Abstract
The Korean Peninsula, characterized by low-to-moderate seismicity, faces a shortage of strong ground motion records, posing challenges for the seismic safety assessment of critical infrastructures. Given the rarity of large-magnitude earthquakes, generating a variety of earthquakes with rational values of Peak Ground Acceleration (PGA) is essential for robust seismic fragility and risk analysis. To address this, a new stochastic approach is proposed to simulate artificial earthquakes at multiple source-to-site distances and derive the probability distribution of PGA based on recorded data from a single seismic event. Two key source parameters, seismic moment and corner frequency, are treated as random variables with a negative correlation, reflecting their uncertainties and dependence on source-to-site distance. The Monte Carlo simulation with copula sampling of the key source parameters generates Fourier spectra for artificial earthquakes, which are transformed into the time domain to yield PGA distributions at various distances. A comparison with recorded data shows that the proposed method effectively simulates ground motion intensities, with no statistically significant differences between the simulated results and recorded data (). The present method of determining PGA distributions provides a robust framework to enhance seismic risk analysis for the safety assessment of structures.
1. Introduction
On 15 November 2017, Pohang, South Korea, was struck by an earthquake measuring 5.4 according to the Korea Meteorological Administration (KMA) or 5.5 by the U.S. Geological Survey (USGS), marking it the second largest earthquake event in the country over the past century [1,2]. This event called attention to the seismic risk on the Korean Peninsula, a region generally characterized by low-to-moderate seismicity, and highlighted the necessity for robust seismic safety assessments, especially for critical infrastructures such as high-rise buildings, large dams, and nuclear power plants near the epicenter [3,4]. Given the limited availability of large-scale actual data, it is essential to generate artificial earthquakes that account for the stochastic nature of Peak Ground Acceleration (PGA), which ensures a diverse range of rational input ground motions for comprehensive seismic performance assessments.
Artificial earthquakes can be generated by means of: (1) scaling historical earthquakes, (2) matching a target spectrum through random vibration theory [5], or (3) simulating ground motions through stochastic approaches [6,7,8,9]. While scaling historical records offers simplicity and availability, they represent only a limited range of earthquake event scenarios [10,11,12]. Since a recorded PGA only reflects the strongest ground motion and does not account for surface characteristics or the complexity of seismic events, amplifying historical records to match a target PGA leads to inadequate generation results. The 2017 Pohang Earthquake, with a focal depth of 7 km (KMA) and a rare combination of reverse and strike-slip faulting [1], exemplifies the limitations of relying solely on historical data for earthquake prediction. Meanwhile, the second method, generating earthquakes to match a design spectrum [5], which is conventionally constructed using a single predetermined PGA and simplified envelope curves, often fails to fully capture the complex dynamic characteristics of actual earthquakes [13]. This is because design spectra frequently underestimate or overestimate the spectral acceleration at certain periods [14,15].
For a stochastic approach to ground motion generation, a Ground Motion Model (GMM) is employed. These models are categorized into two types: empirical and physics-based [6,7,8,9]. Empirical GMMs, using simplified representations of seismic and geological properties [8,9], lead to less accurate predictions in capturing the complex interactions of seismic activity [16]. In contrast, physics-based GMMs provide higher accuracy by integrating seismic sources, wave propagation, and site characteristics, making them more suitable for regions like the Korean Peninsula, where historical records of large-magnitude earthquakes are limited [16,17]. Due to the significant computational costs required for 3D crustal modeling [18], this study employs a stochastic point-source model, a simplified version of physics-based GMMs [19].
In regions with low-to-moderate seismic activity, the limited availability of records from similar epicentral distances, despite data collection from various stations, hinders the development of probability distributions of PGA for specific source-to-site distances. PGA’s variability is influenced by factors beyond distance and magnitude, including seismic event uncertainties, site conditions, and complex wave propagation. Simple interpolation can lead to inaccuracies, since PGAs fluctuate randomly even at the same distance. Moreover, the limited proximity of stations to epicenters and restricted access to seismic data further complicate sufficient data acquisition. To address these challenges, it is crucial to determine a rational probability distribution for PGA, which can facilitate a well-established description of the target response spectrum for fragility and risk analysis of critical infrastructures subjected to extreme seismic events.
This study proposes a new method for deriving the probability distribution of PGA using seismic data recorded from a single event, with the aim of enhancing structural safety assessments. First, artificial earthquakes are generated stochastically, from which a distribution of PGA is subsequently determined. This resulting probability distribution can be utilized to select an appropriate group of artificial earthquakes for the seismic safety assessment of critical infrastructures, particularly in regions where strong seismic records are extremely rare.
