Skip Content
You are currently on the new version of our website. Access the old version .
Applied SciencesApplied Sciences
  • Article
  • Open Access

14 October 2024

Accuracy of the Mindlin Model in A0 Lamb Mode Scattering from Partial Through-Thickness Damage

and
1
Department of Cybernetics, Tallinn University of Technology, Ehitajate Tee 5, 19086 Tallinn, Estonia
2
Department of Civil Engineering and Architecture, Tallinn University of Technology, Ehitajate Tee 5, 19086 Tallinn, Estonia
*
Author to whom correspondence should be addressed.
This article belongs to the Special Issue Acoustics and Vibrations Analyses of Materials at Different Scales: Experimental and Numerical Approaches: Volume III

Abstract

Guided wave tomography is an effective non-destructive method for mapping corrosion damage in thin-walled metal structures. Its efficiency and accuracy depend on the choice of a suitable forward model and inversion method. Current techniques mainly use acoustic forward models that, while computationally efficient, are approximate and fail to accurately represent wave propagation in physical experiments, making them less suitable for inversion. This study investigates the performance of Mindlin plate theory, which accounts for through-thickness shear deformations, enabling the modeling of flexural modes in a two-dimensional (2-D) plane. The scattering of A 0 mode Lamb waves from defects of varying depth, width, and shape is analyzed using finite difference and pseudospectral simulations for 2-D and three-dimensional (3-D) defects, respectively. Results from the Mindlin model are compared to finite element model simulations. It is found that Mindlin plate theory accurately represents smooth defect scattering, but is less accurate for sharp-edged defects.

1. Introduction

The corrosion of pipes, pressure vessels, and storage tanks is a significant challenge to the oil, gas, and petrochemical industries, causing unscheduled shutdowns and costly accidents of the assets. Therefore, extensive efforts have been taken to detect and quantify the corrosion damage in these structures. One of the main choices for the inspection is to apply non-destructive testing to evaluate the integrity of the material or structure without stopping the production or operations with the inspected assets [1]. Common non-destructive testing methods, such as penetrant testing, optical microscopy, and magnetic particle inspection, are often not suitable to inspect inaccessible parts of the structure, such as internal corrosion of the pipes. Some other methods able to identify cracks, internal voids, and subsurface flaws—such as eddy current and ultrasonic thickness gauging—are often applied as point inspection methods, which are not feasible for inspection of structures with large areas [2].
Guided Wave (GW) testing can increase the inspection coverage in pipes and plates [3]. Low-frequency ultrasonic waves are excited and received with a ring or array of transducers placed around the inspection area, enabling to screen large areas from a few monitoring locations. Furthermore, these waves can travel through inaccessible areas of the pipe wall, interrogating for corrosion and erosion damages of internal and external pipe surfaces. The GW testing method can also be used for the long-term monitoring of defect growth in structural health monitoring systems [4]. Several techniques have been developed for corrosion quantification. Contact sensor excitation and reception techniques include measuring reflection and transmission coefficients [5,6], guided mode cutoff identification [7,8], high frequency guided mode testing [9,10], and mode conversions [11,12]. However, these methods primarily interrogate only the path between two transducers and do not provide detailed defect profiles. More accurate defect profiling can be achieved using non-contact ultrasonic wavenumber imaging with laser interferometers [13,14]. