Abstract
The suspension system of a commercial vehicle cab plays a crucial role in enhancing ride comfort by mitigating vibrations. However, conventional rubber suspension systems have relatively fixed stiffness and damping properties, rendering them inflexible to load variations and resulting in suboptimal ride comfort under extreme road conditions. Shape memory alloys (SMAs) represent an innovative class of intelligent materials characterized by superelasticity, shape memory effects, and high damping properties. Recent advancements in materials science and engineering technology have focused on rubber-based SMA composite dampers due to their adjustable stiffness and damping through temperature or strain rate. This paper investigates how various structural parameters affect the stiffness and damping characteristics of sleeve-type rubber-based SMA composite vibration dampers. We developed a six-degree-of-freedom vibration differential equation and an Adams multi-body dynamics model for the rubber-based SMA suspension system in commercial vehicle cabins. We validated the model’s reliability through theoretical analysis and simulation comparisons. To achieve a 45% increase in stiffness and a 64.5% increase in damping, we optimized the suspension system’s z-axis stiffness and damping parameters under different operating conditions. This optimization aimed to minimize the z-axis vibration acceleration at the driver’s seat. We employed response surface methodology to design the composite shock absorber structure and then conducted a comparative analysis of the vibration reduction performance of the optimized front and rear suspension systems. This study provides significant theoretical foundations and practical guidelines for enhancing the performance of commercial vehicle cab suspension systems.
1. Introduction
In modern car design, driving comfort and vehicle handling stability are the two core evaluation indicators. These two indicators are not only related to the passenger experience but also directly affect the safety and market competitiveness of the vehicle. The implementation of these two indicators largely depends on the damping effect of the vehicle suspension system. The suspension system absorbs and attenuates the vibrations transmitted from the road to the vehicle body, ensuring the smoothness of the vehicle while driving and the comfort inside the cab [1,2,3]. Rubber shock absorbers have been widely used in automotive suspension systems for a long time due to their good elasticity and I have checked and there are no issues. Thank you durability. However, with the continuous variation in vehicle driving speeds and the diversification of driving environments, the limitations of traditional rubber shock absorbers are becoming increasingly evident [4]. Firstly, the vibration reduction performance of traditional rubber shock absorbers is suboptimal under high-frequency and large-amplitude vibrations. This inefficacy primarily stems from the inherent material properties of rubber, which struggle to deform and recover rapidly under high-frequency conditions, thereby failing to effectively absorb and attenuate high-frequency vibration energy. Secondly, conventional rubber shock absorbers exhibit inadequate responsiveness to low-frequency vibrations. During low-speed or constant-speed driving, vehicles are frequently subjected to low-frequency, large-amplitude vibration impacts. In such scenarios, the damping effect of traditional rubber dampers relies heavily on the material’s elastic recovery capabilities, which are often insufficient to provide effective vibration mitigation. However, rubber materials demonstrate limited damping effectiveness when encountering large, low-frequency vibrations, particularly at high amplitudes. This limitation can lead to permanent deformation of the rubber, diminishing its ability to buffer and absorb vibrations, and ultimately resulting in heightened vibration perception within the cabin. For traditional types of shock absorbers, numerous scholars have conducted a series of analyses and optimizations on their structures in order to improve their damping performance. Forcellini and Kelly [5] proposed a simple dual-spring model for multi-layer elastic isolators to address the challenges of response and post-buckling stability under large deformations. They investigated the interactions between horizontal stiffness and vertical load, vertical stiffness and horizontal displacement, as well as the compression and tensile behavior induced by buckling. Engelen et al. [6] adjusted the hysteresis loop characteristics of the isolator by modifying the support geometry (MSG) to adjust the complete flipping displacement of the SU-FREI. After calibrating the model with experiments, they found that the use of complete flipping and MSG helps maintain horizontal stability and control the hardening characteristics of the SU-FREI. Kalfas et al. [7] investigated the effect of steel reinforcement characteristics on the behavior of rubber bearings under combined axial loads, shear displacements, and rotations in response to the phenomenon of gasket damage to isolation bearings during earthquakes. Through Abaqus modeling and simulation, they concluded that the yield of steel gaskets leads to permanent deformation and local damage, thereby affecting the overall isolation performance. Warn and KL [8] explored the application of seismic isolation hardware in the field of building earthquake protection, combined with past research and the latest developments in vibration tables, and focused their research on passive seismic isolation.
The single-material nature of traditional rubber dampers restricts their ability to provide effective vibration reduction across a wide frequency range [9,10,11]. Therefore, the challenge lies in designing a composite shock absorber that can effectively mitigate high-frequency, large-amplitude vibrations while also responding promptly to low-frequency, small-amplitude vibrations. Addressing this issue has become an urgent priority in the research of automotive suspension systems. Consequently, researchers are increasingly focusing on the design of smart materials and composite structures, investigating the integration of novel materials and technologies into traditional rubber materials [12,13].
Shape memory Alloys (SMAs), a novel class of intelligent materials, exhibit extraordinary properties such as superelasticity, shape memory effects, and high damping characteristics. Their stiffness and damping can be adjusted through variations in temperature or strain rate, making them a significant research focus in materials science and engineering technology in recent years [14,15,16]. The composite shock absorber, leveraging the superelasticity and high energy dissipation capabilities of SMAs, demonstrates exceptional performance in addressing the diverse and high-intensity vibration challenges encountered during vehicle operation. Empirical evidence has shown that this composite shock absorber can withstand multiple reuses under varying stress conditions, showcasing robust durability and substantial vibration reduction effects. This technology holds significant innovative potential in the field of automotive vibration reduction [17,18,19]. Liu et al. [20] combined the advantages of piezoelectric materials and shape memory alloys to study a new type of shock absorber, explored the influence of the number and arrangement of shape memory alloy wires on the vibration reduction effect, and experimentally concluded that piezoelectric ceramic control strategies can improve the vibration reduction effect of the structure. Fan et al. [21] analyzed the mechanical properties of shape memory alloy (SMA) wires and their application in damping systems, designed and manufactured a detachable SMA suspension pendulum damping system, and demonstrated significant control effects under dynamic excitation, providing an effective reference for structural vibration control. Han et al. [22] proposed a two-stage friction-type shape memory alloy (SMA) damper and evaluated the vibration control performance of a drum washing machine. The vibration control effects were obtained at three different operating frequencies, and it was found that the SMA damper significantly improved the vibration control performance at both low and high frequencies. Liu et al. [23] developed a shape memory alloy steel wire laminated rubber composite bearing based on its superelastic properties. Through comparative experiments on seismic simulation vibration tables, the influence of the displacement amplitude of the isolation layer on the isolation parameters such as unit cycle energy consumption, equivalent horizontal stiffness, maximum recovery force, and the equivalent resistance ratio of the composite bearing was analyzed, verifying its superiority in isolation performance.