To simulate ground motions using actual seismic records from a single seismic event, the present study employs a point-source stochastic model characterized by two key source parameters: seismic moment () and corner frequency () [20]. Due to their inherent uncertainties, these parameters are treated as random variables, which can result in variations in the predicted PGAs [21,22]. Their independence from source-to-site distance further justifies this assumption. Probability distributions are fitted to observed values of both parameters, and , and copula sampling is applied to account for their negative correlation. The optimal copula function, selected from five copula functions based on the highest log-likelihood, is used to model the dependency between and . The Monte Carlo Simulation (MCS) with random sampling of the parameters generates Fourier spectra for artificial earthquakes at various distances, which are then transformed into the time domain to produce their time histories and corresponding PGA distributions. The resulting probability distributions of PGA for these simulated artificial earthquakes at various distances are then compared and validated against recorded earthquake data.
2. Methodology
2.1. Ground Motion Database
The seismic records were collected from 130 stations in the KMA’s National Earthquake Comprehensive Information System (NECIS) when the 5.4 earthquake struck Pohang, located in the southeast region of the Korean Peninsula, on 15 November 2017. Out of these stations, data from 111 stations with complete accelerograms were used to calculate parameters for the stochastic point-source model in the present study. Table 1 shows basic information about the 2017 Pohang Earthquake.
Table 1.
Detailed information on the 2017 Pohang Earthquake.
NECIS provides raw data in the miniSEED format, a simplified version of the Standard for the Exchange of Earthquake Data (SEED) to facilitate the digital exchange of seismic data [23]. This format includes observational data in digital counts, which are numerical values recorded by seismometers before any preprocessing is performed to convert them into physical quantities such as ground motion acceleration, velocity, and displacement [24]. Accurate physical measurements require that seismographs be properly calibrated. Observational data from all stations were sampled at a rate of 100 samples per second, corresponding to an interval of 0.01 s. Calibration sheets for each station are used to assess the sensitivity of the seismometers, ensuring accurate conversion of seismograph units into measurements of gravitational acceleration (g).
2.2. Stochastic Point-Source Model
2.2.1. Parameters of Stochastic Point-Source Model
The Fourier Amplitude Spectrum (FAS) of ground motion can be determined using the stochastic point-source model [6]:
where is the seismic moment, is the source-to-site distance, and is the frequency. This equation consists of four components: the source effect, , which characterizes the earthquake source mechanism; the path effect, , which describes the attenuation of seismic waves along their propagation path; the site effect, , which accounts for local site amplification and attenuation; and the type of motion, , which facilitates expressing the spectrum as acceleration .
The site effect, , is divided into two distinct factors: the site amplification factor, denoted by , and the diminution factor, denoted by :
The expression for involves the high-frequency spectral decay factor, .
To determine , the slope of the Fourier amplitude is calculated for each station that recorded seismic data during the 2017 Pohang Earthquake [25]. For Fourier spectra with a negative slope, the decrease in amplitude beyond a specific frequency is estimated [26]. In this study, a value of 0.014 s is employed, where it represents the zero-distance intercept of the values obtained from each station, as originally defined in [25]. The site amplification factor is determined using the horizontal-to-vertical spectral ratio, with a damping ratio of 5% applied at each station [27].
where and denote the response spectra for the horizontal and vertical components of ground motion, respectively.
The path effect, , consists of geometrical spreading, , and the residual term, which is the anelastic attenuation function:
where the geometrical spreading function determined for low-to-moderate seismicity regions of Eastern North America (ENA) is uniformly applied in this study as follows [28]:
In Equation (5), , representing the shear wave velocity near the source, is 3.5 km/s according to [29]. The quality factor, , is derived by separating observed earthquake ground motions into unknown terms associated with the source, path, and site effects. Using this methodology, the quality factor for frequencies above 1 Hz is obtained through regression analysis, resulting in the formula: .
The source effect, in Equation (1), is expressed as:
Here, is the corner frequency and the constant C is given by:
where (the wave radiation pattern), (the partition of total shear-wave energy into horizontal components), and (a parameter indicating the effect of the free surface) are assumed to be 0.55, 0.707, and 2, respectively. The value of 0.55 is widely accepted as the average of body-wave radiation patterns over various azimuths and take-off angles [30,31]. The parameter is a standard value applied in most ground motion simulations [6]. The density near the source, is 2.7 , based on the seismic velocity structure of the Korean Peninsula [32], while the reference distance is conventionally 1 km [16]. In the present study, and , are set as key source parameters and given by [20,33,34]:
where is the long-term flat-level function as:
The constants K and J are calculated by integrating the displacement amplitude spectrum of the observed ground motion and multiplying angular frequency followed by integration, as used in [33,34].
