A Size Effect Model Combining Both Surface Effects and the Fracture Process Zone (FPZ) for Rocks under Uniaxial Compression
Abstract
1. Introduction
2. Development of a Combined Size Effect Model for Rocks under Uniaxial Compression
2.1. Size Effect Model of Surface Effects
2.2. Establishment of a Combined Size Effect Model
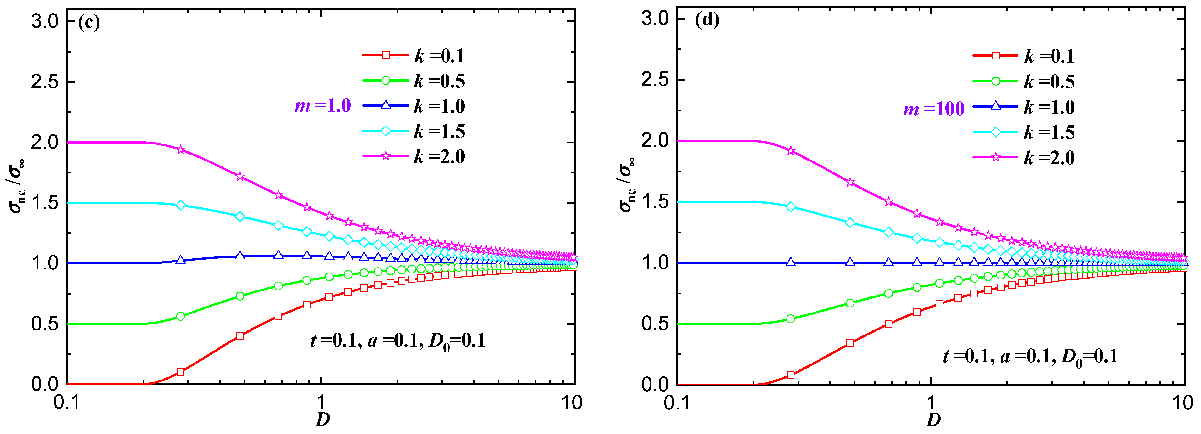
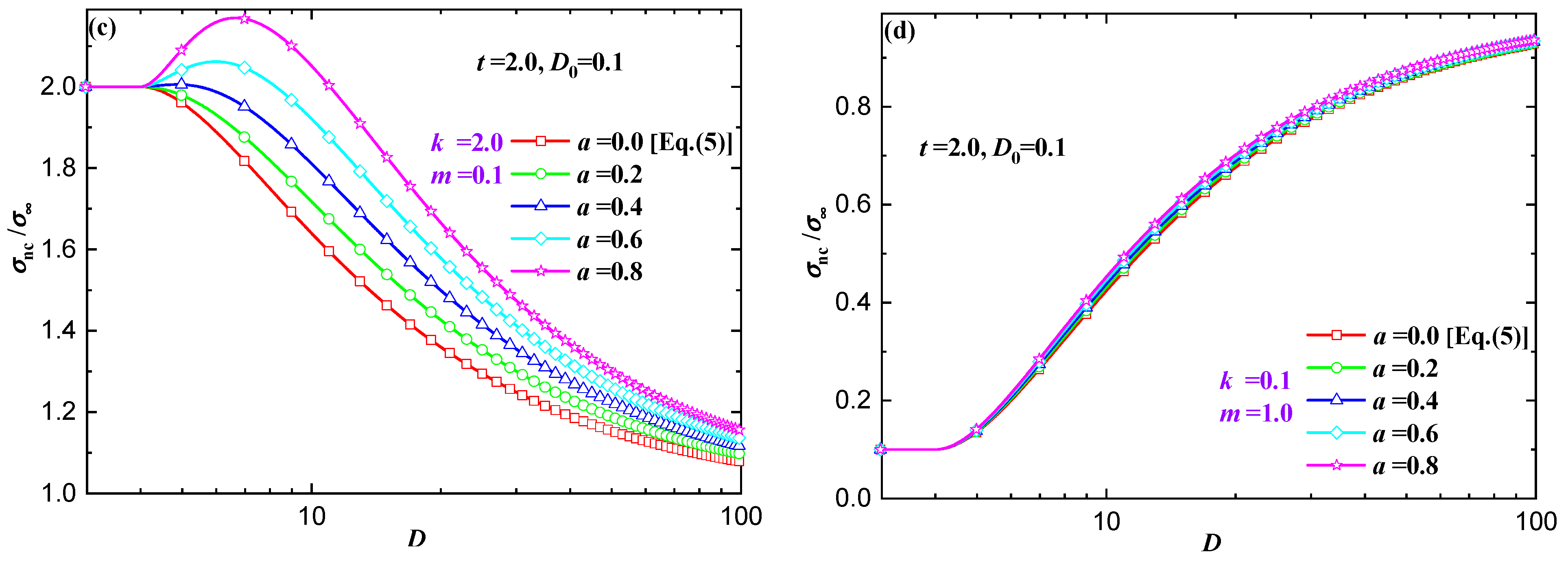
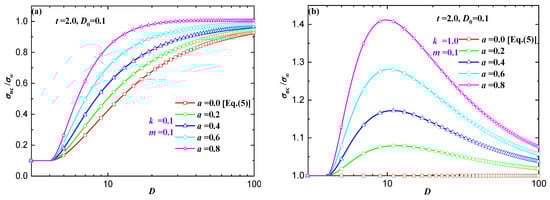
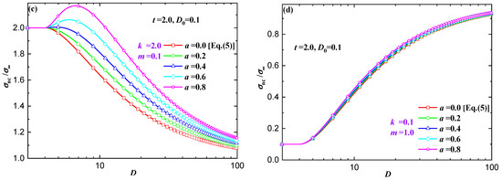
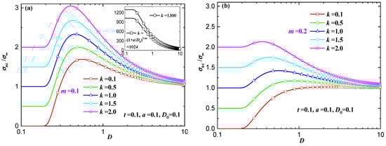
2.3. Effect of Parameters on the Combined Size Effect Model
3. Validation of the Combined Size Effect Model (CSE Model)
3.1. Application to Three Types of Size Effects
3.2. Comparison with Other Size Effect Models
4. Conclusions
Author Contributions
Funding
Institutional Review Board Statement
Informed Consent Statement
Data Availability Statement
Conflicts of Interest
References
- Bažant, Z.P.; Nguyen, H.T.; Dönmez, A.A. Scaling in size, time and risk—The problem of huge extrapolations and remedy by asymptotic matching. J. Mech. Phys. Solids 2023, 170, 105094. [Google Scholar] [CrossRef]
- Hu, X.; Li, Q.; Wu, Z.; Yang, S. Modelling fracture process zone width and length for quasi-brittle fracture of rock, concrete and ceramics. Eng. Fract. Mech. 2022, 259, 108158. [Google Scholar] [CrossRef]
- Invernizzi, S.; Montagnoli, F.; Carpinteri, A. Experimental Evidence of Specimen-Size Effects on EN-AW6082 Aluminum Alloy in VHCF Regime. Appl. Sci. 2021, 11, 4272. [Google Scholar] [CrossRef]
- Gao, X.; Liu, C.; Tan, Y.; Yang, N.; Qiao, Y.; Hu, Y.; Li, Q.; Koval, G.; Chazallon, C. Determination of Fracture Properties of Concrete Using Size and Boundary Effect Models. Appl. Sci. 2019, 9, 1337. [Google Scholar] [CrossRef]
- Alberto, C.; Nicola, P. Are scaling laws on strength of solids related to mechanics or to geometry? Nat. Mater. 2005, 4, 421–423. [Google Scholar]
- Walley, S.M.; Rogers, S.J. Is Wood a Material? Taking the Size Effect Seriously. Materials 2022, 15, 5403. [Google Scholar] [CrossRef]
- Guan, J.; Hu, X.; Yao, X.; Wang, Q.; Li, Q.; Wu, Z. Fracture of 0.1 and 2 m long mortar beams under three-point-bending. Mater. Des. 2017, 133, 363–375. [Google Scholar] [CrossRef]
- Vu, C.C.; Weiss, J.; Ple, O.; Amitrano, D.; Vandembroucq, D. Revisiting statistical size effects on compressive failure of heterogeneous materials, with a special focus on concrete. J. Mech. Phys. Solids 2018, 121, 47–70. [Google Scholar] [CrossRef]
- Du, Y.; Zhao, Z.; Xiao, Q.; Shi, F.; Yang, J.; Gao, P. Experimental Study on the Mechanical Properties and Compression Size Effect of Recycled Aggregate Concrete. Materials 2021, 14, 2323. [Google Scholar] [CrossRef]
- Nishimatsu, Y.; Yamaguchi, U.; Motosugi, K.; Morita, M. The size effect and experimental error of the strength of rocks. J. Min. Mater. Process Inst. Jpn. 1969, 18, 1019–1025. (In Japanese) [Google Scholar] [CrossRef]
- Hawkins, A.B. Aspects of rock strength. Bull. Eng. Geol. Environ. 1998, 57, 17–30. [Google Scholar] [CrossRef]