Optimizing the combination of SMA metal modules and rubber damping components to fully leverage their advantages presents numerous technical difficulties and challenges in practical applications. Firstly, the phase transition characteristics of SMA materials are highly sensitive to temperature and stress, rendering their behavior in diverse working environments unpredictable. Temperature fluctuations or uneven stress distributions can result in the unstable performance of SMA materials, thereby compromising the overall efficacy of the vibration reduction system [24,25,26,27]. Secondly, there is a substantial disparity in the mechanical properties between SMA and rubber materials. Rubber materials exhibit high elasticity and low stiffness, while a significant stress–strain response and superior energy dissipation properties characterize SMAs. It is imperative to effectively integrate these two materials to achieve an optimal vibration reduction effect, synergizing SMAs’ phase transition characteristics with rubber’s elastic properties. This necessitates precise structural design and meticulous parameter optimization. However, existing optimization design methods for SMA rubber composite structures under varying working conditions remain incomplete, limiting their ability to fully meet practical application needs [28,29,30,31]. Additionally, different excitation frequencies and vibration amplitudes impose distinct performance requirements on composite dampers. Traditional rubber dampers perform excellently under low-frequency and small-amplitude vibrations but prove ineffective under high-frequency and large-amplitude conditions. In contrast, SMAs exhibit strong energy dissipation capabilities under high-frequency and large-amplitude vibrations; therefore, the alignment between their operating frequencies and amplitudes requires further investigation [32,33,34,35].
This study explores the influence of structural parameters on the stiffness and damping characteristics of existing rubber-based SMA composite dampers. A reliable Adams multi-body dynamic model was developed and validated. Subsequent optimization of the suspension system parameters aimed to achieve superior vibration reduction performance under harmonic excitation with varying loading rates and amplitudes. This study targeted a 45% increase in stiffness and a 64.5% increase in damping, with a focus on minimizing z-axis vibration acceleration at the driver’s seat. This was achieved by optimizing the z-axis stiffness and damping parameters of the suspension system under different operating conditions. Response surface methodology was employed to design the composite shock absorber structure, followed by a comparative analysis of the damping performance of the optimized front and rear suspension systems. Through the optimization of the structural parameters of rubber-based SMA composite shock absorbers and the stiffness and damping parameters of the suspension system, the vibration acceleration of the driver’s seat in the z-axis direction has been mitigated. Particularly at low loading rates, the root mean square value of seat z-axis acceleration undergoes a significant reduction. At a loading rate of 120 mm/s, it drops from 3.307 m/s2 to 1.991 m/s2, representing a decrease of 39.79%. This implies that during the driving process, drivers and passengers will experience fewer bumps and vibrations, thereby enhancing the comfort of the ride. Simultaneously optimized suspension systems can more effectively adapt to different road conditions and load rates. As the load rate increases, the stiffness and damping values of the suspension system correspondingly increase, enabling the vehicle to maintain excellent stability when driving at high speeds or encountering complex road conditions. Under high load rates, the z-direction displacement amplitude of the seat decreases. Although it takes longer to reach a stable state, the acceleration amplitude in the z-direction is higher, which helps the vehicle recover stability faster and improve driving safety.
2. Analysis of Stiffness and Damping Characteristics of Rubber-Based SMA Composite Dampers
2.1. The Influence of SMA Structural Parameters on the Stiffness and Damping Characteristics of Composite Dampers
The rubber-based SMA composite shock absorber [12] discussed in this article features a sleeve-type suspension structure comprising an outer rubber shock absorber, an inner rubber shock absorber, and a circular SMA metal module, as shown in Figure 1. When a force is applied, the excitation force initially transmits to the outer rubber damping element, which then engages the SMA metal module and induces strain. During the phase transition, the vibration energy dissipates through grain boundary friction. The remaining force then transmits to the cab connecting bolt via the inner rubber element. For the middle-layer SMA metal module to operate effectively, the outer rubber must transmit enough force to generate the necessary stress and strain within the module, thereby achieving the desired damping effect.
Figure 1.
Cross-section view of rubber-based SMA composite vibration damper [12].
For the convenience of subsequent simulation research, the DesignModeler module of ANSYS was used to parameterize the rubber-based SMA composite vibration damper. The structural parameters of the rubber-based SMA composite vibration damper are shown in Table 1, where d is the thickness of the circular SMA metal module, H is the overall width of the vibration damper, D1 is the inner diameter of the inner rubber vibration damper, D2 and D3 are the inner and outer diameters of the SMA metal module, and D4 is the outer diameter of the outer rubber vibration damper.
Table 1.
Structural parameters of circular ring rubber-based SMA composite vibration dampers.
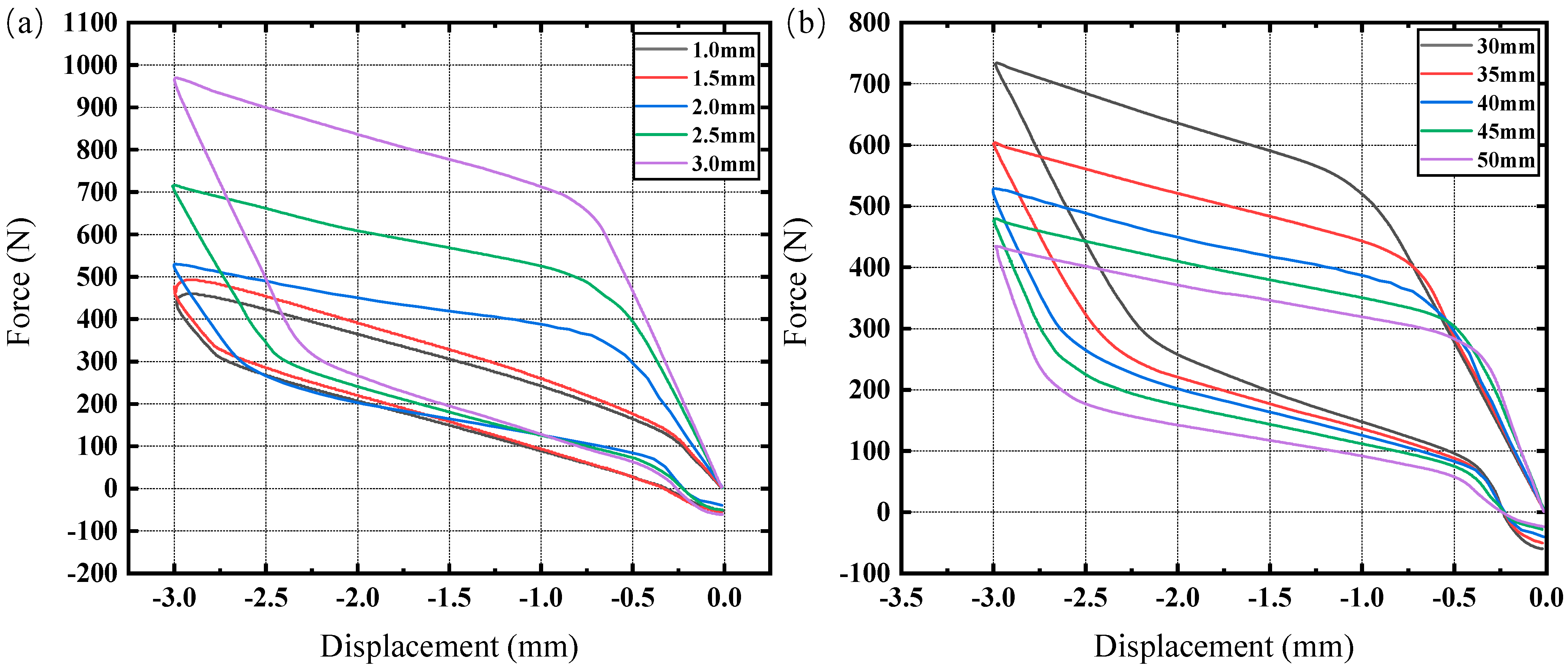
To investigate the effect of the thickness and diameter of circular SMA metal modules on the stiffness and damping characteristics of composite vibration dampers, SMA metal modules with varying thicknesses of 1 mm, 1.5 mm, 2 mm, 2.5 mm, and 3 mm were studied under the condition that other structural parameters remained unchanged. A harmonic excitation with an amplitude of 3 mm was applied at a loading rate of 75 mm/s while maintaining a constant thickness of 2 mm for the SMA metal modules. Subsequently, the effect of module diameter on the stiffness and damping properties was examined with inner diameters of 30 mm, 35 mm, 40 mm, 45 mm, and 50 mm. The same harmonic excitation parameters (amplitude of 3 mm and loading rate of 75 mm/s) were applied. The force–displacement curves corresponding to SMA metal modules of different thicknesses and diameters are presented in Figure 2.