2.2.2. Transformation into Time Domain
In this study, generated Fourier spectra is transformed into the time domain to determine the PGAs of the corresponding artificial earthquakes. The following steps based on the point-source GMM are employed [6,35]. The procedure involves calculations in both time and frequency domains. Steps (1), (2), and (5) are performed in the time domain, while steps (3) and (4) are conducted in the frequency domain:
- (1)
- Generate Gaussian or uniform white noise for the desired time duration.
- (2)
- Apply a shaping window function to the white noise by multiplying them.
- (3)
- Transform the windowed noise into the frequency domain and normalize it by the square root of the mean square (RMS) amplitude spectrum.
- (4)
- Multiply the normalized noise with the modeled FAS as defined in Equation (1).
- (5)
- Apply Inverse Fast Fourier Transformation to obtain the predicted ground motion time histories.
The shaping window function for time t, and scaled time for different window functions is defined as follows [36]:
where , , and are:
Following previous research [36], the values of the parameters and are set to 0.2 and 0.05, respectively. The scaled time is defined as:
where parameter has a value of 1 for the box window and 2 for the exponential window [37]. This study follows the recommendation to use to ensure accurate comparisons between response spectra computed using both window types [6]. For the duration model of ground motions in low-to-moderate seismicity regions such as ENA, the following expression is used [38]:
where is the slope over a given source-to-site distance. For ENA, the values of are 0.16 for , 0.03 for , and 0.04 for [38].
2.3. Seismic Source Characterization and PGA Distribution Modeling
2.3.1. Statistical Modeling of Source Parameters for the 2017 Pohang Earthquake
Two critical parameters affecting the source effect, and , were analyzed for the 2017 Pohang Earthquake. These parameters were obtained from 111 out of 130 stations, all located within a 500 km radius of the epicenter, with the source-to-site distances ranging from 11.58 to 413.18 km. According to Equation (1), the Fourier amplitude is influenced by the source-to-site distance, R, and assumes stochastic variations in and . The randomness of these parameters introduces uncertainty into the Fourier amplitude, leading to variability in the predicted PGAs for artificial earthquakes.
Spearman correlation analysis explored relationships between source parameters and source-to-site distance, and among the source parameters themselves. Despite appearing random within a valid range of distance, as depicted in Figure 1a,b, a dependency exists among the source parameters, as illustrated in Figure 1c. The correlation coefficient between source-to-site distance and was , indicating virtually no correlation. Similarly, the correlation coefficient between source-to-site distance and was , suggesting a negligible correlation. In contrast, the correlation between and was estimated at –, indicating a weak negative correlation. This finding underscores the importance of generating sampling points that account for this correlation.
Figure 1.
Relationship between (a) the source-to-site distance and seismic moment, (b) the source-to-site distance and corner frequency, and (c) corner frequency and seismic moment.
Copula functions are widely used to estimate joint probability density functions because they effectively capture the dependence structure between two variables while allowing for the coupling and separation of each probability distribution [39,40,41]. The application of copulas is also well-established in earthquake research [42,43]. A copula is a multivariate cumulative distribution function that uses the complex dependency structures between marginal probability distributions and random variables. According to Sklar’s theorem, the joint cumulative distribution function of the source parameters and is defined as follows [44]:
where represents the copula, and are the marginal cumulative distribution functions of the source parameters, and is a parameter indicating the dependency.
In the comparative evaluation of five copula functions (Clayton, Frank, Gaussian, Gumbel, and t), the Frank copula was selected as the superior option for calculating the joint probability distribution and generating sampling points for and supported by its highest log-likelihood value as detailed in Table 2.
Table 2.
Log-likelihood estimates and Spearman correlation coefficients for various copula functions.
This selection was further reinforced by the Frank copula’s precise alignment with the target Spearman correlation coefficient of –, derived from the observed source parameters. The Frank copula function is expressed as follows:
where and are the uniformly distributed random variables and is a parameter that characterizes the dependence structure between these variables. It is observed that recorded values of and from the 111 data points are more suitably represented by distinct probability distributions. The values follow a lognormal distribution, as expressed in:
where the mean , and the variance . Meanwhile, is better modeled by a Burr distribution written as:
where is the scale parameter, and and are the shape parameters. Figure 2 shows 10,000 pairs of sampled and from the five copula functions. The sampled pairs in Figure 2b exhibited a Spearman correlation of –, closely matching the Spearman correlation coefficient of – in the observed source parameters. It is confirmed that the sampled data points effectively reflect the dependence structure of the original data. Moreover, the sampling points generated using the Frank copula function preserve the probability distribution of the recorded source parameters as shown in Figure 3. It not only underscores the accuracy of the Frank copula in capturing the underlying data structure but also emphasizes its capability to maintain the integrity of statistical relationships.
