Abstract
Although interdisciplinary research has garnered extensive attention in academia, its core knowledge structure has yet to be systematically explored. To address this gap, this study aims to uncover the underlying core knowledge topics within interdisciplinary research, enabling researchers to gain a deeper understanding of the knowledge framework, improve research efficiency, and offer insights for future inquiries. Based on the Web of Science (WoS) database, this study collected 153 highly cited papers and employed the LDA topic model to identify latent topics and extract the knowledge structure within interdisciplinary research. The findings indicate that the core knowledge topics of interdisciplinary research can be categorized into four major areas: the knowledge framework and social impact of interdisciplinary research, multidisciplinary approaches in cancer treatment and patient care, Covid-19 multidisciplinary care and rehabilitation, and multidisciplinary AI and optimization in industrial applications. Moreover, the study reveals that AI-related interdisciplinary research topics are rapidly emerging. Through an in-depth analysis of these topics, the study discusses potential future directions for interdisciplinary research, including the cultivation and development of interdisciplinary talent, evaluation systems and policy support for interdisciplinary research, international cooperation and interdisciplinary globalization, and AI and interdisciplinary research optimization. This study not only uncovers the core knowledge structure of interdisciplinary research but also demonstrates the effectiveness of the LDA topic model as a data mining tool for revealing key topics and trends, providing practical tools for future research. However, this study has two main limitations: the time lag of highly cited papers and the dynamic evolution of interdisciplinary research. Future research should address these limitations to further enhance the understanding of interdisciplinary research.
1. Introduction
With the continuous expansion and refinement of human scientific knowledge, interdisciplinary research has become a focal point of increasing attention for governments and the academic community worldwide. By breaking down traditional disciplinary boundaries, the exploration of unknown fields is gradually becoming the new norm in scientific research [1]. For instance, the 2014 Nobel Prize in Chemistry, awarded for “super-resolved fluorescence microscopy”, is a prime example of the successful integration of chemistry, physics, and biology [2]. In 2015, Nature published a series of special articles discussing the challenges and opportunities of interdisciplinary research, highlighting the growing emphasis on interdisciplinary studies within the academic community. By 2020, China’s National Natural Science Foundation had established a dedicated Division of Interdisciplinary Sciences to further promote the integration and exchange of knowledge across disciplines. The book Advanced Technologies, Systems, and Applications VIII: Proceedings of the International Symposium on Innovative and Interdisciplinary Applications of Advanced Technologies (2023) showcased the latest developments in applied mathematics, artificial intelligence, and statistics, further reflecting the dynamic and sustained nature of interdisciplinary approaches [3].
Interdisciplinary research, through the exchange and integration of knowledge across different fields, has demonstrated its unique value and potential in addressing many intractable real-world problems. However, there remains considerable debate regarding the understanding and practice of interdisciplinary research, with certain domains yet to achieve substantive breakthroughs in overcoming disciplinary boundaries. At the same time, some voices in academia remain skeptical, viewing interdisciplinary research as merely a passing trend [4]. In his book In Defense of Disciplines: Interdisciplinarity and Specialization in the Research University, Jacobs J [5] argues against interdisciplinary research, asserting that disciplinary specialization remains key to scientific discovery. This book has become a cornerstone in recent years for those opposing interdisciplinary studies.
Faced with these contrasting perspectives, the academic community has increasingly focused on the issue of interdisciplinarity in scientific research and innovation while actively exploring the current state of research and its impact. Although some studies have provided reviews and insights into interdisciplinary research [6,7], few have delved deeply into its core knowledge. While original research is central to knowledge creation, reviewing and organizing the literature and knowledge structure of a field are equally crucial. This study aims to explore the core knowledge of interdisciplinary research by identifying high-value articles. To achieve this goal, we address the following research questions:
RQ1: What are the highly cited (high-value) articles in interdisciplinary research?
RQ2: What are the core knowledge topics in interdisciplinary research?
This study systematically reviews highly cited literature from the Web of Science database to map the knowledge landscape of interdisciplinary research, summarize its current state, and integrate existing knowledge. By extracting titles, keywords, and abstracts, and applying latent topic identification and visualization analysis, this study seeks to provide deeper insights into the core issues of interdisciplinary research.
2. Related Works
The concept of “interdisciplinarity” originated in 1926, when it was first introduced by American psychologist R.S. Woodworth from Columbia University. Over time, interdisciplinary research has become a significant hallmark of progress in both scientific research and education [8]. Interdisciplinary research emphasizes the integration, intersection, and collaboration among different disciplines, aiming to explore and solve complex problems by synthesizing knowledge and methods from multiple fields [9]. The academic community offers diverse definitions of interdisciplinary research, ranging from simpler multidisciplinary research to more profound crossdisciplinary and transdisciplinary studies, reflecting varying degrees and depths of disciplinary integration [10]. Although scholars attempt to differentiate these terms, in practice, their specific application is often not strictly delineated but rather flexibly adopted based on research objectives and needs [11].
One of the key values of interdisciplinary research lies in fostering the integration of research methods and expertise across different disciplines. This new comprehensive research perspective helps drive innovation and breakthroughs within specific fields. For instance, multidisciplinary design optimization, a new field within interdisciplinary research, has attracted numerous scholars to develop and apply various methods to address related challenges since its inception. Martins and Lambe [12] provided a comprehensive and intuitive introduction to multidisciplinary design optimization for non-experts, while offering detailed references on the current architecture of multidisciplinary design optimization for professionals. Furthermore, Bibri and Krogstie [13] reviewed existing sustainable urban models and smart city approaches, evaluating their strengths and weaknesses, and proposed an interdisciplinary approach from an applied theory perspective, offering solutions for future practices in intelligent sustainable urban planning and development.
Interdisciplinary research has also facilitated collaboration with leading institutions such as Oxford, Cambridge, and MIT, expanding access to diverse research resources and exchange platforms. Experts from different fields work together to form large, integrated research teams, which not only stimulate academic enthusiasm but also broaden research perspectives. For instance, comprehensive research in soil science requires collaboration among biologists, chemists, geologists, and physicists, and in recent years, anthropologists, economists, engineers, medical experts, and sociologists have also joined these efforts [14]. Studies have shown that large interdisciplinary teams are more effective in advancing science and technology [15].
However, despite the clear advantages of interdisciplinary research, it also faces significant challenges. On the one hand, traditional disciplinary perspectives are deeply entrenched, and some scholars remain skeptical of interdisciplinary research, even suggesting that it is a pursuit for those who have not succeeded in their own fields [4]. Additionally, there are internal challenges within interdisciplinary research. Some studies have indicated that single-discipline journals tend to exhibit higher impact [16], and securing funding for multidisciplinary projects may face lower financial support [17]. Thus, while interdisciplinary research has generally been accepted by the academic community, negative attitudes highlight unresolved issues in its development. The blending and heterogeneity of disciplinary knowledge also mean that modes of interdisciplinary collaboration vary, underscoring the importance of systematically reviewing knowledge in interdisciplinary fields.
With the rapid development of artificial intelligence, traditional analysis methods based on external features, such as keyword network analysis, are increasingly insufficient for handling high-dimensional data and addressing complex problems. As a result, researchers have begun turning to emerging methods such as natural language processing (NLP) to conduct more nuanced analyses of scientific literature. These new methods are better equipped to handle the challenges posed by high-dimensional data and complexity, advancing the deep analysis and understanding of scientific documents and providing comprehensive support for scientific research. Specifically, topic modeling techniques, such as latent Dirichlet allocation (LDA) [18], can effectively extract thematic structures and knowledge networks from complex literature, offering researchers tools to analyze trends and dynamics in interdisciplinary research. These methods not only reveal the hidden knowledge structures within the literature but also help researchers understand the flow and integration of knowledge between disciplines, thereby promoting deeper collaboration across fields. For example, Jacobi et al. [19] used the LDA model to quickly analyze trends and patterns in large digital news archives. Saura et al. [20] employed the LDA model to extract insights related to user privacy in big data, discussing the role of user privacy in digital markets and proposing future research questions on privacy issues. Liu and Chen [21], taking the interdisciplinary field of artificial intelligence as a case, used the LDA model to analyze the thematic evolution and interdisciplinary nature of the field, identifying future directions and trends in AI. These studies demonstrate the feasibility of using topic modeling techniques to extract and observe research trends.
Although literature analysis methods within single disciplines are well-established, systematic analysis and visualization of highly cited interdisciplinary research papers remain relatively rare. This study integrates advanced text mining and data visualization techniques, selecting highly cited interdisciplinary papers from the Web of Science as the primary research focus. By employing the LDA topic model, this research systematically organizes and analyzes the thematic structure of interdisciplinary literature, aiming to comprehensively explore the core topics and future trends of highly cited interdisciplinary papers. This study not only addresses a gap in the existing research but also offers new perspectives for understanding interdisciplinary research, fostering exchange and collaboration across different fields.
3. Methods
3.1. Research Approach
This study utilizes highly cited papers from the Web of Science (WOS) Core Collection as the data source and employs the LDA topic model to analyze the core knowledge structure of interdisciplinary research. The specific research steps are as follows:
First, literature retrieval: Highly cited interdisciplinary research papers were retrieved from the WOS database.
Second, data preparation: Titles, keywords, and abstracts were extracted from the papers as the corpus data, followed by a cleaning process to ensure accuracy and consistency in the analysis.
Third, topic identification: The number of topics was determined by evaluating the perplexity of the topics, followed by a horizontal analysis of the initial results identified by the LDA.
Fourth, topic content analysis: Based on the topic identification results and the topic–document distribution data, a granular-level analysis of the topic content was conducted.
Fifth, discussion, conclusion and future research directions: In-depth discussions were conducted based on the analysis results, and future research directions were proposed.
3.2. LDA Topic Model
LDA [22] is a classic probabilistic topic modeling approach commonly used in text mining to identify hidden thematic information in large-scale, unstructured text collections or corpora. The LDA model consists of a three-layer structure: feature words, topics, and documents. The model assumes that all documents in a corpus are composed of a set of latent topics, and each topic is associated with a weight indicating its relevance to a given document, forming a document–topic distribution. The higher the weight, the stronger the association between the topic and the document. Each topic, in turn, consists of a set of interrelated feature words, with each feature word having a certain probability of being selected for a specific topic, forming a topic–word distribution. The higher the probability, the stronger the association between the feature word and the topic, thus providing more semantic information to explain the meaning of the topic.