Figure 2.
Stress-displacement curves corresponding to SMA metal modules with different thickness and diameters: (a) different thicknesses; (b) different diameters.
As illustrated in Figure 2a, the enclosed area of the force–displacement curve increases significantly with the thickness of the SMA metal module. This observation can be attributed to the higher proportion of SMA material present in the rubber-based SMA composite vibration damper as the module thickness increases. As a result, the force–displacement characteristics of the overall structure increasingly resemble those inherent to the SMA material. When the thickness of the SMA metal module is equal to or below 1.5 mm, the force–displacement curve exhibits characteristics similar to those of a rubber hysteresis loop, a behavior attributed to the diminutive proportion of SMA material.
As depicted in Figure 2b, a reduction in the diameter of the SMA metal module leads to an expansion in the area circumscribed by the force–displacement curve. This also results in an increase in the displacement associated with the stiffness inflection point during loading, thereby enhancing overall structural stiffness. This effect arises because a smaller diameter allows more SMA structures to undergo martensitic and austenitic phase transformations at equivalent displacement load amplitudes, thus augmenting energy dissipation. The initiation of martensitic transformation depends on the attainment of a critical transformation stress. Under a sufficiently high excitation amplitude, a thin damping layer accumulates the requisite stress through incremental strain, thereby instigating the martensitic transformation. This is reflected in the force–displacement curve as a progressive increase in displacement corresponding to the stiffness inflection point of the overall structure.
The results for the stiffness, damping, and energy dissipation of composite dampers with varying SMA metal module thicknesses and diameters are presented in Table 2. Additionally, the variation curves for each parameter as a function of the SMA metal module’s thickness and diameter are illustrated in Figure 3.
Table 2.
Stiffness, damping, and dissipated energy parameters corresponding to different thicknesses and diameters of SMA metal modules.
Figure 3.
The variation curves of stiffness and damping with the thickness and diameter of SMA metal modules: (a) SMA metal module thickness; (b) SMA metal module diameter.
As illustrated in Figure 3a, an increase in the thickness of the SMA metal module results in a corresponding rise in both the stiffness and damping of the shock absorber. The amplitude of these increases also escalates with the increased thickness of the SMA metal module. Owing to the substantial disparity in stiffness and damping between SMA materials and rubber materials, variations in the structural parameters of SMA metal modules significantly influence stiffness and damping to a greater extent than those of rubber vibration-damping components.
Figure 3b demonstrates that as the diameter of the SMA metal module increases, the stiffness and damping of the shock absorber gradually diminish, with the rate of decrease tapering off progressively. This phenomenon occurs because larger diameters in SMA metal modules correlate with reduced stiffness. Consequently, under identical displacement conditions, the strain in the SMA metal module is reduced, leading to lower energy dissipation within a single loading and unloading cycle.
2.2. The Influence of Structural Parameters of Rubber Vibration Dampers on the Stiffness and Damping Characteristics of Composite Dampers
To investigate the influence of the outer rubber damping element’s thickness on the damper’s damping characteristics, the outer diameter D4 of the rubber damping element was varied while keeping all other structural parameters constant. The outer diameters were adjusted to 66 mm, 73 mm, 80 mm, 87 mm, and 94 mm, corresponding to thicknesses of 8.5 mm, 12 mm, 15.5 mm, 19 mm, and 22.5 mm, respectively. A harmonic excitation with an amplitude of 3 mm and a loading rate of 75 mm/s was applied. The resulting force–displacement curves for the various thicknesses of the outer rubber damping element are shown in Figure 4.
Figure 4.
Force-displacement curves during loading and unloading process corresponding to different thicknesses of outer rubber damping layers.
As illustrated in Figure 4, increasing the thickness of the outer rubber damping element results in a gradual increase in the displacement at the stiffness turning point during the loading process. Concurrently, the overall structural stiffness of the composite damper also progressively increases throughout the martensitic transformation process. This behavior is attributed to the fact that, with unchanged structural parameters, an increase in the outer rubber thickness reduces the maximum strain experienced by the rubber damping element under a constant displacement amplitude, consequently decreasing the transmitted stress. Therefore, a larger displacement is required to accumulate sufficient stress in the shape memory alloy (SMA) metal module to induce martensitic phase transformation, thereby increasing the displacement corresponding to the stiffness turning point.
Moreover, as the thickness of the outer rubber components increases, their intrinsic stiffness is similarly enhanced. This enhancement, in turn, augments the overall stiffness of the composite vibration damper structure, impacting the stiffness during the martensitic transformation process. At the end of the unloading stage, the force–displacement curve of the composite damper’s overall structure tends to approach the hysteresis loop characteristic of the rubber material. An increase in the proportion of rubber material also raises the residual stress within the overall structure.
To quantify these effects, the stiffness, damping, and energy dissipation of composite dampers with varying thicknesses of outer rubber damping components were calculated and are provided in Table 3. Additionally, the parameter variations concerning the changes in outer rubber damping component thickness are depicted in Figure 5.
Table 3.
Stiffness, damping, and hysteresis energy dissipation parameters corresponding to the outer thickness of different rubber damping layers.
Figure 5.
Curve of stiffness and damping characteristics of rubber-based SMA composite shock absorber with the thickness of outer rubber damping components.
As illustrated in Figure 5, with the increasing thickness of the outer rubber damping element, both the stiffness and damping of the composite damper exhibit a gradual increase. However, the magnitude of this increment is relatively modest. This phenomenon can be attributed to the fact that the stiffness and damping characteristics of rubber-based SMA composite shock absorbers are predominantly influenced by the SMA metal module. Consequently, the changes in stiffness and damping resulting from variations in the thickness of the rubber shock absorbers remain comparatively minor.
2.3. Effect of SMA Composite Shock Absorber Width on the Stiffness and Damping Characteristics of Composite Shock Absorbers
To study the effect of SMA composite damper width on the stiffness and damping characteristics of the damper while keeping other structural parameters unchanged, rubber-based SMA composite dampers with widths of 45 mm, 50 mm, 55 mm, 60 mm, and 65 mm were selected and subjected to harmonic excitation with an amplitude of 3 mm and a loading rate of 75 mm/s. The force–displacement curves corresponding to different composite damper widths are shown in Figure 6.
Figure 6.
Force-displacement curves during loading and unloading process corresponding to different widths of shock absorbers.
As illustrated in Figure 6, the stiffness of the shock absorber increases progressively with its width throughout the loading process, while the displacement corresponding to the stiffness turning point remains unchanged. This phenomenon can be explained by the fact that increasing the width of the shock absorber effectively increases the number of shock absorbers. Under a given displacement excitation load [36], this results in a greater dynamic reaction force, thereby enhancing overall stiffness. However, because the combination characteristics of rubber and SMA remain unchanged, the interaction between the rubber damping components and the SMA metal modules also remains constant, thus keeping the displacement corresponding to the stiffness turning point unchanged.
The stiffness, damping, and energy dissipation of composite dampers with varying widths have been calculated, as shown in Table 4. Moreover, the variation curves of each parameter with the width of the composite damper are depicted in Figure 7.
Table 4.
Stiffness, damping, and dissipated energy parameters corresponding to different shock absorber widths.
Figure 7.
Curve of stiffness and damping characteristics of rubber-based SMA composite shock absorber with respect to the width of the shock absorber.
As observed from Figure 7, the stiffness and damping of the shock absorber increase progressively with its width, though not in a linear manner. This nonlinearity arises because both rubber and SMA exhibit superelastic properties, and expanding the width of the shock absorber influences its internal stress distribution to some extent. Consequently, the relationship between stiffness and damping and the width of the shock absorber exhibits certain nonlinear characteristics.
3. Optimization and Matching Design of Rubber-Based SMA Suspension Systems
3.1. Modeling and Analysis of Rubber-Based SMA Suspension System
3.1.1. Theoretical Analysis of Vibration in the Rubber-Based SMA Suspension System of the Cab
This portion of the study focuses on the suspension system of a commercial vehicle, which features a symmetrical design on both the left and right sides and employs sleeve-type suspension at both the front and rear. An initial theoretical analysis of vibration isolation is conducted for the cab suspension system, with the simplified model illustrated in Figure 8. Due to the relatively softer suspension stiffness compared to the cab’s inherent stiffness, the cab is modeled as a rigid body with six degrees of freedom. In this analysis, the suspension system is represented as a spring exhibiting elastic properties along three orthogonal spatial axes [37]. The suspension stiffness is assumed to be linearly elastic, and damping effects are neglected. To facilitate targeted analysis and simulation of actual conditions, external excitations such as frame vibration and power system vibration are simplified into a fixed-amplitude and -frequency sine load form.
Figure 8.
Vibration model of the cab vibration subsystem.
In Figure 8, the center-of-mass coordinate system O-XYZ is defined, with the coordinate axes aligned with those of the vehicle coordinate system. Due to the high sensitivity of passengers to vertical vibrations, this study primarily focuses on vibrations in the z-direction. Consequently, the motion equation of the cab suspension can be described as follows:
In the formula, MR is the matrix of suspension dynamic reaction force and dynamic reaction torque, and the cab mass matrix can be expressed as follows:
The relationship between the displacement Dci of the i-th suspension point in the local coordinate system, the displacement Dri in the center-of-mass coordinate system O-XYZ, and the center-of-mass displacement X is as follows:
In the formula, Bi represents the directional cosine matrix in the O-XYZ coordinate system of the i-th suspension’s elastic main axis center of mass, while xi, yi, and zi represent the suspension coordinates. When there is a vertical displacement excitation on the frame, the displacement Dcbi of the suspension point in its elastic principal axis coordinate system O-XYZ can be expressed as follows:
The force and deformation of the i-th suspension in its Oi-uvw coordinate system can be calculated by the following equation:
The dynamic reaction force and dynamic reaction moment of the i-th suspension on the cab can be expressed as the total reaction force MRi:
The motion equation of the cab can be written as
The dynamic reaction force and the stiffness matrix of the system can be expressed as follows:
When the cab is free from external force excitation, it can be considered an undamped, free-vibration system. By substituting the stiffness matrix and mass matrix into the following equation, the natural frequency of the system can be determined:
By analyzing the installation positions and three-dimensional stiffness values of each suspension component in the cab suspension system, a six-degree-of-freedom vibration equation for the cab can be established. Subsequently, the dynamic time–frequency response at the center of mass and the suspension points can be accurately calculated using the Newmark-Beta algorithm.
3.1.2. Multi-Body Dynamics Modeling and Reliability Verification of the Cab Suspension System
This study employs Adams/View2016 version software to develop a multi-body dynamic model of the cab suspension system. The modeling process primarily utilizes the following parameters: the mass inertia characteristics of the cab, the stiffness and damping parameters of the suspension system, and the installation and fixation parameters of the suspension components. The necessary parameters are detailed in Table 5 [38].
Table 5.
Parameters of the cab suspension system [38].
The 3D model of the cab was imported into Adams, and the cab’s mass and moment of inertia were set according to the values provided in Table 5. The connections at the installation positions of the four suspension systems were modeled using bushing connections to represent the rubber-based SMA suspension. Three-dimensional stiffness and damping values were assigned to the bushing module. Notably, although the bushing module differs in form from the rubber-based SMA composite damper, its three-dimensional stiffness and damping characteristics are identical to those of the SMA suspension. The resulting multi-body dynamic model of the rubber-based SMA suspension system within the cab is depicted in Figure 9.
Figure 9.
Adams multi-body dynamics model of cab suspension system.
The calculation of modal frequency holds profound significance in the modeling and analysis of rubber-based SMA suspension systems. Modal frequency serves as a crucial parameter of the inherent vibration characteristics of a system, capable of reflecting the stiffness and mass distribution within the system. Through calculating the modal frequency, one can understand the response characteristics of the suspension system under different vibration modes. In the absence of external force excitation, the vibration module was employed to analyze the first six modes of the system. The results of this analysis were then compared with theoretical results obtained using the Newmark-Beta algorithm, as presented in Table 6. It is evident that the discrepancy in the first six modal frequencies calculated by both methods is less than 2%. Comparing the modal frequencies calculated via the Adams multi-body dynamics model with the theoretical analysis results obtained by employing the Newmark-Beta algorithm can verify the accuracy and reliability of the multi-body dynamics model.
Table 6.
Comparison of multi-body dynamics and theoretical analysis results for the first six modal frequencies.
A harmonic excitation force with an amplitude of 2000 N and a frequency of 20 Hz was applied to the four suspension points. A vibration analysis was conducted, and the z-direction displacement time–frequency response data at the seat position were measured. These results were then compared with the theoretically calculated values, as illustrated in Figure 10.
Figure 10.
Comparison between the Adams z-direction displacement of the seat and numerical calculation results: (a) time-domain response; (b) frequency-domain response.
Figure 10 provides a comparative analysis of the time-domain and frequency-domain responses of z-direction displacement at the seat position. As shown in Figure 10a, the time-domain response trends from the Adams simulation align closely with those derived from numerical calculations. Figure 10b further demonstrates that both the simulation and numerical results reveal significant amplitude responses at the fourth and fifth modal frequencies, as well as at the excitation frequency. The overall trend in amplitude–frequency response changes is consistent across both methods. However, a notable discrepancy exists in the amplitude of the frequency responses: the numerical calculation frequency response curve exhibits an amplitude approximately twice that of the Adams frequency response curve. This variation is attributed to differences in data processing and the implementation of the fast Fourier transform algorithm between the two software tools (Adams/View2016 software version and Matlab2017a software version).
