NHPP Software Reliability Model with Rayleigh Fault Detection Rate and Optimal Release Time for Operating Environment Uncertainty
Abstract
1. Introduction
- An NHPP-based SRM that simultaneously considers the defect detection rate of the Rayleigh distribution and the uncertainty of the operating environment is presented and discussed, as the risk of failure gradually increases during the life cycle.
- This study presents results from an empirical study of the proposed models applied to three real-world case studies. The goodness-of-fit results indicate that our proposed model has a fairly accurate prediction capability.
- Many existing studies have applied SRMs to cost models to find the minimized total expected cost under various environmental conditions. However, in this study, we investigated whether there was a change in the optimal release time depending on the operating period depending on the SRM applied to the cost model.
- This study shows that the proposed model applied to the cost model has many changes in timing depending on the operating period.
2. A New Software Reliability Model
2.1. NHPP Model
2.2. Rayleigh Fault Detection Rate Function Model
3. Software Cost Model Considering Operating Environment
3.1. Cost Model
- The cost of removing faults during the operating period is proportional to the total time required to remove all the faults detected during the time interval, .
- The time required for removing faults during the operating period is much longer than that for removing faults during the testing period.
- Time is necessary to remove errors, and we assume that the time to remove each error follows a truncated exponential distribution.
- The aim is to apply the SRM to the cost model to determine whether there is a change in the optimal release time depending on the length of the software operation period.
- The optimal software release time, T*, with the expected minimum in the environment, is determined as follows:
- (1)
- Testing phase cost,
- (2)
- The expected cost to remove all the faults detected during the testing phase is
- (3)
- The cost owing to software failure is as follows:
- (4)
- The expected cost of removing all the failures detected during the operating phase is
3.2. Optimal Software Release Policy
- (1)
- If w and- (a)
- if , ,
- (b)
- if , ,
- (c)
- if , ,for and , for ,,where .
 
- (2)
- If and- (a)
- if , ,
- (b)
- if , ,- a.
- if z and z,
 for and z, for ,if ,if ,where .
 
- (3)
- If w, if w for and w for ,where ,- (a)
- if ,ifif ,where .
- (b)
- If z, , where .
 
4. Numerical Examples
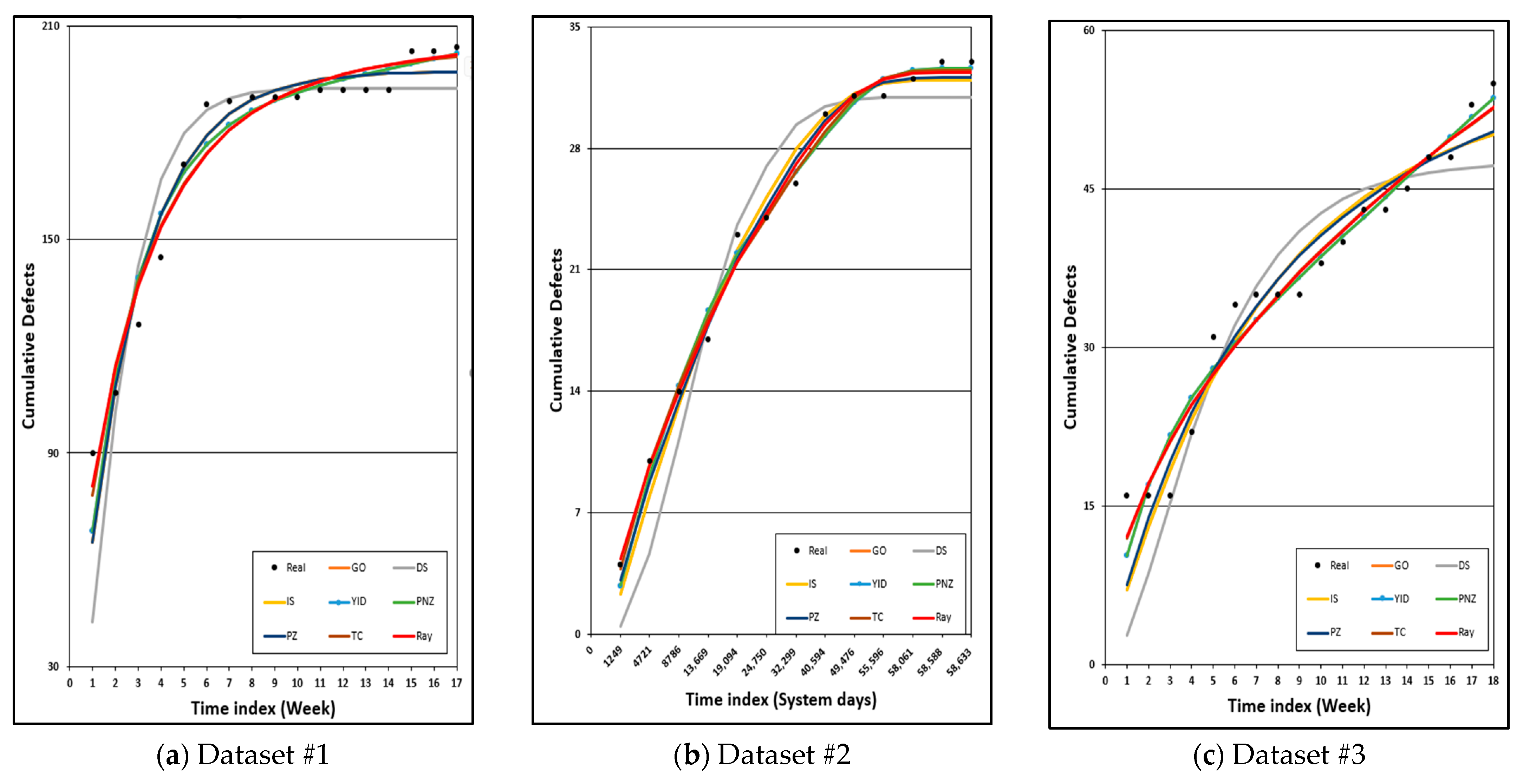
4.1. Comparison of Existing NHPP SRMs
4.2. Criteria for Model Comparison
4.3. Data Information
4.4. Results of Model Comparison
4.5. Results of Optimal Release Time
- Case #1 (based on):
- .
- Case #2: .
- Case #3: and .
- Case #4:.
- Case #5: , , , and .