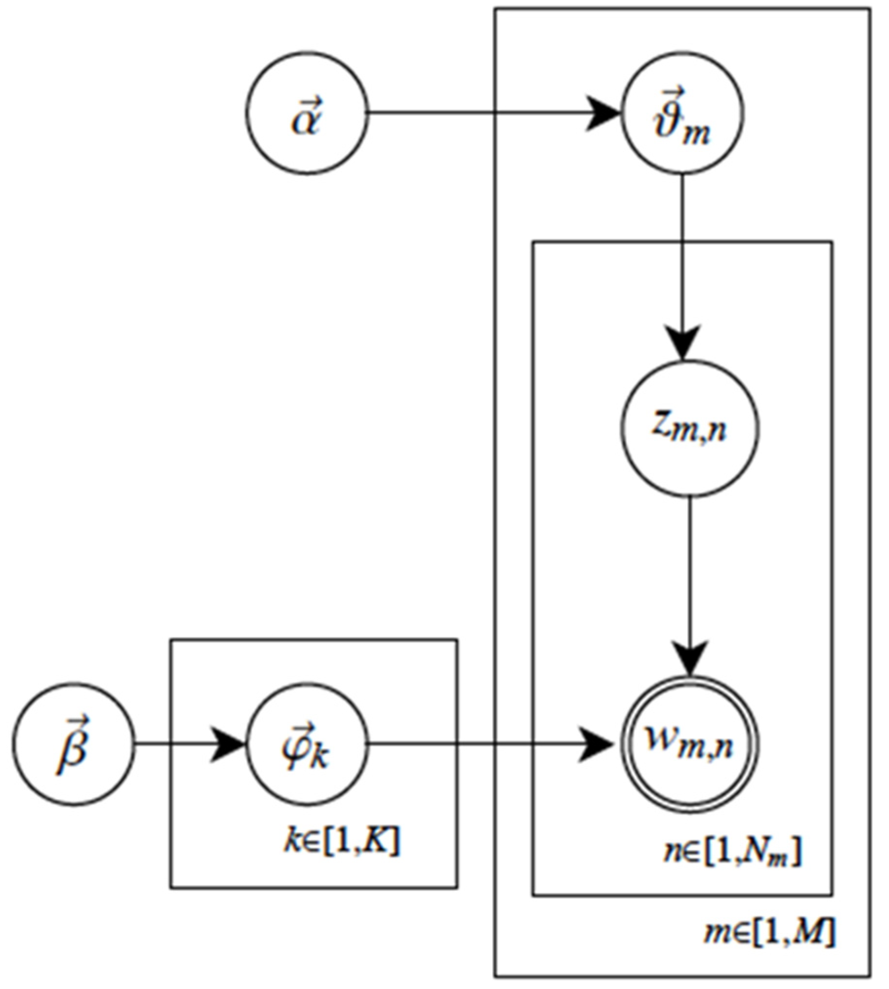
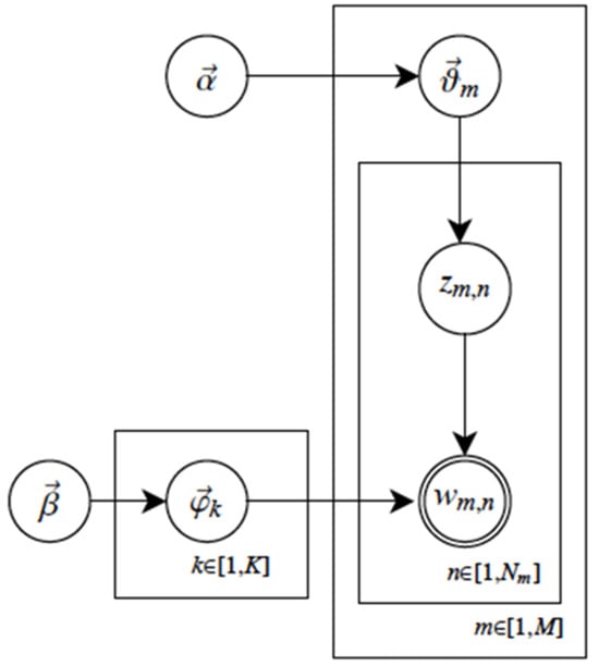
In the LDA model, the generation process of a document’s “document-word” structure is depicted in Figure 1. First, the topic distribution of the document is selected from a Dirichlet distribution with hyperparameter α, meaning that the topic distribution is generated from a Dirichlet distribution parameterized by α. Next, a topic for the -th word in the document is sampled from . Then, a multinomial word distribution corresponding to the topic is sampled from a Dirichlet distribution with parameter , Finally, the word is sampled from This process is repeated n times to generate the “document-term” structure for a document.
Figure 1.
The generation process of “document-word” for a document in LDA model.
3.3. Perplexity
In the process of constructing the LDA model, the setting of the number of topics is crucial. Numerous practical studies have shown that the clustering effectiveness of the LDA model is directly related to the latent number of topics K, and thus selecting an appropriate number of topics directly influences the quality of document clustering. For this purpose, this paper adopts perplexity, a widely recognized metric, to determine the optimal number of topics. Perplexity is one of the mainstream methods for evaluating the performance of topic models, and its calculation formula is shown in the following equation [23]:
where D represents the test set, is the number of documents, is the set of words in document , is the total number of words in document , and represents the log-likelihood of all the words in document . Generally, in the absence of overfitting, the lower the perplexity, the better the number of topics, and the more effective the topic clustering. As the number of topics increases, perplexity typically decreases. However, when overfitting occurs, perplexity may suddenly rise. Therefore, it is essential to identify the critical point between proper fitting and overfitting, i.e., the point at which perplexity increases sharply after initially decreasing, which can serve as a reference for the optimal number of topics. In this study, we calculated perplexity values for topic numbers ranging from 1 to 16 and plotted a line chart to observe the changes, thereby identifying the critical point and ultimately selecting the optimal number of topics. This method provides a scientific basis for the effectiveness of topic modeling.
4. Data Processing and Topic Extraction
4.1. Data Collection and Processing
This study uses the Web of Science Core Collection as the primary data source. Advanced search was employed using the search query: TS = (“interdisciplinary Research” OR “multidisciplinary Research” OR “crossdisciplinary Research” OR “transdisciplinary Research” OR “pluridisciplinarity Research” OR “transdisciplinarity Research” OR “inter-disciplin* Research” OR “cross-disciplin* Research” OR “multi-disciplin* Research “ OR “trans-disciplin* Research”). To ensure that the selected papers reflect current research trends and have significant academic influence, we selected highly cited papers based on the Essential Science Indicators (ESI) provided by the Web of Science (WOS) database. These highly cited papers are identified based on citation counts within specific fields and are updated periodically, considering the citation distribution across various disciplines and publication years.
In particular, ESI defines highly cited papers as those that rank in the top 1% of citations for their respective fields and publication years. This selection process takes into account differences in citation practices across disciplines and over time, ensuring a fair comparison between older and newer papers. The threshold for highly cited papers is determined by percentile rankings within a specific 10-year citation period. Only research articles, reviews, conference proceedings, and technical notes from journals indexed in the WOS Core Collection are considered for inclusion, while letters, editorials, and corrections are excluded. As highly cited papers often represent the frontier of knowledge and future trends, they provide a valuable basis for analyzing interdisciplinary research. Ultimately, 153 valid papers were selected for analysis based on these criteria.
The downloaded papers were categorized by year, creating annual document information files, which were then converted to CSV format for subsequent processing. The document information included the extraction of titles, keywords, and abstracts, forming the corpus for the LDA model. To ensure the accuracy of the LDA topic model, we used the STOP_WORDS function from Python’s Spacy library() to remove stop words and utilized the TextBlob package for lemmatization, converting plural forms to singular and changing all letters to lowercase (Python version 3.10.10; SpaCy version: 3.7.2; TextBlob version: 0.18.0). This process generated the document–term matrix, providing the data foundation for further analysis.
4.2. Determining the Optimal Number of Topics
After data preprocessing, this paper uses the instantiated LDA topic model from the Gensim library to classify the preprocessed text, selecting integers within the range [1,16] as candidate topic numbers. By invoking the perplexity method from the LDA model class, the perplexity values for different models were obtained, as shown in Figure 1. Figure 1 illustrates the uncertainty of the document with respect to various potential topics; a lower perplexity indicates a higher probability that the document belongs to a specific topic, meaning the clustering performance of the model is better. Typically, perplexity decreases as the number of potential topics increases, and a lower perplexity suggests stronger generative capability of the model [24]. The line chart in Figure 2 shows that as the number of topics increases, the perplexity initially decreases and then rises, reaching its minimum when the number of topics is 4.
Figure 2.
Number of topics–confusion degree line graph.
Although perplexity is a key measure of model performance, we also considered the balance between the model’s interpretability and complexity when selecting the optimal number of topics. Choosing too few topics (e.g., fewer than four) may merge distinct topics, leading to a loss of nuanced distinctions within the text, while selecting too many topics (e.g., more than four) could increase the model’s complexity, resulting in overlapping topics that are difficult to interpret. By choosing four topics, we achieved a balance where the perplexity is minimized, and the topics are both distinct and interpretable. Therefore, four topics were chosen as the optimal parameter for training the LDA model in this study, as it provided the best balance between model complexity and interpretability while maintaining strong clustering performance.
4.3. Document–Topic Distribution
After determining that four topics provide the best balance between model complexity and interpretability, we analyzed the distribution of documents across these topics. Each paper was assigned to the topic category with the highest probability, resulting in a clear division of the core knowledge areas. As shown in Figure 3, Topic 1 forms the largest cluster, containing 64 papers (41.83%), followed by Topic 2 with 60 papers. In contrast, Topic 4 is the smallest cluster, comprising only 13 papers, representing 8.5% of the research literature in interdisciplinary studies.
Figure 3.
Document–Topic distribution map.
The variation in document distribution suggests that certain topics, such as Topics 1 and 2, align more closely with the current priorities in interdisciplinary research. Conversely, the smaller cluster size of Topic 4 may indicate an emerging or niche area that warrants further exploration. These distribution patterns lay the foundation for a more detailed analysis of the content and focus of each topic.
4.4. Identification Results
Through LDA topic modeling, four topics were identified in the interdisciplinary research, along with the word distribution for each topic. The top 10 high-probability feature words for each topic were organized, and based on these high-probability words, scenario descriptions were formulated to summarize and identify the most representative words for each topic. For instance, in Topic 1, high-frequency feature words such as “research”, “interdisciplinary”, “approach”, “social”, “knowledge”, “transdisciplinary”, “development”, “future”, “impact”, and “framework” (as shown in Table 1) collectively depict a broad picture of interdisciplinary research. These words suggest that interdisciplinary approaches focus on integrating knowledge and frameworks from various disciplines to address complex social and technological issues. This approach not only encompasses innovation in academic research but also emphasizes the practical social applications of knowledge, particularly in driving future development and sustainability. Therefore, based on these high-probability feature words, we named Topic 1 “Knowledge Framework and Social Impact of Interdisciplinary Research” to highlight the core role of interdisciplinary research in tackling complex social problems and its contribution to future development. Following this method, the research topics in the interdisciplinary field were ultimately categorized into four main topics (as summarized in Table 1).
Table 1.
Topic–Word Distribution.
5. Results
Table 1 lists the top 10 high-probability feature words for each topic, providing a foundation for understanding and analyzing the identified topics. Furthermore, based on the document–topic distribution map (Figure 3), we selected representative documents to conduct a more in-depth analysis of the content and focus of each topic. The following sections present a detailed analysis of these topics.
5.1. Knowledge Framework and Social Impact of Interdisciplinary Research
As interdisciplinary techniques become more deeply embedded in academic research, the integration of knowledge from different disciplines, effective application methods, and their social impact have become major focal points in the academic community. The core keywords in Topic 1, such as “research”, “interdisciplinary”, “approach”, “social”, “knowledge”, “transdisciplinary”, “development”, “future”, “impact”, and “framework”, reveal the important role of interdisciplinary research in knowledge production, academic study, and social application. With the accelerating pace of globalization and societal development, the complexity and interdisciplinarity of research have significantly increased. Traditional single-discipline approaches are no longer adequate to meet the multidimensional challenges in social, environmental, and economic domains, leading more researchers to adopt interdisciplinary and multidisciplinary methods to foster innovation and knowledge integration.