The reliability of the multi-body dynamics model is established through a comparative analysis of the simulation results and numerical calculations for the modal frequency and z-direction displacement time–frequency response at the seat, as detailed in Table 6 and Figure 10. This validation process sets the stage for employing the multi-body dynamics model in subsequent vibration analysis and the optimization of suspension parameters for the cab suspension system under harmonic excitation conditions with varying loading rates and amplitudes.
3.2. Optimization of Cab Suspension System Based on Adams Vibration
3.2.1. Adams Design Optimization Variable Setting
The stiffness and damping adjustments of the commercial vehicle cab suspension system are pivotal for adapting to varying road conditions. By optimally tuning the suspension system’s stiffness and damping, the vehicle’s stability, comfort, and safety can be significantly enhanced. This section utilizes the established Adams multi-body dynamics model to parameterize the stiffness and damping of the suspension system. Given that the primary driving force in the cab originates from the frame and is predominantly concentrated in the z-direction, the stiffness and damping of the shock absorber in the z-direction are employed as design variables. The initial values and variation ranges for each design variable are presented in Table 7, while additional variables and their respective values are referenced in Table 5.
Table 7.
Design variables for cab suspension system.
3.2.2. Optimization of Stiffness and Damping of Rubber-Based SMA Suspension Under Different Loading Rates
Based on the primary excitation frequency range of the driver’s cab excitation source, harmonic excitation is applied to the SMA suspension system in the driver’s cab at loading rates of 120 mm/s, 240 mm/s, 360 mm/s, 480 mm/s, and 600 mm/s, corresponding to frequencies of 10 Hz, 20 Hz, 30 Hz, 40 Hz, and 50 Hz, respectively. A displacement amplitude of 3 mm and a duration of 1 s are maintained across these tests. The loading rates are approximately calculated by dividing the excitation amplitude by one-quarter of the cycle. Figure 11 and Figure 12 illustrate the time-domain displacement and acceleration responses of the seat in the z-direction at different loading rates. These data were obtained by establishing a reference coordinate system at the seat and measuring the relevant parameters within this reference coordinate system using Adams/View2016 version software.
Figure 11.
Time-domain response of seat z-direction displacement under different loading rates.
Figure 12.
Time-domain response of seat z-direction acceleration under different loading rates.
As shown in the above figure, under low-frequency excitation corresponding to a small loading rate, the z-direction displacement amplitude and z-direction acceleration amplitude at the seat are both relatively large. Under high-frequency excitation corresponding to high loading rates, the z-direction displacement amplitude at the seat is small, but it takes a long time to reach a stable state, while the z-direction acceleration amplitude is higher.
By utilizing the z-axis stiffness and damping of the suspension as design variables and imposing the constraint that the displacement amplitude of the driver’s seat must be less than 10 mm, the optimization aims to minimize the root mean square (RMS) value of the z-axis acceleration of the seat. The stiffness and damping parameters listed in Table 7 are optimized under these conditions. To balance reducing calculation time and ensuring robust optimization results, the maximum number of iterations is set to 100, with a tolerance level of 0.1.
Under the specified excitation conditions, which include a loading rate of 120 mm/s (corresponding to an excitation frequency of 10 Hz) and a displacement amplitude of 3 mm, the iterative optimization process targeting the root mean square (RMS) value of the z-axis acceleration of the seat is illustrated in Figure 13. Additionally, the time–frequency response optimization iteration processes for the z-axis acceleration and z-axis displacement of the seat are presented in Figure 14 and Figure 15, respectively.
Figure 13.
Adams iterative optimization process for the root mean square value of seat z-direction acceleration.
Figure 14.
Iterative optimization process of seat z-direction acceleration.
Figure 15.
Iterative optimization process of seat z-direction displacement.
As illustrated in Figure 13, the root mean square (RMS) value of the z-axis acceleration of the seat has decreased from 3.307 m/s2 to 1.991 m/s2. Furthermore, Figure 14 and Figure 15 demonstrate that the extreme values of the z-direction acceleration and displacement of the seat have both diminished to a certain extent. Following a similar optimization process, the stiffness and damping parameters of the suspension system were optimized under harmonic excitation at different loading rates. The optimization results are summarized in Table 8.
Table 8.
Optimization results of suspension stiffness and damping under different loading rates.
According to the optimization results in Table 8, it can be seen that the stiffness and damping values of the suspension system increase with the increase in loading rate. When the loading rate is between 0.24 and 0.36 m/s, the stiffness and damping significantly increase and then tend to stabilize.
Similarly, harmonic excitation with a loading rate of 120 mm/s and excitation amplitudes of 3 mm, 4 mm, 5 mm, 6 mm, and 7 mm was applied to the SMA suspension system in the cab. The z-axis stiffness and damping parameters of the suspension were optimized following the process outlined in Section 3.2.2. The optimization results are presented in Table 9.
Table 9.
Optimization results of suspension stiffness and damping under different excitation amplitudes.
According to Table 9, when the excitation amplitude increases from 3 mm to 7 mm, the maximum increase in stiffness is 45%, and the maximum increase in damping is 64.5%. Based on this, the structure of the composite shock absorber is matched and designed.
4. Structural Parameter Matching and Vibration Reduction Performance Optimization of Rubber-Based SMA Composite Dampers
4.1. Structural Parameter Matching Design of Rubber-Based SMA Composite Vibration Dampers
The response surface analysis on rubber-based SMA composite shock absorbers was conducted based on the optimization results in Section 3.2. The structural parameters, displacement amplitude, and loading rate as shown in Table 1 were taken as design variables. The maximum dynamic reaction force was used as the output variable. Additionally, a stiffness output variable was created by dividing the maximum dynamic reaction force by the displacement amplitude. In this analysis, we utilized Workbench for parametric modeling, wherein the structural parameters were designated as design variables. Following the establishment of the parameter set module, we integrated a response surface optimization module to extend our investigation.
In the CCD experimental design, the five structural parameters D1, D2, D4, H, and d are taken as independent variables, represented by P1–P5; structural stiffness is used as the dependent variable, represented by P6 (stiffness = dynamic reaction force/displacement). For each variable factor, five levels are designed using the CCD method. The horizontal distribution of the CCD method is characterized by a dense center and scattered sides. For example, for the D1 variable design thickness factor P1, the five levels are 18 mm, 19.43 mm, 20 mm, 20.57 mm, and 22 mm, respectively. The middle three levels of 19.43 mm, 20 mm, and 20.57 mm are distributed closer, while the two levels of 18 mm and 22 mm on both sides are distributed farther. Compared with the orthogonal design experimental group, the experimental group designed by CCD method has a flexible data structure and higher prediction accuracy of response surface for each variable. For the five independent variables, a total of 27 combinations are given, represented as K1–K27 in P6, as shown in Table 10 below.
Table 10.
CCD experimental design group.
Based on the above analysis, the CCD method can be used to flexibly design experimental groups for various structural parameters, thereby obtaining the required response surface.