4.5.1. Results of Optimal Release Time in Dataset #1
4.5.2. Results of Optimal Release Time for Real Data (Dataset #3)
5. Conclusions and Remarks
Author Contributions
Funding
Institutional Review Board Statement
Informed Consent Statement
Data Availability Statement
Acknowledgments
Conflicts of Interest
Notation
| Mean value function (MVF) or expected number of errors detected by time | |
| Failure intensity | |
| Reliability function of software by time | |
| Random variable | |
| Expected number of faults in software before testing | |
| Fault detection rate function | |
| T | Software release time | 
| Expected number of faults to be detected by time | |
| Intended time of software use | |
| Reliability function of software by time for operating time | |
| Discount rate of the testing cost | |
| Software testing cost per unit time | |
| Cost of removing each fault per unit time during testing | |
| Cost owing to software failure | |
| Cost of removing a fault per unit time during the operational phase | |
| ETC of a software system by time | |
| Time to remove a fault during the testing phase | |
| Time to remove a fault during the operating phase | |
| Maximum time to remove any error during the testing phase | |
| Maximum time to remove any failure during the operating phase | |
| Expected time to remove a fault during the testing phase | |
| Expected time to remove a fault during the operating phase | 
Appendix A
| Model | Time Index | 1 | 2 | 3 | 4 | 5 | 6 | 7 | 8 | 9 | |
| GO | LCL | 49.091 | 88.022 | 114.673 | 132.716 | 144.883 | 153.073 | 158.580 | 162.281 | 164.767 | |
| 64.878 | 108.432 | 137.670 | 157.298 | 170.474 | 179.320 | 185.258 | 189.244 | 191.920 | |||
| UCL | 80.665 | 128.841 | 160.667 | 181.880 | 196.065 | 205.566 | 211.935 | 216.207 | 219.073 | ||
| DS | LCL | 29.724 | 81.557 | 119.269 | 141.570 | 153.557 | 159.657 | 162.651 | 164.085 | 164.759 | |
| 42.502 | 101.282 | 142.681 | 166.890 | 179.842 | 186.417 | 189.643 | 191.186 | 191.912 | |||
| UCL | 55.279 | 121.007 | 166.093 | 192.210 | 206.126 | 213.178 | 216.634 | 218.287 | 219.064 | ||
| IS | LCL | 49.067 | 88.007 | 114.670 | 132.723 | 144.894 | 153.085 | 158.590 | 162.289 | 164.772 | |
| 64.851 | 108.415 | 137.667 | 157.305 | 170.486 | 179.332 | 185.269 | 189.252 | 191.925 | |||
| UCL | 80.635 | 128.823 | 160.664 | 181.888 | 196.078 | 205.580 | 211.947 | 216.216 | 219.078 | ||
| YID | LCL | 51.978 | 90.811 | 116.123 | 132.608 | 143.462 | 150.749 | 155.784 | 159.399 | 162.120 | |
| 68.159 | 111.508 | 139.252 | 157.181 | 168.938 | 176.812 | 182.244 | 186.140 | 189.070 | |||
| UCL | 84.341 | 132.205 | 162.381 | 181.754 | 194.413 | 202.874 | 208.703 | 212.881 | 216.021 | ||
| PNZ | LCL | 51.978 | 90.811 | 116.123 | 132.608 | 143.462 | 150.749 | 155.784 | 159.399 | 162.120 | |
| 68.159 | 111.508 | 139.252 | 157.181 | 168.938 | 176.812 | 182.244 | 186.140 | 189.070 | |||
| UCL | 84.341 | 132.205 | 162.381 | 181.754 | 194.413 | 202.874 | 208.703 | 212.881 | 216.021 | ||
| PZ | LCL | 49.071 | 88.017 | 114.675 | 132.721 | 144.889 | 153.078 | 158.584 | 162.284 | 164.769 | |
| . | 64.855 | 108.426 | 137.672 | 157.303 | 170.480 | 179.325 | 185.262 | 189.247 | 191.922 | ||
| UCL | 80.639 | 128.835 | 160.670 | 181.886 | 196.072 | 205.572 | 211.939 | 216.210 | 219.075 | ||
| TC | LCL | 60.773 | 93.563 | 114.915 | 129.765 | 140.477 | 148.393 | 154.347 | 158.889 | 162.390 | |
| . | 78.094 | 114.539 | 137.934 | 154.096 | 165.707 | 174.267 | 180.694 | 185.590 | 189.361 | ||
| UCL | 95.414 | 135.516 | 160.954 | 178.426 | 190.938 | 200.141 | 207.041 | 212.291 | 216.333 | ||
| Ray | LCL | 62.970 | 93.109 | 114.028 | 129.106 | 140.105 | 148.210 | 154.255 | 158.828 | 162.338 | |
| 80.563 | 114.039 | 136.967 | 153.380 | 165.305 | 174.069 | 180.595 | 185.525 | 189.305 | |||
| UCL | 98.155 | 134.970 | 159.905 | 177.654 | 190.505 | 199.929 | 206.934 | 212.221 | 216.273 | ||
| Model | Time Index | 10 | 11 | 12 | 13 | 14 | 15 | 16 | 17 | ||
| GO | LCL | 166.437 | 167.558 | 168.311 | 168.817 | 169.156 | 169.384 | 169.537 | 169.640 | ||
| 193.717 | 194.923 | 195.733 | 196.276 | 196.641 | 196.886 | 197.050 | 197.161 | ||||
| UCL | 220.997 | 222.287 | 223.154 | 223.735 | 224.126 | 224.388 | 224.564 | 224.682 | |||
| DS | LCL | 165.072 | 165.215 | 165.280 | 165.309 | 165.322 | 165.328 | 165.330 | 165.331 | ||
| 192.248 | 192.402 | 192.471 | 192.503 | 192.517 | 192.523 | 192.526 | 192.527 | ||||
| UCL | 219.424 | 219.589 | 219.663 | 219.697 | 219.712 | 219.719 | 219.722 | 219.723 | |||
| IS | LCL | 166.439 | 167.558 | 168.309 | 168.813 | 169.151 | 169.378 | 169.530 | 169.632 | ||
| 193.719 | 194.922 | 195.730 | 196.272 | 196.635 | 196.879 | 197.043 | 197.153 | ||||
| UCL | 220.999 | 222.287 | 223.151 | 223.731 | 224.120 | 224.381 | 224.556 | 224.673 | |||
| YID | LCL | 164.278 | 166.081 | 167.662 | 169.103 | 170.456 | 171.753 | 173.016 | 174.257 | ||
| 191.393 | 193.334 | 195.034 | 196.584 | 198.038 | 199.432 | 200.789 | 202.122 | ||||