5.1.1. Interdisciplinary Research Method and Framework
The core of interdisciplinary research lies in incorporating knowledge, methods, and techniques from different fields into a unified research framework, creating new research perspectives. This approach not only applies to academic research but also to solving practical problems. Keywords like “approach” and “framework” highlight how knowledge systems from various disciplines can be integrated to address complex issues. In recent years, co-citation analysis has become an important bibliometric method, helping to identify key interdisciplinary literature [25,26]. Acar et al. [27] classified the constraints and mediating mechanisms for creativity and innovation, with their literature review laying the foundation for theoretical development in interdisciplinary learning and application. Given its proximity to practical and real-world problems, interdisciplinary research is often viewed as a mode of knowledge production that effectively addresses challenges in sustainable development. Mauser et al. [28] analyzed the relationship between scientific integration and interdisciplinarity, discussing different dimensions of knowledge integration and proposing a platform and paradigm for global sustainable development research through scientific and societal collaboration. In health research, framework analysis is becoming increasingly popular for managing and analyzing qualitative data. Gale et al. [29] discussed the contexts for using framework analysis and explained the procedures for applying it within multidisciplinary health research teams, contributing to the outcomes of qualitative studies. Polk [30] introduced and tested a transdisciplinary (td) co-production framework, exploring its advantages and disadvantages and providing guidance on how to implement interdisciplinary methodologies. Popa et al. [31] adopted pragmatic reflexivity methods and combined joint experimentation with social learning to identify and solve problems; this approach benefits both the sustainability and normativity of academic research.
5.1.2. Impact of Interdisciplinary Research
The keyword “impact “ emphasizes the impact of interdisciplinary research. Brandt et al. [32] showed that peer-reviewed articles utilizing interdisciplinary methods can enhance practitioner engagement and promote the sustainable transformation of disciplines. Yegros-Yegros et al. [33] demonstrated that research spanning multiple fields positively contributes to knowledge creation, while interdisciplinary research within closely related fields is more likely to be favored. Huang et al. [34] analyzed a dataset of articles published in eight journals from 2009 to 2018, comparing the influence of different similarity measurement methods on interdisciplinary metrics. Although interdisciplinary research plays an irreplaceable role as an innovative tool for literature analysis across fields, it simultaneously faces cognitive and collaborative challenges, as well as obstacles in peer review. Its advantages (increased citations) coexist with its disadvantages (fewer publications), indicating that interdisciplinary research is a high-risk, high-reward endeavor, with outcomes depending on the level of interdisciplinarity in the field [35]. Bromham, Dinnage and Hua [17] noted from a funding perspective that interdisciplinary collaborations may negatively affect project grant applications.
5.1.3. Interdisciplinary Academic Research
The keyword “research” indicates that academic research is a key area of interdisciplinary application. Harzing and Alakangas [36] conducted a systematic and comprehensive comparison of Google Scholar, Scopus, and Web of Science through bibliometric analysis and visualization techniques, confirming the effectiveness of these databases in terms of coverage and stability, thereby providing a foundation for deeper interdisciplinary comparisons. Martin-Martin et al. [37] adopted a multidisciplinary comparison method to analyze the citation coverage of Google Scholar, Microsoft Academic, Scopus, Dimensions, Web of Science, and Open Citations, helping interdisciplinary researchers quickly and accurately locate high-quality, highly cited papers, thus improving the efficiency and accuracy of academic research. As an emerging field of interdisciplinary research, Tao et al. [38] conducted a systematic review of literature on environmental finance published since the 1970s, combining interdisciplinary and bibliometric analyses to reveal research trends in this field. Marrone and Linnenluecke [39] used map visualization techniques to display common and differing topics across publications from different disciplines, promoting innovation in cross-field knowledge and exchange between disciplines. These comprehensive reviews of interdisciplinary research aim to address complex societal issues while exploring future opportunities and challenges in emerging fields [40,41].
5.1.4. Interdisciplinary Social Application
Furthermore, the keyword “social” indicates that one of academia’s major concerns is the social application of interdisciplinary research. Addressing humanity’s challenges and problems requires a sophisticated combination of scientific and non-scientific knowledge and understanding of both Earth systems and human society [6]. Interdisciplinary research provides an effective avenue for this. In the biotechnology field, the integration of multidisciplinary systems and computational elements in data flows and processes aids in understanding the architectures and inherent connections within engineering design literature, applying numerical optimization techniques to the design of engineering systems across multiple disciplines or components, and advancing multidisciplinary design optimization research [12]. The use of interdisciplinary techniques in soil science can provide more comprehensive and enriched research methods, which have been reinforced in recent years due to the need for a deeper understanding of a series of global challenges related to soil [14]. Interdisciplinary analysis of global agriculture and nutrient production structures and their diversity helps design targeted interventions essential for promoting healthy diets and ecosystems [42]. Shen [43] suggested that research on interdisciplinarity and its challenges in promoting progress in water science, especially through deep learning (DL), offers a simple technical overview and interdisciplinary insights for water resource scientists. Song et al. [44] explored whether interdisciplinary methods could balance energy and additional profits to achieve full valorization of biomass, summarizing the challenges and prospects for advancing hydrothermal and biorefining technologies to fully utilize biomass. Shen et al. [45] investigated how interdisciplinary technological advancements have driven the development of holographic technology, accelerating the pace of plant breeding to address global food shortages. These studies indicate that interdisciplinary techniques not only promote academic innovation but also demonstrate substantial potential in solving societal problems.
5.2. Multidisciplinary Approaches in Cancer Treatment and Patient Care
With the continuous dissemination of interdisciplinary knowledge, the healthcare field increasingly relies on interdisciplinary techniques to enhance the comprehensiveness of medicine. The core keywords of Topic 2 include “treatment”, “cancer”, “patient”, “multidisciplinary”, “clinical”, “consensus”, “evidence”, “quality”, “recommendation”, and “guideline”. These keywords indicate that Topic 2 focuses on healthcare management and the evaluation of clinical treatment outcomes, including details of patient care, long-term health follow-up studies, disease diagnosis and prevention strategies, and the monitoring of treatment quality.
5.2.1. Interdisciplinary Research on Cancer Treatment
Interdisciplinary research in disease treatment has long been a key area of focus in academia. Keywords such as “treatment” and “multidisciplinary” highlight the critical role of multidisciplinary teams in cancer treatment. The multidisciplinary team model is regarded as the gold standard for cancer treatment and diagnosis [46], as it provides better clinical outcomes for cancer patients [47].For example, despite colorectal cancer being common in Europe, significant differences remain in cancer management and treatment outcomes across countries. To address this, interdisciplinary expert groups from different countries formed the EURECCA team to reach a consensus on key diagnostic and treatment issues for colorectal cancer and to develop core treatment guidelines [48,49]. Additionally, for skin cancers, interdisciplinary expert groups from the European Dermatology Forum (EDF), the European Academy of Dermatology and Venereology (EADO), and the European Organization for Research and Treatment of Cancer (EORTC) have formed collaborative organizations and held multiple meetings to propose recommendations for the diagnosis and treatment of melanoma [50,51,52], basal cell carcinoma [53] and squamous cell carcinoma [54], demonstrating the indispensable role of interdisciplinary teams in cancer diagnosis.
Interdisciplinary research has significant reference value in cancer risk assessment, clinical diagnosis, and treatment strategies. By integrating the expertise of multidisciplinary specialists and a wide range of literature resources, interdisciplinary research provides a more comprehensive and accurate perspective for cancer diagnosis, contributing to the comprehensiveness and precision of cancer diagnostics. In clinical diagnosis, interdisciplinary research integrates information from medical imaging, pathology, biomarkers, and other sources, improving diagnostic accuracy. Kim et al. [55] conducted a systematic review and investigation of gastric cancer diagnosis and screening in Korea, ultimately producing a multidisciplinary evidence-based guideline for gastric cancer. Travis et al. [56] engaged in a comprehensive interdisciplinary discussion to reach a consensus on the management and assessment of surgically resected lung cancer specimens following neoadjuvant therapy, thereby enhancing the comprehensiveness and accuracy of cancer diagnosis and treatment. The American multidisciplinary expert team MERKEL discussed experimental approaches to Merkel cell carcinoma (MCC) treatment, reaching comprehensive conclusions and consensus through the synthesis of multidisciplinary opinions [57].
5.2.2. Interdisciplinary Research in Clinical Healthcare
The keywords “patient” and “clinical” point to the important role of interdisciplinary research in clinical patient care. Interdisciplinary research plays a significant role in patient clinical diagnosis [58], post-treatment health tracking, and quality monitoring of treatment outcomes [59]. Some scholars have established expert groups or conducted interdisciplinary data analyses to examine the clinical treatment and subsequent impact of cancers such as bladder cancer [60], hepatocellular carcinoma [61], and pancreatic cancer [61], providing relevant recommendations for clinical cancer care. Additionally, complications in the field of public health are also a key application area for interdisciplinary research. Public health issues are global challenges that often require the establishment of international interdisciplinary teams to ensure consensus in research. For example, Kamper et al. [62] conducted interdisciplinary data analysis on the effects and intervention indicators for lower back pain (LBP), offering treatment recommendations. De Ridder et al. [63] formed an interdisciplinary expert group to ensure the appropriateness of each field, helping the medical field refine the definition of tinnitus and introducing the term “tinnitus disorder” to aid in the subdivision of concepts within the healthcare field.
5.2.3. Interdisciplinary Research on Health Prevention and Assessment
The keywords “guideline” and “consensus” are particularly prominent in interdisciplinary research on health prevention and assessment. Interdisciplinary research in health prevention and assessment primarily focuses on the healthcare of vulnerable groups, including children, the elderly, and women who require special attention. Interdisciplinary research helps researchers more comprehensively understand the health status of these populations, integrating assessment indicators from various disciplines [64]. For example, some scholars have formed interdisciplinary expert groups to address the issue of delayed language development in children, and through multiple rounds of evaluation, they proposed standardized definitions and nomenclature, effectively promoting the health assessment of children’s language development [65,66]. In the healthcare field, compared to non-multidisciplinary approaches, the use of standardized multidisciplinary treatment methods for patients with morbidly adherent placenta has been shown to reduce maternal morbidity. The specific multidisciplinary team’s standardized approach is based on more case studies and is predictive and guiding in improving postpartum maternal outcomes [67]. In the elderly population, research on diseases such as Alzheimer’s is increasing. Many scholars have formed interdisciplinary expert groups to discuss key steps in preventive dementia care for the elderly [68], delaying cognitive decline caused by sleep disorders [69], and Alzheimer’s disease prevention systems in nursing homes [70]. The term “consensus” also reflects the role of interdisciplinary expert groups in forming professional medical consensus. For example, Sudore et al. [71] gathered 52 multidisciplinary experts from different countries to develop a consensus definition for adult advance care planning (ACP), which can be used to inform the implementation and measurement of ACP in clinical, research, and policy initiatives.
5.3. Covid-19: Multidisciplinary Care and Rehabilitation
The covid-19 pandemic has profoundly impacted global healthcare systems and had significant effects on public health, socioeconomics, and mental health worldwide. The core keywords of Topic 3, including ‘covid’, ‘covid-19’, ‘infection’, ‘health’, ‘symptom’, ‘mental health’, ‘rehabilitation’, ‘respiratory’, and ‘clinic’, highlight the importance of multidisciplinary collaboration in addressing covid-19, especially in patient care, infection control, and rehabilitation interventions. Existing research indicates that public health interventions from a single field are insufficient to address the challenges posed by the pandemic, making interdisciplinary collaboration essential [72].