Figure 2.
Sampled corner frequency and seismic moment using five different copula functions: (a) Clayton, (b) Frank, (c) Gaussian, (d) Gumbel, and (e) t.
Figure 3.
Probability density histograms and probability distributions of (a) corner frequency, modeled with a lognormal distribution, and (b) seismic moment, modeled with a Burr distribution (left panel) The lines represent the histogram and distribution curve fitted to records (solid) and samples (dashed).
2.3.2. Computation of PGA Probability Distributions from Artificial Earthquakes
Using Frank copula sampling, 10,000 sets of and were extracted. Equation (1), with the parameters and from Section 2.2.1, was then applied in the Monte Carlo Simulation (MCS) to generate artificial earthquakes as follows:
where denotes the i-th sample of the seismic moment, and represents the i-th sample of the corner frequency, as both and are paired values obtained through copula sampling. The MCS allows the exploration of a broad range of scenarios by incorporating variability in the source parameters. Statistical analysis was then conducted on the PGAs of the 10,000 generated artificial earthquakes.
The procedure of the proposed methodology to estimate probability distributions of PGA is as follows:
- (1)
- Obtain recorded source parameters from the earthquake source in the vicinity of the site of interest.
- (2)
- Determine the Probability Density Function (PDF) of source parameters using Equations (20) and (21).
- (3)
- Generate sample pairs of and by Frank copula sampling for use in MCS.
- (4)
- Define the seismological and geological parameters needed to compute the FAS.
- (5)
- Use the MCS to generate artificial earthquakes with Equation (22) and transform them into the time domain as described in Section 2.2.2.
- (6)
- Determine PGAs and calculate their probability distribution.
3. Results
This section presents a numerical simulation example demonstrating the effectiveness of the proposed method. In this example, different source-to-site distances (10, 25, 50, and 75 km) were selected to estimate the PGA probability distributions, while obtaining corresponding time histories and response spectra. At each distance, 10,000 samples of source parameters were used in the MCS to generate artificial earthquakes with a magnitude of 5.4, identical to the 2017 Pohang Earthquake.
The proposed methodology highlights the importance of detailed seismic analysis to ensure the safety and preparedness of critical infrastructure in proximity to the focus. For example, the Hangsa Dam, currently under construction and set to reach a height of 53 m, is located approximately 25 km from the epicenter. Additionally, the Wolseong Nuclear Power Plant is situated about 45 km from the focus. Another critical facility potentially at risk is the Andong Dam, which stands 83 m tall and is located 75 km from the epicenter.
Artificial earthquakes were generated as outlined in Section 2.3.2, resulting in the derivation of 10,000 PGAs for source-to-site distances of 10, 25, 50, and 75 km. A Kolmogorov–Smirnov test was then performed on the artificially generated PGAs at each distance. The test yielded p-values of 0.87, 0.30, 0.15, and 0.30, respectively, all of which exceed the 5% significance level, supporting the null hypothesis that the log-transformed PGAs follow a normal distribution. This confirms the assumption of normality for further statistical analysis. The probability distribution of PGAs at each distance was determined by fitting the data to a lognormal distribution, as in Equation (20), where it is also used for the probability distribution of . The parameters of this lognormal distribution for PGA, (mean) and (standard deviation) are shown in Table 3.
Table 3.
Parameters of PGA probability distributions for different source-to-site distances.
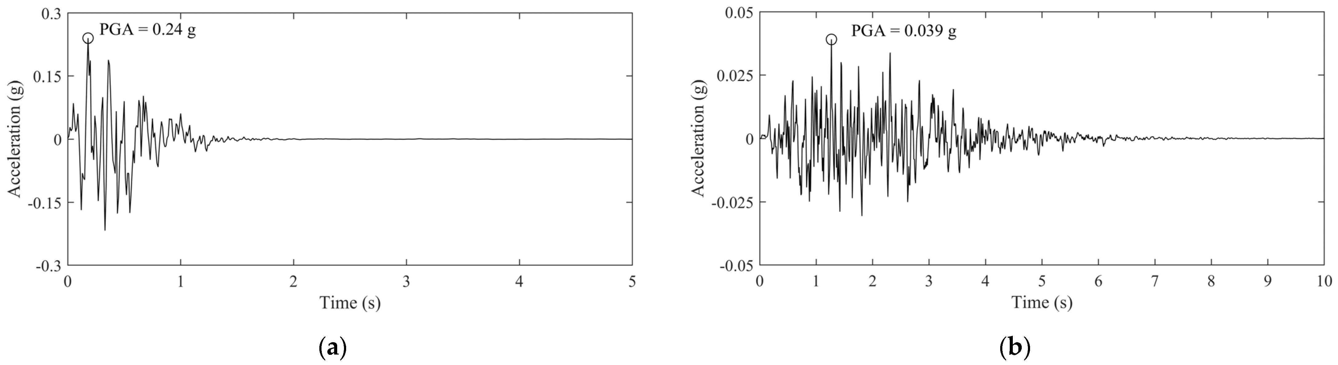
The time history corresponding to the median PGA from 10,000 artificial earthquakes at source-to-site distances of 10, 25, 50, and 75 km is presented in Figure 4, with the median PGAs of 0.24, 0.039, 0.012, and 0.0053 g, respectively. Figure 5 illustrates the response spectra for 100 artificial earthquakes across four different distances. These 100 spectra were selected from a set of 10,000 simulations, based on the smallest deviation between their individual PGAs and the median PGA for each distance. The PGAs from all generated earthquakes, created using the methodology in Section 2.3.2, are compared with recorded data from a total of 20 stations, as shown in Figure 6. Additionally, the PDFs for PGAs derived from artificial earthquakes closely conform to a lognormal distribution, as demonstrated in Figure 7. The parameters characterizing the lognormal distribution for each distance are detailed in Table 3.