| UCL | 218.509 | 220.587 | 222.407 | 224.065 | 225.620 | 227.112 | 228.562 | 229.988 | |||
| PNZ | LCL | 164.278 | 166.081 | 167.662 | 169.103 | 170.456 | 171.753 | 173.016 | 174.257 | ||
| 191.393 | 193.334 | 195.034 | 196.584 | 198.038 | 199.432 | 200.789 | 202.122 | ||||
| UCL | 218.509 | 220.587 | 222.407 | 224.065 | 225.620 | 227.112 | 228.562 | 229.988 | |||
| PZ | LCL | 166.437 | 167.558 | 168.310 | 168.815 | 169.154 | 169.381 | 169.534 | 169.637 | ||
| 193.717 | 194.922 | 195.731 | 196.274 | 196.638 | 196.883 | 197.047 | 197.157 | ||||
| UCL | 220.997 | 222.287 | 223.152 | 223.733 | 224.123 | 224.385 | 224.560 | 224.678 | |||
| TC | LCL | 165.115 | 167.252 | 168.940 | 170.281 | 171.351 | 172.210 | 172.902 | 173.462 | ||
| 192.295 | 194.594 | 196.409 | 197.850 | 199.000 | 199.923 | 200.667 | 201.268 | ||||
| UCL | 219.474 | 221.935 | 223.877 | 225.419 | 226.650 | 227.636 | 228.431 | 229.074 | |||
| Ray | LCL | 165.073 | 167.234 | 168.964 | 170.368 | 171.519 | 172.473 | 173.272 | 173.947 | ||
| 192.249 | 194.574 | 196.435 | 197.943 | 199.181 | 200.206 | 201.064 | 201.789 | ||||
| UCL | 219.425 | 221.914 | 223.905 | 225.519 | 226.842 | 227.939 | 228.857 | 229.631 | |||
| Model | Time Index | 1249 | 4721 | 8786 | 13,669 | 19,094 | 24,750 | 32,299 | 40,594 | 49,476 | 55,596 | 58,061 | 58,588 | 58,633 | 
|---|---|---|---|---|---|---|---|---|---|---|---|---|---|---|
| GO | LCL | 0.000 | 2.400 | 6.072 | 9.750 | 12.903 | 15.340 | 17.598 | 19.183 | 20.222 | 20.684 | 20.828 | 20.857 | 20.859 | 
| 2.309 | 7.913 | 13.190 | 18.085 | 22.121 | 25.174 | 27.962 | 29.900 | 31.163 | 31.723 | 31.898 | 31.932 | 31.935 | ||
| UCL | 5.287 | 13.427 | 20.308 | 26.420 | 31.340 | 35.008 | 38.326 | 40.617 | 42.104 | 42.762 | 42.967 | 43.008 | 43.011 | |
| DS | LCL | 0.000 | 0.405 | 4.633 | 9.802 | 14.058 | 16.818 | 18.722 | 19.592 | 19.930 | 20.020 | 20.041 | 20.045 | 20.045 | 
| 0.445 | 4.615 | 11.189 | 18.153 | 23.575 | 27.003 | 29.338 | 30.398 | 30.809 | 30.919 | 30.944 | 30.948 | 30.949 | ||
| UCL | 1.753 | 8.826 | 17.745 | 26.504 | 33.091 | 37.188 | 39.954 | 41.204 | 41.688 | 41.817 | 41.847 | 41.852 | 41.852 | |
| IS | LCL | 0.000 | 2.400 | 6.072 | 9.750 | 12.903 | 15.340 | 17.598 | 19.183 | 20.222 | 20.684 | 20.828 | 20.857 | 20.859 | 
| 2.309 | 7.913 | 13.190 | 18.085 | 22.121 | 25.174 | 27.962 | 29.900 | 31.163 | 31.723 | 31.898 | 31.932 | 31.935 | ||
| UCL | 5.287 | 13.427 | 20.308 | 26.420 | 31.340 | 35.008 | 38.326 | 40.617 | 42.104 | 42.762 | 42.967 | 43.008 | 43.011 | |
| YID | LCL | 0.000 | 3.129 | 6.864 | 10.168 | 12.740 | 14.654 | 16.541 | 18.200 | 19.806 | 20.894 | 21.337 | 21.432 | 21.440 | 
| 2.770 | 9.012 | 14.267 | 18.627 | 21.915 | 24.319 | 26.661 | 28.700 | 30.658 | 31.978 | 32.512 | 32.627 | 32.637 | ||
| UCL | 6.032 | 14.896 | 21.670 | 27.086 | 31.090 | 33.985 | 36.782 | 39.200 | 41.510 | 43.061 | 43.688 | 43.822 | 43.834 | |
| PNZ | LCL | 0.000 | 3.197 | 6.917 | 10.172 | 12.702 | 14.602 | 16.509 | 18.206 | 19.830 | 20.902 | 21.329 | 21.420 | 21.427 | 
| 2.821 | 9.113 | 14.338 | 18.633 | 21.867 | 24.255 | 26.622 | 28.707 | 30.688 | 31.987 | 32.503 | 32.612 | 32.622 | ||
| UCL | 6.113 | 15.030 | 21.760 | 27.093 | 31.032 | 33.908 | 36.734 | 39.208 | 41.546 | 43.072 | 43.677 | 43.805 | 43.816 | |
| PZ | LCL | 0.000 | 2.930 | 6.224 | 9.538 | 12.488 | 14.873 | 17.204 | 18.952 | 20.181 | 20.764 | 20.954 | 20.991 | 20.994 | 
| 3.109 | 8.717 | 13.398 | 17.809 | 21.596 | 24.592 | 27.478 | 29.618 | 31.114 | 31.820 | 32.049 | 32.095 | 32.099 | ||
| UCL | 6.565 | 14.504 | 20.572 | 26.080 | 30.704 | 34.312 | 37.752 | 40.285 | 42.047 | 42.876 | 43.145 | 43.198 | 43.203 | |
| TC | LCL | 0.000 | 3.612 | 6.883 | 9.842 | 12.354 | 14.413 | 16.573 | 18.429 | 20.012 | 20.928 | 21.264 | 21.334 | 21.340 | 
| 3.748 | 9.724 | 14.293 | 18.204 | 21.427 | 24.018 | 26.700 | 28.980 | 30.909 | 32.018 | 32.424 | 32.509 | 32.516 | ||
| UCL | 7.543 | 15.835 | 21.703 | 26.567 | 30.500 | 33.624 | 36.828 | 39.531 | 41.805 | 43.108 | 43.585 | 43.684 | 43.692 | |
| Ray | LCL | 0.256 | 3.575 | 6.636 | 9.633 | 12.332 | 14.587 | 16.901 | 18.753 | 20.169 | 20.903 | 21.155 | 21.206 | 21.210 | 
| 4.339 | 9.670 | 13.958 | 17.933 | 21.398 | 24.236 | 27.105 | 29.376 | 31.100 | 31.988 | 32.292 | 32.354 | 32.359 | ||
| UCL | 8.422 | 15.765 | 21.281 | 26.232 | 30.464 | 33.885 | 37.309 | 39.999 | 42.030 | 43.073 | 43.430 | 43.503 | 43.509 | 
| Model | Time Index | 1 | 2 | 3 | 4 | 5 | 6 | 7 | 8 | 9 | 
| GO | LCL | 1.812 | 6.007 | 10.013 | 13.659 | 16.919 | 19.810 | 22.363 | 24.610 | 26.583 | 
| 6.997 | 13.101 | 18.427 | 23.073 | 27.127 | 30.664 | 33.750 | 36.442 | 38.791 | ||
| UCL | 12.181 | 20.195 | 26.840 | 32.488 | 37.336 | 41.517 | 45.136 | 48.274 | 50.998 | |
| DS | LCL | 0.000 | 2.891 | 7.694 | 12.642 | 17.139 | 20.959 | 24.068 | 26.528 | 28.432 | 
| 2.766 | 8.658 | 15.380 | 21.792 | 27.399 | 32.056 | 35.794 | 38.724 | 40.979 | ||