- Masoumi, H. Investigation into the Mechanical Behaviour of Intact Rock at Different Sizes. Ph.D. Dissertation, University of New South Wales, Sydney, Australia, 2013. [Google Scholar]
- Picazo, Á.; Alberti, M.G.; Gálvez, J.C.; Enfedaque, A.; Vega, A.C. The size effect on flexural fracture of polyolefin fibre-reinforced concrete. Appl. Sci. 2019, 9, 1762. [Google Scholar] [CrossRef]
- Zhai, H.; Masoumi, H.; Zoorabadi, M.; Canbulat, I. Size-dependent Behaviour of Weak Intact Rocks. Rock Mech. Rock Eng. 2020, 53, 3563–3587. [Google Scholar] [CrossRef]
- Pérez-Rey, I.; Muñoz-Ibáñez, A.; González-Fernández, M.A.; Muñiz-Menéndez, M.; Herbón Penabad, M.; Estévez-Ventosa, X.; Delgado, J.; Alejano, L.R. Size effects on the tensile strength and fracture toughness of granitic rock in different tests. J. Rock Mech. Geotech. Eng. 2022, 15, 2179–2192. [Google Scholar] [CrossRef]
- Yan, M.L.; Xie, J.; Yan, J.B. Experimental study on size effect and durability properties of PVA reinforced ice at Arctic low temperatures. J. Build. Eng. 2023, 65, 105757. [Google Scholar] [CrossRef]
- Kong, X.; Liu, Q.; Lu, H. Effects of rock specimen size on mechanical properties in laboratory testing. J. Geotech. Geoenvironmental Eng. 2021, 147, 04021013. [Google Scholar] [CrossRef]
- Ferro, G.; Carpinteri, A. Effect of specimen size on the dissipated energy density in compression. J. Appl. Mech. 2008, 75, 041003. [Google Scholar] [CrossRef]
- Sinha, S.; Walton, G.; Chaurasia, A.; Diederichs, M.; Batchler, T. Evaluating size effects for a porous, weak, homogeneous limestone. Rock Mech. Rock Eng. 2022, 56, 3755–3772. [Google Scholar] [CrossRef]
- Deresse, N.E.; Van Steen, C.; Sarem, M.; François, S.; Verstrynge, E. Acoustic Emission Analysis of Fracture and Size Effect in Cementitious Mortars. Appl. Sci. 2022, 12, 3489. [Google Scholar] [CrossRef]
- Pan, R.; Song, X.; He, W.; Qin, L. Direct shear strength of UHPC considering size effect: Theoretical model and experimental verification. J. Build. Eng. 2023, 71, 106381. [Google Scholar] [CrossRef]
- Bazant, Z.P.; Chen, E.P. Scaling of Structural Failure. Appl. Mech. Rev. 1997, 50, 593–627. [Google Scholar] [CrossRef]
- Carpinteri, A.; Cornetti, P.; Puzzi, S. Scaling laws and multiscale approach in the mechanics of heterogeneous and disordered materials. Appl. Mech. Rev. 2006, 59, 283–305. [Google Scholar] [CrossRef]
- Griffith, A.A. The phenomena of rupture and flow in solids. Philos. Trans. R. Soc. Lond. 1921, 221, 163–198. [Google Scholar]
- Wang, J.H.; Jia, J.N.; Sun, S.; Zhang, T.Y. Statistical learning of small data with domain knowledge -sample size- and pre-notch length- dependent strength of concrete. Eng. Fract. Mech. 2022, 259, 108160. [Google Scholar] [CrossRef]
- Lei, W.S.; Qian, G.; Yu, Z.; Berto, F. Statistical size scaling of compressive strength of quasi-brittle materials incorporating specimen length-to-diameter ratio effect. Theor. Appl. Fract. Mech. 2019, 104, 102345. [Google Scholar] [CrossRef]
- Alava, M.J.; Nukala, P.K.V.V.; Zapperi, S. Size effects in statistical fracture. J. Phys. D Appl. Phys. 2009, 42, 214012. [Google Scholar] [CrossRef]