Figure 4.
Time histories of artificial earthquakes with median PGA at source-to-site distances of (a) 10 km, (b) 25 km, (c) 50 km, and (d) 75 km. Circles indicate the PGAs.

Figure 5.
Response spectra for 100 out of 10,000 generated artificial earthquakes at source-to-site distances of (a) 10 km, (b) 25 km, (c) 50 km, and (d) 75 km. The black solid line represents the response spectrum for the median PGA of artificial earthquakes. The 100 spectra were chosen based on the smallest deviation between their individual PGAs and the median PGA.
Figure 6.
Distribution of PGAs from artificial earthquakes at four different source-to-site distances, along with the PGAs from actual earthquakes at 20 stations. Circles represent individual PGAs from stations, while x marks indicate the median PGAs of artificial earthquakes. It is noted that generated PGAs for all source-to-site distances are truncated at 0.5 g for data visibility.

Figure 7.
Probability density histograms and corresponding probability distribution curves for PGAs at a source-to-site distance of (a) 10 km, (b) 25 km, (c) 50 km, and (d) 75 km. Each distribution curve, depicted by a solid line, was fitted with a lognormal distribution.
4. Discussion
The PGAs recorded from 130 stations during the 2017 Pohang Earthquake are presented in Figure 8. Of these records, the PGAs at 20 stations within a source-to-site distance range of 11.56 to 99.8 km are used to validate the artificially generated earthquakes proposed in this study. While sufficient empirical data would enable more accurate PGA estimations, regions like the Korean Peninsula continue to face data limitations. This scarcity complicates direct comparisons between the PGAs of empirical records from actual earthquakes and those of artificial earthquakes.
Figure 8.
Source-to-site distance versus observed PGAs for the 2017 Pohang Earthquake recorded at 130 stations.
The close alignment between the median PGAs of the artificial and the recorded earthquake data, as shown in Figure 6, is attributed to the effective sampling of the randomly paired and sets. This representative sampling ensures consistency between the simulated and empirical medians, even with the limited number of available empirical records. By using consistent geological and seismological parameters across all distances and ensuring that the randomly sampled pairs reflect realistic physical characteristics, the model provides reliable predictions of actual ground motions. Moreover, according to Table 4, the percentage differences between the median PGAs of the empirical data and the artificial earthquakes are 11.76%, 8%, 22.22%, and 20.34% for the source-to-site distance ranges of 10, 25, 50, and 75 km, respectively, with an overall average difference of 15.58%.
Table 4.
Comparison of empirical and simulated PGAs by source-to-site distances.
Although the dataset expands as the source-to-site distance increases, the percentage difference between the empirical records and simulations does not necessarily decrease. However, a Mann–Whitney U test, which compares the distribution of PGAs rather than just their medians, yielded p-values of 0.84, 0.84, 0.09, and 0.10 for each case. These results, showing no significant statistical difference between the empirical and simulated PGA distributions (p > 0.05), indicate that the overall distributions and median PGAs of both the empirical records and the artificial earthquakes exhibit a high degree of similarity. This similarity reinforces the predictive accuracy of the present stochastic model, as more empirical data become available, enhancing its reliability as a consistent estimator. This correspondence with actual ground motion distributions provides a basis for further validating the proposed method.
Furthermore, the stochastic approach utilized in this study effectively models the probability distribution of PGA as a lognormal distribution, in agreement with findings from [45], which suggest that peak values of strong motion parameters are likely to follow a lognormal distribution. Figure 7 demonstrates that the PGAs from the artificial earthquakes generated in this study also exhibit this lognormal behavior. It supports the accuracy of the lognormal fittings applied and further illustrates the effectiveness of the stochastic approach for predicting PGA behavior in seismic analysis. By validating the model’s ability to generate reliable PGA probability distributions, the evidence underscores the robustness of the proposed method in accurately capturing realistic seismic behavior patterns.
