Abstract
This paper reports the results of a systematic investigation into the magnetic properties of Bi1−yCayFe1−xMnxO3 (0.1 ≤ y ≤ 0.175, 0.35 ≤ x ≤ 0.45) solid solutions. The substitution of Bi3+ with Ca2+ and the concurrent introduction of Mn3+/Mn4+ ions result in the stabilization of various structural phases, with each exhibiting distinct magnetic characteristics. The investigation indicates that the samples containing the polar rhombohedral phase display metamagnetic transitions at low temperatures, characterized by pronounced jumps in magnetization. Single-phase samples with a nonpolar orthorhombic structure exhibit weak ferromagnetic behavior without metamagnetic features. The observed metamagnetic behavior, accompanied by anomalies in temperature-dependent magnetization and significant remnant magnetization at low temperatures, particularly in samples near the polar-anti(non)polar phase boundary, highlighted the presence of both antiferromagnetic and glassy magnetic components.
1. Introduction
Due to the coupling between the ferroelectric and magnetic order parameters, magnetoelectric multiferroics are considered promising for various applications involving electric field-driven modulation of magnetic properties and spin-polarized charge transport [1,2,3]. Bismuth ferrite (BiFeO3) is an extremely rare example of a single-phase magnetic ferroelectric exhibiting multiferroic behavior at room temperature [4,5,6,7]. This perovskite-like (ABO3) compound is classified as belonging to so-called Type-I multiferroics [8], a class of materials in which ferroelectricity and magnetism have different sources (in the case of bismuth ferrite, associated with the 6s electrons of Bi3+ and the 3d electrons of Fe3+, respectively). Although this distinction does not inherently imply a strong coupling between ferroelectric and magnetic properties [8], in the case of BiFeO3, polar atomic displacements significantly influence the magnetic structure and stabilize the antiferromagnetic (AFM) spin cycloid [9,10] instead of the G-type AFM order predicted by superexchange rules [11].
While the presence of the cycloidal modulation forbids any linear magnetoelectric effect [12], the linear magnetoelectric coupling becomes observable in phases characterized by cone-type or canted AFM order, which can be stabilized in a strong magnetic field (10–15 T at room temperature) [13]. Numerous investigations indicate that the threshold field value can be effectively reduced by partial replacement of Bi3+ with rare-earth (RE3+) ions [14,15,16]. The chemical substitution-driven decrease in the critical field inducing the cycloidal AFM structure-to-canted AFM structure transformation has also been reported for the Bi1−yCayFeO3−y/2 [17], Bi1−yCayFe1−yTiyO3 [18], and Bi1−yCayFe1−y/2Nby/2O3 [19] series, to name a few. The list of solid solutions is not accidentally limited by materials in which Bi3+ is replaced by Ca2+: in contrast to Sr2+-, Pb2+-, and Ba2+-substituted bismuth ferrite samples, whose magnetic properties are often affected by the presence of the ferrimagnetic impurity AEFe12O19 (AE stands for Sr2+, Pb2+ or Ba2+) [20,21,22,23], the formation of Ca-doped BiFeO3 is not accompanied by the appearance of the hexaferrite-type phase [24]. This makes Ca doping a more convenient approach to uncover the real correlations between the crystal structure, microstructure, and multiferroic behavior of bismuth iron oxide-based materials, a long-standing challenge in the study of magnetic ferroelectrics [25,26].
The spontaneous magnetization specific to the canted AFM order (not necessarily stabilized by Ca substitution) is intrinsically small, typically less than 0.3 emu/g [17,18,19,27,28,29,30]. Therefore, new doping-related approaches aimed at enhancing the multiferroic behavior of BiFeO3 remain a key focus of ongoing investigations [31,32]. One of these approaches can be implemented based on the Bi1−yCayFe1−xMnxO3 systems [33,34], where the charge imbalance introduced by the replacement of Bi3+ by Ca2+ is compensated by the appearance of Mn4+. In this system, Mn4+ coexists with Mn3+ at x > y, thereby providing ferromagnetic exchange coupling Mn3+: t2g3eg1–O–Mn4+: t2g3eg0. The recent investigations indicate that the competition between this and the dominant AFM superexchange, Fe3+: t2g3eg2–O–Fe3+: t2g3eg2, gives rise to the formation of a glassy state, which underlies the appearance of significant magnetization at low temperatures [33,34]. A remarkable phenomenon, a jump in magnetization, with a value (up to ~4 emu/g at T = 2 K) that far exceeds that characteristic of the field-driven transformation from the cycloidal to the canted AFM structure in pure BiFeO3 [13], has been observed in the Bi0.85Ca0.15Fe1−xMnxO3 series near the polar/nonpolar (R3c/Pnma) phase boundary existing at 0.4 < x < 0.45 [34]. It is worth noting that such behavior has not been reported for the Bi1−ySryFe1−xMnxO3 [35] or Bi1−yBayFe1−xMnxO3 [36] multiferroics. To the best of our knowledge, it has been described only for a single compound, Bi0.85Ca0.15Fe0.6Mn0.4O3 [34]. To contribute to a better understanding of this unusual metamagnetic behavior, we have carried out a systematic investigation of the magnetic properties of the Bi1−yCayFe1−xMnxO3 (0.1 ≤ y ≤ 0.175, 0.35 ≤ x ≤ 0.45) solid solutions as a function of both Ca and Mn concentrations. The chemical compositions were chosen to enable the provision of competitive superexchange interactions within the polar phase or in proximity to the polar/nonpolar (antipolar) phase boundary.
2. Materials and Methods
Ceramic samples of Bi1−yCayFe1−xMnxO3 (0.1 ≤ y ≤ 0.175, 0.35 ≤ x ≤ 0.45) ferrites were synthesized via a solid-state reaction. Stoichiometric amounts of Bi2O3, CaCO3, Fe2O3, and Mn2O3 powders (with a characteristic particle size of ~10 μm) were precisely weighed and thoroughly mixed in an agate mortar using a pestle. The resulting homogeneous powders were then pressed into pellets. These pellets were placed in sealed alumina crucibles and heated to 950 °C at a rate of 300 °C/h, followed by annealing at this temperature for 20 h. Subsequently, the samples were allowed to cool to room temperature at a rate of ~100 °C/h. The processing parameters were selected based on a synthesis strategy that was previously successfully applied to the synthesis of Ca/Mn-substituted bismuth ferrites with similar chemical compositions [37]. Prior to magnetic characterization, the purity of the samples was assessed using X-ray diffraction (XRD) and scanning electron microscopy (SEM) techniques. Room-temperature XRD patterns were obtained with a Bruker D8 Advance diffractometer (Karlsruhe, Germany) employing Cu Kα radiation (λKα1 = 1.54056 Å, λKα2 = 1.54439 Å). A Ni filter was used to reduce Cu Kβ radiation. The diffraction data were analyzed with the Rietveld method utilizing the FullProf software suite [38]. Secondary electron and backscattered electron microscopy images of fractured surfaces of gold-palladium-coated Bi1−yCayFe1−xMnxO3 ceramics were captured using a VEGA-3 SB (TESCAN) scanning electron microscope (Brno, Czech Republic). Magnetization measurements were performed in magnetic fields up to ±9 T over a temperature range of 2 to 400 K using a cryogen-free Physical Properties Measurement System (PPMS DynaCool, Quantum Design, San Diego, CA, USA).
3. Results and Discussion
The XRD investigation revealed three distinct structural phases in the Bi1−yCayFe1−xMnxO3 series within the compositional ranges studied (Figure 1 and Figure S1, Table 1). Depending on the chemical composition, the identified phases include the following:
Figure 1.