- Bažant, Z.P. Size effect. Int. J. Solids Struct. 2000, 37, 69–80. [Google Scholar] [CrossRef]
- Mastilovic, S.; Djordjevic, B.; Sedmak, A. A scaling approach to size effect modeling of Jc CDF for 20MnMoNi55 reactor steel in transition temperature region. Eng. Fail. Anal. 2022, 131, 105838. [Google Scholar] [CrossRef]
- Doitrand, A.; Henry, R.; Lube, T.; Meille, S. Size effect assessment by Weibull’s approach and the coupled criterion. Eng. Fract. Mech. 2021, 256, 107979. [Google Scholar] [CrossRef]
- Ferrarese, A.; Boursier Niutta, C.; Ciampaglia, A.; Paolino, D.S. A Statistical Mesoscale Approach to Model the Size Effect on the Tensile Strength of Notched Woven Composites. Appl. Sci. 2024, 14, 3467. [Google Scholar] [CrossRef]
- Dyskin, A.V.; Vliet, M.R.A.V.; Mier, J.G.M.V. Size effect in tensile strength caused by stress fluctuations. Int. J. Fract. 2001, 108, 43–61. [Google Scholar] [CrossRef]
- Van Vliet, M.R.A.; Van Mier, J.G.M. Effect of strain gradients on the size effect of concrete in uniaxial tension. Int. J. Fract. 1999, 95, 195–219. [Google Scholar] [CrossRef]
- Bažant, Z.P. Size Effect in Blunt Fracture: Concrete, Rock, Metal. J. Eng. Mech. 1984, 110, 518–535. [Google Scholar] [CrossRef]
- Leicester, R. The size effect of notches. In Proceedings of the Second Australasian Conference on Mechanics of Materials and Structures, Melbourne, Australia, 25–27 August 1969; pp. 1–20. [Google Scholar]
- Carpinteri, A.; Cornetti, P.; Barpi, F.; Valente, S. Cohesive crack model description of ductile to brittle size-scale transition: Dimensional analysis vs. renormalization group theory. Eng. Fract. Mech. 2003, 70, 1809–1839. [Google Scholar] [CrossRef]
- Carpinteri, A. Notch sensitivity in fracture testing of aggregative materials. Eng. Fract. Mech. 1982, 16, 467–481. [Google Scholar] [CrossRef]
- Carpinteri, A. Scaling laws and renormalization groups for strength and toughness of disordered materials. Int. J. Solids Struct. 1994, 31, 291–302. [Google Scholar] [CrossRef]
- Carpinteri, A. Fractal nature of material microstructure and size effects on apparent mechanical properties. Mech. Mater. 1994, 18, 89–101. [Google Scholar] [CrossRef]
- Carpinteri, A.; Chiaia, B.; Ferro, G. Size effects on nominal tensile strength of concrete structures: Multifractality of material ligaments and dimensional transition from order to disorder. Mech. Mater. 1995, 28, 311–317. [Google Scholar] [CrossRef]
- Carpinteri, A.; Chiaia, B.; Cornetti, P.; Puzzi, S. Comments on “Is the cause of size effect on structural strength fractal or energetic-statistical?” by Bažant & Yavari [Engng Fract Mech 2005;72:1–31]. Eng. Fract. Mech. 2007, 74, 2892–2896. [Google Scholar] [CrossRef]
- Bažant, Z.P.; Yu, Q. Universal size effect law and effect of crack depth on quasi-brittle structure strength. J. Eng. Mech. 2009, 135, 78–84. [Google Scholar] [CrossRef]
- Hoover, C.G.; Bažant, Z.P. Universal Size-Shape Effect Law Based on Comprehensive Concrete Fracture Tests. J. Eng. Mech. 2014, 140, 473–479. [Google Scholar] [CrossRef]
- Hu, X.; Wittmann, F. Size effect on toughness induced by crack close to free surface. Eng. Fract. Mech. 2000, 65, 209–221. [Google Scholar] [CrossRef]
- Hu, X.; Guan, J.; Wang, Y.; Keating, A.; Yang, S. Comparison of boundary and size effect models based on new developments. Eng. Fract. Mech. 2017, 175, 146–167. [Google Scholar] [CrossRef]
- Chen, Y.; Hu, X. On interchangeability and selection of size effect and boundary effect experiments for characterization and prediction of quasi-brittle fracture of concrete. Theor. Appl. Fract. Mech. 2022, 122, 103629. [Google Scholar] [CrossRef]
- Gao, X.; Koval, G.; Chazallon, C. Energetical formulation of size effect law for quasi-brittle fracture. Eng. Fract. Mech. 2017, 175, 279–292. [Google Scholar] [CrossRef]
- Karihaloo, B. Size effect in shallow and deep notched quasi-brittle structures. In Fracture Scaling; Springer: Berlin/Heidelberg, Germany, 1999; pp. 379–390. [Google Scholar]
- Sun, Y.; Xiang, Z. A nondimensional framework for size dependent quasi-brittle fracture criteria. Eng. Fract. Mech. 2020, 236, 107220. [Google Scholar] [CrossRef]
- Taylor, D. The theory of critical distances. Eng. Fract. Mech. 2008, 75, 1696–1705. [Google Scholar] [CrossRef]
- Feng, D.C.; Wu, J.Y. Phase-field regularized cohesive zone model (CZM) and size effect of concrete. Eng. Fract. Mech. 2018, 197, 66–79. [Google Scholar] [CrossRef]
- Wu, J.Y.; Yao, J.R. A model scaling approach for fracture and size effect simulations in solids: Cohesive zone, smeared crack band and phase-field models. Comput. Methods Appl. Mech. Eng. 2022, 400, 115519. [Google Scholar] [CrossRef]
- Suchorzewski, J.; Nitka, M. Size effect at aggregate level in microCT scans and DEM simulation—Splitting tensile test of concrete. Eng. Fract. Mech. 2022, 264, 108357. [Google Scholar] [CrossRef]
- Wang, J.; Wu, Q.; Guan, J.; Zhang, P.; Fang, H.; Hu, S. Numerical Simulation on Size Effect of Fracture Toughness of Concrete Based on Mesomechanics. Materials 2020, 13, 1370. [Google Scholar] [CrossRef] [PubMed]
- Havlásek, P.; Grassl, P.; Jirásek, M. Analysis of size effect on strength of quasi-brittle materials using integral-type nonlocal models. Eng. Fract. Mech. 2016, 157, 72–85. [Google Scholar] [CrossRef]
- Liu, X.; Zhang, H.; Luo, S. Size effect model of nominal tensile strength with competing mechanisms between maximum defect and fracture process zone (CDF model) for quasi-brittle materials. Constr. Build. Mater. 2023, 399, 132538. [Google Scholar] [CrossRef]
- Le, J.L.; Xue, B. Energetic-statistical size effect in fracture of bimaterial hybrid structures. Eng. Fract. Mech. 2013, 111, 106–115. [Google Scholar] [CrossRef]
- Bažant, Z.P. Scaling of quasibrittle fracture: Hypotheses of invasive and lacunar fractality, their critique and Weibull connection. Int. J. Fract. 1997, 83, 41–65. [Google Scholar] [CrossRef]
- Vořechovský, M. Interplay of size effects in concrete specimens under tension studied via computational stochastic fracture mechanics. Int. J. Solids Struct. 2007, 44, 2715–2731. [Google Scholar] [CrossRef]
- Andrianopoulos, N.P.; Manolopoulos, V.M.; Dernikas, I.T. Failure criteria: Old wines in new bottles? Theor. Appl. Fract. Mech. 2014, 71, 79–84. [Google Scholar] [CrossRef]
- Masoumi, H.; Saydam, S.; Hagan, P.C. Unified size-effect law for intact rock. Int. J. Geomech. 2016, 16, 04015059. [Google Scholar] [CrossRef]
- Hoskins, J.R.; Horino, F.G. Influence of Spherical Head Size and Specimen Diameters on the Uniaxial Compressive Strength of Rocks; US Department of the Interior, Bureau of Mines: Washington, DC, USA, 1969; Volume 7234. [Google Scholar]
- Vutukuri, V.S.; Lama, R.D.; Saluja, S.S. Handbook on Mechanical Properties of Rocks; Trans Tech Publications: Clausthal, Germany, 1974. [Google Scholar]
- Bahrani, N.; Kaiser, P.K. Numerical investigation of the influence of specimen size on the unconfined strength of defected rocks. Comput. Geotech. 2016, 77, 56–67. [Google Scholar] [CrossRef]
- Liang, Z.; Wu, N.; Li, Y.; Li, H.; Li, W. Numerical study on anisotropy of the representative elementary volume of strength and deformability of jointed rock masses. Rock Mech. Rock Eng. 2019, 52, 4387–4402. [Google Scholar] [CrossRef]
- Quinones, J.; Arzúa, J.; Alejano, L.; García-Bastante, F.; Ivars, D.M.; Walton, G. Analysis of size effects on the geomechanical parameters of intact granite samples under unconfined conditions. Acta Geotech. 2017, 12, 1229–1242. [Google Scholar] [CrossRef]
- González-Fernández, M.A.; Estévez-Ventosa, X.; Alejano, L.R.; Masoumi, H. Size-dependent behaviour of hard rock under triaxial loading. Rock Mech. Rock Eng. 2023, 56, 6009–6025. [Google Scholar] [CrossRef]
- Wang, Z. Experimental Study on Size Effect of Rock Strength and Acoustic Emission under Uniaxial Compression. Master’s Thesis, Shaoxing University, Shaoxing, China, 2022. [Google Scholar]
- Lee, Y.J.; Wang, H. Current understanding of surface effects in microcutting. Mater. Des. 2020, 192, 108688. [Google Scholar] [CrossRef]
- Zhang, D.; Li, H.; Guo, X.; Yang, Y.; Yang, X.; Feng, Z. An insight into size effect on fracture behavior of Inconel 718 cross-scaled foils. Int. J. Plast. 2022, 153, 103274. [Google Scholar] [CrossRef]
- Zhou, X.; Zhou, H.; Li, X.; Chen, C. Size effects on tensile and compressive strengths in metallic glass nanowires. J. Mech. Phys. Solids 2015, 84, 130–144. [Google Scholar] [CrossRef]
- Zhang, W.; Wang, T.; Chen, X. Effect of surface stress on the asymmetric yield strength of nanowires. J. Appl. Phys. 2008, 103. [Google Scholar] [CrossRef]
- Li, Q.J.; Xu, B.; Hara, S.; Li, J.; Ma, E. Sample-size-dependent surface dislocation nucleation in nanoscale crystals. Acta Mater. 2018, 145, 19–29. [Google Scholar] [CrossRef]
- Zhao, Z.; Yang, G.; Li, G.; Zhang, K. Effects of the Length–Diameter ratio on the dissipation energy in the process of rock deformation and failure. Energy Rep. 2022, 8, 13369–13375. [Google Scholar] [CrossRef]
- Gao, M.; Liang, Z.; Li, Y.; Wu, X.; Zhang, M. End and shape effects of brittle rock under uniaxial compression. Arab. J. Geosci. 2018, 11, 614. [Google Scholar] [CrossRef]
- Chaurasia, A.; Walton, G. Laboratory and numerical modeling of the effects of width-to-height ratio on the strength and deformation behavior of pillars composed of porous, weak limestone. Rock Mech. Rock Eng. 2024, 57, 719–738. [Google Scholar] [CrossRef]