5. Conclusions
In this study, we propose a new stochastic approach for generating probability distribution of Peak Ground Acceleration (PGA) based on recorded data from a single seismic event in regions with limited strong ground motion data. Conventional ground motion prediction techniques often fall short in these areas because they rely on historical data from seismically active regions. To address these limitations, the present study incorporates local site characteristics, source characteristics, and seismic wave propagation from a single seismic event into a stochastic point-source model, enabling the simulation of multiple artificial earthquakes.
In the proposed approach, it is assumed that the source parameters, and , which are recorded data from a single seismic event, are random variables. These parameters are demonstrated to be independent of the source-to-site distance, thereby incorporating the inherent uncertainty associated with them. It is also shown that the optimal copula function for capturing the relationship between and , is the Frank copula function. This function was selected from five copula functions based on the highest log-likelihood. By using the Frank copula function for sampling points, the reliability of the generated artificial earthquakes is significantly enhanced. It is concluded that the present approach, utilizing Monte Carlo Simulation (MCS) with random sampling of the two key parameters, successfully generates sets of artificial ground motions and their corresponding PGA distributions. The method’s effectiveness is validated by comparing the median PGAs of artificial earthquakes, generated from a single seismic event, across four different source-to-site distances with recorded data.
The derived probability distributions of PGA provide a rational method for selecting an appropriate set of artificial earthquakes for seismic safety assessments for high-rise buildings, large dams, nuclear power plants, and other critical infrastructures in regions like the Korean Peninsula, where strong seismic records are extremely rare. Given the scarcity of large-amplitude recorded ground motions in this region, the ability to generate and select reasonable artificial earthquakes from a single seismic event is particularly valuable. Consequently, the proposed stochastic approach is expected to significantly enhance the reliability of seismic safety assessments and provide a solid foundation for future research on earthquake ground motion prediction in regions with limited strong motion records. To further enhance the method’s reliability and broader applicability, future work should include validation against multiple seismic events of varying magnitudes. This comprehensive validation approach would better establish the robustness of the proposed method across diverse seismic scenarios.
Author Contributions
Conceptualization, J.L.; Data curation, J.S.; Formal analysis, J.S.; Funding acquisition, J.L.; Investigation, J.S.; Methodology, J.S. and J.L.; Project administration, J.L.; Resources, J.L.; Software, J.S.; Validation, J.S. and J.L.; Writing—original draft, J.S. and J.L.; Writing—review and editing, J.S. and J.L. All authors have read and agreed to the published version of the manuscript.
Funding
The APC was partly funded by the Dongguk University Graduate School.
Institutional Review Board Statement
Not applicable.
Informed Consent Statement
Not applicable.
Data Availability Statement
The raw data supporting the conclusions of this article will be made available by the authors on request.
Acknowledgments
This work was supported by the Dongguk University Research Fund of 2024.
Conflicts of Interest
The authors declare no conflicts of interest.
References
- NECIS-National Earthquake Comprehensive Information System. Available online: https://necis.kma.go.kr/necis-dbf/usermain/new/common/mainMapForm.do (accessed on 10 April 2024).
- Search Earthquake Catalog. Available online: https://earthquake.usgs.gov/earthquakes/search/ (accessed on 10 April 2024).
- Nuclear Power in South Korea. Available online: https://world-nuclear.org/information-library/country-profiles/countries-o-s/south-korea.aspx (accessed on 10 April 2024).
- Kwater. Available online: https://www.kwater.or.kr/eng/busi/resoPage.do?s_mid%5Cu003d1179= (accessed on 10 April 2024).