Examples of observed (red circles) and calculated (black line) X-ray diffraction patterns for Bi1−yCayFe1−xMnxO3 samples, shown on a logarithmic scale along the vertical axis to highlight the low-intensity peaks: (a) y = 0.15, x = 0.35; (b) y = 0.1, x = 0.45; and (c) y = 0.175, x = 0.35. The magnified patterns justify the selection of the present perovskite phases (polar, R3c; antipolar, Pnam; and nonpolar, Pnma, with the allowed Bragg reflections indicated by ticks) and exclude the presence of impurity phases. The low-intensity peaks around 29° (marked with an asterisk) result from a small Kβ component of the radiation leaking through the Kβ filter (a Ni foil placed before the detector), appearing as “images”, at lower angles, of the corresponding strong Kα peaks. The intensity changes near the fundamental perovskite reflections (100)c and (110)c (around 22° and 31°, respectively) are due to the Ni absorption edge of the Kβ filter.
Table 1.
Unit cell parameters, R-factors of the refinements, and Néel temperature for Bi1−yCayFe1−xMnxO3 samples.
- (i)
- A rhombohedral phase with lattice parameters a = b ≈ √2ap and c ≈ 2√3ap, with reflection conditions corresponding to the space group R3c– a phase isostructural to the parent BiFeO3 [39];
- (ii)
- An orthorhombic phase with lattice parameters a ≈ √2ap, b ≈ 2√2ap, and c ≈ 4ap, with reflection conditions corresponding to the space group Pnam;
- (iii)
- An orthorhombic phase with lattice parameters a ≈ √2ap, b ≈ 2ap, and c ≈ √2ap, with reflection conditions corresponding to the space group Pnma.
Here, ap ≈ 3.95 Å represents the parameter of the cubic perovskite subcell.
It is found that the combined chemical substitution significantly increases the Ca and Mn concentrations, which define the stability ranges of the parent polar rhombohedral structure (space group R3c) [39] in the solid solutions of Bi1−yCayFeO3−y/2 and BiFe1−xMnxO3 (this structure exists in a single-phase state at y ≤ 0.1 [17,40] and x < 0.25 [41], respectively). The diffraction experiment indicates that, at lower concentrations (x < y), Mn contributes to the stabilization of the polar rhombohedral phase in the Bi1−yCayFe1−xMnxO3 systems. This effect is primarily due to Mn doping-induced elimination of oxygen vacancies (as discussed in detail in [34]), similar to what occurs in the Bi1−yCayFe1−yMnyO3 system, where simultaneous Bi3+ to Ca2+ and Fe3+ to Mn4+ substitution extends the boundary of the ferroelectric phase to y = 0.19 [37]. At higher concentrations (x > y), depending on the Ca content, Mn provokes transitions either to the antipolar phase (space group Pnam) specific to BiFe1−xMnxO3 perovskites at 0.25 < x < 0.65 [41,42] or to the nonpolar phase (space group Pnma) characteristic of CaMnO3 [43]. The concentration boundary of the polar to antipolar (nonpolar) phase transition shifts toward smaller x with an increase in y (Table 1). This observation is in line with the previous study of the Bi0.8Ca0.2Fe1−xMnxO3 series indicating that the polar R3c phase vanishes at 0.1 < x < 0.2 [44]. The structural phase diagram illustrating the changes in the crystal structure of the Bi1−yCayFe1−xMnxO3 compounds as a function of Ca and Mn concentrations is shown in Figure 2.
Figure 2.
Structural phase diagram of the Bi1−yCayFe1−xMnxO3 system near the polar-anti(non)polar phase boundary. Color code for the dots indicating the chemical composition: red–R3c phase, blue–Pnma phase, green–Pnam phase. The tentative lines indicating the region of R3c and Pnma phase coexistence were drawn based on the phase ratios in the phase-separated samples.
Considering that the magnetic behavior of a dominantly antiferromagnetic material can be dramatically affected by the presence of even a tiny amount of a ferro(ferri)magnetic impurity that is hardly detectable by XRD, the X-ray diffraction analysis was supplemented with an SEM study. A comparison between secondary electron microscopy images, which provide information on the sample surface topography, and backscattered electron microscopy images, which are highly sensitive to the atomic number of the elements composing the phase, enables the identification of phases with different chemical compositions at the submicrometer level. This comparison revealed no composition-dependent variations in the image contrast. Examples of the numerous SEM measurements performed on different parts of the Bi1−yCayFe1−xMnxO3 samples at various magnifications are shown in Figure 3 and Figure S2. This observation further supports that the synthesis yielded chemically homogeneous ceramic materials without impurity phases that would mask their intrinsic magnetic properties.