- Alejano, L.R.; Walton, G.; Gaines, S. Residual strength of granitic rocks. Tunn. Undergr. Sp. Tech. 2021, 118, 104189. [Google Scholar] [CrossRef]
- Song, X. Research on Structure Effect and Size Effect of Mechanical Parameters of Fractured Rock Mass. Master’s Thesis, Taiyuan University of Technology, Taiyuan, China, 2021. [Google Scholar]
- Zhu, Z.; Wang, L.; Mohanty, B.; Huang, C. Stress intensity factor for a cracked specimen under compression. Eng. Fract. Mech. 2006, 73, 482–489. [Google Scholar] [CrossRef]
- Liu, H.; Lv, S. A model for the wing crack initiation and propagation of the inclined crack under uniaxial compression. Int. J. Rock Mech. Min. Sci. 2019, 123, 104121. [Google Scholar] [CrossRef]
- Fan, Y.; Zhu, Z.; Zhao, Y.; Zhou, L.; Qiu, H.; Niu, C. Analytical solution of T-stresses for an inclined crack in compression. Int. J. Rock Mech. Min. Sci. 2021, 138, 104433. [Google Scholar] [CrossRef]
- Anderson, T.L.; Anderson, T.L. Fracture Mechanics: Fundamentals and Applications; CRC Press: Boca Raton, FL, USA, 2005. [Google Scholar]
- Hoover, C.G.; Bažant, Z.P.; Vorel, J.; Wendner, R.; Hubler, M.H. Comprehensive concrete fracture tests: Description and results. Eng. Fract. Mech. 2013, 114, 92–103. [Google Scholar] [CrossRef]
- Aliha, M.; Ayatollahi, M.; Smith, D.; Pavier, M. Geometry and size effects on fracture trajectory in a limestone rock under mixed mode loading. Eng. Fract. Mech. 2010, 77, 2200–2212. [Google Scholar] [CrossRef]
- Ayatollahi, M.; Akbardoost, J. Size effects in mode II brittle fracture of rocks. Eng. Fract. Mech. 2013, 112, 165–180. [Google Scholar] [CrossRef]
- Barbat, G.B.; Cervera, M.; Chiumenti, M.; Espinoza, E. Structural size effect: Experimental, theoretical and accurate computational assessment. Eng. Struct. 2020, 213, 110555. [Google Scholar] [CrossRef]
- Guan, J.; Liu, L.; Yao, X.; Meng, J.; Han, L. Study on the strength size effect of wastewater concrete under freeze-thaw cycles. Constr. Build. Mater. 2024, 438, 137074. [Google Scholar] [CrossRef]
- Bieniawski, Z.T. The effect of specimen size on compressive strength of coal. Int. J. Rock Mech. Min. Sci. Geomech. Abstr. 1968, 5, 325–335. [Google Scholar] [CrossRef]
- Li, K.; Cheng, Y.; Fan, X. Roles of model size and particle size distribution on macro-mechanical properties of Lac du Bonnet granite using flat-joint model. Comput. Geotech. 2018, 103, 43–60. [Google Scholar] [CrossRef]
- Zhang, J.Z.; Zhou, X.P. Fracture process zone (FPZ) in quasi-brittle materials: Review and new insights from flawed granite subjected to uniaxial stress. Eng. Fract. Mech. 2022, 274, 108795. [Google Scholar] [CrossRef]
- Chen, Y.; Wei, J.; Huang, H.; Jin, W.; Yu, Q. Application of 3D-DIC to characterize the effect of aggregate size and volume on non-uniform shrinkage strain distribution in concrete. Cem. Concr. Compos. 2018, 86, 178–189. [Google Scholar] [CrossRef]
- Xing, T.; Zhu, H.; Song, Y. Experimental Study on Rock Deformation Localization Using Digital Image Correlation and Acoustic Emission. Appl. Sci. 2024, 14, 5355. [Google Scholar] [CrossRef]
