Numerical Simulation of Organic Pollution Migration in the Heterogeneous Aquifer and the Application of Chemotactic Bacteria for Remediation: A Case Study of a Chemical Contamination Site in Zhejiang Province, China
Abstract
1. Introduction
2. Site Overview
2.1. Pollution Characteristics
2.2. Geological Profile
2.3. Groundwater Conditions
3. Software and Methodology
3.1. Software
3.2. Groundwater Contaminant Transport Mathematical Model
3.3. Bacterial Chemotaxis Model
- -
- “” represents the bacterial free-swimming speed.
- -
- “a” represents the attractant concentration.
- -
- “χ0” stands for the chemotaxis sensitivity coefficient, indicating the degree of response to the gradient of attractant concentration.
- -
- “Kc” is the chemoreceptor’s kinetic constant, related to the receptor saturation concentration.
- -
- ∂a/∂x, ∂a/∂y, ∂a/∂z represent the gradients of the attractant concentration in the x, y, and z directions, respectively.
4. Results and Discussion
4.1. Hydrogeological Model
4.2. Pollutant Distribution
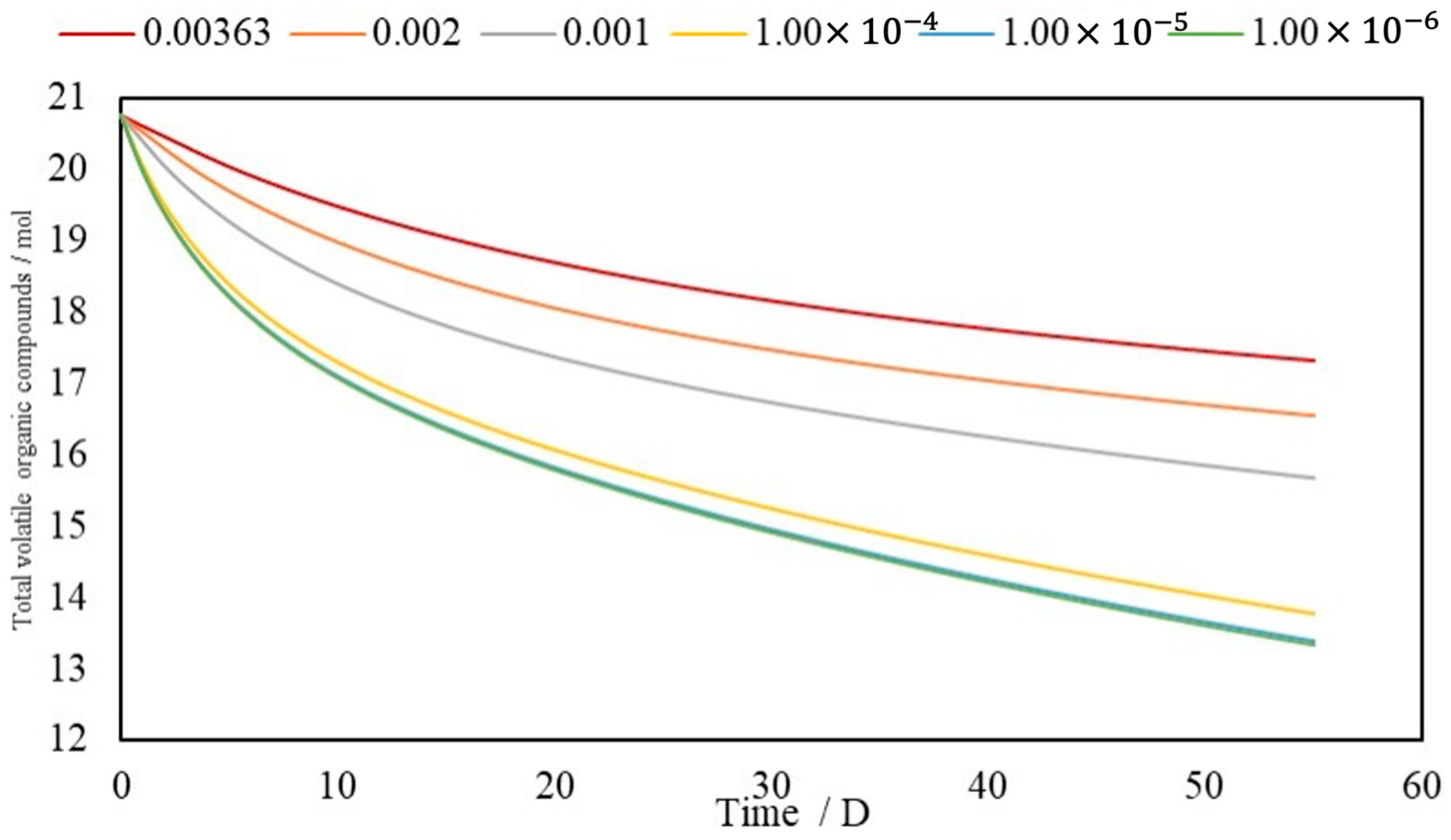
4.3. Microbial Remediation with Chemotaxis Optimization
5. Conclusions
Author Contributions
Funding
Institutional Review Board Statement
Informed Consent Statement
Data Availability Statement
Conflicts of Interest
References
- Wang, S.; Xu, Y.; Lin, Z.; Zhang, J.; Norbu, N.; Liu, W. The Harm of Petroleum-Polluted Soil and Its Remediation Research. AIP Conf. Proc. 2017, 1864, 020222. [Google Scholar] [CrossRef]
- Zheng, J.; Fu, Y.; Song, Q.; Xie, J.; Lin, S.; Liang, R. Advances in the bioaugmentation-assisted remediation of petroleum contaminated soil. Sheng Wu Gong Cheng Xue Bao=Chin. J. Biotechnol. 2021, 37, 3622–3635. [Google Scholar] [CrossRef]
- Lu, M.; Zhang, Z.; Qiao, W.; Guan, Y.; Xiao, M.; Peng, C. Removal of Residual Contaminants in Petroleum-Contaminated Soil by Fenton-like Oxidation. J. Hazard. Mater. 2010, 179, 604–611. [Google Scholar] [CrossRef] [PubMed]
- Wang, X.; Ren, L.; Long, T.; Geng, C.; Tian, X. Migration and Remediation of Organic Liquid Pollutants in Porous Soils and Sedimentary Rocks: A Review. Environ. Chem. Lett. 2023, 21, 479–496. [Google Scholar] [CrossRef]
- Luo, Y.M. Current Research and Development in Soil Remediation Technologies. Prog. Chem. 2009, 21, 558–565. [Google Scholar]