Figure 3.
SEM images of Bi1−yCayFe1−xMnxO3 ceramics captured in both secondary electron (left columns) and backscattered electron (right columns) modes: (a) y = 0.1, x = 0.35; (b) y = 0.1, x = 0.4; (c) y = 0.1, x = 0.45; (d) y = 0.15, x = 0.35; (e) y = 0.15, x = 0.4; (f) y = 0.15, x = 0.45; (g) y = 0.175, x = 0.35; (h) y = 0.175, x = 0.4; (i) y = 0.175, x = 0.45. The field of view is the same for all these images. The scale bar measures 10 μm.
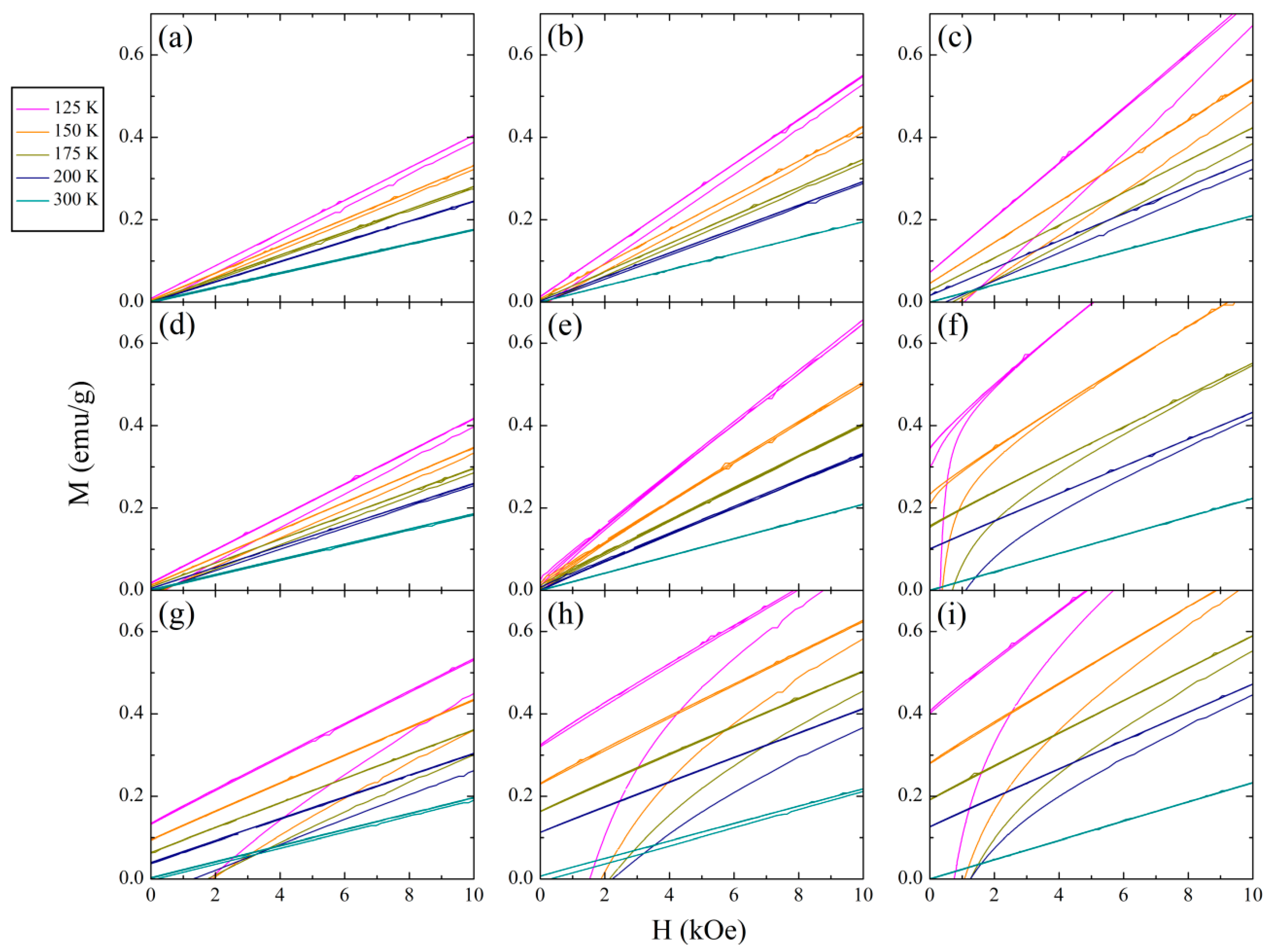
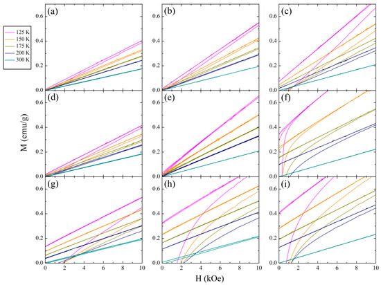
Room-temperature measurements of magnetization of the Bi1−yCayFe1−xMnxO3 compounds as a function of the magnetic field revealed linear or nearly linear M (H) dependencies, which do not allow for an unambiguous interpretation of the magnetic state of the samples, thus motivating further investigation at lower temperatures. These measurements found the unusual magnetization behavior correlating with the crystal structure (phase composition) of the solid solutions. The field dependencies of magnetization measured at temperatures ranging from 300 to 125 K are shown in Figure 4 and Figure 5. The full hysteresis loops are provided in the Supplementary Materials (Figure S3). One can see that the dependencies obtained for the samples possessing the rhombohedral structure (Figure 4a,b,d,e) exhibit a change in slope indicating the onset of a metamagnetic transformation. The threshold field of the transition decreases with an increase in Mn content (i.e., with increasing x). The rhombohedral samples are characterized by very small remnant magnetization (about 0.01 emu/g at T = 125 K; see Figure 5a,b,d,e), which is far less than the spontaneous magnetization specific to the weak ferromagnetic phase of the Ca-substituted BiFeO3-based multiferroics (up to ~0.3 emu/g at room temperature) [17,18,19]. Contrary to the “R3c” compounds, the single-phase orthorhombic samples demonstrate no features implying the existence of a metamagnetic transformation (Figure 4f,i). These samples exhibit the appearance and growth of spontaneous magnetization below room temperature (Figure 5f,i). The value of the magnetization suggests that the orthorhombic samples can be characterized as canted antiferromagnets below their Néel points. The field dependencies obtained for structurally inhomogeneous samples (Figure 4c,g,h and Figure 5c,g,h) demonstrate features characteristic of both the rhombohedral (metamagnetic behavior) and orthorhombic (appearance of relatively large remnant magnetization) solid solutions. The remnant magnetization increases and the metamagnetic anomaly becomes less pronounced as the amount of the rhombohedral phase (Table 1) decreases.
Figure 4.
Field dependencies of magnetization measured for Bi1−yCayFe1−xMnxO3 samples at T = 125, 150, 175, 200, and 300 K: (a) y = 0.1, x = 0.35; (b) y = 0.1, x = 0.4; (c) y = 0.1, x = 0.45; (d) y = 0.15, x = 0.35; (e) y = 0.15, x = 0.4; (f) y = 0.15, x = 0.45; (g) y = 0.175, x = 0.35; (h) y = 0.175, x = 0.4; (i) y = 0.175, x = 0.45.
Figure 5.
Enlarged sections of the field dependencies of magnetization measured for Bi1−yCayFe1−xMnxO3 samples at T = 125, 150, 175, 200, and 300 K: (a) y = 0.1, x = 0.35; (b) y = 0.1, x = 0.4; (c) y = 0.1, x = 0.45; (d) y = 0.15, x = 0.35; (e) y = 0.15, x = 0.4; (f) y = 0.15, x = 0.45; (g) y = 0.175, x = 0.35; (h) y = 0.175, x = 0.4; (i) y = 0.175, x = 0.45. Identical horizontal and vertical scales are used across all panels for direct comparability.
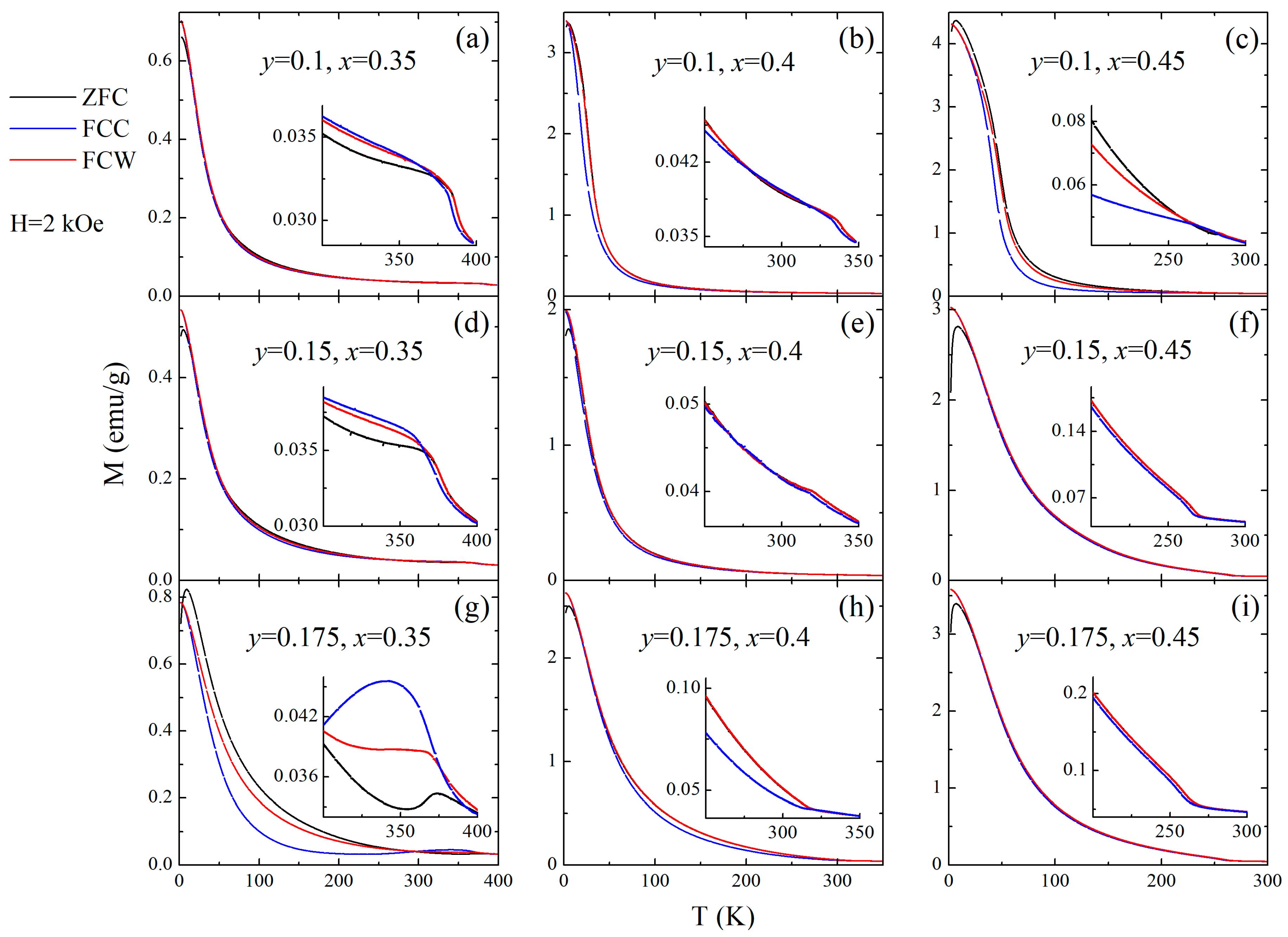
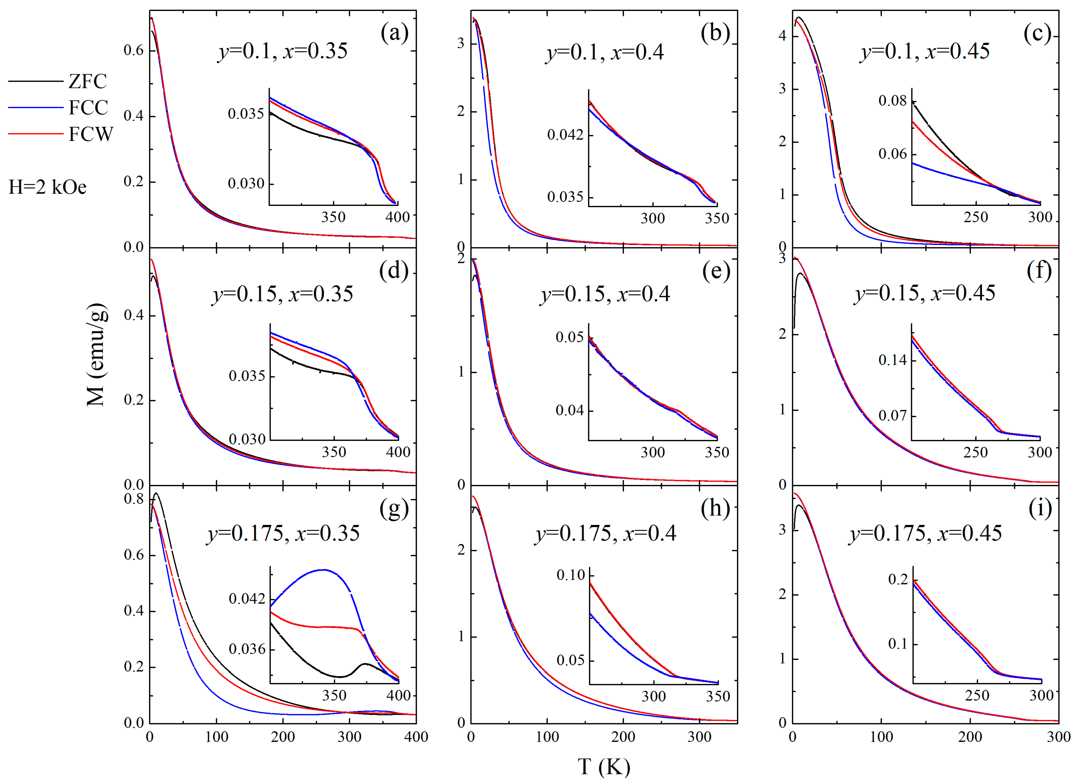