The resulting response surface, with the diameter and loading rate of the SMA metal module as independent variables and the z-axis stiffness of the rubber-based SMA composite damper as the dependent variable, is depicted in Figure 16.
Figure 16.
Response surface graph of z-direction stiffness and diameter and loading rate of SMA metal module.
Given that the experimental group designed using the CCD method can only determine the z-stiffness values of rubber-based SMA composite dampers for various design variables, it is necessary to export all data to calculate the response surface for each design variable with respect to the damping characteristics of the composite damper. We used Matlab to compute the z-direction damping of the rubber-based SMA composite damper from the exported data. The resulting response surface, which illustrates the relationship between the diameter and loading rate of the SMA metal module as independent variables and the z-direction damping of the rubber-based SMA composite damper as the dependent variable, is presented in Figure 17.
Figure 17.
Response surface graph of z-direction damping and diameter and loading rate of SMA metal module.
Based on the response surface analysis of various design variables concerning the stiffness and damping characteristics of rubber-based SMA composite dampers and guided by the optimization results for suspension stiffness and damping, the structural parameters of the rubber-based SMA composite dampers have been methodically optimized and designed. An array encompassing a range of design variables, along with the corresponding stiffness and damping calculation results, was imported into Matlab. The primary objective was to minimize the absolute percentage error between the calculated stiffness values and the target stiffness values under different loading rates. As additional criteria, the stiffness corresponding to the maximum amplitude was set to be 1.4 times that of the minimum amplitude, and the damping corresponding to the maximum amplitude was set to be 1.65 times that of the minimum amplitude. Consequently, the optimal combination of structural parameters was determined, and the optimization results are detailed in Table 11. The cross-sectional views of the rubber-based SMA composite vibration damper, both before and after optimization, are depicted in Figure 18.
Table 11.
Optimization results of structural parameters for rubber-based SMA composite dampers.
Figure 18.
Comparison of cross-sectional views of rubber-based SMA composite dampers before and after optimization: (a) before optimization; (b) after optimization.
Based on the response surface analysis results, several modifications to the optimized SMA metal module have been identified. The diameter of the SMA metal module has been reduced from 45 mm to 33 mm, and its thickness has been decreased from 2 mm to 1.75 mm. Conversely, the thickness of the outer rubber material has increased from 15.5 mm to 22.75 mm, while the width of the composite shock absorber has slightly decreased from 55 mm to 53 mm. These changes are attributed to the insensitivity of rubber stiffness to frequency variations in the low-frequency range, which reduces the amplification of stiffness damping in composite dampers at these frequencies.
As the frequency increases, the rubber material undergoes dynamic hardening, which enhances the sensitivity of the inner SMA metal module to frequency changes, thereby gradually increasing the stiffness–damping amplification of the composite vibration damper in the mid-to-high-frequency range. Additionally, by reducing the diameter and thickness of the SMA metal module, the SMA’s superelastic strain limit can be reached with smaller excitation amplitudes. When subjected to larger excitation values, the SMA undergoes complete martensitic transformation, thereby improving the overall stiffness of the composite vibration damper.
The parameterized model of rubber-based SMA composites were updated with optimized structural parameters and their z-stiffness and damping values recalculated at different loading rates. The results are shown in Table 12.
Table 12.
Stiffness and damping of rubber-based SMA suspension optimized under different loading rates.
Based on the data presented in the table, matching curves for stiffness, damping, target stiffness, and target damping of the optimized composite vibration damper were plotted, as illustrated in Figure 19. The results show significant variation in the stiffness and damping values of the optimized structure at a loading rate of 120 mm/s, whereas better alignment is observed at other loading rates. This discrepancy can be attributed to the characteristics of the rubber-based SMA composite vibration damper, where both stiffness and damping increase with the loading rate, with this increase being more pronounced at lower loading rates. A reduction in the stiffness and damping values at the 120 mm/s loading rate was specifically implemented to enhance overall fitting accuracy and better align with the target stiffness and damping values.
Figure 19.
Comparison of optimized stiffness and damping with target stiffness and damping under different loading rates: (a) stiffness; (b) damping.
The stiffness and damping values derived from the structurally optimized rubber-based SMA composite shock absorber were employed to update the multi-body dynamic model of the cab’s rubber-based SMA suspension. Various harmonic excitations at different loading rates were applied for loading and unloading analyses. A comparative evaluation was then conducted to assess the vibration reduction performance of the suspension system before and after optimization.
4.2. Comparative Analysis of Vibration Reduction Performance Optimization of Rubber-Based SMA Suspension System
The optimized cab suspension system was subjected to harmonic excitation at loading rates of 120 mm/s, 240 mm/s, 360 mm/s, 480 mm/s, and 600 mm/s—corresponding to excitation frequencies of 10 Hz, 20 Hz, 30 Hz, 40 Hz, and 50 Hz, respectively—with a constant amplitude of 3 mm. The performance of the optimized system was then compared to that of the pre-optimized system. As illustrative examples, Figure 20 and Figure 21 display the response curves for the z-axis acceleration of the seat under excitation signals with loading rates of 120 mm/s and 600 mm/s, respectively, before and after optimization.
Figure 20.
Comparison of z-axis acceleration response of seats with a loading rate of 120 mm/s before and after optimization.
Figure 21.
Comparison of z-axis acceleration response of seats with a loading rate of 600 mm/s before and after optimization.
As illustrated in the figures above, the z-direction acceleration response of the seat shows improvement under harmonic excitation at both a small loading rate of 120 mm/s and a large loading rate of 600 mm/s. A comparative analysis of the root mean square (RMS) values of acceleration before and after optimization for each loading rate is presented in Table 13.
Table 13.
Comparison of root mean square values of seat z-axis acceleration under different loading rates before and after optimization.
According to Table 13, it can be observed that the structural design and optimization of rubber-based SMA composite shock absorbers effectively control the z-direction acceleration response of seats across different loading rates. The root mean square (RMS) reduction in acceleration is more pronounced at lower loading rates. Specifically, at a low loading rate, the RMS value of seat z-axis acceleration decreases by 39.79%, whereas at a high loading rate, it decreases by 10.04%. This discrepancy arises because, for harmonic excitations with high loading rates, it is crucial to ensure a certain level of vibration attenuation speed to enhance comfort and allow the cab to achieve stability quickly. Consequently, the adjustment range for suspension stiffness and damping becomes limited, reducing the potential for optimizing the acceleration response.
5. Conclusions and Prospects
Listed below are this article’s main conclusions and innovations:
- This study examined the effect of structural parameters on the stiffness and damping characteristics of rubber-based SMA composite dampers. The results indicate that variations in the SMA metal module’s structural parameters have a more significant impact on the composite damper’s stiffness and damping than changes in the rubber damper’s structural parameters. Among these parameters, the thickness of the SMA metal module has the most substantial influence. Increasing this thickness leads to a proportional increase in both the stiffness and damping of the composite shock absorber, with the amplitude of vibration also growing as the thickness increases. Conversely, as the diameter of the SMA metal module increases, the stiffness and damping of the shock absorber decrease, with the rate of reduction diminishing as the diameter grows. The primary function of the inner and outer rubber components is to provide displacement stroke for cushioning vibrations, and their structural parameters have a relatively minor effect on the overall performance of the shock absorber. Nonetheless, increasing the thickness of the outer rubber components slightly enhances the stiffness and damping of the composite shock absorber. Similarly, increasing the width of the shock absorber, which is akin to adding more dampers in parallel, also increases stiffness and damping, while the force–displacement curve characteristics remain consistent.
