phys. 2020, 316, 112363. [Google Scholar] [CrossRef]
  23. Ling, M.; Wang, J.; Wu, M.; Cao, L.; Fu, B. Design and modeling of an improved bridge-type compliant mechanism with its application for hydraulic piezo-valves. Sens. Actuators A-Phys. 2021, 324, 112687. [Google Scholar] [CrossRef]
Figure 1. Schematic structure of high-frequency flow valve.
Figure 1. Schematic structure of high-frequency flow valve.
Applsci 14 10177 g001
Figure 2. Test system.
Figure 2. Test system.
Applsci 14 10177 g002
Figure 3. Flow control valve block diagram.
Figure 3. Flow control valve block diagram.
Applsci 14 10177 g003
Figure 4. Laboratory bench.
Figure 4. Laboratory bench.
Applsci 14 10177 g004
Figure 5. Experimental and simulated sinusoidal flow signals.
Figure 5. Experimental and simulated sinusoidal flow signals.
Applsci 14 10177 g005aApplsci 14 10177 g005b
Figure 6. Bode plot experimental results.
Figure 6. Bode plot experimental results.
Applsci 14 10177 g006
Figure 7. Bode diagram corresponding to different Young’s modulus.
Figure 7. Bode diagram corresponding to different Young’s modulus.
Applsci 14 10177 g007
Table 1. Experimental bench instrument parameters.
Table 1. Experimental bench instrument parameters.
NameModel NumberParameters
Servo motor60AST-M01930Maximum speed 3000 r/min
Rated torque 1.91 N·m
Speed sensorSD-150Measuring range 0–0.1 m/s
Accurate 0.1%, Output voltage 0–500 mV
Pressure sensorsNS-P-I-2A5-10 MPaG100Measuring range 0–10 MPa
Accurate 1%, Output voltage 0–5 V
Hydraulic cylinder Piston diameter 172 mm, Piston rod diameter 18 mm, Course 150 mm
OptoisolatorVDT-210–5 V to 0–5 V
0–10 V to 0–10 V
0–150 mV to 0–150 mV
Directional4WMM10D10BMaximum output flow rate 100 L/min
Disclaimer/Publisher’s Note: The statements, opinions and data contained in all publications are solely those of the individual author(s) and contributor(s) and not of MDPI and/or the editor(s). MDPI and/or the editor(s) disclaim responsibility for any injury to people or property resulting from any ideas, methods, instructions or products referred to in the content.

Share and Cite

MDPI and ACS Style

Zhang, D.; Wu, Y.; Zhu, K.; Shi, R.; Ruan, J.; Ding, C. Study of High-Frequency Pulsating Flow Control Valves. Appl. Sci. 2024, 14, 10177. https://doi.org/10.3390/app142210177

AMA Style

Zhang D, Wu Y, Zhu K, Shi R, Ruan J, Ding C. Study of High-Frequency Pulsating Flow Control Valves. Applied Sciences. 2024; 14(22):10177. https://doi.org/10.3390/app142210177

Chicago/Turabian Style

Zhang, Dongdong, Yunchen Wu, Kuankuan Zhu, Ruiyi Shi, Jian Ruan, and Chuan Ding. 2024. "Study of High-Frequency Pulsating Flow Control Valves" Applied Sciences 14, no. 22: 10177. https://doi.org/10.3390/app142210177

APA Style

Zhang, D., Wu, Y., Zhu, K., Shi, R., Ruan, J., & Ding, C. (2024). Study of High-Frequency Pulsating Flow Control Valves. Applied Sciences, 14(22), 10177. https://doi.org/10.3390/app142210177

Note that from the first issue of 2016, this journal uses article numbers instead of page numbers. See further details here.

Article Metrics

Back to TopTop