Considering the increasing complexity of the magnetic hysteresis loops as the temperature decreases, further insight into the peculiarities of the field-induced transformations in the Bi1−yCayFe1−xMnxO3 compounds necessitates a preliminary examination of their temperature dependencies of magnetization, M (T). The M (T) dependencies obtained for the Bi1−yCayFe1−xMnxO3 samples in zero field cooling (ZFC), field-cooled cooling (FCC), and field-cooled warming (FCW) modes (Figure 6) exhibit clear regularities that clarify the composition- and temperature-driven evolution of their magnetic state. Careful inspection of the dependencies allows the identification of anomalies indicating the onset of long-range antiferromagnetic ordering (see the insets of Figure 6). In the Bi1−yCayFe1−xMnxO3 (0.1 ≤ y ≤ 0.175, 0.35 ≤ x ≤ 0.45) series, the Néel temperatures (Table 1) are found to decrease at a nearly constant rate with an increase in Ca (Figure 7, left panel) and Mn (Figure 7, right panel) concentrations, with the effect of Mn substitution on the magnetic transition temperature being more pronounced.
Figure 6.
Temperature dependencies of magnetization measured for Bi1−yCayFe1−xMnxO3 samples with an applied field H = 2 kOe in zero field cooling (ZFC), field-cooled cooling (FCC), and field-cooled warming (FCW) modes: (a) y = 0.1, x = 0.35; (b) y = 0.1, x = 0.4; (c) y = 0.1, x = 0.45; (d) y = 0.15, x = 0.35; (e) y = 0.15, x = 0.4; (f) y = 0.15, x = 0.45; (g) y = 0.175, x = 0.35; (h) y = 0.175, x = 0.4; (i) y = 0.175, x = 0.45. The insets show the behavior of the dependencies near the Néel temperature.
Figure 7.
Compositional dependencies of the Néel temperature for Bi1−yCayFe1−xMnxO3 series. The dashed lines are guides to the eye.
All the samples demonstrate a small low-temperature anomaly, a bifurcation between ZFC and FC dependencies, with a maximum on the ZFC curve (Figure 6), a feature typical of glassy magnetic materials. The anomaly becomes more pronounced in the samples enriched with Ca and Mn. The origin of this phenomenon has been thoroughly investigated in our previous articles [33,34]. Neutron diffraction measurements indicate that the antiferromagnetic order in Ca/Mn-substituted bismuth ferrites is partially frustrated, resulting in an ordered magnetic moment significantly smaller than that expected based on the electronic configurations of the interacting ions. DC magnetization and AC magnetic susceptibility measurements reveal magnetic field- and frequency-dependent behavior indicative of a glassy magnetic component. These findings are consistent with observations from similar systems, such as LaFe1−xMnxO3+δ [45] or Bi1−yREyFe1−xMnxO3+δ [46], where the glassy component arises from spin frustration due to the coexistence of antiferromagnetic (e.g., Fe3+–O–Fe3+ or Fe3+–O–Mn3+) [11] and ferromagnetic (e.g., Mn3+–O–Mn4+) [11] exchange interactions involving magnetically-active transition-metal ions in a site-disordered lattice [47]. The glassy behavior is more pronounced in samples with a higher concentration of Mn (including Mn4+ ions), which participate in the ferromagnetic superexchange Mn3+: t2g3eg1–O–Mn4+: t2g3eg0.
The most unusual feature in the temperature dependencies of magnetization for the samples containing the “R3c” phase is the presence of hysteresis between the curves obtained in the cycles of zero field cooling, field-cooled cooling, and field-cooled warming (Figure 6a–e,g,h). The hysteresis starts to develop immediately below the Néel point and persists down to the lowest temperature (2 K) used in the experiment. This effect is most pronounced in the structurally inhomogeneous samples (Table 1, Figure 6c,g,h). No intrinsic hysteresis was detected for the single-phase compounds with an orthorhombic structure, apart from a small instrument-related effect common to all these measurements. (Figure 6f,i).
The origin of the difference in the low- and high-temperature (below the Néel point) magnetic states of the rhombohedral samples, which results in the dependence of the measured magnetization on the heating-cooling protocol, becomes clear when considering the results of neutron diffraction measurements carried out for the Bi0.9Ca0.1Fe0.6Mn0.4O3 compound [48]. The study of the evolution of the magnetic structure of this sample with temperature [48] shows that the G-type antiferromagnetically ordered moments of Fe/Mn ions reorient from the c axis (this orientation forbids spin canting) [49] to the a axis (this orientation permits weak ferromagnetism) [49] as the temperature decreases. Stabilization of dissimilar domain structures upon zero field cooling, field-cooled cooling, and field-cooled warming should thus result in the formation of hysteresis between the corresponding curves (Figure 6a–e,g,h).