5.3.1. Patient Care and Infection Control
The keywords “covid”, “health”, and “infection” emphasize the high transmissibility and complex clinical manifestations of covid-19, which have posed significant challenges to healthcare systems globally, particularly in patient care and infection control. The study by Chams et al. [73] provides a multidisciplinary review of covid-19, covering everything from basic care to advanced protective measures. Curigliano et al. [74] further explored how multidisciplinary team collaboration, involving fields such as oncology, respiratory medicine, and infectious diseases, can optimize the treatment and care of cancer patients during the pandemic. For high-risk populations, especially pregnant women, the research by Narang et al. [75] demonstrated the critical importance of collaboration between obstetrics, pediatrics, and infectious disease specialists in ensuring safety during pregnancy and childbirth. These studies underscore that interdisciplinary cooperation can effectively improve the quality of patient care and reduce the risk of hospital-acquired infections.
5.3.2. Long-Term Effects and Rehabilitation
The keywords “rehabilitation”, “symptom”, and “mental health” highlight the long-term effects of covid-19 on survivors, many of whom face “long covid” symptoms such as respiratory issues, fatigue, cognitive impairments, and mental health problems. Puchner et al. [76] conducted a multidisciplinary study on the rehabilitation of covid-19 survivors, demonstrating the significant role of interdisciplinary teams in helping patients recover respiratory function and improve physical fitness. In addition to physical rehabilitation, the mental health impacts of covid-19 on survivors are equally critical. Numerous studies have found that anxiety, depression, and cognitive impairments are prevalent among survivors, significantly affecting their daily lives and vocational rehabilitation. Vanichkachorn et al. [77] specifically examined how multidisciplinary rehabilitation programs can help alleviate mental health issues in “long covid” patients, particularly in managing prolonged fatigue and emotional disorders. To effectively address these challenges, psychological interventions and interdisciplinary collaboration are essential. Multidisciplinary rehabilitation programs must not only focus on physical recovery but also integrate expertise from psychology, neuroscience, and other fields to tackle the multidimensional health challenges posed by the pandemic. Future rehabilitation strategies should prioritize personalization, interdisciplinary collaboration, and ongoing exploration of the mechanisms and effective interventions for long-term symptoms [78].
5.4. Multidisciplinary AI and Optimization in Industrial Applications
With the rapid development of artificial intelligence (AI) and Industry 4.0 technologies, optimization design and intelligent manufacturing have become key research directions in the industrial sector. The keywords in Topic 4, such as ‘design’, ‘optimization’, ‘AI’, ‘machine learning’, ‘application’, ‘industry’, ‘multidisciplinary’, ‘architecture’, ‘manufacturing’, and ‘big data’, demonstrate how researchers are exploring multidisciplinary collaboration in Industry 4.0 and the diverse application scenarios of AI through an interdisciplinary lens.
5.4.1. Industry 4.0 and Multidisciplinary Collaboration
As Industry 4.0 continues to grow, the increasing complexity of industrial design and intelligent manufacturing highlights the critical role of multidisciplinary collaboration in addressing these challenges. Keywords such as ‘machine learning’, ‘application’, ‘industry’, ‘multidisciplinary’, ‘manufacturing’, and ‘big data’ emphasize the importance of interdisciplinary cooperation in this context. Industry 4.0 encompasses technologies such as automation, big data analytics, the Internet of Things (IoT), and intelligent manufacturing, all requiring the integration and collaboration of multiple disciplines. Ivanov et al. [79] pointed out that the future development of operations management is heavily influenced by interdisciplinary collaboration, and interdisciplinary research can help managers better address complex issues in manufacturing and logistics, improving efficiency and flexibility. Koopman and Wagner [80] emphasized that ensuring the safety of fully autonomous vehicles relies not only on the reliability of hardware and software but also on the collaborative efforts of mechanical engineering, AI, systems control, and human–vehicle interaction. The intersection of these fields drives improvements in technological safety, production efficiency, and innovation in Industry 4.0. Furthermore, the systematic review by Hancock and Khoshgoftaar [81] demonstrated how big data analytics has been widely applied in industrial settings through multidisciplinary collaboration, especially in utilizing machine learning algorithms to optimize production processes. CATBOOST, an advanced machine learning tool, has shown its powerful capabilities in handling complex production data, significantly improving the accuracy of production forecasts and optimization efficiency, helping companies better manage data-driven decision-making.
5.4.2. AI’s Role in Multidisciplinary Design Optimization
AI technology plays a crucial role in multidisciplinary design optimization. Keywords like ‘design’ and ‘optimization’ underscore the central importance of multidisciplinary approaches in optimization design, particularly in the context of AI. Mohseni et al. [82] explored the design and evaluation of explainable AI (XAI) systems, highlighting the importance of interdisciplinary collaboration in this process. The literature noted that different disciplines have varying needs and standards for explainability; by addressing these differences, researchers developed a framework for designing and evaluating XAI systems to provide users with transparent decision-making logic. Additionally, Dwivedi et al. [83] examined the challenges and opportunities of AI from a multidisciplinary perspective in fields such as finance, healthcare, and supply chains. Their research demonstrated how various disciplines combine their strengths to tackle the issues AI brings, such as algorithmic bias, data privacy, and ethical challenges, while also revealing the vast potential of AI in enhancing productivity and optimizing processes. Malik et al. [84] discussed the application of generative AI (e.g., ChatGPT 3.5) in industries such as banking, tourism, information technology, and management. While these AI systems have significantly boosted productivity in these areas, they have also raised concerns regarding privacy protection, data bias, and misinformation. The study emphasized the importance and necessity of interdisciplinary collaboration in evaluating and regulating the application of generative AI.
6. Discussion and Conclusions
6.1. Discussion
This study utilizes LDA topic modeling to analyze highly cited interdisciplinary research articles from the Web of Science Core Collection, identifying four core knowledge topics. The following sections provide an in-depth discussion of these key areas and their broader implications for knowledge integration, societal applications, and academic innovation.
6.1.1. Interdisciplinary Research’s Contribution to Knowledge Production and Academic Innovation
The analysis of Topic 1 (Knowledge Framework and Social Impact of Interdisciplinary Research) demonstrates that interdisciplinary research provides essential frameworks and methodologies for integrating knowledge from multiple disciplines. This integration is crucial for addressing complex societal and environmental issues, as it encourages collaboration between fields that traditionally operate in silos. By breaking down the barriers of single-discipline approaches, interdisciplinary research fosters more holistic and innovative solutions to global challenges such as climate change, sustainable development, and public health crises.
Interdisciplinary research not only expands the breadth of knowledge production by incorporating diverse perspectives, but also deepens our understanding of complex problems by synthesizing insights from multiple fields. For example, the integration of social sciences, natural sciences, and engineering in interdisciplinary studies allows researchers to develop comprehensive frameworks that can more effectively address societal needs. These frameworks have both theoretical and practical significance. In practice, interdisciplinary approaches are already being applied to address climate change by integrating environmental science, economics, and policy studies, and in public health, by combining medical, psychological, and social research to develop more comprehensive interventions.
Furthermore, the interdisciplinary knowledge frameworks identified in this study offer valuable tools for researchers, policymakers, and educators. Researchers can use these frameworks to develop methodologies that span multiple disciplines, while policymakers can leverage these insights to foster cross-sector collaboration in addressing global challenges. Educators should incorporate these frameworks into curricula to equip students with the interdisciplinary skills needed to tackle real-world problems. As global challenges become more complex, future interdisciplinary research will need to continue evolving these frameworks, particularly in emerging fields such as artificial intelligence, biotechnology, and sustainable development, ensuring that interdisciplinary collaboration remains at the forefront of both academic and practical innovations.
6.1.2. Interdisciplinary Collaboration in Cancer Treatment and Patient Care
Topic 2 (Multidisciplinary Approaches in Cancer Treatment and Patient Care) underscores the critical role interdisciplinary collaboration plays in improving healthcare outcomes. Multidisciplinary team models, which combine expertise from oncology, surgery, radiotherapy, and pathology, have become the gold standard in cancer diagnosis and treatment. This approach enhances the accuracy of diagnoses and the comprehensiveness of treatment plans, offering a more systematic and integrated approach to patient care.
In addition to improving patient outcomes, interdisciplinary research also fosters systemic transformations within healthcare, creating more cohesive and collaborative care models. The success of multidisciplinary teams in cancer care suggests that traditional, single-discipline models are no longer sufficient to meet the needs of modern medical challenges. As personalized medicine and innovative treatment methods continue to develop, interdisciplinary collaboration will be even more essential in ensuring that these advancements are translated into practice. Thus, interdisciplinary research in healthcare not only contributes to medical innovation but also enhances the overall efficiency and effectiveness of healthcare systems.
In the healthcare sector, interdisciplinary research offers practical applications by promoting the development of more comprehensive treatment plans that incorporate expertise from various fields. For example, policymakers in the healthcare industry can implement strategies that encourage multidisciplinary collaboration in cancer treatment, improving the overall quality of patient care. Researchers can build upon these findings to explore new ways of integrating personalized medicine into healthcare systems. Education in medical schools should also reflect these interdisciplinary approaches, training future healthcare professionals to work across disciplines. Future research should explore the integration of emerging technologies, such as AI and data analytics, with traditional cancer treatment models, providing further opportunities for interdisciplinary collaboration to improve patient outcomes and healthcare efficiency.
6.1.3. The Importance of Interdisciplinary Collaboration in Public Health Crises
The analysis of Topic 3 (Covid-19: Multidisciplinary Care and Rehabilitation) highlights the indispensable role that interdisciplinary collaboration plays in responding to global health crises. The complex and multifaceted nature of the covid-19 pandemic required the integration of expertise from a wide range of fields, including clinical care, infectious disease management, psychological support, and cognitive rehabilitation. This diverse collaboration allowed healthcare systems to address not only the immediate physical health challenges posed by the virus but also the long-term psychological and neurological impacts experienced by many patients.
These findings extend beyond the covid-19 pandemic, illustrating the broader potential of interdisciplinary approaches in managing complex health crises. Multidisciplinary rehabilitation models, which integrate physical, psychological, and cognitive care, provide a comprehensive framework for future public health interventions. By drawing on insights from medicine, psychology, and neuroscience, these models demonstrate how interdisciplinary collaboration can lead to more effective and holistic healthcare solutions, improving patient outcomes and enhancing the overall resilience of healthcare systems. The interdisciplinary response to covid-19 offers a valuable case study for addressing future global health challenges. The collaborative models developed during this crisis serve as a blueprint for future public health interventions, particularly in terms of integrating physical and mental health care. Policymakers can adopt these models to enhance preparedness and response strategies for future pandemics, ensuring more coordinated and holistic healthcare approaches. Furthermore, researchers can continue to explore the long-term effects of interdisciplinary rehabilitation on patient recovery, particularly in areas such as “long covid” and other post-viral syndromes.
In addition, educational institutions should adapt their curricula to train healthcare professionals capable of addressing the multifaceted nature of public health crises. By fostering interdisciplinary skills, such as the ability to collaborate across fields and integrate diverse perspectives, healthcare professionals will be better equipped to manage future health challenges. As global health threats become increasingly complex, the role of interdisciplinary collaboration will remain critical for developing innovative and effective healthcare solutions.