- Yan, X.; Liu, Y.; Yang, S.; Jin, Y.; Chen, M. Experimental Investigation on Failure Characteristics of Pre-Holed Jointed Rock Mass Assisted with AE and DIC. Appl. Sci. 2024, 14, 7655. [Google Scholar] [CrossRef]
- Rezaei, M.; Issa, M.A. Specimen and aggregate size effect on the dynamic fracture parameters of concrete under high loading rates. Eng. Fract. Mech. 2022, 260, 108184. [Google Scholar] [CrossRef]
- Li, X.; Zhang, Y.; Yang, T.; Liao, H.; Yu, L.; Liu, Y.; Wang, G.; Zhao, Y.; Qiao, H. Study on the Influence of Specimen Size and Aggregate Size on the Compressive Strength of Rock-Filled Concrete. Appl. Sci. 2023, 13, 6246. [Google Scholar] [CrossRef]
- Zhang, H.Y.; Jiang, W.A.; Wu, B. Size effect of compressive performance of concrete under elevated temperatures: Tests and meso-scale analysis. J. Build. Eng. 2024, 90, 109449. [Google Scholar] [CrossRef]
- Lian, H.; Sun, X.; Yu, Z.; Lian, Y.; Xie, L.; Long, A.; Guan, Z. Study on the dynamic fracture properties and size effect of concrete based on DIC technology. Eng. Fract. Mech. 2022, 274, 108789. [Google Scholar] [CrossRef]
- Zheng, B.; Qi, S.; Huang, X.; Guo, S.; Wang, C.; Zhan, Z.; Luo, G. An Advanced Shear Strength Criterion for Rock Discontinuities Considering Size and Low Shear Rate. Appl. Sci. 2020, 10, 4095. [Google Scholar] [CrossRef]

















| Type of Size Effect | No. | Materials | Data Bulk | Data Origin |
|---|---|---|---|---|
| NSE | 1 | Coal | 12 | Bieniawski [88] |
| ASE | 2 | Simulated granite | 7 | Li et al. [89] |
| ASE–NSE | 3 | Gosford sandstone | 8 | Masoumi et al. [61] |
| 4 | Pilton sandstone | 8 | Hawkins [11] | |
| 5 | Pennant sandstone | 8 | Hawkins [11] | |
| 6 | Burrington oolite limestone | 8 | Hawkins [11] | |
| 7 | Hollington sandstone | 8 | Hawkins [11] | |
| 8 | Gambier limestone | 9 | Zhai et al. [14] | |
| 9 | Artificial rock | 9 | Zhai et al. [14] | |
| 10 | High-strength gypsum | 9 | Wang [68] | |
| 11 | Limestone | 9 | Wang [68] |
| Type of Size Effect | No. | Materials | σ∞/MPa | k | t/mm | a | D0 | m |
|---|---|---|---|---|---|---|---|---|
| NSE | 1 | Coal | 3.63 | 1.12 × 10−11 | 4.986 × 10−3 | 0.003121 | 0.07395 | 9.14 × 10−3 |
| ASE | 2 | Simulated granite | 297.9 | 0.5237 | 5.048 | 1.14 × 10−6 | 1.787 | 14.53 |
| ASEؘ–NSE | 3 | Gosford sandstone | 30.91 | 1.103 | 10.17 | 2.569 | 109.2 | 1.498 × 10−2 |
| 4 | Pilton sandstone | 54.92 | 2.311 | 7.986 | 10.08 | 113.1 | 3.995 × 10−2 | |
| 5 | Pennant sandstone | 30.22 | 1.049 | 7.701 | 9.579 | 52.77 | 5.607 × 10−3 | |
| 6 | Burrington oolite limestone | 51.78 | 1.019 | 7.708 | 0.423 | 47.72 | 2.763 × 10−3 | |
| 7 | Hollington sandstone | 6.216 | 2.807 | 7.074 | 1.296 | 387 | 1.47 × 10−3 | |
| 8 | Gambier limestone | 3.89 × 10−4 | 6505 | 14.61 | 3125 | 1428 | 0.1175 | |
| 9 | Artificial rock | 1.196 | 1.814 | 14.35 | 2.641 × 10−2 | 2.34 × 10−14 | 2.368 × 10−4 | |
| 10 | High-strength gypsum | 4.961 × 10−3 | 9344 | 11.57 | 427.4 | 178 | 0.1096 | |
| 11 | Limestone | 28.24 | 3.104 | 10.74 | 1.289 | 75.28 | 5.701 × 10−3 |