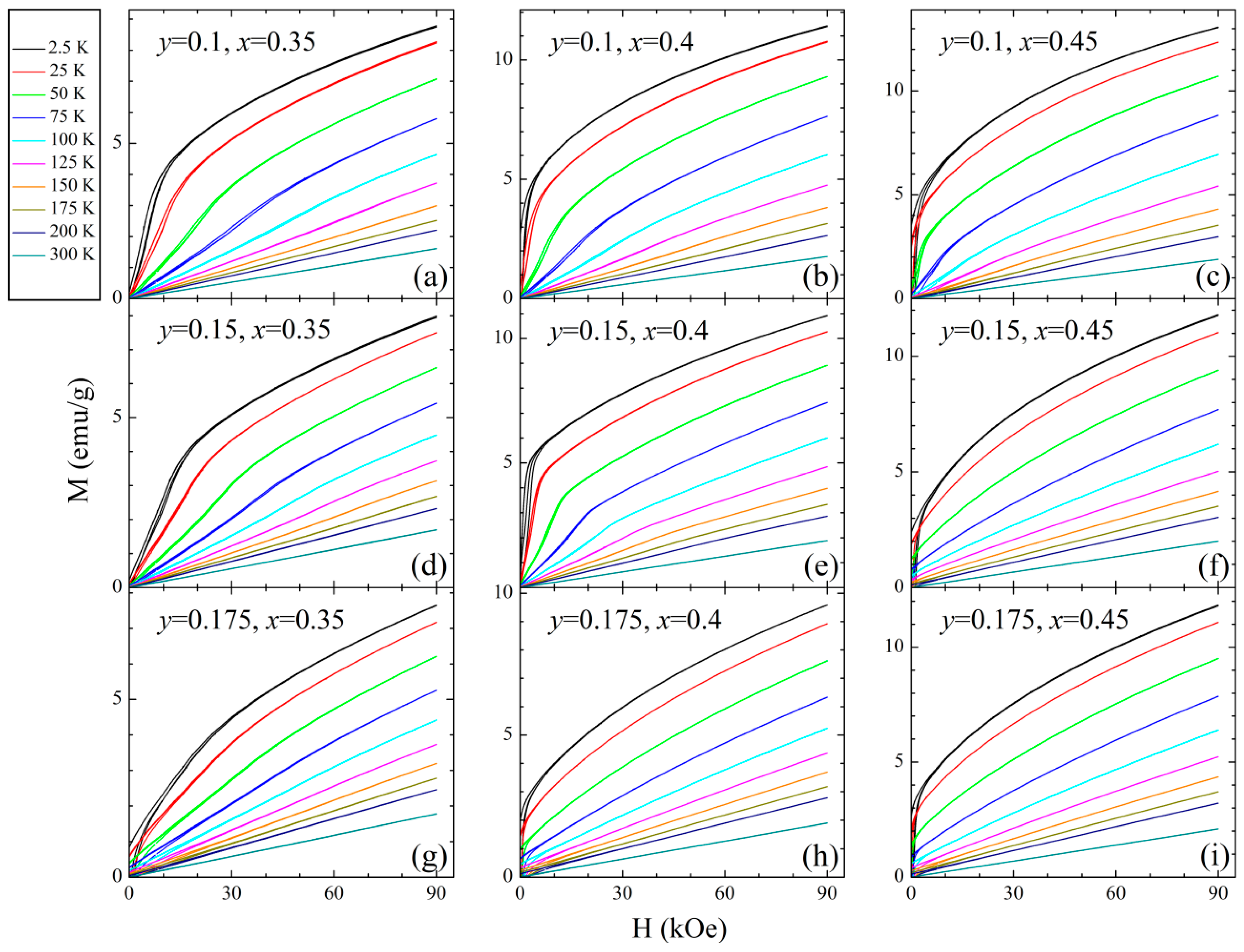
The preceding analysis of the temperature dependencies of magnetization, aimed at clarifying the pattern of changes in the magnetic state of the Bi1−yCayFe1−xMnxO3 samples below their Néel points, allows us now to return to the consideration of the metamagnetic behavior of the samples containing the “R3c” phase to formulate the most important findings/conclusions of this work. Figure 8 and Figure 9 supplement the previously considered data (Figure 4 and Figure 5) with measurements conducted at T ≤ 100 K. The main observations are summarized below.
Figure 8.
Field dependencies of magnetization measured for Bi1−yCayFe1−xMnxO3 samples at different temperatures ranging from 2.5 to 300 K: (a) y = 0.1, x = 0.35; (b) y = 0.1, x = 0.4; (c) y = 0.1, x = 0.45; (d) y = 0.15, x = 0.35; (e) y = 0.15, x = 0.4; (f) y = 0.15, x = 0.45; (g) y = 0.175, x = 0.35; (h) y = 0.175, x = 0.4; (i) y = 0.175, x = 0.45.
Figure 9.
Enlarged sections of the field dependencies of magnetization measured for Bi1−yCayFe1−xMnxO3 samples at different temperatures ranging from 2.5 to 300 K: (a) y = 0.1, x = 0.35; (b) y = 0.1, x = 0.4; (c) y = 0.1, x = 0.45; (d) y = 0.15, x = 0.35; (e) y = 0.15, x = 0.4; (f) y = 0.15, x = 0.45; (g) y = 0.175, x = 0.35; (h) y = 0.175, x = 0.4; (i) y = 0.175, x = 0.45. Identical horizontal and vertical scales are used across all panels for direct comparability.
Metamagnetic behavior is not observed in the single-phase samples with the orthorhombic structure, which demonstrate weak ferromagnetic behavior below their Néel points (Figure 8f,i). The effect is likely due to the difference in the crystal electric field between the rhombohedral and orthorhombic samples, which dictates the character of the magnetic anisotropy. Considering that their low-temperature remnant magnetization (Figure 9f,i) is an order of magnitude higher than the spontaneous characteristic of the weak ferromagnetic state of BiFeO3-based perovskites [17,18,19,27,28,29,30,50], the low-temperature magnetic properties of the samples are affected by the presence of the component, which, in the absence of long-range ferromagnetic order detected by neutron diffraction [34], should be characterized as glassy.
Contrary to the field-driven transition from the cycloidal to the canted antiferromagnetic phase in pure BiFeO3 [13], in the Bi1−yCayFe1−xMnxO3 series, the decrease in temperature shifts the metamagnetic transition toward smaller fields (Figure 8a–e,g), indicating a difference in the origins of these magnetic field-induced transformations.
An increase in the Mn concentration, x, leads to a decrease in the magnetic field required to trigger the metamagnetic phase transition in the rhombohedral phase (Figure 8a–c or Figure 8d,e). In contrast, an increase in the Ca content, y, seems to result in the opposite effect (Figure 8a,d,g or Figure 8b,e). Taking into account the compositional dependence of the critical field for the six samples suitable for such an analysis (Figure 8a–e,g), it can be assumed that the concentration of Jahn–Teller ions of Mn3+, , could be considered as one of the factors affecting the magnetic anisotropy and, accordingly, the stability of the collinear Gz-type AFM structure [33,48], which, as indicated by the vanishingly small values of the remnant magnetization in the single-phase rhombohedral samples (Figure 5a,b,d,e), should be formed near their Néel temperatures. The more apparent trends, the decrease in the critical field (Figure 8a–c or Figure 8d,e) and the Néel temperature (Figure 7) with increasing Mn content, can largely be attributed to the growing frustration of the magnetic order, which intensifies as the Mn concentration in the lattice increases. Neutron diffraction measurements support this observation, revealing a corresponding decrease in the ordered magnetic moment with increasing Mn content [33,34].