6.1.4. Interdisciplinary Approaches to AI and Emerging Technologies
The analysis of Topic 4 (Multidisciplinary AI and Optimization in Industrial Applications) reveals that AI technologies have made significant advancements across industries such as finance, healthcare, manufacturing, and logistics. However, the success of AI systems heavily relies on interdisciplinary collaboration. By integrating knowledge from fields such as computer science, ethics, cognitive science, and sociology, interdisciplinary research helps address critical issues like algorithmic bias, data privacy, and the transparency of AI systems. These challenges require more than technical expertise; they demand a holistic approach that considers both technological and societal dimensions to ensure that AI development aligns with broader social values.
Interdisciplinary collaboration in AI development not only enhances technological performance but also ensures that AI systems are ethically responsible and socially beneficial. For example, interdisciplinary efforts can help mitigate algorithmic bias, improve transparency, and promote fairness in AI systems. This study underscores the importance of embedding ethical considerations into AI development processes to create AI technologies that are not only innovative but also equitable and accountable. This balance between technological advancement and ethical responsibility highlights the critical role interdisciplinary research plays in shaping the future of AI.
Beyond the immediate industrial applications, the interdisciplinary approach to AI also has long-term implications for policy and education. Policymakers can craft regulations that encourage responsible AI innovation while ensuring that ethical principles are integrated throughout the development process. Researchers can continue to explore how interdisciplinary perspectives can optimize AI, particularly in addressing transparency and data governance. Educators must equip future professionals with the interdisciplinary skills needed to navigate the complexities of AI-driven industries, preparing the next generation to contribute to both the technical and ethical dimensions of AI.
6.1.5. The Interactions Between Core Topics in Interdisciplinary Research
Although this study identifies four distinct core topics, there are significant interactions and overlaps between them that further highlight the importance of interdisciplinary approaches. The knowledge frameworks and methodologies identified in Topic 1 serve as the theoretical foundation for understanding how interdisciplinary research can be applied across various domains, such as healthcare and AI development. For instance, the collaborative platforms and frameworks developed through interdisciplinary research offer a robust structure for integrating AI technologies (Topic 4) with healthcare systems (Topics 2 and Topic 3), particularly in areas like personalized medicine, cancer treatment, and covid-19 rehabilitation.
Furthermore, the application of AI (Topic 4) in healthcare (Topic 2) demonstrates how technological advancements benefit from interdisciplinary collaboration. AI-driven diagnostic tools and optimization models, which incorporate expertise from computer science, ethics, and healthcare, significantly improve the accuracy and efficiency of treatment plans. Similarly, the lessons learned from the covid-19 pandemic (Topic 3) have prompted innovations in AI and healthcare, particularly in the development of multidisciplinary rehabilitation models that address both physical and cognitive health.
These interactions suggest that interdisciplinary approaches are not only necessary for advancing individual fields but also for creating synergies across disciplines. The integration of knowledge from different areas fosters innovation and improves the overall impact of research, as demonstrated in both healthcare and AI applications. As such, interdisciplinary collaboration is critical for addressing global challenges in a more comprehensive and effective manner.
In conclusion, the findings from these four core topics underscore the broad impact of interdisciplinary research on addressing complex global challenges. By promoting knowledge integration and fostering collaboration across fields such as healthcare, AI, and public health, interdisciplinary research not only advances theoretical frameworks but also drives practical innovations that respond to real-world problems. As global issues in healthcare, technology, and sustainability continue to evolve, further exploration and development of interdisciplinary frameworks will be crucial. These frameworks will empower researchers, policymakers, and educators to meet future challenges through enhanced collaboration and innovation.
6.2. Contributions of the Study
This study introduces the LDA topic model into the field of interdisciplinary research, promoting the application of machine learning and text analysis techniques in large-scale literature analysis. By extracting highly cited papers from the Web of Science database and applying the LDA topic modeling method, this study systematically identifies and categorizes four key knowledge topics in interdisciplinary research. Unlike traditional manual coding approaches, the LDA model can process large volumes of textual data and automatically generate latent topics, thus increasing the breadth of the research. Additionally, by combining manual coding with machine learning, this study provides a more comprehensive and systematic analytical framework while maintaining research depth. This approach offers valuable insights for future scholars who seek to apply machine learning and natural language processing techniques in review studies.
Moreover, this study expands the theoretical connections between interdisciplinary research and its societal impact, revealing the critical role interdisciplinary research plays in driving societal development. Through the detailed analysis of Topic 1 (Knowledge Framework and Social Impact of Interdisciplinary Research), the findings demonstrate that interdisciplinary research, by integrating knowledge frameworks from various disciplines, effectively addresses complex societal issues, particularly in global challenges such as climate change, technological innovation, and sustainable development. This provides a new perspective on interdisciplinary research, highlighting its dual value in both theoretical innovation and practical social applications.
Finally, this study provides new directions for the future development of interdisciplinary research. By identifying and analyzing four core topics, this research summarizes the key trends in interdisciplinary research and proposes knowledge integration and societal impact as important topics for future studies. Scholars can build on these findings to further explore the application of interdisciplinary frameworks in other fields and examine their influence on different societal issues, advancing both the theory and practice of interdisciplinary research.
6.3. Conclusions
This study employs LDA topic modeling to analyze highly cited interdisciplinary research articles from the Web of Science Core Collection, identifying four core knowledge topics: interdisciplinary research methods and frameworks, multidisciplinary approaches in cancer treatment, covid-19 multidisciplinary care, and AI optimization in industrial applications. These topics highlight the theoretical and practical contributions of interdisciplinary research in addressing global challenges. Specifically, Topic 1 demonstrates the value of interdisciplinary research in contributing to knowledge production and academic innovation, while Topic 2 showcases the tangible benefits of interdisciplinary collaboration in improving healthcare outcomes, particularly in cancer treatment. Topic 3 illustrates the critical role interdisciplinary approaches played in managing the covid-19 crisis, and Topic 4 emphasizes the importance of combining AI with other fields to solve complex industrial problems. These findings offer specific insights for advancing interdisciplinary collaboration in both academic and industrial contexts, laying a solid foundation for future research and practical applications.
6.4. Future Research Directions
Based on the analysis of the four core knowledge topics and the conclusions regarding interdisciplinary research’s contributions to knowledge integration, social application, and academic innovation, several promising directions for future research are identified. These areas highlight critical opportunities to advance interdisciplinary collaboration in addressing global challenges. Four key research directions are outlined below:
6.4.1. Cultivation and Development of Interdisciplinary Talent
The effective conduct of interdisciplinary research relies on researchers who possess interdisciplinary knowledge and skills. Therefore, future research should focus on exploring how to reform education to cultivate researchers with interdisciplinary perspectives, enabling them to flexibly apply knowledge and methods from various disciplines in complex research environments, thereby driving technological innovation and social progress.
Annan-Diab and Molinari [85] emphasized the importance of interdisciplinary approaches in sustainable development education, particularly in modules such as sustainability and corporate social responsibility. By integrating knowledge from multiple disciplines, students can enhance their understanding of complex problems and improve their capacity for action. Similarly, the study by van Lambalgen and de Vos [86] demonstrated that the use of interdisciplinary collaboration tools (such as CoNavigator) can help students share insights from different disciplines during structured discussions, enhancing interdisciplinary collaboration and knowledge fluency. Although these tools do not directly improve research outcome evaluations, they play a critical role in helping students address disciplinary differences and develop higher-order cognitive skills. Therefore, future research should explore how to further innovate teaching methods and course design, optimize the application of these tools and methods, and cultivate researchers who are capable of addressing complex interdisciplinary challenges.
In addition to the challenges of interdisciplinary education, gender disparities in interdisciplinary research also remain significant. Liu et al. [87] analyzed 675,135 U.S. doctoral theses from 1950 to 2016 and found that while interdisciplinary research has shown an increasing trend, significant gender disparities persist, particularly during the early stages of academic careers. These disparities may hinder the development of female researchers. As a result, future research should design effective policy support and structured measures to address gender inequalities in interdisciplinary research, providing more opportunities for female researchers. This would ensure diversity and equity in interdisciplinary education and the cultivation of researchers, ultimately driving scientific innovation and social progress. Furthermore, Vantard et al. [88] found that interdisciplinary research has a positive impact on the career development of researchers. However, due to the long duration of interdisciplinary projects and the lack of appropriate publication channels, current evaluation standards do not fully capture the characteristics of interdisciplinary research. Therefore, future research should focus on optimizing the mechanisms for cultivating and supporting interdisciplinary talent, improving evaluation standards, and ensuring that interdisciplinary research outcomes are more fully recognized in both academic and career development contexts.
6.4.2. Evaluation Systems and Policy Support for Interdisciplinary Research
Interdisciplinary research is receiving increasing attention in today’s scientific environment, particularly for addressing complex scientific and societal issues, such as the covid-19 pandemic. Interdisciplinary collaboration has shown immense potential in these contexts. It has become a core element of many successful research projects, with funding institutions such as the WIN-Kolleg of the Heidelberg Academy of Sciences and Humanities requiring interdisciplinary collaboration for project teams to be eligible for funding, highlighting the critical role of interdisciplinarity in research funding [89]. Nevertheless, the specific benefits and optimal implementation methods of interdisciplinary research remain unclear. Therefore, future research should further explore how to optimize the evaluation standards for interdisciplinary research. Moreover, interdisciplinary research is gaining increased attention not only in the scientific community but also in the policymaking process. Studies have found that the diversity, balance, and disparity of interdisciplinary research are positively correlated with the attention it receives in policy documents, with diversity having the most significant impact on political attention [90]. This finding indicates the substantial potential of interdisciplinary research in shaping policy. Thus, future research should further explore and refine the evaluation systems for interdisciplinary research to better reflect its contributions to science and policy.
6.4.3. International Cooperation and Interdisciplinary Globalization
As globalization deepens, interdisciplinary and international collaborations are becoming essential for addressing global challenges, particularly in healthcare and sustainable development. These areas are directly linked to human well-being and survival and underscore the importance of interdisciplinary approaches in solving global issues.
Global health issues are of common interest to all humanity, and interdisciplinary cooperation has become particularly crucial in addressing these challenges, especially in the context of cancer and the covid-19 pandemic. Mattei and Jolly [91] emphasized the key role of international interdisciplinary cooperation in cancer and immunology, highlighting the contributions of expert teams from different countries in advancing disease prevention, treatment, and immunological research. In the future, international interdisciplinary cooperation should be further strengthened, particularly in responding to public health emergencies such as pandemics like covid-19. Such cooperation not only promotes the sharing of scientific findings but also enhances the global capacity to respond to emerging health threats [92].
Similarly, the global sustainable development agenda is an urgent issue that requires international collaboration. Schneider et al. [93] emphasized the important role of interdisciplinary research in promoting sustainable development in the Global South, calling for increased international cooperation and financial support. Interdisciplinary research is crucial for achieving the United Nations Sustainable Development Goals (SDGs). The 2030 Agenda for Sustainable Development, set forth by the UN, includes 17 SDGs that span social, economic, and environmental dimensions to address the most pressing global challenges. Achieving these goals requires interdisciplinary collaboration not only within the global academic community but also involving governments, businesses, and non-governmental organizations. Through interdisciplinary cooperation, scholars worldwide can apply multidisciplinary approaches to address these complex sustainable development challenges. In the future, the global academic community should actively promote interdisciplinary research, particularly in addressing key issues such as climate change, resource management, and social equity. By fostering international collaboration, more effective solutions to the global sustainable development agenda can be achieved [94]. Additionally, this type of international interdisciplinary cooperation helps strengthen academic exchanges between countries, advancing global progress and contributing to the construction of a shared future for humanity.