- Zhao, X.Y.; Tan, W.B.; Dang, Q.L.; Li, R.F.; Xi, B.D. Enhanced Biotic Contributions to the Dechlorination of Pentachlorophenol by Humus Respiration from Different Compostable Environments. Chem. Eng. J. 2019, 361, 1565–1575. [Google Scholar] [CrossRef]
- Zheng, L.; Long, T.; Lin, Y.; Yu, C.; Liu, Y.; Zhu, X. Biolog-ECO Analysis of Microbial Community Functional Diversity in Organochlorine Contaminated Soil. Chin. J. Appl. Environ. Biol. 2013, 19, 759–765. [Google Scholar] [CrossRef]
- Zhou, B.H.; Yuan, R.F.; Shi, C.H.; Yu, L.Y.; Gu, J.N.; Zhang, C.L. Biodegradation of Geosmin in Drinking Water by Novel Bacteria Isolated from Biologically Active Carbon. J. Environ. Sci. 2011, 23, 816–823. [Google Scholar] [CrossRef]
- Wang, Q.; Yang, Z.; Yin, L.; Song, X.; Wei, C.; Li, Y.; Zhai, W. Bibliometric analysis on bioremediation of organic contaminated soil and groundwater based on Web of Science database. Sheng Wu Gong Cheng Xue Bao=Chin. J. Biotechnol. 2021, 37, 3549–3564. [Google Scholar] [CrossRef]
- Li, H.L.; Boufadel, M.C. Long-Term Persistence of Oil from the Exxon Valdez Spill in Two-Layer Beaches. Nat. Geosci. 2010, 3, 96–99. [Google Scholar] [CrossRef]
- Gao, B.; Wang, X.; Ford, R.M. Chemotaxis along Local Chemical Gradients Enhanced Bacteria Dispersion and PAH Bioavailability in a Heterogenous Porous Medium. Sci. Total Environ. 2023, 859, 160004. [Google Scholar] [CrossRef]
- Parales, R.E.; Ditty, J.L.; Harwood, C.S. Toluene-Degrading Bacteria Are Chemotactic towards the Environmental Pollutants Benzene, Toluene, and Trichloroethylene. Appl. Environ. Microbiol. 2000, 66, 4098–4104. Available online: http://Aem.Asm.Org/ (accessed on 13 November 2012). [CrossRef] [PubMed]
- Pedit, J.A.; Marx, R.B.; Miller, C.T.; Aitken, M.D. Quantitative Analysis of Experiments on Bacterial Chemotaxis to Naphthalene. Biotechnol. Bioeng. 2002, 78, 626–634. [Google Scholar] [CrossRef] [PubMed]
- Zhao, F.; Liu, H.; Wang, S.; Niu, G.; Zhou, N. Chemotaxis of Pseudomonas sp. Strain ZWL73 to 4-chloronitrobenzene and various aromatic compounds. J. Zhejiang Univ. 2004, 30, 624–627. [Google Scholar]
- Qiao, C.; Ren, L.; Jia, Y.; Fan, S.; Wang, J.; Yan, Y. Chemotaxis of Arthrobacter sp. CN2 towards p-nitrophenol. J. Agro-Environ. Sci. 2016, 35, 1945–1952. [Google Scholar]
- Strobel, K.L.; McGowan, S.; Bauer, R.D.; Griebler, C.; Liu, J.; Ford, R.M. Chemotaxis Increases Vertical Migration and Apparent Transverse Dispersion of Bacteria in a Bench-Scale Microcosm. Biotechnol. Bioeng. 2011, 108, 2070–2077. [Google Scholar] [CrossRef]