| UCL | 6.026 | 14.425 | 23.067 | 30.942 | 37.658 | 43.153 | 47.521 | 50.921 | 53.526 | |
| IS | LCL | 1.812 | 6.007 | 10.013 | 13.659 | 16.919 | 19.810 | 22.363 | 24.610 | 26.583 | 
| 6.997 | 13.101 | 18.427 | 23.073 | 27.127 | 30.664 | 33.750 | 36.442 | 38.791 | ||
| UCL | 12.181 | 20.195 | 26.840 | 32.488 | 37.336 | 41.517 | 45.136 | 48.274 | 50.998 | |
| YID | LCL | 3.978 | 8.904 | 12.541 | 15.332 | 17.611 | 19.589 | 21.395 | 23.101 | 24.754 | 
| 10.254 | 16.981 | 21.664 | 25.164 | 27.978 | 30.395 | 32.582 | 34.636 | 36.613 | ||
| UCL | 16.531 | 25.057 | 30.787 | 34.996 | 38.345 | 41.201 | 43.770 | 46.172 | 48.473 | |
| PNZ | LCL | 3.981 | 8.908 | 12.545 | 15.335 | 17.613 | 19.591 | 21.396 | 23.102 | 24.754 | 
| 10.259 | 16.986 | 21.669 | 25.167 | 27.981 | 30.397 | 32.584 | 34.637 | 36.614 | ||
| UCL | 16.536 | 25.064 | 30.792 | 35.000 | 38.348 | 41.203 | 43.772 | 46.172 | 48.474 | |
| PZ | LCL | 2.170 | 6.595 | 10.656 | 14.241 | 17.374 | 20.109 | 22.502 | 24.604 | 26.459 | 
| 7.559 | 13.903 | 19.257 | 23.803 | 27.687 | 31.027 | 33.917 | 36.435 | 38.643 | ||
| UCL | 12.948 | 21.211 | 27.858 | 33.366 | 38.000 | 41.944 | 45.332 | 48.266 | 50.827 | |
| TC | LCL | 5.143 | 8.998 | 12.109 | 14.801 | 17.213 | 19.417 | 21.461 | 23.376 | 25.182 | 
| 11.906 | 17.104 | 21.116 | 24.504 | 27.489 | 30.186 | 32.663 | 34.965 | 37.124 | ||
| UCL | 18.669 | 25.210 | 30.122 | 34.206 | 37.765 | 40.954 | 43.865 | 46.555 | 49.066 | |
| Ray | LCL | 5.267 | 9.071 | 12.134 | 14.789 | 17.171 | 19.354 | 21.384 | 23.290 | 25.094 | 
| 12.079 | 17.199 | 21.148 | 24.488 | 27.437 | 30.109 | 32.570 | 34.863 | 37.020 | ||
| UCL | 18.892 | 25.327 | 30.161 | 34.187 | 37.704 | 40.864 | 43.756 | 46.436 | 48.945 | |
| Model | Time Index | 10 | 11 | 12 | 13 | 14 | 15 | 16 | 17 | 18 | 
| GO | LCL | 28.314 | 29.831 | 31.159 | 32.320 | 33.336 | 34.225 | 35.001 | 35.679 | 36.271 | 
| 40.840 | 42.628 | 44.187 | 45.548 | 46.736 | 47.771 | 48.675 | 49.464 | 50.152 | ||
| UCL | 53.365 | 55.424 | 57.216 | 58.776 | 60.135 | 61.318 | 62.350 | 63.248 | 64.032 | |
| DS | LCL | 29.884 | 30.977 | 31.791 | 32.393 | 32.835 | 33.157 | 33.391 | 33.561 | 33.683 | 
| 42.690 | 43.974 | 44.929 | 45.634 | 46.150 | 46.527 | 46.800 | 46.997 | 47.140 | ||
| UCL | 55.497 | 56.972 | 58.067 | 58.874 | 59.465 | 59.896 | 60.208 | 60.434 | 60.597 | |
| IS | LCL | 28.314 | 29.831 | 31.159 | 32.320 | 33.336 | 34.225 | 35.001 | 35.679 | 36.271 | 
| 40.840 | 42.628 | 44.187 | 45.548 | 46.736 | 47.771 | 48.675 | 49.464 | 50.152 | ||
| UCL | 53.365 | 55.424 | 57.216 | 58.776 | 60.135 | 61.318 | 62.350 | 63.248 | 64.032 | |
| YID | LCL | 26.377 | 27.986 | 29.589 | 31.191 | 32.795 | 34.402 | 36.012 | 37.627 | 39.246 | 
| 38.546 | 40.452 | 42.343 | 44.226 | 46.103 | 47.978 | 49.851 | 51.723 | 53.594 | ||
| UCL | 50.714 | 52.918 | 55.097 | 57.260 | 59.412 | 61.554 | 63.690 | 65.819 | 67.943 | |
| PNZ | LCL | 26.377 | 27.986 | 29.589 | 31.191 | 32.795 | 34.402 | 36.012 | 37.627 | 39.245 | 
| 38.546 | 40.452 | 42.343 | 44.226 | 46.103 | 47.978 | 49.851 | 51.723 | 53.594 | ||
| UCL | 50.714 | 52.918 | 55.097 | 57.260 | 59.411 | 61.554 | 63.689 | 65.819 | 67.943 | |
| PZ | LCL | 28.103 | 29.568 | 30.879 | 32.058 | 33.124 | 34.089 | 34.969 | 35.771 | 36.506 | 
| 40.590 | 42.318 | 43.859 | 45.242 | 46.487 | 47.614 | 48.638 | 49.571 | 50.424 | ||
| UCL | 53.077 | 55.068 | 56.840 | 58.425 | 59.851 | 61.139 | 62.307 | 63.370 | 64.342 | |
| TC | LCL | 26.897 | 28.532 | 30.099 | 31.603 | 33.053 | 34.454 | 35.809 | 37.123 | 38.399 | 
| 39.162 | 41.097 | 42.943 | 44.709 | 46.405 | 48.038 | 49.615 | 51.139 | 52.617 | ||
| UCL | 51.428 | 53.662 | 55.787 | 57.814 | 59.757 | 61.623 | 63.420 | 65.156 | 66.834 | |
| Ray | LCL | 26.811 | 28.453 | 30.030 | 31.549 | 33.017 | 34.437 | 35.816 | 37.156 | 38.460 | 
| 39.061 | 41.004 | 42.862 | 44.645 | 46.362 | 48.019 | 49.623 | 51.177 | 52.687 | ||
| UCL | 51.311 | 53.555 | 55.694 | 57.742 | 59.708 | 61.601 | 63.430 | 65.199 | 66.914 | 
Appendix B
- Proof 1: Taking the first derivative of
- Proof 2: Taking the second derivative of
- ,
- ,
Appendix C




References
- Xu, J.; Yao, S. Software Reliability Growth Model with Partial Differential Equation for Various Debugging Processes. Math. Probl. Eng. 2016, 2016, 1–13. [Google Scholar] [CrossRef]
- Teng, X.; Pham, H. A New Methodology for Predicting Software Reliability in the Random Field Environments. IEEE Trans. Reliab. 2006, 55, 458–468. [Google Scholar] [CrossRef]
- Song, K.; Chang, I.; Pham, H. A Software Reliability Model with a Weibull Fault Detection Rate Function Subject to Operating Environments. Appl. Sci. 2017, 7, 983. [Google Scholar] [CrossRef]
- Song, K.; Chang, I.; Pham, H. Optimal Release Time and Sensitivity Analysis Using a New NHPP Software Reliability Model with Probability of Fault Removal Subject to Operating Environments. Appl. Sci. 2018, 8, 714. [Google Scholar] [CrossRef]