6.4.4. AI and Interdisciplinary Research Optimization
As AI continues to be widely applied across various sectors, its impact on different industries is becoming increasingly apparent. Dwivedi, Hughes, Ismagilova, Aarts, Coombs, Crick, Duan, Dwivedi, Edwards and Eirug [83] explored the profound influence of AI on industrial and societal domains, particularly its rapid development in finance, healthcare, manufacturing, and logistics. The study emphasizes that AI’s transformative potential extends beyond technology itself, encompassing management, ethics, society, and policy. This impact is highly interdisciplinary, requiring experts from diverse fields to collaborate in addressing the challenges and opportunities brought by AI technology. Therefore, future research should focus on how interdisciplinary collaboration can manage and guide the application of AI across different sectors to ensure its responsible development and maximize its social and economic benefits. Simultaneously, Longo et al. [95] further examined the importance of explainable artificial intelligence (XAI). The practical application of XAI plays a crucial role in addressing the “black box” issue inherent in AI systems, but its development still faces numerous challenges. The paper identified 28 open problems, spanning from technical design to ethical concerns, and called for interdisciplinary collaboration to accelerate XAI research progress. Future research directions should include how XAI technologies can enhance the transparency and explainability of AI systems, particularly through interdisciplinary collaboration that integrates knowledge from machine learning, cognitive science, ethics, and human–computer interaction to drive the advancement and application of XAI.
6.5. Research Limitations
This study, by analyzing highly cited interdisciplinary papers in the WoS database, reveals four core knowledge topics, providing valuable insights into the knowledge frameworks, social applications, and practices of interdisciplinary research in various fields. However, despite the in-depth analysis of the current status and trends in interdisciplinary research, there are several limitations that warrant further exploration. First, this study relies on highly cited papers from the WoS database, which may imply that the results predominantly reflect interdisciplinary achievements that are already widely recognized in the academic community. While highly cited papers are representative, they may overlook cutting-edge research in emerging fields that have not yet gained wide attention. Future research could expand the scope to include less-cited but potentially innovative papers, further broadening the understanding of interdisciplinary research by capturing more emerging interdisciplinary innovations still in development. Second, the research mainly focuses on international English-language literature, which may not fully reflect the contributions of interdisciplinary research from different regions, especially non-English-speaking countries. Different regions may exhibit significant differences in interdisciplinary collaboration models and research priorities, and this study does not cover these diversities. Therefore, future research should consider incorporating more diverse academic databases, such as China National Knowledge Infrastructure (CNKI) or other regional databases, to provide a more comprehensive understanding of global interdisciplinary research trends. Finally, while LDA topic modeling has proven to be a powerful tool for uncovering core knowledge topics in interdisciplinary research, it has limitations in revealing the interactions and relationships between these topics. Future research could employ more advanced modeling techniques, such as dynamic topic models or topic co-occurrence models, to explore knowledge transfer and synergies within interdisciplinary research, thus offering a more holistic understanding of how interdisciplinary collaborations function in practice.
Author Contributions
Conceptualization, S.W. and T.W.; Methodology, M.L. and T.W.; Software, T.W.; Validation, M.J. and T.W.; Formal Analysis, M.L. and T.W.; Resources, S.W.; Data Curation, M.L.; Writing—Original Draft Preparation, S.W., M.L. and M.J.; Writing—Review and Editing, S.W. and T.W.; Visualization, T.W.; Supervision, S.W. and T.W.; Project Administration, S.W.; Funding Acquisition, S.W. All authors have read and agreed to the published version of the manuscript.
Funding
This research received no external funding.
Institutional Review Board Statement
Not applicable.
Informed Consent Statement
Not applicable.
Data Availability Statement
The original contributions presented in the study are included in the article material; further inquiries can be directed to the corresponding author.
Conflicts of Interest
The authors declare no conflicts of interest.
References
- Uzzi, B.; Mukherjee, S.; Stringer, M.; Jones, B. Atypical combinations and scientific impact. Science 2013, 342, 468–472. [Google Scholar] [CrossRef]
- Möckl, L.; Lamb, D.C.; Bräuchle, C. Super-resolved fluorescence microscopy: Nobel prize in chemistry 2014 for eric betzig, stefan hell, and william e. moerner. Angew. Chem. Int. Ed. 2014, 53, 13972–13977. [Google Scholar] [CrossRef] [PubMed]
- Ademović, N.; Kevrić, J.; Akšamija, Z. Advanced Technologies, Systems, and Applications VIII: Proceedings of the International Symposium on Innovative and Interdisciplinary Applications of Advanced Technologies (IAT 2023); Springer Nature: Berlin/Heidelberg, Germany, 2023; Volume 644. [Google Scholar]
- Ledford, H. How to solve the world’s biggest problems. Nature 2015, 525, 308–311. [Google Scholar] [CrossRef] [PubMed]
- Jacobs, J.A. Defense of Disciplines: Interdisciplinarity and Specialization in the Research University; University of Chicago Press: Chicago, IL, USA, 2014; pp. 54–75. [Google Scholar]
- Lawrence, M.G.; Williams, S.; Nanz, P.; Renn, O. Characteristics, potentials, and challenges of transdisciplinary research. One Earth 2022, 5, 44–61. [Google Scholar] [CrossRef]
- Newman, J. Promoting Interdisciplinary Research Collaboration: A Systematic Review, a Critical Literature Review, and a Pathway Forward. Soc. Epistemol. 2024, 38, 135–151. [Google Scholar] [CrossRef]
- Rhoten, D.; Parker, A. Risks and rewards of an interdisciplinary research path. Science 2004, 306, 2046. [Google Scholar] [CrossRef]
- Committee on Science, Public Policy; Committee on Facilitating Interdisciplinary Research. Facilitating Interdisciplinary Research; National Academies Press: Washington, DC, USA, 2005. [Google Scholar]
- Rafols, I.; Meyer, M. Diversity and network coherence as indicators of interdisciplinarity: Case studies in bionanoscience. Scientometrics 2009, 82, 263–287. [Google Scholar] [CrossRef]
- Bordons, M.; Morillo, F.; Gómez, I. Analysis of cross-disciplinary research through bibliometric tools. In Handbook of Quantitative Science and Technology Research: The Use of Publication and Patent Statistics in Studies of S&T Systems; Springer: Berlin/Heidelberg, Germany, 2004; pp. 437–456. [Google Scholar]
- Martins, J.R.R.A.; Lambe, A.B. Multidisciplinary Design Optimization: A Survey of Architectures. Aiaa J. 2013, 51, 2049–2075. [Google Scholar] [CrossRef]
- Bibri, S.E.; Krogstie, J. Smart sustainable cities of the future: An extensive interdisciplinary literature review. Sustain. Cities Soc. 2017, 31, 183–212. [Google Scholar] [CrossRef]
- Brevik, E.C.; Cerdà, A.; Mataix-Solera, J.; Pereg, L.; Quinton, J.N.; Six, J.; Van Oost, K. The interdisciplinary nature of SOIL. Soil 2015, 1, 117–129. [Google Scholar] [CrossRef]
- Wu, L.; Wang, D.; Evans, J.A. Large teams develop and small teams disrupt science and technology. Nature 2019, 566, 378–382. [Google Scholar] [CrossRef] [PubMed]
- Rafols, I.; Leydesdorff, L.; O’Hare, A.; Nightingale, P.; Stirling, A. How journal rankings can suppress interdisciplinary research: A comparison between innovation studies and business & management. Res. Policy 2012, 41, 1262–1282. [Google Scholar]
- Bromham, L.; Dinnage, R.; Hua, X. Interdisciplinary research has consistently lower funding success. Nature 2016, 534, 684–687. [Google Scholar] [CrossRef] [PubMed]
- Jelodar, H.; Wang, Y.; Yuan, C.; Feng, X.; Jiang, X.; Li, Y.; Zhao, L. Latent Dirichlet allocation (LDA) and topic modeling: Models, applications, a survey. Multimed. Tools Appl. 2019, 78, 15169–15211. [Google Scholar] [CrossRef]
- Jacobi, C.; van Atteveldt, W.; Welbers, K. Quantitative analysis of large amounts of journalistic texts using topic modelling. Digit. J. 2016, 4, 89–106. [Google Scholar] [CrossRef]
- Saura, J.R.; Ribeiro-Soriano, D.; Palacios-Marqués, D. From user-generated data to data-driven innovation: A research agenda to understand user privacy in digital markets. Int. J. Inf. Manag. 2021, 60, 102331. [Google Scholar] [CrossRef]
- Liu, Y.M.; Chen, M. The Knowledge Structure and Development Trend in Artificial Intelligence Based on Latent Feature Topic Model. IEEE Trans. Eng. Manag. 2024, 71, 12593–12604. [Google Scholar] [CrossRef]
- Blei, D.M.; Ng, A.Y.; Jordan, M.I. Latent dirichlet allocation. J. Mach. Learn. Res. 2003, 3, 993–1022. [Google Scholar]
- Hannigan, T.R.; Haans, R.F.J.; Vakili, K.; Tchalian, H.; Glaser, V.L.; Wang, M.S.; Kaplan, S.; Jennings, P.D. Topic Modeling in Management Research: Rendering New Theory from Textual Data. Acad. Manag. Ann. 2019, 13, 586–632. [Google Scholar] [CrossRef]
- Du, Y.; Yi, Y.; Li, X.; Chen, X.; Fan, Y.; Su, F. Extracting and tracking hot topics of micro-blogs based on improved Latent Dirichlet Allocation. Eng. Appl. Artif. Intell. 2020, 87, 103279. [Google Scholar] [CrossRef]