- Xie, W.; Ren, B.; Hursthouse, A.S.; Wang, Z.; Luo, X. Simulation of Manganese Transport in Groundwater Using Visual MODFLOW: A Case Study from Xiangtan Manganese Ore Area in Central China. Pol. J. Environ. Stud. 2021, 30, 1409–1420. [Google Scholar] [CrossRef]
- Alexander, A.C.; Ndambuki, J.M. Optimal Design of Groundwater Pollution Management Systems for a Decanting Contaminated Site: A Simulation-Optimization Approach. Groundw. Sustain. Dev. 2021, 15, 100664. [Google Scholar] [CrossRef]
- Pongritsakda, T.; Nakamura, K.; Wang, J.; Watanabe, N.; Komai, T. Prediction and Remediation of Groundwater Pollution in a Dynamic and Complex Hydrologic Environment of an Illegal Waste Dumping Site. Appl. Sci. 2021, 11, 9229. [Google Scholar] [CrossRef]
- Shakeri, R.; Nassery, H.R.; Ebadi, T. Numerical Modeling of Groundwater Flow and Nitrate Transport Using MODFLOW and MT3DMS in the Karaj Alluvial Aquifer, Iran. Env. Monit Assess 2022, 195, 242. [Google Scholar] [CrossRef]
- El-Aassar, A.-H.; Hagagg, K.; Hussien, R.; Oterkus, S.; Oterkus, E. Integration of Groundwater Vulnerability with Contaminants Transport Modeling in Unsaturated Zone, Case Study El-Sharqia, Egypt. Env. Monit Assess 2023, 195, 722. [Google Scholar] [CrossRef]
- Zhong, W.; Tian, Z.; Wang, T. Regularity of Gas Leakage from Underground Chemical Explosions Based on Dimensional Analysis and Darcy’s Law. Chin. J. Comput. Phys. 2019, 36, 449–456. [Google Scholar]
- Jones, W.F. A Numerical Analysis of Richards’ Equation for Unsaturated Porous Media Flow. Ph.D. Thesis, Clemson University, Clemson, SC, USA, 1994. [Google Scholar]
- Cui, S.; Wang, Q.; Bai, Z.; Li, Y.; Jia, R.; Li, X. Simulation on Petroleum Hydrocarbon Pollutants Transport Law and Hydrodynamic Interception Technology of an Oil Depot. Saf. Environ. Eng. 2023, 30, 216. [Google Scholar]
- Hong, C. Sorption of Petroleum Hydrocarbons on Soil and Sorption of Selected Organic Pollutants on Petroleum-Contaminated Soil. Ph.D. Thesis, Dalian University of Technology, Dalian, China, 2009. [Google Scholar]
- Wang, X.P.; Lanning, L.M.; Ford, R.M. Enhanced Retention of Chemotactic Bacteria in a Pore Network with Residual NAPL Contamination. Environ. Sci. Technol. 2016, 50, 165–172. [Google Scholar] [CrossRef] [PubMed]














| Layer | Control Equation (Math.) | Porosity | Hydraulic Conductivity/m∙s−1 |