- Lee, D.; Chang, I.; Pham, H.; Song, K. A Software Reliability Model Considering the Syntax Error in Uncertainty Environment, Optimal Release Time, and Sensitivity Analysis. Appl. Sci. 2018, 8, 1483. [Google Scholar] [CrossRef]
- Zhu, M.; Pham, H. A Two-Phase Software Reliability Modeling Involving with Software Fault Dependency and Imperfect Fault Removal. Comput. Lang. Syst. Struct. 2018, 53, 27–42. [Google Scholar] [CrossRef]
- Chatterjee, S.; Shukla, A. A Unified Approach of Testing Coverage-based Software Reliability Growth Modelling with Fault Detection Probability, Imperfect Debugging, and Change Point. J. Softw. Evol. Process 2019, 31, e2150. [Google Scholar] [CrossRef]
- Tandon, A.; Neha; Aggarwal, A.G. Testing Coverage Based Reliability Modeling for Multi-Release Open-Source Software Incorporating Fault Reduction Factor. Life Cycle Reliab. Saf. Eng. 2020, 9, 425–435. [Google Scholar] [CrossRef]
- Haque, M.A.; Ahmad, N. An Effective Software Reliability Growth Model. Saf. Reliab. 2021, 40, 209–220. [Google Scholar] [CrossRef]
- Huang, Y.-S.; Chiu, K.-C.; Chen, W.-M. A Software Reliability Growth Model for Imperfect Debugging. J. Syst. Softw. 2022, 188, 111267. [Google Scholar] [CrossRef]
- Okamura, H.; Dohi, T. Application of EM Algorithm to NHPP-Based Software Reliability Assessment with Generalized Failure Count Data. Mathematics 2021, 9, 985. [Google Scholar] [CrossRef]
- Liu, X.; Xie, N. Grey-Based Approach for Estimating Software Reliability under Nonhomogeneous Poisson Process. J. Syst. Eng. Electron. 2022, 33, 360–369. [Google Scholar] [CrossRef]
- Li, S.; Dohi, T.; Okamura, H. Nonhomogeneous Markov Process Modeling for Software Reliability Assessment. IEEE Trans. Reliab. 2023, 72, 1540–1555. [Google Scholar] [CrossRef]
- Zhang, C.; Gang, C.U.I.; Meng, F.; Liu, H.; Wu, S. A Study of Optimal Release Policy for SRGM with Imperfect Debugging. J. Eng. Sci. Technol. Rev. 2013, 6, 111–118. [Google Scholar] [CrossRef]
- Gao, F.; Liu, C.; Meng, B.; Chen, S. A Software Cost Model Considering the Difference between Testing Environment and Operating Environment. In Proceedings of the 2014 Seventh International Joint Conference on Computational Sciences and Optimization, Beijing, China, 4–6 July 2014; pp. 45–50. [Google Scholar]
- Khomh, F.; Dhaliwal, T.; Zou, Y.; Adams, B. Do Faster Releases Improve Software Quality? An Empirical Case Study of Mozilla Firefox. In Proceedings of the 2012 9th IEEE Working Conference on Mining Software Repositories (MSR), Zurich, Switzerland, 2–3June 2012; pp. 179–188. [Google Scholar]
- Pham, H. A Software Cost Model with Imperfect Debugging, Random Life Cycle and Penalty Cost. Int. J. Syst. Sci. 1996, 27, 455–463. [Google Scholar] [CrossRef]
- Zhang, X.; Pham, H. A Software Cost Model with Error Removal Times and Risk Costs. Int. J. Syst. Sci. 1998, 29, 435–442. [Google Scholar] [CrossRef]
- Pham, H.; Zhang, X. A Software Cost Model with Warranty and Risk Costs. IEEE Trans. Comput. 1999, 48, 71–75. [Google Scholar] [CrossRef]
- Teng, X.; Pham, H. A Software Cost Model for Quantifying the Gain with Considerations of Random Field Environments. IEEE Trans. Comput. 2004, 53, 380–384. [Google Scholar] [CrossRef]
- Sgarbossa, F.; Pham, H. A Cost Analysis of Systems Subject to Random Field Environments and Reliability. IEEE Trans. Syst. Man Cybern. Part C (Appl. Rev.) 2010, 40, 429–437. [Google Scholar] [CrossRef]
- Jiang, W.; Zhang, C.; Liu, D.; Liu, K.; Sun, Z.; Wang, J.; Qiu, Z.; Lv, W. SRGM Decision Model Considering Cost-Reliability. Int. J. Digit. Crime. Forensics 2022, 14, 1–19. [Google Scholar] [CrossRef]
- Shrivastava, A.K.; Sharma, R.; Pham, H. Software Reliability and Cost Models with Warranty and Life Cycle. Proc. Inst. Mech. Eng. O. J. Risk Reliab. 2023, 237, 166–179. [Google Scholar] [CrossRef]
- Samal, U.; Kumar, A. A Software Reliability Model Incorporating Fault Removal Efficiency and It’s Release Policy. Comput. Stat. 2023, 39, 3137–3155. [Google Scholar] [CrossRef]
- Williams, D.R.P.; Vimbi, V.; Shanmugam, T.; Al Amayreh, A. Analysis of Software Cost Models Based on Exponential Software Reliability Growth Models. In International Conference on Systems Engineering; Springer: Cham, Switzerland, 2023; pp. 90–98. [Google Scholar]
- Siddiqui, M.M. Statistical Inference for Rayleigh Distributions. J. Res. Natl. Bur. Stand. Sec. D 1964, 68, 1005–1010. [Google Scholar] [CrossRef]
- Pham, H.; Nordmann, L.; Zhang, Z. A General Imperfect-Software-Debugging Model with S-Shaped Fault-Detection Rate. IEEE Trans. Reliab. 1999, 48, 169–175. [Google Scholar] [CrossRef]
- Pham, H. A New Software Reliability Model with Vtub-Shaped Fault-Detection Rate and the Uncertainty of Operating Environments. Optimization 2014, 63, 1481–1490. [Google Scholar] [CrossRef]
- Pham, H. A Generalized Fault-Detection Software Reliability Model Subject to Random Operating Environments. Vietnam. J. Comput. Sci. 2016, 3, 145–150. [Google Scholar] [CrossRef]