| Type of Size Effect | No. | Materials | Model Parameters | |||
|---|---|---|---|---|---|---|
| σ∞/MPa | a | D0 | m | |||
| NSE | 1 | Coal | 3.59 | 0.000161 | 0.09978 | 0.000473 |
| σs/MPa | σi | t | - | |||
| ASE | 2 | Simulated granite | 156.000 | 297.900 | 5.048 | - |
| fm/MPa | Di | l | df | |||
| ASE–NSE | 3 | Gosford sandstone | 3.057 | 63.32 | 25.78 | 2.346 |
| 4 | Pilton sandstone | 7.602 | 56.38 | 144.8 | 2.281 | |
| 5 | Pennant sandstone | 0.7611 | 48.88 | 242.6 | 3.02 | |
| 6 | Burrington oolite limestone | 1.292 | 47.61 | 268.4 | 2.997 | |
| 7 | Hollington sandstone | 1.488 | 55.85 | 40.49 | 2.435 | |
| 8 | Gambier limestone | 0.005379 | 124.1 | 37,560 | 2.561 | |
| 9 | Artificial rock | 0.0595 | 51 | 385 | 2.576 | |
| 10 | High-strength gypsum | 0.05191 | 48.32 | 472,400 | 2.218 | |
| 11 | Limestone | 3.029 | 56 | 222.3 | 2.428 | |
| Type of Size Effect | No. | Materials | SEFM Model, Size Effect Model of Surface Effects, or IUSEL | CSE Model |
|---|---|---|---|---|
| NSE | 1 | Coal | 0.9735 | 0.9952 |
| ASE | 2 | Simulated granite | 0.9972 | 0.9972 |
| ASE–NSE | 3 | Gosford sandstone | 0.9960 | 0.9858 |
| 4 | Pilton sandstone | 0.9330 | 0.9653 | |
| 5 | Pennant sandstone | 0.9758 | 0.9521 | |
| 6 | Burrington oolite limestone | 0.9929 | 0.7326 | |
| 7 | Hollington sandstone | 0.9844 | 0.9799 | |
| 8 | Gambier limestone | 0.9924 | 0.94 | |
| 9 | Artificial rock | 0.9670 | 0.9351 | |
| 10 | High-strength gypsum | 0.9068 | 0.9653 | |
| 11 | Limestone | 0.9277 | 0.8524 |
Disclaimer/Publisher’s Note: The statements, opinions and data contained in all publications are solely those of the individual author(s) and contributor(s) and not of MDPI and/or the editor(s). MDPI and/or the editor(s) disclaim responsibility for any injury to people or property resulting from any ideas, methods, instructions or products referred to in the content. |
© 2024 by the authors. Licensee MDPI, Basel, Switzerland. This article is an open access article distributed under the terms and conditions of the Creative Commons Attribution (CC BY) license (https://creativecommons.org/licenses/by/4.0/).
Share and Cite
Liu, Y.; Liu, X.; Zhang, H.; Zhu, F. A Size Effect Model Combining Both Surface Effects and the Fracture Process Zone (FPZ) for Rocks under Uniaxial Compression. Appl. Sci. 2024, 14, 9413. https://doi.org/10.3390/app14209413
Liu Y, Liu X, Zhang H, Zhu F. A Size Effect Model Combining Both Surface Effects and the Fracture Process Zone (FPZ) for Rocks under Uniaxial Compression. Applied Sciences. 2024; 14(20):9413. https://doi.org/10.3390/app14209413
Chicago/Turabian StyleLiu, Yang, Xiaoyu Liu, Huimei Zhang, and Fengbo Zhu. 2024. "A Size Effect Model Combining Both Surface Effects and the Fracture Process Zone (FPZ) for Rocks under Uniaxial Compression" Applied Sciences 14, no. 20: 9413. https://doi.org/10.3390/app14209413
APA StyleLiu, Y., Liu, X., Zhang, H., & Zhu, F. (2024). A Size Effect Model Combining Both Surface Effects and the Fracture Process Zone (FPZ) for Rocks under Uniaxial Compression. Applied Sciences, 14(20), 9413. https://doi.org/10.3390/app14209413