Remnant magnetization of the single-phase rhombohedral samples with x = 0.35 increases as the temperature decreases, reaching about 0.2 emu/g at T = 2.5 K (Figure 9a,d). Although this value is comparable to the spontaneous magnetization originating from spin canting in the G-type AFM structure with moments aligned perpendicular to the c axis [49], the character of the temperature dependencies of magnetization (Figure 6a,d) suggests that this increase is at least partially due to the formation of a glassy magnetic state.
A dramatic increase (up to a few emu/g) in low-temperature remnant magnetization is observed in the single-phase rhombohedral samples with x = 0.4 (Figure 9b,e). While the Bi0.85Ca0.15Fe0.6Mn0.4O3 compound still demonstrates metamagnetic behavior at T = 2.5 K (Figure 9e), no features of metamagnetic transformation at T = 2.5 K are seen in the Bi0.9Ca0.1Fe0.6Mn0.4O3 sample (Figure 9b). A further increase in Mn concentration within the Bi0.9Ca0.1Fe1−xMnxO3 series leads to the disappearance of metamagnetic behavior at a higher temperature of 25 K (Figure 9c), indicating that a decrease in temperature and an increase in magnetic field result in the same effect: reorientation of the AFM coupled spins from the c to the a axis, as confirmed by neuron diffraction data [48], with canting of the magnetic moment in the xy plane [49]. At low temperatures, where magnetization is enhanced due to the glassy component, the field-driven Gz to Gx reorientation of the magnetic moments in this partly frustrated system is accompanied by pronounced jumps in magnetization that gradually vanish as the temperature increases (Figure 8a–e,g). In other words, the observed metamagnetic behavior is a manifestation of the spin-reorientation transition (from the collinear to the canted configuration of magnetic moments), which is accompanied by a reorganization of the domain structure and alignment of partially frustrated spins along the field.
It is important to emphasize the difference in magnetic properties between Ca/Mn- and widely studied RE-substituted bismuth ferrites. In the Bi1−xRExFeO3 series [50,51], chemical substitution does not influence the character of the superexchange interactions; instead, it primarily affects the magnetic anisotropy, thereby reducing the threshold field for the magnetic field-induced transition from cycloidal AFM to canted AFM structure [14,15,16]. In contrast, in the Bi1−yCayFe1−xMnxO3 series, Ca/Mn substitution leads to the emergence of competing AFM and FM exchange interactions, which underlies the strong enhancement of magnetization at low temperatures. The metamagnetic behavior observed in the Bi1−yCayFe1−xMnxO3 series below room temperature is attributed to the transformation from collinear AFM order to canted AFM order. This transformation, due to the presence of a glassy magnetic component, is accompanied by large magnetization jumps that are not observed in the Bi1−xRExFeO3 series. Given the significant magnetization jumps, where magnetization reaches a few emu/g in fields as low as a few kOe, an effect uniquely characteristic of Ca/Mn-substituted BiFeO3, these materials hold promising potential for applications involving magnetoelectric coupling.
4. Conclusions
This study systematically explored the magnetic properties of Bi1−yCayFe1−xMnxO3 (0.1 ≤ y ≤ 0.175, 0.35 ≤ x ≤ 0.45) solid solutions. X-ray diffraction measurements revealed three distinct structural phases within the studied compositional ranges, highlighting the role of Mn in stabilizing the polar rhombohedral phase at lower concentrations and facilitating transitions to antipolar or nonpolar orthorhombic phases at higher concentrations. Scanning electron microscopy analyses further supported the absence of impurity phases. Investigation of magnetic properties revealed the correlation between crystal structure and magnetization behavior. Samples containing the rhombohedral phase exhibited metamagnetic transitions with threshold fields decreasing as the Mn content increased or temperature decreased. Orthorhombic samples were weakly ferromagnetic below their Néel points and demonstrated no metamagnetic features. These findings not only contribute to the fundamental understanding of magnetic phase transitions in BiFeO3-based multiferroic materials but also suggest potential avenues for optimizing their magnetoelectric properties through controlled chemical substitutions.
Supplementary Materials
The following supporting information can be downloaded at https://www.mdpi.com/article/10.3390/app14219991/s1: Figure S1: Examples of observed and calculated X-ray diffraction patterns for Bi1−yCayFe1−xMnxO3 samples. (a) y = 0.15, x = 0.35; (b) y = 0.1, x = 0.45; and (c) y = 0.175, x= 0.35. Figure S2: SEM images of Bi1−yCayFe0.55Mn0.45O3 ceramics (y = 0.10, 0.15, and 0.175, from top to bottom), captured in secondary electron mode (left column) and backscattered electron mode (right column). Figure S3: Magnetic hysteresis loops measured for the Bi1−yCayFe1−xMnxO3 samples at different temperatures: (a) y = 0.1, x = 0.35; (b) y = 0.1, x = 0.4; (c) y = 0.1, x = 0.45; (d) y = 0.15, x = 0.35; (e) y = 0.15, x = 0.4; (f) y = 0.15, x = 0.45; (g) y = 0.175, x = 0.35; (h) y = 0.175, x = 0.4; (i) y = 0.175, x = 0.45.
Author Contributions
Conceptualization: V.A.K.; investigation: V.A.K. and M.D.; formal analysis: V.A.K. and M.D.; visualization: V.A.K.; writing—original draft: V.A.K.; writing—review and editing: V.A.K.; methodology: J.A.P.; validation: J.A.P.; resources: J.A.P.; funding acquisition: J.A.P. All authors have read and agreed to the published version of the manuscript.
Funding
This work was supported by FCT—Fundação para a Ciência e Tecnologia, I.P. through the projects UIDB/04564/2020 and UIDP/04564/2020, with DOI identifiers 10.54499/UIDB/04564/2020 and 10.54499/UIDP/04564/2020, respectively. Access to the TAIL-UC facility funded under QREN-Mais Centro project ICT_2009_02_012_1890 is gratefully acknowledged.
Institutional Review Board Statement
Not applicable.
Informed Consent Statement
Not applicable.
Data Availability Statement
The original contributions presented in the study are included in the article/Supplementary Material; further inquiries can be directed to the corresponding author.
Acknowledgments
The authors would like to thank Mantas Skaržinskas for his assistance with sample preparation.
Conflicts of Interest
The authors declare no conflicts of interest.