- Mendez, V.E.; Bacon, C.M.; Cohen, R. Agroecology as a Transdisciplinary, Participatory, and Action-Oriented Approach. Agroecol. Sustain. Food Syst. 2013, 37, 3–18. [Google Scholar] [CrossRef]
- Trujillo, C.M.; Long, T.M. Document co-citation analysis to enhance transdisciplinary research. Sci. Adv. 2018, 4, e1701130. [Google Scholar] [CrossRef] [PubMed]
- Acar, O.A.; Tarakci, M.; van Knippenberg, D. Creativity and Innovation Under Constraints: A Cross-Disciplinary Integrative Review. J. Manag. 2019, 45, 96–121. [Google Scholar] [CrossRef]
- Mauser, W.; Klepper, G.; Rice, M.; Schmalzbauer, B.S.; Hackmann, H.; Leemans, R.; Moore, H. Transdisciplinary global change research: The co-creation of knowledge for sustainability. Curr. Opin. Environ. Sustain. 2013, 5, 420–431. [Google Scholar] [CrossRef]
- Gale, N.K.; Heath, G.; Cameron, E.; Rashid, S.; Redwood, S. Using the framework method for the analysis of qualitative data in multi-disciplinary health research. Bmc Med. Res. Methodol. 2013, 13, 117. [Google Scholar] [CrossRef]
- Polk, M. Transdisciplinary co-production: Designing and testing a transdisciplinary research framework for societal problem solving. Futures 2015, 65, 110–122. [Google Scholar] [CrossRef]
- Popa, F.; Guillermin, M.; Dedeurvvaerdere, T. A pragmatist approach to transdisciplinarity in sustainability research: From complex systems theory to reflexive science. Futures 2015, 65, 45–56. [Google Scholar] [CrossRef]
- Brandt, P.; Ernst, A.; Gralla, F.; Luederitz, C.; Lang, D.J.; Newig, J.; Reinert, F.; Abson, D.J.; von Wehrden, H. A review of transdisciplinary research in sustainability science. Ecol. Econ. 2013, 92, 1–15. [Google Scholar] [CrossRef]
- Yegros-Yegros, A.; Rafols, I.; D’Este, P. Does Interdisciplinary Research Lead to Higher Citation Impact? The Different Effect of Proximal and Distal Interdisciplinarity. PLoS ONE 2015, 10, e0135095. [Google Scholar] [CrossRef]
- Huang, Y.; Glänzel, W.; Thijs, B.; Porter, A.L.; Zhang, L. The Comparison of Various Similarity Measurement Approaches on Interdisciplinary Indicators; FEB Research Report MSI_2102; FEB-KU Leuven: Leuven, Belgium, 2021; pp. 1–24. [Google Scholar]
- Leahey, E.; Beckman, C.M.; Stanko, T.L. Prominent but Less Productive: The Impact of Interdisciplinarity on Scientists’ Research. Adm. Sci. Q. 2017, 62, 105–139. [Google Scholar] [CrossRef]
- Harzing, A.-W.; Alakangas, S. Google Scholar, Scopus and the Web of Science: A longitudinal and cross-disciplinary comparison. Scientometrics 2015, 106, 787–804. [Google Scholar] [CrossRef]
- Martin-Martin, A.; Thelwall, M.; Orduna-Malea, E.; Delgado Lopez-Cozar, E. Google Scholar, Microsoft Academic, Scopus, Dimensions, Web of Science, and OpenCitations’ COCI: A multidisciplinary Comparison of Coverage via Citations. Scientometrics 2021, 126, 871–906. [Google Scholar] [CrossRef] [PubMed]
- Tao, H.; Zhuang, S.; Xue, R.; Cao, W.; Tian, J.; Shan, Y. Environmental Finance: An Interdisciplinary Review. Technol. Forecast. Soc. Change 2022, 179, 121639. [Google Scholar] [CrossRef]
- Marrone, M.; Linnenluecke, M.K. Interdisciplinary Research Maps: A new technique for visualizing research topics. PLoS ONE 2020, 15, e0242283. [Google Scholar] [CrossRef]
- Koohang, A.; Nord, J.H.; Ooi, K.-B.; Tan, G.W.-H.; Al-Emran, M.; Aw, E.C.-X.; Baabdullah, A.M.; Buhalis, D.; Cham, T.-H.; Dennis, C. Shaping the metaverse into reality: A holistic multidisciplinary understanding of opportunities, challenges, and avenues for future investigation. J. Comput. Inf. Syst. 2023, 63, 735–765. [Google Scholar] [CrossRef]
- Mahl, D.; Schäfer, M.S.; Zeng, J. Conspiracy theories in online environments: An interdisciplinary literature review and agenda for future research. New Media Soc. 2023, 25, 1781–1801. [Google Scholar] [CrossRef]
- Herrero, M.; Thornton, P.K.; Power, B.; Bogard, J.R.; Remans, R.; Fritz, S.; Gerber, J.S.; Nelson, G.; See, L.; Waha, K.; et al. Farming and the geography of nutrient production for human use: A transdisciplinary analysis. Lancet Planet. Health 2017, 1, E33–E42. [Google Scholar] [CrossRef]
- Shen, C. A Transdisciplinary Review of Deep Learning Research and Its Relevance for Water Resources Scientists. Water Resour. Res. 2018, 54, 8558–8593. [Google Scholar] [CrossRef]
- Song, B.; Lin, R.; Lam, C.H.; Wu, H.; Tsui, T.-H.; Yu, Y. Recent advances and challenges of inter-disciplinary biomass valorization by integrating hydrothermal and biological techniques. Renew. Sustain. Energy Rev. 2021, 135, 110370. [Google Scholar] [CrossRef]
- Shen, Y.; Zhou, G.; Liang, C.; Tian, Z. Omics-based interdisciplinarity is accelerating plant breeding. Curr. Opin. Plant Biol. 2022, 66, 102167. [Google Scholar] [CrossRef]
- Fried, M.; Yumuk, V.; Oppert, J.-M.; Scopinaro, N.; Torres, A.; Weiner, R.; Yashkov, Y.; Frühbeck, G.; on behalf of International Federation for the Surgery of Obesity and Metabolic Disorders—European Chapter (IFSO-EC) and European Association for the Study of Obesity (EASO). Interdisciplinary European guidelines on metabolic and bariatric surgery. Obes. Surg. 2014, 24, 42–55. [Google Scholar] [CrossRef]
- Prades, J.; Remue, E.; Van Hoof, E.; Borras, J.M. Is it worth reorganising cancer services on the basis of multidisciplinary teams (MDTs)? A systematic review of the objectives and organisation of MDTs and their impact on patient outcomes. Health Policy 2015, 119, 464–474. [Google Scholar] [CrossRef]
- Adam, R.; de Gramont, A.; Figueras, J.; Kokudo, N.; Kunstlinger, F.; Loyer, E.; Poston, G.; Rougier, P.; Rubbia-Brandt, L.; Sobrero, A. Managing synchronous liver metastases from colorectal cancer: A multidisciplinary international consensus. Cancer Treat. Rev. 2015, 41, 729–741. [Google Scholar] [CrossRef]
- van de Velde, C.J.; Boelens, P.G.; Borras, J.M.; Coebergh, J.-W.; Cervantes, A.; Blomqvist, L.; Beets-Tan, R.G.; van den Broek, C.B.; Brown, G.; Van Cutsem, E. EURECCA colorectal: Multidisciplinary management: European consensus conference colon & rectum. Eur. J. Cancer 2014, 50, 1.e1–1.e34. [Google Scholar] [CrossRef]
- Garbe, C.; Amaral, T.; Peris, K.; Hauschild, A.; Arenberger, P.; Basset-Seguin, N.; Bastholt, L.; Bataille, V.; Del Marmol, V.; Dréno, B. European consensus-based interdisciplinary guideline for melanoma. Part 2: Treatment-update 2022. Eur. J. Cancer 2022, 170, 256–284. [Google Scholar] [CrossRef]
- Garbe, C.; Amaral, T.; Peris, K.; Hauschild, A.; Arenberger, P.; Basset-Seguin, N.; Bastholt, L.; Bataille, V.; Del Marmol, V.; Dréno, B. European consensus-based interdisciplinary guideline for melanoma. Part 1: Diagnostics: Update 2022. Eur. J. Cancer 2022, 170, 236–255. [Google Scholar] [CrossRef]
- Garbe, C.; Peris, K.; Hauschild, A.; Saiag, P.; Middleton, M.; Bastholt, L.; Grob, J.-J.; Malvehy, J.; Newton-Bishop, J.; Stratigos, A.J. Diagnosis and treatment of melanoma. European consensus-based interdisciplinary guideline–Update 2016. Eur. J. Cancer 2016, 63, 201–217. [Google Scholar] [CrossRef]
- Peris, K.; Fargnoli, M.C.; Garbe, C.; Kaufmann, R.; Bastholt, L.; Seguin, N.B.; Bataille, V.; Del Marmol, V.; Dummer, R.; Harwood, C.A. Diagnosis and treatment of basal cell carcinoma: European consensus–based interdisciplinary guidelines. Eur. J. Cancer 2019, 118, 10–34. [Google Scholar] [CrossRef]
- Stratigos, A.J.; Garbe, C.; Dessinioti, C.; Lebbe, C.; Bataille, V.; Bastholt, L.; Dreno, B.; Fargnoli, M.C.; Forsea, A.M.; Frenard, C. European interdisciplinary guideline on invasive squamous cell carcinoma of the skin: Part 2. Treatment. Eur. J. Cancer 2020, 128, 83–102. [Google Scholar] [CrossRef]
- Kim, T.-H.; Kim, I.-H.; Kang, S.J.; Choi, M.; Kim, B.-H.; Eom, B.W.; Kim, B.J.; Min, B.-H.; Choi, C.I.; Shin, C.M. Korean practice guidelines for gastric cancer 2022: An evidence-based, multidisciplinary approach. J. Gastric Cancer 2023, 23, 3. [Google Scholar] [CrossRef]
- Travis, W.D.; Dacic, S.; Wistuba, I.; Sholl, L.; Adusumilli, P.; Bubendorf, L.; Bunn, P.; Cascone, T.; Chaft, J.; Chen, G. IASLC multidisciplinary recommendations for pathologic assessment of lung cancer resection specimens after neoadjuvant therapy. J. Thorac. Oncol. 2020, 15, 709–740. [Google Scholar] [CrossRef]
- Gauci, M.-L.; Aristei, C.; Becker, J.C.; Blom, A.; Bataille, V.; Dreno, B.; Del Marmol, V.; Forsea, A.M.; Fargnoli, M.C.; Grob, J.-J. Diagnosis and treatment of Merkel cell carcinoma: European consensus-based interdisciplinary guideline–Update 2022. Eur. J. Cancer 2022, 171, 203–231. [Google Scholar] [CrossRef]
- Fattori, R.; Cao, P.; De Rango, P.; Czerny, M.; Evangelista, A.; Nienaber, C.; Rousseau, H.; Schepens, M. Interdisciplinary expert consensus document on management of type B aortic dissection. J. Am. Coll. Cardiol. 2013, 61, 1661–1678. [Google Scholar] [CrossRef]
- Campbell, K.L.; Winters-Stone, K.; Wiskemann, J.; May, A.M.; Schwartz, A.L.; Courneya, K.S.; Zucker, D.; Matthews, C.; Ligibel, J.; Gerber, L. Exercise guidelines for cancer survivors: Consensus statement from international multidisciplinary roundtable. Med. Sci. Sports Exerc. 2019, 51, 2375. [Google Scholar] [CrossRef]
- Kulkarni, G.S.; Hermanns, T.; Wei, Y.; Bhindi, B.; Satkunasivam, R.; Athanasopoulos, P.; Bostrom, P.J.; Kuk, C.; Li, K.; Templeton, A.J. Propensity score analysis of radical cystectomy versus bladder-sparing trimodal therapy in the setting of a multidisciplinary bladder cancer clinic. J. Clin. Oncol. 2017, 35, 2299–2305. [Google Scholar] [CrossRef]
- Grossberg, A.J.; Chu, L.C.; Deig, C.R.; Fishman, E.K.; Hwang, W.L.; Maitra, A.; Marks, D.L.; Mehta, A.; Nabavizadeh, N.; Simeone, D.M. Multidisciplinary standards of care and recent progress in pancreatic ductal adenocarcinoma. CA Cancer J. Clin. 2020, 70, 375–403. [Google Scholar] [CrossRef]