- Goel, A.L.; Okumoto, K. Time-Dependent Error-Detection Rate Model for Software Reliability and Other Performance Measures. IEEE Trans. Reliab. 1979, R-28, 206–211. [Google Scholar] [CrossRef]
- Yamada, S.; Ohba, M.; Osaki, S. S-Shaped Reliability Growth Modeling for Software Error Detection. IEEE Trans. Reliab. 1983, R-32, 475–484. [Google Scholar] [CrossRef]
- Osaki, S.; Hatoyama, Y. Inflexion S-Shaped Software Reliability Growth Models. In Stochastic Models in Reliability Theory; Springer: Berlin/Heidelberg, Germany, 1984; pp. 144–162. [Google Scholar]
- Yamada, S.; Tokuno, K.; Osaki, S. Imperfect Debugging Models with Fault Introduction Rate for Software Reliability Assessment. Int. J. Syst. Sci. 1992, 23, 2241–2252. [Google Scholar] [CrossRef]
- Pham, H.; Zhang, X. An NHPP Software Reliability Model and Its Comparison. Int. J. Reliab. Qual. Saf. Eng. 1997, 04, 269–282. [Google Scholar] [CrossRef]
- Chang, I.H.; Pham, H.; Lee, S.W.; Song, K.Y. A Testing-Coverage Software Reliability Model with the Uncertainty of Operating Environments. Int. J. Syst. Sci. Oper. Logist. 2014, 1, 220–227. [Google Scholar] [CrossRef]
- Pham, H. System Software Reliability; Springer: London, UK, 2006. [Google Scholar]
- Akaike, H. A New Look at the Statistical Model Identification. IEEE Trans. Autom. Contr 1974, 19, 716–723. [Google Scholar] [CrossRef]
- Anjum, M.; Haque, M.A.; Ahmad, N. Analysis and Ranking of Software Reliability Models Based on Weighted Criteria Value. Int. J. Inf. Technol. Comput. Sci. 2013, 5, 1–14. [Google Scholar] [CrossRef]
- Pham, H. On Estimating the Number of Deaths Related to Covid-19. Mathematics 2020, 8, 655. [Google Scholar] [CrossRef]
- Pham, H. A New Criterion for Model Selection. Mathematics 2019, 7, 1215. [Google Scholar] [CrossRef]
- Stringfellow, C.; Andrews, A.A. An Empirical Method for Selecting Software Reliability Growth Models. Empir. Softw. Eng. 2002, 7, 319–343. [Google Scholar] [CrossRef]
- Jeske, D.R.; Zhang, X. Some Successful Approaches to Software Reliability Modeling in Industry. J. Syst. Softw. 2005, 74, 85–99. [Google Scholar] [CrossRef]
- Jin, X.-B.; Xie, J.-Y.; Kong, J.-L.; Zhang, J.-S.; Cai, W.-W.; Zuo, M. End-to-End GPS Tracker Based on Switchable Fuzzy Normalization Codec for Assistive Drone Application. IEEE Trans. Consum. Electron. 2024, 70, 4922–4933. [Google Scholar] [CrossRef]
- Ma, H.-J.; Jin, X.-B.; Li, Z.-M.; Bai, Y.-T. Fuzzy Adaptive-Normalized Deep Encoder-Decoder Network: Medium and Long-Term Predictor of Temperature and Humidity in Smart Greenhouses. Comput. Electron. Agric. 2024, 226, 109480. [Google Scholar] [CrossRef]
- Li, C.; Zheng, J.; Okamura, H.; Dohi, T. Software Reliability Prediction through Encoder-Decoder Recurrent Neural Networks. Int. J. Math. Eng. Manag. Sci. 2022, 7, 325–340. [Google Scholar] [CrossRef]
- Wang, J.; Zhang, C. Software Reliability Prediction Using a Deep Learning Model Based on the RNN Encoder–Decoder. Reliab. Eng. Syst. Saf. 2018, 170, 73–82. [Google Scholar] [CrossRef]
- Wang, H.; Zhuang, W.; Zhang, X. Software Defect Prediction Based on Gated Hierarchical LSTMs. IEEE Trans. Reliab. 2021, 70, 711–727. [Google Scholar] [CrossRef]
- Zainuddin, Z.; EA, P.A.; Hasan, M.H. Predicting Machine Failure Using Recurrent Neural Network-Gated Recurrent Unit (RNN-GRU) through Time Series Data. Bull. Electr. Eng. Inform. 2021, 10, 870–878. [Google Scholar]








| No. | Model | ||
|---|---|---|---|
| 1 | Goel–Okumoto (GO) [30] | ||
| 2 | Yamada et al. (DS) [31] | ||
| 3 | Osaki–Hatoyama (IS) [32] | ||
| 4 | Yamada et al. (YID) [33] | ||
| 5 | Pham et al. (PNZ) [27] | ||
| 6 | Pham–Zhang (PZ) [34] | ||
| 7 | Chang et al. (TC) [35] | ||
| 8 | New Model (Ray) | 
| Time Index (Week) | Failures | Cumulative Failures | 
|---|---|---|
| 1 | 90 | 90 | 
| 2 | 17 | 107 | 
| 3 | 19 | 126 | 
| 4 | 19 | 145 | 
| 5 | 26 | 171 | 
| 6 | 17 | 188 | 
| 7 | 1 | 189 | 
| 8 | 1 | 190 | 
| 9 | 0 | 190 | 
| 10 | 0 | 190 | 
| 11 | 2 | 192 | 
| 12 | 0 | 192 | 
| 13 | 0 | 192 | 
| 14 | 0 | 192 | 
| 15 | 11 | 203 | 
| 16 | 0 | 203 | 
| 17 | 1 | 204 | 
| System Days (Cumulative) | Failures | Cumulative Failures | 
|---|---|---|
| 1249 | 4 | 4 | 
| 4721 | 6 | 10 | 
| 8786 | 4 | 14 | 
| 13,669 | 3 | 17 | 
| 19,094 | 6 | 23 | 
| 24,750 | 1 | 24 | 
| 32,299 | 2 | 26 | 
| 40,594 | 4 | 30 | 
| 49,476 | 1 | 31 | 
| 55,596 | 0 | 31 | 
| 58,061 | 1 | 32 | 
| 58,588 | 1 | 33 | 
| 58,633 | 0 | 33 | 
| Time Index | Failures | Cumulative Failures | 
|---|---|---|
| 1 | 16 | 16 | 
| 2 | 0 | 16 | 
| 3 | 0 | 16 | 
| 4 | 6 | 22 | 
| 5 | 9 | 31 | 
| 6 | 3 | 34 | 
| 7 | 1 | 35 | 
| 8 | 0 | 35 | 
| 9 | 0 | 35 | 
| 10 | 3 | 38 | 
| 11 | 2 | 40 | 
| 12 | 3 | 43 | 
| 13 | 0 | 43 | 
| 14 | 2 | 45 | 
| 15 | 3 | 48 | 
| 16 | 0 | 48 | 
| 17 | 5 | 53 | 
| 18 | 2 | 55 | 
| No. | Model | ||||||
|---|---|---|---|---|---|---|---|
| 1 | GO | 197.3861 | 0.3985 | ||||
| 2 | DS | 192.5282 | 0.8815 | ||||
| 3 | IS | 197.3766 | 0.3990 | 0.0021 | |||
| 4 | YID | 182.9966 | 0.4637 | 0.0071 | |||