References
- Spaldin, N.A.; Ramesh, R. Advances in magnetoelectric multiferroics. Nat. Mater. 2019, 18, 203–212. [Google Scholar] [CrossRef] [PubMed]
- Wu, R.; MacManus-Driscoll, J.L. Recent developments and the future perspectives in magnetoelectric nanocomposites for memory applications. APL Mater. 2022, 10, 010901. [Google Scholar] [CrossRef]
- Xu, S.; Wang, X.; Bellaiche, L.; Xu, B. Electric control of magnetism in multiferroic rare-earth-substituted BiFeO3 with ferrielectricity. Phys. Rev. Lett. 2024, 133, 046801. [Google Scholar] [CrossRef] [PubMed]
- Wang, N.; Luo, X.; Han, L.; Zhang, Z.; Zhang, R.; Olin, H.; Yang, Y. Structure, performance, and application of BiFeO3 nanomaterials. Nano-Micro Lett. 2020, 12, 81. [Google Scholar] [CrossRef]
- Kharbanda, S.; Dhanda, N.; Sun, A.C.A.; Thakur, A.; Thakur, P. Multiferroic perovskite bismuth ferrite nanostructures: A review on synthesis and applications. J. Magn. Magn. Mater. 2023, 572, 170569. [Google Scholar] [CrossRef]
- Čebela, M.; Zagorac, D.; Batalović, K.; Radaković, J.; Stojadinović, B.; Spasojević, V.; Hercigonja, R. BiFeO3 perovskites: A multidisciplinary approach to multiferroics. Ceram. Int. 2017, 43, 1256–1264. [Google Scholar] [CrossRef]
- Jangid, S.; Barbar, S.K.; Roy, M. Structural, electrical and magnetic properties of pure and substituted BiFeO3 multiferroics. In Biosensors Nanotechnology, 1st ed.; Tiwari, A., Turner, A.P.F., Eds.; Wiley-Scrivener: Hoboken, NJ, USA, 2014; pp. 433–505. [Google Scholar]
- Khomskii, D. Classifying multiferroics: Mechanisms and effects. Physics 2009, 2, 20. [Google Scholar] [CrossRef]
- Sosnowska, I.; Peterlin-Neumaier, T.; Steichele, E. Spiral magnetic ordering in bismuth ferrite. J. Phys. C Solid State Phys. 1982, 15, 4835–4846. [Google Scholar] [CrossRef]
- Johnson, R.D.; Barone, P.; Bombardi, A.; Bean, R.J.; Picozzi, S.; Radaelli, P.G.; Oh, Y.S.; Cheong, S.-W.; Chapon, L.C. X-ray imaging and multiferroic coupling of cycloidal magnetic domains in ferroelectric monodomain BiFeO3. Phys. Rev. Lett. 2013, 110, 217206. [Google Scholar] [CrossRef]
- Goodenough, J.B.; Wold, A.; Arnott, R.J.; Menyuk, N. Relationship between crystal symmetry and magnetic properties of ionic compounds containing Mn3+. Phys. Rev. 1961, 124, 373–384. [Google Scholar] [CrossRef]
- Tabares-Muñoz, C.; Rivera, J.-P.; Bezinges, A.; Monnier, A.; Schmid, H. Measurement of the quadratic magnetoelectric effect on single crystalline BiFeO3. Jpn. J. Appl. Phys. 1985, 24, 1051–1053. [Google Scholar] [CrossRef]
- Kawachi, S.; Miyake, A.; Ito, T.; Dissanayake, S.E.; Matsuda, M.; Ratcliff, W., II; Xu, Z.; Zhao, Y.; Miyahara, S.; Furukawa, N.; et al. Successive field-induced transitions in BiFeO3 around room temperature. Phys. Rev. Mater. 2017, 1, 024408. [Google Scholar] [CrossRef]
- Le Bras, G.; Colson, D.; Forget, A.; Genand-Riondet, N.; Tourbot, R.; Bonville, P. Magnetization and magnetoelectric effect in Bi1−xLaxFeO3 (0 ≤ x ≤ 0.15). Phys. Rev. B 2009, 80, 134417. [Google Scholar] [CrossRef]
- Troyanchuk, I.O.; Bushinsky, M.V.; Karpinsky, D.V.; Mantytskaya, O.S.; Fedotova, V.V.; Prochnenko, O.I. Structural transformations and magnetic properties of Bi1−xLnxFeO3 (Ln = La, Nd, Eu) multiferroics. Phys. Status Solidi B 2009, 246, 1901–1907. [Google Scholar] [CrossRef]
- Chen, P.; Günaydın-Şen, Ö.; Ren, W.J.; Qin, Z.; Brinzari, T.V.; McGill, S.; Cheong, S.-W.; Musfeldt, J.L. Spin cycloid quenching in Nd3+-substituted BiFeO3. Phys. Rev. B 2012, 86, 014407. [Google Scholar] [CrossRef]
- Troyanchuk, I.O.; Karpinsky, D.V.; Bushinsky, M.V.; Kovetskaya, M.I.; Efimova, E.A.; Eremenko, V.V. Morphotropic phase boundary, weak ferromagnetism, and strong piezoelectric effect in Bi1−xCaxFeO3−x/2 compounds. J. Exp. Theor. Phys. 2011, 113, 1025–1031. [Google Scholar] [CrossRef]
- Karpinsky, D.V.; Troyanchuk, I.O.; Vidal, J.V.; Sobolev, N.A.; Kholkin, A.L. Enhanced ferroelectric, magnetic and magnetoelectric properties of Bi1−xCaxFe1−xTixO3 solid solutions. Solid State Commun. 2011, 151, 536–540. [Google Scholar] [CrossRef]
- Troyanchuk, I.O.; Tereshko, N.V.; Karpinsky, D.V.; Kholkin, A.L.; Kopcewicz, M.; Bärner, K. Enhanced piezoelectric and magnetic properties of Bi1−xCaxFe1-x/2Nbx/2O3 solid solutions. J. Appl. Phys. 2011, 109, 114102. [Google Scholar] [CrossRef]
- Clemens, O.; Kruk, R.; Patterson, E.A.; Loho, C.; Reitz, C.; Wright, A.J.; Knight, K.S.; Hahn, H.; Slater, P.R. Introducing a large polar tetragonal distortion into Ba-doped BiFeO3 by low-temperature fluorination. Inorg. Chem. 2014, 53, 12572–12583. [Google Scholar] [CrossRef]
- Kumar, A.; Narayan, B.; Pachat, R.; Ranjan, R. Magnetic enhancement of ferroelectric polarization in a self-grown ferroelectric-ferromagnetic composite. Phys. Rev. B 2018, 97, 064103. [Google Scholar] [CrossRef]
- Kumar, A.; Kumar, A.; Saha, S.; Basumatary, H.; Ranjan, R. Ferromagnetism in the multiferroic alloy systems BiFeO3-BaTiO3 and BiFeO3-SrTiO3: Intrinsic or extrinsic? Appl. Phys. Lett. 2019, 114, 022902. [Google Scholar] [CrossRef]
- Saha, S.; Singh, R.P.; Rout, A.; Mishra, A.; Ali, A.; Basumatary, H.; Ranjan, R. Inducing ferromagnetism and magnetoelectric coupling in the ferroelectric alloy system BiFeO3–PbTiO3 via additives. J. Appl. Phys. 2023, 133, 064101. [Google Scholar] [CrossRef]
- Troyanchuk, I.O.; Bushinsky, M.V.; Chobot, A.N.; Mantytskaya, O.S.; Pushkarev, N.V.; Szymczak, R. Crystal-structure and magnetic phase transformations in solid solutions of BiFeO3-AFe0.5Nb0.5O3 (A = Ca, Sr, Ba, Pb). J. Exp. Theor. Phys. 2008, 107, 245–250. [Google Scholar] [CrossRef]
- Raghavender, A.T.; Hong, N.H. Effects of Mn doping on structural and magnetic properties of multiferroic BiFeO3 nanograins made by sol-gel method. J. Magn. 2011, 16, 19–22. [Google Scholar] [CrossRef]
- Hosseini, S.; Gholizadeh, A. Optimizing physical properties of BiFe1−xMnxO3 perovskite thin films via a low-temperature sol-gel method. Ceram. Int. 2023, 49, 40258–40267. [Google Scholar] [CrossRef]
- Gautam, A.; Rangra, V.S. Effect of Ba ions substitution on multiferroic properties of BiFeO3 perovskite. Cryst. Res. Technol. 2010, 45, 953–956. [Google Scholar] [CrossRef]