- Gasparini, D.; Vanmarcke, E.H. SIMQKE: A Program for Artificial Motion Generation: User’s Manual and Documentation; Department of Civil Engineering, Massachusetts Institute of Technology: Massachusetts, MA, USA, 1976. [Google Scholar]
- Boore, D.M. Simulation of ground motion using the stochastic method. Pure. Appl. Geophys. 2003, 160, 635–676. [Google Scholar] [CrossRef]
- Campbell, K.W. Prediction of strong ground motion using the hybrid empirical method and its use in the development of ground-motion (attenuation) relations in eastern North America. Bull. Seismol. Soc. Am. 2003, 93, 1012–1033. [Google Scholar] [CrossRef]
- Rezaeian, S.; Der Kiureghian, A. A stochastic ground motion model with separable temporal and spectral nonstationarities. Earthq. Eng. Struct. Dyn. 2008, 37, 1565–1584. [Google Scholar] [CrossRef]
- Rezaeian, S.; Der Kiureghian, A. Simulation of synthetic ground motions for specified earthquake and site characteristics. Earthq. Eng. Struct. Dyn. 2010, 39, 1155–1180. [Google Scholar] [CrossRef]
- Nau, J.M.; Hall, W.J. Scaling methods for earthquake response spectra. J. Struct. Eng. 1984, 110, 1533–1548. [Google Scholar] [CrossRef]
- Vidic, T.; Fajfar, P.; Fischinger, M. Consistent inelastic design spectra: Strength and displacement. Earthq. Eng. Struct. Dyn. 1994, 23, 507–521. [Google Scholar] [CrossRef]
- Khansoltani, E.; Shakeri, K. Scaling of ground motion records for nonlinear time history analysis of structures. In Proceedings of the 7th International Conference on Seismology and Earthquake Engineering, Teheran, Iran, 18–21 May 2015. [Google Scholar]
- Vanmarcke, E.H.; Gasparini, D.A. Simulated earthquake ground motions. In Proceedings of the 4th International Conference on Structural Mechanics in Reactor Technology, San Francisco, CA, USA, 15–19 August 1977. [Google Scholar]
- Tolis, S.V.; Faccioli, E. Displacement design spectra. J. Earthq. Eng. 1999, 3, 107–125. [Google Scholar] [CrossRef]
- Erduran, E.; Lindholm, C. A Critical Look at the Use of Design Spectrum Shape for Seismic Risk Assessment. Earthq. Spectra 2012, 28, 1711–1721. [Google Scholar] [CrossRef]
- Baker, J.; Bradley, B.; Stafford, P. Physics-Based Ground-Motion Characterization. In Seismic Hazard and Risk Analysis; Cambridge University Press: Cambridge, UK, 2021; pp. 196–233. [Google Scholar]
- Bora, S.S.; Scherbaum, F.; Kuehn, N.; Stafford, P. Fourier spectral-and duration models for the generation of response spectra adjustable to different source-, propagation-, and site conditions. Bull. Earthq. Eng. 2014, 12, 467–493. [Google Scholar] [CrossRef]
- Shearer, P.M. The Seismic Wave Equation. In Introduction to Seismology, 3rd ed.; Cambridge University Press: Cambridge, UK, 2019; pp. 39–60. [Google Scholar]
- Sun, X.; Hartzell, S.; Rezaeian, S. Ground-motion simulation for the 23 August 2011, Mineral, Virginia, earthquake using physics-based and stochastic broadband methods. Bull. Seismol. Soc. Am. 2015, 105, 2641–2661. [Google Scholar] [CrossRef]
- Brune, J.N. Tectonic stress and the spectra of seismic shear waves from earthquakes. J. Geophys. Res. 1970, 75, 4997–5009. [Google Scholar] [CrossRef]
- Shi, J.; Kim, W.Y.; Richards, P.G. The corner frequencies and stress drops of intraplate earthquakes in the northeastern United States. Bull. Seismol. Soc. Am. 1998, 88, 531–542. [Google Scholar] [CrossRef]
- Jee, H.W.; Han, S.W. Regional ground motion prediction equation developed for the Korean Peninsula using recorded and simulated ground motions. J. Earthq. Eng. 2022, 26, 5384–5406. [Google Scholar] [CrossRef]
- Beyreuther, M.; Barsch, R.; Krischer, L.; Megies, T.; Behr, Y.; Wassermann, J. ObsPy: A Python toolbox for seismology. Seismol. Res. Lett. 2010, 81, 530–533. [Google Scholar] [CrossRef]
- Kwon, J.; Heo, T.; Kim, J.K.; Oh, H.S. A New P-Wave Detector via Moving Empirical Cumulative Distribution Function. Bull. Seismol. Soc. Am. 2018, 108, 2080–2089. [Google Scholar] [CrossRef]
- Anderson, J.G.; Hough, S.E. A model for the shape of the Fourier amplitude spectrum of acceleration at high frequencies. Bull. Seismol. Soc. Am. 1984, 74, 1969–1993. [Google Scholar]