|---|---|---|---|
| 1 | Richards equation | 0.55 | |
| 2 | Richards equation | 0.55 | |
| 3 | Darcy’s law | 0.55 | |
| 4 | Darcy’s law | 0.55 | |
| 5 | Darcy’s law | 0.412 |
| Pollutant Type | Diffusion Coefficient/m2∙s−1 | Adsorption Constant/mol∙kg−1 | Adsorption Index |
|---|---|---|---|
| VOC | 1.09 | ||
| SVOC | 1.09 | ||
| EPH | 1.09 |
Disclaimer/Publisher’s Note: The statements, opinions and data contained in all publications are solely those of the individual author(s) and contributor(s) and not of MDPI and/or the editor(s). MDPI and/or the editor(s) disclaim responsibility for any injury to people or property resulting from any ideas, methods, instructions or products referred to in the content. |
© 2024 by the authors. Licensee MDPI, Basel, Switzerland. This article is an open access article distributed under the terms and conditions of the Creative Commons Attribution (CC BY) license (https://creativecommons.org/licenses/by/4.0/).
Share and Cite
Cao, S.; Zhao, H.; Wang, X.; Zhu, X.; Long, T. Numerical Simulation of Organic Pollution Migration in the Heterogeneous Aquifer and the Application of Chemotactic Bacteria for Remediation: A Case Study of a Chemical Contamination Site in Zhejiang Province, China. Appl. Sci. 2024, 14, 9924. https://doi.org/10.3390/app14219924
Cao S, Zhao H, Wang X, Zhu X, Long T. Numerical Simulation of Organic Pollution Migration in the Heterogeneous Aquifer and the Application of Chemotactic Bacteria for Remediation: A Case Study of a Chemical Contamination Site in Zhejiang Province, China. Applied Sciences. 2024; 14(21):9924. https://doi.org/10.3390/app14219924
Chicago/Turabian StyleCao, Shaohua, Hailong Zhao, Xiaopu Wang, Xin Zhu, and Tao Long. 2024. "Numerical Simulation of Organic Pollution Migration in the Heterogeneous Aquifer and the Application of Chemotactic Bacteria for Remediation: A Case Study of a Chemical Contamination Site in Zhejiang Province, China" Applied Sciences 14, no. 21: 9924. https://doi.org/10.3390/app14219924
APA StyleCao, S., Zhao, H., Wang, X., Zhu, X., & Long, T. (2024). Numerical Simulation of Organic Pollution Migration in the Heterogeneous Aquifer and the Application of Chemotactic Bacteria for Remediation: A Case Study of a Chemical Contamination Site in Zhejiang Province, China. Applied Sciences, 14(21), 9924. https://doi.org/10.3390/app14219924