- A six-degree-of-freedom vibration differential equation and an Adams multi-body dynamics model were developed for the rubber-based SMA suspension system in commercial vehicle cabins. The comparison of modal frequency numerical results with simulation outcomes showed an error margin of within 2%, confirming the model’s reliability. This study then investigated the dynamic response characteristics of the cab suspension system under harmonic excitation with varying loading rates and amplitudes. To enhance cab stability and comfort across different loading conditions, the optimization objective was set to minimize the root mean square value of the seat’s z-axis acceleration. The z-axis stiffness and damping parameters of the suspension were optimized accordingly. This optimization yielded the ideal stiffness and damping values for harmonic excitation at different loading rates.
- Leveraging the optimization outcomes, a structural parameter-matching design for rubber-based SMA composite dampers was executed using response surface methodology (RSM). After finalizing the parameter-matching and optimization design, a meticulous comparative analysis of the vibration reduction effects was undertaken, juxtaposing the pre- and post-optimization scenarios. This methodological approach yielded a substantial reduction in the root mean square value of seat z-direction acceleration across varying loading rates, thereby enhancing the overall ride comfort.
The details regarding future research avenues are as follows:
- Further investigation is needed on the performance changes of rubber-based SMA composite shock absorbers under different temperatures and chemical environments. A deep study should be conducted on the influence of different manufacturing processes and materials on the performance of composite shock absorbers to evaluate their durability and reliability under various practical working conditions.
- The application of this technology to other vehicle components, such as the chassis or engine mounts, should be explored to comprehensively improve the vehicle’s performance and comfort.
- The interaction mechanism between rubber and SMA materials at the micro-level should be explored to better understand the principle of enhancing damping performance.
- More advanced optimization algorithms or technologies should be developed to further improve the matching and design of structural parameters for composite shock absorbers.
- The possibility of combining other intelligent materials or technologies with rubber-based SMA composite shock absorbers to achieve better vibration reduction effects should be studied.
- The scalability of manufacturing processes for this shock absorber in the automotive industry should be studied to meet the potential demand.
Author Contributions
Conceptualization, Y.H. and Y.S.; methodology, Q.F.; software, Q.F.; validation, Q.F. and H.Z.; formal analysis, L.S.; investigation, H.Z.; resources, Y.H.; data curation, L.S.; writing—original draft preparation, Q.F.; writing—review and editing, Y.H.; visualization, H.Z.; supervision, L.S.; project administration, Y.S.; funding acquisition, Y.S. All authors have read and agreed to the published version of the manuscript.
Funding
This research was funded by Guangxi Science and Technology Major Program (grant number GuikeAA22068060-6), Guangxi Science and Technology Major Program (grant number GuikeAA23062040-4), and Modern Manufacturing Quality Engineering Hubei Provincial Key Laboratory Open Fund Project (KFJJ-2023013).
Institutional Review Board Statement
Not applicable.
Informed Consent Statement
Not applicable.
Data Availability Statement
Data available on request.
Conflicts of Interest
The authors declare no conflicts of interest.
References
- Liu, J.; Xu, Z.; Shao, Y.; Deng, C.; Song, X.; Jiang, G. An optimization design method for a body mounting system of a heavy vehicle. Proc. Inst. Mech. Eng. Part L J. Mater. Des. Appl. 2019, 233, 1352–1362. [Google Scholar] [CrossRef]
- Wang, D.-Y.; Zhao, X.-Z.; Shangguan, W.-B. Design method for a powertrain mounting system to decrease the vehicle key on/off vibrations. Proc. Inst. Mech. Eng. Part D J. Automob. Eng. 2018, 232, 1221–1236. [Google Scholar] [CrossRef]
- Xin, F.-L.; Bai, X.-X.; Qian, L.-J. Principle, modeling, and control of a magnetorheological elastomer dynamic vibration absorber for powertrain mount systems of automobiles. J. Intell. Mater. Syst. Struct. 2017, 28, 2239–2254. [Google Scholar] [CrossRef]
- Bulat, A.F.; Bulat, A.F.; Dyrda, V.I.; Dyrda, V.I.; Grebenyuk, S.M.; Grebenyuk, S.M.; Klymenko, M.I.; Klymenko, M.I. Numerical Simulation of Viscoelastic Deformation of Rubber Shock Absorbers Based on the Exponential Law. Strength Mater. 2022, 54, 776–784. [Google Scholar] [CrossRef]
- Forcellini, D.; Kelly, J.M. Analysis of the Large Deformation Stability of Elastomeric Bearings. J. Eng. Mech. 2014, 140, 04014036. [Google Scholar] [CrossRef]
- Van Engelen, N.C.; Konstantinidis, D.; Tait, M.J. Structural and nonstructural performance of a seismically isolated building using stable unbonded fiber-reinforced elastomeric isolators. Earthq. Eng. Struct. Dyn. 2016, 453, 421–439. [Google Scholar] [CrossRef]
- Kalfas, K.N.; Mitoulis, S.A.; Konstantinidis, D. Influence of Steel Reinforcement on the Performance of Elastomeric Bearings. J. Struct. Eng. 2020, 146, 04020195. [Google Scholar] [CrossRef]
- Warn, G.P.; Ryan, K.L. A Review of Seismic Isolation for Buildings: Historical Development and Research Needs. Buildings 2012, 2, 300–325. [Google Scholar] [CrossRef]
- Zhang, D.; Chu, J. Design and Research of Dynamic Stiffness Test System for Rubber Shock Absorber Based on LabVIEW. J. Physics Conf. Ser. 2019, 1302, 042015. [Google Scholar] [CrossRef]
- Duan, F.-W.; Tao, Y.; Ding, C.-B.; Yu, M.-F.; Sun, J.-C.; Wang, M.-L.; Liu, L. The study of properties of metal rubber damper used in thruster. IOP Conf. Ser. Mater. Sci. Eng. 2020, 715, 012078. [Google Scholar] [CrossRef]
- Janitha, K.M.M.; Subashi De Silva, G.H.M.J. Whole-body vibration exposure of roller compactor operators: Characteristics and effect of waste rubber in damping the vibration. Int. J. Occup. Saf. Ergon. JOSE 2019, 27, 1–10. [Google Scholar]