- Ktenidou, O.J.; Gélis, C.; Bonilla, L.F. A study on the variability of kappa (κ) in a borehole: Implications of the computation process. Bull. Seismol. Soc. Am. 2013, 103, 1048–1068. [Google Scholar] [CrossRef]
- Zhao, J.X.; Irikura, K.; Zhang, J.; Fukushima, Y.; Somerville, P.G.; Asano, A.; Ohno, Y.; Oouchi, T.; Takahashi, T.; Ogawa, H. An empirical site-classification method for strong-motion stations in Japan using H/V response spectral ratio. Bull. Seismol. Soc. Am. 2006, 96, 914–925. [Google Scholar] [CrossRef]
- Atkinson, G.M. Empirical attenuation of ground-motion spectral amplitudes in southeastern Canada and the northeastern United States. Bull. Seismol. Soc. Am. 2004, 94, 1079–1095. [Google Scholar] [CrossRef]
- Atkinson, G.M.; Silva, W. Stochastic modeling of California ground motions. Bull. Seismol. Soc. Am. 2000, 90, 255–274. [Google Scholar] [CrossRef]
- Boore, D.M.; Boatwright, J. Average body-wave radiation coefficients. Bull. Seismol. Soc. Am. 1984, 74, 1615–1621. [Google Scholar] [CrossRef]
- Atkinson, G.M.; Boore, D.M. Ground-motion relations for eastern North America. Bull. Seismol. Soc. Am. 1995, 85, 17–30. [Google Scholar] [CrossRef]
- Kim, S.K. A study on the crustal structure of the Korean Peninsula. J. Geol. Soc. Korea. 1995, 31, 393–403. (In Korean) [Google Scholar]
- Andrews, D.J. Objective determination of source parameters and similarity of earthquakes of different size. In Earthquake Source Mechanics; Das, S., Boatwright, J., Scholz, C.H., Eds.; American Geophysical Union: Washington, DC, USA, 1986; Volume 37, pp. 259–267. [Google Scholar]
- Snoke, J.A. Stable determination of (Brune) stress drops. Bull. Seismol. Soc. Am. 1987, 77, 530–538. [Google Scholar]
- Lam, N.; Wilson, J.; Hutchinson, G. Generation of synthetic earthquake accelerograms using seismological modelling: A review. J. Earthq. Eng. 2000, 4, 321–354. [Google Scholar] [CrossRef]
- Saragoni, G.R.; Hart, G.C. Simulation of artificial earthquakes. Earthq. Eng. Struct. Dyn. 1973, 2, 249–267. [Google Scholar] [CrossRef]
- Boore, D.M. Stochastic simulation of high-frequency ground motions based on seismological models of the radiated spectra. Bull. Seismol. Soc. Am. 1983, 73, 1865–1894. [Google Scholar]
- Boatwright, J.; Choy, G.L. Acceleration source spectra anticipated for large earthquakes in northeastern North America. Bull. Seismol. Soc. Am. 1992, 82, 660–682. [Google Scholar]
- De Michele, C.; Salvadori, G.; Canossi, M.; Petaccia, A.; Rosso, R. Bivariate Statistical Approach to Check Adequacy of Dam Spillway. J. Hydrol. Eng. 2005, 10, 50–57. [Google Scholar] [CrossRef]
- Genest, C.; Favre, A.C. Everything You Always Wanted to Know about Copula Modeling but Were Afraid to Ask. J. Hydrol. Eng. 2007, 12, 347–368. [Google Scholar] [CrossRef]
- Genest, C.; Rémillard, B.; Beaudoin, D. Goodness-of-fit tests for copulas: A review and a power study. Insur. Math. Econ. 2009, 44, 199–213. [Google Scholar] [CrossRef]
- Goda, K.; Atkinson, G.M. Interperiod Dependence of Ground-Motion Prediction Equations: A Copula Perspective. Bull. Seismol. Soc. Am. 2009, 99, 922–927. [Google Scholar] [CrossRef]
- Xu, Y.; Tang, X.S.; Wang, J.P.; Kuo-Chen, H. Copula-based joint probability function for PGA and CAV: A case study from Taiwan: Joint Probability Function for PGA and CAV. Earthq. Eng. Struct. Dyn. 2016, 45, 2123–2136. [Google Scholar] [CrossRef]
- Sklar, M. Fonctions de Répartition à N Dimensions et Leurs Marges; Annales de l’ISUP: Paris, France, 1959; pp. 229–231. [Google Scholar]
- Kramer, S.L. Estimation of Ground Motion Parameters. In Geotechnical Earthquake Engineering; Pearson Education India: Chennai, India, 1996; p. 87. [Google Scholar]
Disclaimer/Publisher’s Note: The statements, opinions and data contained in all publications are solely those of the individual author(s) and contributor(s) and not of MDPI and/or the editor(s). MDPI and/or the editor(s) disclaim responsibility for any injury to people or property resulting from any ideas, methods, instructions or products referred to in the content. |
© 2024 by the authors. Licensee MDPI, Basel, Switzerland. This article is an open access article distributed under the terms and conditions of the Creative Commons Attribution (CC BY) license (https://creativecommons.org/licenses/by/4.0/).