- Kamper, S.J.; Apeldoorn, A.T.; Chiarotto, A.; Smeets, R.J.; Ostelo, R.W.; Guzman, J.; van Tulder, M.W. Multidisciplinary biopsychosocial rehabilitation for chronic low back pain. Cochrane Database Syst. Rev. 2014, 2014, CD000963. [Google Scholar] [CrossRef]
- De Ridder, D.; Schlee, W.; Vanneste, S.; Londero, A.; Weisz, N.; Kleinjung, T.; Shekhawat, G.S.; Elgoyhen, A.B.; Song, J.-J.; Andersson, G. Tinnitus and tinnitus disorder: Theoretical and operational definitions (an international multidisciplinary proposal). Prog. Brain Res. 2021, 260, 1–25. [Google Scholar]
- Cameron, I.D.; Fairhall, N.; Langron, C.; Lockwood, K.; Monaghan, N.; Aggar, C.; Sherrington, C.; Lord, S.R.; Kurrle, S.E. A multifactorial interdisciplinary intervention reduces frailty in older people: Randomized trial. Bmc Med. 2013, 11, 65. [Google Scholar] [CrossRef]
- Bishop, D.V.; Snowling, M.J.; Thompson, P.A.; Greenhalgh, T.; CATALISE Consortium. CATALISE: A Multinational and Multidisciplinary Delphi Consensus Study. Identifying Language Impairments in Children. PLoS ONE 2016, 11, e0158753. [Google Scholar] [CrossRef]
- Bishop, D.V.M.; Snowling, M.J.; Thompson, P.A.; Greenhalgh, T.; CATALISE-2 Consortium. Phase 2 of CATALISE: A multinational and multidisciplinary Delphi consensus study of problems with language development: Terminology. J. Child Psychol. Psychiatry 2017, 58, 1068–1080. [Google Scholar] [CrossRef]
- Shamshirsaz, A.A.; Fox, K.A.; Salmanian, B.; Diaz-Arrastia, C.R.; Lee, W.; Baker, B.W.; Ballas, J.; Chen, Q.; Van Veen, T.R.; Javadian, P.; et al. Maternal morbidity in patients with morbidly adherent placenta treated with and without a standardized multidisciplinary approach. Am. J. Obstet. Gynecol. 2015, 212, 218.e1–218.e9. [Google Scholar] [CrossRef]
- Kales, H.C.; Gitlin, L.N.; Lyketsos, C.G.; Detroit Expert Panel on Assessment and Management of Neuropsychiatric Symptoms of Dementia. Management of neuropsychiatric symptoms of dementia in clinical settings: Recommendations from a multidisciplinary expert panel. J. Am. Geriatr. Soc. 2014, 62, 762–769. [Google Scholar] [CrossRef]
- Scullin, M.K.; Bliwise, D.L. Sleep, cognition, and normal aging: Integrating a half century of multidisciplinary research. Perspect. Psychol. Sci. 2015, 10, 97–137. [Google Scholar] [CrossRef]
- Bubu, O.M.; Andrade, A.G.; Umasabor-Bubu, O.Q.; Hogan, M.M.; Turner, A.D.; de Leon, M.J.; Ogedegbe, G.; Ayappa, I.; Jackson, M.L.; Varga, A.W. Obstructive sleep apnea, cognition and Alzheimer’s disease: A systematic review integrating three decades of multidisciplinary research. Sleep Med. Rev. 2020, 50, 101250. [Google Scholar] [CrossRef]
- Sudore, R.L.; Lum, H.D.; You, J.J.; Hanson, L.C.; Meier, D.E.; Pantilat, S.Z.; Matlock, D.D.; Rietjens, J.A.; Korfage, I.J.; Ritchie, C.S. Defining advance care planning for adults: A consensus definition from a multidisciplinary Delphi panel. J. Pain Symptom Manag. 2017, 53, 821–832. [Google Scholar] [CrossRef]
- Sun, J.; He, W.-T.; Wang, L.; Lai, A.; Ji, X.; Zhai, X.; Li, G.; Suchard, M.A.; Tian, J.; Zhou, J.; et al. COVID-19: Epidemiology, Evolution, and Cross-Disciplinary Perspectives. Trends Mol. Med. 2020, 26, 483–495. [Google Scholar] [CrossRef]
- Chams, N.; Chams, S.; Badran, R.; Shams, A.; Araji, A.; Raad, M.; Mukhopadhyay, S.; Stroberg, E.; Duval, E.J.; Barton, L.M. COVID-19: A multidisciplinary review. Front. Public Health 2020, 8, 383. [Google Scholar] [CrossRef]
- Curigliano, G.; Banerjee, S.; Cervantes, A.; Garassino, M.C.; Garrido, P.; Girard, N.; Haanen, J.; Jordan, K.; Lordick, F.; Machiels, J.-P. Managing cancer patients during the COVID-19 pandemic: An ESMO multidisciplinary expert consensus. Ann. Oncol. 2020, 31, 1320–1335. [Google Scholar] [CrossRef]
- Narang, K.; Enninga, E.A.L.; Gunaratne, M.D.; Ibirogba, E.R.; Trad, A.T.A.; Elrefaei, A.; Theiler, R.N.; Ruano, R.; Szymanski, L.M.; Chakraborty, R. SARS-CoV-2 infection and COVID-19 during pregnancy: A multidisciplinary review. Mayo Clin. Proc. 2020, 95, 1750–1765. [Google Scholar]
- Puchner, B.; Sahanic, S.; Kirchmair, R.; Pizzini, A.; Sonnweber, B.; Woell, E.; Muehlbacher, A.; Garimorth, K.; Dareb, B.; Ehling, R. Beneficial effects of multi-disciplinary rehabilitation in postacute COVID-19: An observational cohort study. Eur. J. Phys. Rehabil. Med. 2021, 57, 189–198. [Google Scholar] [CrossRef]
- Vanichkachorn, G.; Newcomb, R.; Cowl, C.T.; Murad, M.H.; Breeher, L.; Miller, S.; Trenary, M.; Neveau, D.; Higgins, S. Post–COVID-19 syndrome (long haul syndrome): Description of a multidisciplinary clinic at Mayo clinic and characteristics of the initial patient cohort. Mayo Clin. Proc. 2021, 96, 1782–1791. [Google Scholar]
- Holmes, E.A.; O’Connor, R.C.; Perry, V.H.; Tracey, I.; Wessely, S.; Arseneault, L.; Ballard, C.; Christensen, H.; Cohen Silver, R.; Everall, I.; et al. Multidisciplinary research priorities for the COVID-19 pandemic: A call for action for mental health science. Lancet Psychiatry 2020, 7, 547–560. [Google Scholar] [CrossRef]
- Ivanov, D.; Tang, C.S.; Dolgui, A.; Battini, D.; Das, A. Researchers’ perspectives on Industry 4.0: Multi-disciplinary analysis and opportunities for operations management. Int. J. Prod. Res. 2021, 59, 2055–2078. [Google Scholar] [CrossRef]
- Koopman, P.; Wagner, M. Autonomous Vehicle Safety: An Interdisciplinary Challenge. IEEE Intell. Transp. Syst. Mag. 2017, 9, 90–96. [Google Scholar] [CrossRef]
- Hancock, J.T.; Khoshgoftaar, T.M. CatBoost for big data: An interdisciplinary review. J. Big Data 2020, 7, 94. [Google Scholar] [CrossRef]
- Mohseni, S.; Zarei, N.; Ragan, E.D. A multidisciplinary survey and framework for design and evaluation of explainable AI systems. ACM Trans. Interact. Intell. Syst. (TiiS) 2021, 11, 1–45. [Google Scholar] [CrossRef]
- Dwivedi, Y.K.; Hughes, L.; Ismagilova, E.; Aarts, G.; Coombs, C.; Crick, T.; Duan, Y.; Dwivedi, R.; Edwards, J.; Eirug, A. Artificial Intelligence (AI): Multidisciplinary perspectives on emerging challenges, opportunities, and agenda for research, practice and policy. Int. J. Inf. Manag. 2021, 57, 101994. [Google Scholar] [CrossRef]
- Malik, T.; Dwivedi, Y.; Kshetri, N.; Hughes, L.; Slade, E.L.; Jeyaraj, A.; Kar, A.K.; Baabdullah, A.M.; Koohang, A.; Raghavan, V. “So what if ChatGPT wrote it?” Multidisciplinary perspectives on opportunities, challenges and implications of generative conversational AI for research, practice and policy. Int. J. Inf. Manag. 2023, 71, 102642. [Google Scholar]
- Annan-Diab, F.; Molinari, C. Interdisciplinarity: Practical approach to advancing education for sustainability and for the Sustainable Development Goals. Int. J. Manag. Educ. 2017, 15, 73–83. [Google Scholar] [CrossRef]
- van Lambalgen, R.M.; de Vos, F. Facilitating epistemic fluency of undergraduate students during the interdisciplinary research process. Front. Educ. 2023, 8, 1108344. [Google Scholar] [CrossRef]
- Liu, M.J.; Yang, S.J.; Bu, Y.; Zhang, N. Female early-career scientists have conducted less interdisciplinary research in the past six decades: Evidence from doctoral theses. Humanit. Soc. Sci. Commun. 2023, 10, 918. [Google Scholar] [CrossRef]
- Vantard, M.; Galland, C.; Knoop, M. Interdisciplinary research: Motivations and challenges for researcher careers. Quant. Sci. Stud. 2023, 4, 711–727. [Google Scholar] [CrossRef]
- Mahringer, C.A.; Baessler, F.; Gerchen, M.F.; Haack, C.; Jacob, K.; Mayer, S. Benefits and obstacles of interdisciplinary research: Insights from members of the Young Academy at the Heidelberg Academy of Sciences and Humanities. iScience 2023, 26, 108508. [Google Scholar] [CrossRef]
- Hu, L.; Huang, W.B.; Bu, Y. Interdisciplinary research attracts greater attention from policy documents: Evidence from COVID-19. Humanit. Soc. Sci. Commun. 2024, 11, 383. [Google Scholar] [CrossRef]
- Mattei, F.; Jolly, M.K. Interdisciplinary research in cancer and immunity employing biophysical approaches. iScience 2023, 26, 106507. [Google Scholar] [CrossRef]
- Ly, Y.T.; Arndt, F.; Boschert, A.L.; Pavletic, B.; Webner, F.; Kohl, A.; Grübbel, H.; Soltau, J.; Talai, I.; Diallo, M.D.; et al. After the pandemic is before the pandemic: And how interdisciplinary research can help here. Laryngorhinootologie 2024, 103, 570–577. [Google Scholar] [CrossRef]
- Schneider, F.; Patel, Z.; Paulavets, K.; Buser, T.; Kado, J.; Burkhart, S. Fostering transdisciplinary research for sustainability in the Global South: Pathways to impact for funding programmes. Humanit. Soc. Sci. Commun. 2023, 10, 620. [Google Scholar] [CrossRef]
- Harris, F.; Lyon, F.; Sioen, G.B.; Ebi, K.L. Working with the tensions of transdisciplinary research: A review and agenda for the future of knowledge co-production in the Anthropocene. Glob. Sustain. 2024, 7, e13. [Google Scholar] [CrossRef]
- Longo, L.; Brcic, M.; Cabitza, F.; Choi, J.; Confalonieri, R.; Del Ser, J.; Guidotti, R.; Hayashi, Y.; Herrera, F.; Holzinger, A.; et al. Explainable Artificial Intelligence (XAI) 2.0: A manifesto of open challenges and interdisciplinary research directions. Inf. Fusion 2024, 106, 102301. [Google Scholar] [CrossRef]
Disclaimer/Publisher’s Note: The statements, opinions and data contained in all publications are solely those of the individual author(s) and contributor(s) and not of MDPI and/or the editor(s). MDPI and/or the editor(s) disclaim responsibility for any injury to people or property resulting from any ideas, methods, instructions or products referred to in the content. |
© 2024 by the authors. Licensee MDPI, Basel, Switzerland. This article is an open access article distributed under the terms and conditions of the Creative Commons Attribution (CC BY) license (https://creativecommons.org/licenses/by/4.0/).