| 5 | PNZ | 182.9966 | 0.4637 | 0.0071 | 0.0000 | ||
| 6 | PZ | 195.4903 | 0.3986 | 1346.8450 | 0.0000 | 1.8922 | |
| 7 | TC | 0.1665 | 0.7726 | 1197.9605 | 621.3633 | 204.0393 | |
| 8 | Ray | 1.6152 | 0.2664 | 88.8974 | 207.8717 | 
| No. | Model | ||||||
|---|---|---|---|---|---|---|---|
| 1 | GO | 33.0367 | 0.000058 | ||||
| 2 | DS | 31.0119 | 0.000144 | ||||
| 3 | IS | 33.0368 | 0.000058 | 0.000000086 | |||
| 4 | YID | 23.8781 | 0.0000983 | 0.00000645 | |||
| 5 | PNZ | 22.6389 | 0.000106 | 0.000009 | 0.000955 | ||
| 6 | PZ | 29.0937 | 0.00063 | 0.0000498 | 0.0006 | 4.7088 | |
| 7 | TC | 0.0068 | 0.8298 | 0.7555 | 58.3462 | 53.3901 | |
| 8 | Ray | 0.000085 | 0.3026 | 13.1695 | 36.8087 | 
| No. | Model | ||||||
|---|---|---|---|---|---|---|---|
| 1 | GO | 54.8570 | 0.1364 | ||||
| 2 | DS | 47.4933 | 0.3876 | ||||
| 3 | IS | 54.8570 | 0.1364 | 0.0000001 | |||
| 4 | YID | 23.3492 | 0.5461 | 0.0801 | |||
| 5 | PNZ | 23.3459 | 0.5466 | 0.0801 | 0.0015 | ||
| 6 | PZ | 25.8886 | 0.2351 | 0.0696 | 0.0086 | 35.4032 | |
| 7 | TC | 0.0080 | 0.5318 | 2.8344 | 10.2497 | 568.7485 | |
| 8 | Ray | 0.0476 | 0.2549 | 333.7027 | 250.8912 | 
| No. | Model | RMSE | PRR | PP | AIC | BIC | PRV | RMSPE | TS | PC | PIC | ||
|---|---|---|---|---|---|---|---|---|---|---|---|---|---|
| 1 | GO | 8.982 | 0.1714 | 0.1015 | 184.2435 | 185.9099 | 8.6706 | 8.6952 | 4.7491 | 34.1229 | 1212.267 | 0.9388 | 0.9300 | 
| 2 | DS | 15.2521 | 1.2953 | 0.3333 | 331.7078 | 333.3743 | 14.6404 | 14.7604 | 8.0644 | 42.0654 | 3491.549 | 0.8234 | 0.7982 | 
| 3 | IS | 9.3022 | 0.1718 | 0.1016 | 186.347 | 188.8466 | 8.6751 | 8.6999 | 4.7517 | 33.293 | 1214.866 | 0.9387 | 0.9246 | 
| 4 | YID | 8.879 | 0.1277 | 0.0866 | 157.8402 | 160.3399 | 8.2915 | 8.3047 | 4.5355 | 32.6411 | 1107.139 | 0.9442 | 0.9313 | 
| 5 | PNZ | 9.2142 | 0.1277 | 0.0866 | 159.8402 | 163.1731 | 8.2915 | 8.3047 | 4.5355 | 32.049 | 1108.634 | 0.9442 | 0.9255 | 
| 6 | PZ | 10.0475 | 0.1717 | 0.1016 | 190.3076 | 194.4737 | 8.6751 | 8.6998 | 4.7516 | 32.2647 | 1218.088 | 0.9387 | 0.9108 | 
| 7 | TC | 8.4963 | 0.0520 | 0.0478 | 158.9688 | 163.1348 | 7.3573 | 7.3579 | 4.018 | 30.2524 | 872.9054 | 0.9562 | 0.9362 | 
| 8 | Ray | 7.7531 | 0.0407 | 0.0390 | 150.5078 | 153.8407 | 6.9884 | 6.9885 | 3.8163 | 29.8046 | 786.3598 | 0.9605 | 0.9473 | 
| No. | Model | RMSE | PRR | PP | AIC | BIC | PRV | RMSPE | TS | PC | PIC | ||
|---|---|---|---|---|---|---|---|---|---|---|---|---|---|
| 1 | GO | 1.2754 | 0.6251 | 0.2420 | 49.407 | 46.7933 | 1.277 | 1.2937 | 1.0757 | 2.9448 | 20.0743 | 0.9839 | 0.9806 | 
| 2 | DS | 2.715 | 65.1831 | 1.1664 | 72.2378 | 69.6241 | 2.8666 | 2.944 | 2.1373 | 6.5543 | 83.2665 | 0.9269 | 0.9122 | 
| 3 | IS | 1.3376 | 0.6251 | 0.242 | 51.407 | 48.7029 | 1.277 | 1.2937 | 1.1735 | 4.2936 | 21.4925 | 0.9839 | 0.9785 | 
| 4 | YID | 1.0109 | 0.2239 | 0.1203 | 48.4929 | 45.7888 | 0.9407 | 0.9461 | 0.9132 | 3.0773 | 13.819 | 0.9908 | 0.9877 | 
| 5 | PNZ | 1.0531 | 0.1993 | 0.1111 | 50.483 | 48.0282 | 0.9279 | 0.9327 | 0.9907 | 4.8168 | 15.3141 | 0.9910 | 0.9865 | 
| 6 | PZ | 1.1419 | 0.118 | 0.0801 | 53.3626 | 51.4098 | 0.995 | 1.0134 | 1.1369 | 7.1175 | 17.9311 | 0.9906 | 0.9839 | 
| 7 | TC | 0.9607 | 0.0191 | 0.0184 | 51.9769 | 50.0241 | 0.7878 | 0.7889 | 0.8719 | 6.5171 | 14.8828 | 0.9933 | 0.9886 | 
| 8 | Ray | 0.8961 | 0.0196 | 0.0203 | 50.4054 | 47.9506 | 0.7762 | 0.7763 | 0.7877 | 4.186 | 12.5607 | 0.9935 | 0.9902 | 
| No. | Model | RMSE | PRR | PP | AIC | BIC | PRV | RMSPE | TS | PC | PIC | ||
|---|---|---|---|---|---|---|---|---|---|---|---|---|---|
| 1 | GO | 3.5624 | 1.7975 | 0.4429 | 110.4413 | 112.2221 | 3.4206 | 3.4541 | 8.7945 | 21.5096 | 205.1739 | 0.9208 | 0.9102 | 
| 2 | DS | 5.2896 | 23.7289 | 1.0204 | 157.279 | 159.0597 | 5.0201 | 5.1255 | 13.0584 | 27.8345 | 449.7972 | 0.8254 | 0.8021 | 
| 3 | IS | 3.6792 | 1.7975 | 0.4429 | 112.4413 | 115.1125 | 3.4206 | 3.4541 | 8.7945 | 21.5731 | 206.4489 | 0.9208 | 0.9038 | 
| 4 | YID | 2.7983 | 0.4394 | 0.3112 | 100.9352 | 103.6063 | 2.6263 | 2.6284 | 6.6889 | 17.4679 | 120.8586 | 0.9542 | 0.9444 | 
| 5 | PNZ | 2.8965 | 0.4387 | 0.3112 | 102.9346 | 106.4961 | 2.6263 | 2.6284 | 6.6889 | 17.9871 | 122.3158 | 0.9542 | 0.9401 | 
| 6 | PZ | 3.7121 | 1.3633 | 0.3998 | 113.2931 | 117.7449 | 3.2278 | 3.2452 | 8.2605 | 21.4741 | 185.6776 | 0.9301 | 0.901 | 
| 7 | TC | 2.8619 | 0.2406 | 0.2275 | 100.6217 | 105.0736 | 2.5026 | 2.5026 | 6.3684 | 18.0923 | 113.0112 | 0.9585 | 0.9412 | 
| 8 | Ray | 2.7432 | 0.2297 | 0.2243 | 98.2713 | 101.8328 | 2.4891 | 2.4894 | 6.3347 | 17.2255 | 110.2058 | 0.9589 | 0.9463 | 
| Model | θ = 0.9 | θ = 1.0 | θ = 1.1 (Case #1) | θ = 1.2 | ||||
|---|---|---|---|---|---|---|---|---|
| C(T) | T* | C(T) | T* | C(T) | T* | C(T) | T* | |
| GO | 551.8302 | 21.8 | 663.7754 | 20.8 | 805.3418 | 19.7 | 982.1433 | 18.7 | 
| DS | 418.3660 | 13.5 | 478.9619 | 13.1 | 553.6281 | 12.6 | 644.9446 | 12.2 | 
| IS | 551.5281 | 21.8 | 663.3479 | 20.7 | 804.7607 | 19.7 | 981.3644 | 18.7 | 