- Huang, Y.; Zhang, H.; Fan, Q.; Huang, Q.; Shao, L.; Zhan, X.; Wang, J. The Stiffness and Damping Characteristics of a Rubber-Based SMA Composite Shock Absorber with a Hyper-Elastic SMA-Constitutive Model Considering the Loading Rate. Materials 2024, 17, 4076. [Google Scholar] [CrossRef] [PubMed]
- Crăciun, R.C.; Stanciu, S.; Cimpoeșu, R.; Ursanu, A.I.; Manole, V.; Paraschiv, P.; Chicet, D.L. Metallic materials for mechanical damping capacity applications. IOP Conf. Ser. Mater. Sci. Eng. 2016, 147, 012031. [Google Scholar] [CrossRef]
- Ma, J.; Yu, L.; Yang, Q.; Liu, J.; Yang, L. High-Superelasticity NiTi Shape Memory Alloy by Directed Energy Deposition-Arc and Solution Heat Treatment. Acta Met. Sin. (Engl. Lett.) 2024, 37, 132–144. [Google Scholar] [CrossRef]
- Zhang, Y.; Wei, G.; Liu, T. Research on elasticity behavior of Ni-Ti shape memory alloys using the reproducing kernel particle method. J. Strain Anal. Eng. Des. 2024, 59, 291–302. [Google Scholar] [CrossRef]
- Zhang, Y.; Wei, D.; Chen, Y.; Xie, L.; Wang, L.; Zhang, L.-C.; Lu, W.; Chen, G. Non-negligible role of gradient porous structure in superelasticity deterioration and improvement of NiTi shape memory alloys. J. Mater. Sci. Technol. 2023, 186, 48–63. [Google Scholar] [CrossRef]
- Li, S.; Guo, A.; Li, H.; Mao, C. An analysis of pounding mitigation and stress waves in highway bridges with shape memory alloy pseudo-rubber shock-absorbing devices. Struct. Control. Health Monit. 2016, 23, 1237–1255. [Google Scholar] [CrossRef]
- Yan, X.J.; Nie, J.X. SMA Pseudo-Rubber Metal Damper for Random Vibration Control. Mater. Sci. Forum 2002, 394–395, 111–114. [Google Scholar] [CrossRef]
- Liu, G.; Wang, X.; Guo, Z.; Zhang, Y. Experimental study on shock isolation of metal rubber-disc spring composite shock absorber under different shock excitation. J. Phys. Conf. Ser. 2024, 2720, 012042. [Google Scholar] [CrossRef]
- Liu, M.; Xu, J.; Li, Q. Design and experiment of piezoelectric-shape memory alloy composite shock absorber. Mater. Lett. 2021, 304, 130538. [Google Scholar] [CrossRef]
- Fan, Y.; Ding, J.; Liao, K.; Huang, H.; Xiong, E. Experimental study on performance of Ti-Ni shape memory alloy composite suspension damping system. Constr. Build. Mater. 2022, 346, 128377. [Google Scholar] [CrossRef]
- Han, C.; Lee, T.-H.; An, J.-H.; Choi, S.-B. Design and Performance Evaluation of Washing Machine Damper Using Shape Memory Alloy. Trans. Korean Soc. Noise Vib. Eng. 2018, 28, 222–228. [Google Scholar] [CrossRef]
- Liu, H.; Wang, J.; Ou, J. Shaketable Test of Seismic Isolation Structure Based on Shape Memory Alloy Wire-Laminated Rubber Combined Bearings. Adv. Sci. Lett. 2011, 4, 3039–3045. [Google Scholar] [CrossRef]
- Acevedo Velazquez, I.A.; Keshtkar, N.; Mersch, J. Construction, modeling, and control of a three-beam prototype using interactive fiber rubber composites. PAMM 2023, 23, e202300198. [Google Scholar] [CrossRef]
- Zhang, T.; Zhang, B. On instabilities and thermal post-buckling of the electrically annular system coupled with shape-memory alloy fibers. Mech. Based Des. Struct. Mach. 2023, 51, 3155–3175. [Google Scholar] [CrossRef]
- Zhang, Y.; Chai, X.; Ju, X.; You, Y.; Zhang, S.; Zheng, L.; Moumni, Z.; Zhu, J.; Zhang, W. Concentration of transformation-induced plasticity in pseudoelastic NiTi shape memory alloys: Insight from austenite–martensite interface instability. Int. J. Plast. 2022, 160, 103481. [Google Scholar] [CrossRef]
- Rasid, Z.; Zahari, R.; Bin Ayob, A. The Instability Improvement of the Shape Memory Alloy Composite Plates Subjected to In-Plane Parabolic Temperature Distribution. Appl. Mech. Mater. 2014, 554, 32–36. [Google Scholar] [CrossRef]
- Ma, Y.; Zhang, Q.; Zhang, D.; Scarpa, F.; Liu, B.; Hong, J. A novel smart rotor support with shape memory alloy metal rubber for high temperatures and variable amplitude vibrations. Smart Mater. Struct. 2014, 23, 12506. [Google Scholar] [CrossRef]
- Javad, S.; Mojtaba, F.; Rohola, R. Numerical analysis of natural rubber bearing equipped with steel and shape memory alloys dampers. Structures 2021, 32, 1839–1855. [Google Scholar]
- Poormir, A.M.; Khalili, R.M.; Eslami, R. Optimal design of a bio-inspired self-healing metal matrix composite reinforced with NiTi shape memory alloy strips. J. Intell. Mater. Syst. Struct. 2018, 29, 3972–3982. [Google Scholar] [CrossRef]
- Gandhi, Y.; Pirondi, A.; Collini, L. Optimal Design of Shape Memory Alloy Composite under Deflection Constraint. Materials 2019, 12, 1733. [Google Scholar] [CrossRef] [PubMed]
- Elahinia, M.H.; Koo, J.-H.; Tan, H. Improving robustness of tuned vibration absorbers using shape memory alloys. Shock. Vib. 2005, 12, 349–361. [Google Scholar] [CrossRef]
- Inoue, Y.; Shibata, K. Design Method for Dynamic Vibration Absorbers Considering Excitation Frequency Range. J. Syst. Des. Dyn. 2010, 4, 495–507. [Google Scholar]
- Holanda, A.S.; Silva, A.A.; Araújo, D.J. Study of the Complex Stiffness of a Vibratory Mechanical System with Shape Memory Alloy Coil Spring Actuator. Shock. Vib. 2014, 2014, 162781. [Google Scholar] [CrossRef]
- Mahmood, D.B.; Laila, D.M.; Junita, E.A. Vibrational Characteristics of Shape Memory Alloy-Embedded 3D Woven Composite Plate. J. Vib. Eng. Technol. 2023, 12, 4443–4461. [Google Scholar]
- Shen, X.; Chen, Y.; Wang, J.; Li, J.; Chang, L.; Sun, Y. Design, Experiment and Verification of Resonant Frequency-Tunable Vibration Isolator Based on Annular Metal Rubbers and Shape Memory Alloy Actuators. J. Vib. Eng. Technol. 2019, 7, 277–289. [Google Scholar] [CrossRef]
- Xi, X.J.; Wang, L.X.; Liu, C. The Simulation and Optimization Design of Adams-Based Engine Suspension System. Appl. Mech. Mater. 2014, 3629, 529–534. [Google Scholar] [CrossRef]
- Yamamoto, T.; Suzuki, K. Active Vibration Control of Truck Cabins. IEEE Trans. Control. Syst. Technol. 2007, 15, 856–869. [Google Scholar]
Disclaimer/Publisher’s Note: The statements, opinions and data contained in all publications are solely those of the individual author(s) and contributor(s) and not of MDPI and/or the editor(s). MDPI and/or the editor(s) disclaim responsibility for any injury to people or property resulting from any ideas, methods, instructions or products referred to in the content. |
© 2024 by the authors. Licensee MDPI, Basel, Switzerland. This article is an open access article distributed under the terms and conditions of the Creative Commons Attribution (CC BY) license (https://creativecommons.org/licenses/by/4.0/).




