- Abdelmadjid, K.; Lukacs, V.A.; Gheorghiu, F. Dielectric and magnetic properties of (Pb, Ti) co-doped BiFeO3 multiferroic ceramics. Ceram. Int. 2023, 49, 32711–32718. [Google Scholar] [CrossRef]
- Sutha, A.; Shameem Banu, I.B.; Rajesh, R.; Deepika, M.; Mohan Ram, E. Effect of Ca and Nb co-doping on optical and magnetoelectric properties of polycrystalline BiFeO3 ceramics. J. Mater. Sci. Mater. Electron. 2024, 35, 1764. [Google Scholar] [CrossRef]
- Long, N.D.; Ha, C.V.; Pham, Q.N.; Rivere, E.; Tran, N.; Hong, N.T.M.; Karpinsky, D.V.; Ha, L.T.; Thanh, P.T.; Six, T.; et al. Weak ferromagnetism in morphotropic phase boundary of BiFeO3-based materials. J. Alloys Compd. 2024, 986, 174169. [Google Scholar] [CrossRef]
- Wadne, U.K.; Kadam, R.H.; Batoo, K.M.; Mane, M.L.; Hussain, S.; Shirsath, S.E.; Shitre, A.R. Enhanced multiferroic effect in multi-phased Eu substituted Bi–Fe–Mn perovskite oxides. Ceram. Int. 2023, 49, 8132–8139. [Google Scholar] [CrossRef]
- Sharma, S.; Kumar, A.; Thakur, O.P. Investigations on structural, magnetic, and dielectric properties of Gd-substituted perovskite BiFeO3 multiferroics. J. Mater. Sci. Mater. Electron. 2023, 34, 2050. [Google Scholar] [CrossRef]
- Khomchenko, V.A.; Silibin, M.V.; Bushinsky, M.V.; Latushka, S.I.; Karpinsky, D.V. Magnetic structure and properties of Ca, Mn-doped bismuth ferrites near the polar/nonpolar phase boundary. J. Phys. Chem. Solids 2020, 146, 109612. [Google Scholar] [CrossRef]
- Khomchenko, V.A.; Das, M.; Paixão, J.A.; Silibin, M.V.; Karpinsky, D.V. Structural and magnetic phase transitions in Ca-substituted bismuth ferromanganites. J. Alloys Compd. 2022, 901, 163682. [Google Scholar] [CrossRef]
- Salmani, I.A.; Murtaza, T.; Khan, M.S.; Khan, M.S. Influence of Sr and Mn co-doping on the structural, optical, dielectric, multiferroic properties and band gap tuning in bismuth ferrite ceramics. J. Mater. Sci. Mater. Electron. 2022, 33, 959–973. [Google Scholar] [CrossRef]
- Dubey, A.; Castillo, M.E.; Landers, J.; Salamon, S.; Wende, H.; Hagemann, U.; Gemeiner, P.; Dkhil, B.; Shvartsman, V.V.; Lupascu, D.C. Effect of Mn and Ba codoping on a magnetic spin cycloid of multiferroic bismuth ferrite nanoparticles. J. Phys. Chem. C 2020, 124, 22266–22277. [Google Scholar] [CrossRef]
- Troyanchuk, I.O.; Bushinsky, M.V.; Chobot, A.N.; Mantytskaya, O.S.; Tereshko, N.V.; Chobot, G.M.; Sirenko, V.A.; Eremenko, V.V. Magnetic properties of the multiferroics Bi1−xCaxFe1−xMnxO3 and Bi1−xCaxFe1−xTixO3. Low Temp. Phys. 2016, 42, 1122–1125. [Google Scholar] [CrossRef]
- Rodríguez-Carvajal, J. Recent advances in magnetic structure determination by neutron powder diffraction. Phys. B 1993, 192, 55–69. [Google Scholar] [CrossRef]
- Kubel, F.; Schmid, H. Structure of a ferroelectric and ferroelastic monodomain crystal of the perovskite BiFeO3. Acta Cryst. B 1990, 46, 698–702. [Google Scholar] [CrossRef]
- Hiroyama, T.; Hirata, A.; Inoue, Y.; Horibe, Y.; Koyama, Y. Effect of Ca doping on modulated structures in multiferroic Bi1−xCaxFeO3. J. Phys. Soc. Jpn. 2019, 88, 054601. [Google Scholar] [CrossRef]
- Karpinsky, D.V.; Silibin, M.V.; Latushka, S.I.; Zhaludkevich, D.V.; Sikolenko, V.V.; Al-Ghamdi, H.; Almuqrin, A.H.; Sayyed, M.I.; Belik, A.A. Structural and magnetic phase transitions in BiFe1−xMnxO3 solid solution driven by temperature. Nanomaterials 2022, 12, 1565. [Google Scholar] [CrossRef]
- Belik, A.A. Two perovskite modifications of BiFe0.6Mn0.4O3 prepared by high-pressure and post-synthesis annealing at ambient pressure. Inorganics 2024, 12, 226. [Google Scholar] [CrossRef]
- Poeppelmeier, K.R.; Leonowicz, M.E.; Scanlon, J.C.; Longo, J.M.; Yelon, W.B. Structure determination of CaMnO3 and CaMnO2.5 by X-ray and neutron methods. J. Solid State Chem. 1982, 45, 71–79. [Google Scholar] [CrossRef]
- Yin, L.H.; Sun, Y.P.; Zhang, F.H.; Wu, W.B.; Luo, X.; Zhu, X.B.; Yang, Z.R.; Dai, J.M.; Song, W.H.; Zhang, R.L. Magnetic and electrical properties of Bi0.8Ca0.2Fe1−xMnxO3 (0 ≤ x ≤ 0.5). J. Alloys Compd. 2009, 488, 254–259. [Google Scholar] [CrossRef]
- De, K.; Ray, R.; Panda, R.N.; Giri, S.; Nakamura, H.; Kohara, T. The effect of Fe substitution on magnetic and transport properties of LaMnO3. J. Magn. Magn. Mater. 2005, 288, 339–346. [Google Scholar] [CrossRef]
- Bridges, C.A.; Sefat, A.S.; Payzant, E.A.; Cranswick, L.; Paranthaman, M.P. Structure and magnetic order in the series BixRE1−xFe0.5Mn0.5O3 (RE = La,Nd). J. Solid State Chem. 2011, 184, 830–842. [Google Scholar] [CrossRef]
- Ramirez, A.P. Strongly geometrically frustrated magnets. Annu. Rev. Mater. Sci. 1994, 24, 453–480. [Google Scholar] [CrossRef]
- Khomchenko, V.A.; Karpinsky, D.V.; Bushinsky, M.V.; Zhaludkevich, D.V.; Franz, A.; Silibin, M.V. Effect of Mn substitution on the crystal and magnetic structure of Bi1−xCaxFeO3−x/2 multiferroics. Mater. Lett. 2020, 266, 127470. [Google Scholar] [CrossRef]
- Ederer, C.; Spaldin, N.A. Weak ferromagnetism and magnetoelectric coupling in bismuth ferrite. Phys. Rev. B 2005, 71, 060401. [Google Scholar] [CrossRef]
- Walker, J.; Mirjanic, A.; Prah, U.; Sadl, M.; Condurache, O.A.; Bencan, A.; Rojac, T.; Grigoras, M.; Ursic, H. Magnetic contributions in multiferroic gadolinium modified bismuth ferrite ceramics. Scr. Mater. 2020, 188, 233–237. [Google Scholar] [CrossRef]
- Mumtaz, F.; Nasir, S.; Jaffari, G.H.; Shah, S.I. Chemical pressure exerted by rare earth substitution in BiFeO3: Effect on crystal symmetry, band structure and magnetism. J. Alloys Compd. 2021, 876, 160178. [Google Scholar] [CrossRef]
Disclaimer/Publisher’s Note: The statements, opinions and data contained in all publications are solely those of the individual author(s) and contributor(s) and not of MDPI and/or the editor(s). MDPI and/or the editor(s) disclaim responsibility for any injury to people or property resulting from any ideas, methods, instructions or products referred to in the content. |
© 2024 by the authors. Licensee MDPI, Basel, Switzerland. This article is an open access article distributed under the terms and conditions of the Creative Commons Attribution (CC BY) license (https://creativecommons.org/licenses/by/4.0/).