| YID | 2202.1793 | 12.4 | 2255.3182 | 11.7 | 2317.8014 | 11.0 | 2390.233 | 10.4 | 
| PNZ | 2202.1793 | 12.4 | 2255.3182 | 11.7 | 2317.8014 | 11.0 | 2390.233 | 10.4 | 
| PZ | 551.7633 | 21.8 | 663.6811 | 20.7 | 805.2135 | 19.7 | 981.971 | 18.7 | 
| TC | 784.9788 | 35.9 | 989.8695 | 33.0 | 1249.6314 | 30.2 | 1569.332 | 27.3 | 
| Ray | 1098.4677 | 47.7 | 1371.5284 | 39.9 | 1682.3796 | 32.6 | 1986.769 | 17.0 | 
| Model | ||||||
|---|---|---|---|---|---|---|
| C(T) | T* | C(T) | T* | C(T) | T* | |
| GO | 429.2488 | 21.5 | 805.3418 | 19.7 | 1502.2899 | 17.8 | 
| DS | 289.1151 | 13.5 | 553.6281 | 12.6 | 1057.4527 | 11.7 | 
| IS | 428.9210 | 21.5 | 804.7607 | 19.7 | 1501.2850 | 17.8 | 
| YID | 2070.9625 | 12.5 | 2317.8014 | 11.0 | 2766.9606 | 9.5 | 
| PNZ | 2070.9625 | 12.5 | 2317.8014 | 11.0 | 2766.9606 | 9.5 | 
| PZ | 429.1771 | 21.5 | 805.2135 | 19.7 | 1502.0655 | 17.8 | 
| TC | 692.6099 | 34.6 | 1249.6314 | 30.2 | 2218.1479 | 25.0 | 
| Ray | 1039.9688 | 43.4 | 1682.3796 | 32.6 | 2454.5267 | 13.6 | 
| Model | ||||||||
|---|---|---|---|---|---|---|---|---|
| C(T) | T* | C(T) | T* | C(T) | T* | C(T) | T* | |
| GO | 802.2589 | 19.6 | 803.8296 | 19.6 | 805.3418 | 19.7 | 808.2954 | 19.8 | 
| DS | 552.2292 | 12.6 | 552.9287 | 12.6 | 553.6281 | 12.6 | 554.9656 | 12.7 | 
| IS | 801.6840 | 19.6 | 803.2428 | 19.6 | 804.7607 | 19.7 | 806.2585 | 19.7 | 
| YID | 1727.3457 | 8.6 | 2031.9155 | 10.2 | 2317.8014 | 11.0 | 2870.336 | 12.1 | 
| PNZ | 1727.3457 | 8.6 | 2031.9155 | 10.2 | 2317.8014 | 11.0 | 2870.336 | 12.1 | 
| PZ | 802.1319 | 19.6 | 803.7000 | 19.6 | 805.2135 | 19.7 | 808.1661 | 19.8 | 
| TC | 1241.2487 | 29.9 | 1245.5003 | 30.0 | 1249.6314 | 30.2 | 1257.587 | 30.5 | 
| Ray | 1652.3483 | 31.2 | 1667.7989 | 32.0 | 1682.3796 | 32.6 | 1709.535 | 33.8 | 
| Model | x = 5 | x = 10 | x = 50 | x = 100 | x = 300 | |||||
|---|---|---|---|---|---|---|---|---|---|---|
| C(T) | T* | C(T) | T* | C(T) | T* | C(T) | T* | C(T) | T* | |
| GO | 795.8328 | 19.4 | 805.3418 | 19.7 | 806.7524 | 19.7 | 806.7524 | 19.7 | 806.7524 | 19.7 | 
| DS | 553.0408 | 12.6 | 553.6281 | 12.6 | 553.6374 | 12.6 | 553.6374 | 12.6 | 553.6374 | 12.6 | 
| IS | 795.2892 | 19.4 | 804.7607 | 19.7 | 806.1541 | 19.7 | 806.1541 | 19.7 | 806.1541 | 19.7 | 
| PZ | 1921.4811 | 10.9 | 2317.8014 | 11.0 | 5436.6947 | 11.1 | 9334.5223 | 11.1 | 24925.8326 | 11.1 | 
| YID | 1921.4811 | 10.9 | 2317.8014 | 11.0 | 5436.6947 | 11.1 | 9334.5223 | 11.1 | 24925.8326 | 11.1 | 
| PNZ | 795.7122 | 19.4 | 805.2135 | 19.7 | 806.6205 | 19.7 | 806.6205 | 19.7 | 806.6205 | 19.7 | 
| TC | 1187.8988 | 28.4 | 1249.6314 | 30.2 | 1288.3655 | 31.3 | 1288.4700 | 31.3 | 1288.4702 | 31.3 | 
| Ray | 1494.6425 | 30.1 | 1682.3796 | 32.6 | 1971.2054 | 21.3 | 1990.8716 | 20.4 | 1999.1135 | 20.1 | 
| Case | Cost Coefficient | C(T) | T* | 
|---|---|---|---|
| Case #1 | , , , , θ = 1.1 | 2279.3924 | 11.4 | 
| Case #2 | θ = 0.9 | 2114.1396 | 21.0 | 
| θ = 1.0 | 2202.7133 | 15.2 | |
| θ = 1.1 | 2279.3924 | 11.4 | |
| θ = 1.2 | 2344.8455 | 8.9 | |
| Case #3 | 2060.1646 | 20.0 | |
| 2279.3924 | 11.4 | ||
| 2518.4420 | 6.1 | ||
| Case #4 | 1554.0062 | 4.0 | |
| 1945.0337 | 8.0 | ||
| 2279.3924 | 11.4 | ||
| 2859.0580 | 17.4 | ||
| Case #5 | 1818.7990 | 7.8 | |
| 2279.3924 | 11.4 | ||
| . | 4501.1000 | 26.5 | |
| . | 6215.2364 | 38.5 | |
| 9470.6503 | 72.5 | 
| Disclaimer/Publisher’s Note: The statements, opinions and data contained in all publications are solely those of the individual author(s) and contributor(s) and not of MDPI and/or the editor(s). MDPI and/or the editor(s) disclaim responsibility for any injury to people or property resulting from any ideas, methods, instructions or products referred to in the content. | 
© 2024 by the authors. Licensee MDPI, Basel, Switzerland. This article is an open access article distributed under the terms and conditions of the Creative Commons Attribution (CC BY) license (https://creativecommons.org/licenses/by/4.0/).
Share and Cite
Song, K.Y.; Chang, I.H. NHPP Software Reliability Model with Rayleigh Fault Detection Rate and Optimal Release Time for Operating Environment Uncertainty. Appl. Sci. 2024, 14, 10072. https://doi.org/10.3390/app142110072
Song KY, Chang IH. NHPP Software Reliability Model with Rayleigh Fault Detection Rate and Optimal Release Time for Operating Environment Uncertainty. Applied Sciences. 2024; 14(21):10072. https://doi.org/10.3390/app142110072
Chicago/Turabian StyleSong, Kwang Yoon, and In Hong Chang. 2024. "NHPP Software Reliability Model with Rayleigh Fault Detection Rate and Optimal Release Time for Operating Environment Uncertainty" Applied Sciences 14, no. 21: 10072. https://doi.org/10.3390/app142110072
APA StyleSong, K. Y., & Chang, I. H. (2024). NHPP Software Reliability Model with Rayleigh Fault Detection Rate and Optimal Release Time for Operating Environment Uncertainty. Applied Sciences, 14(21), 10072. https://doi.org/10.3390/app142110072
 
        

 
       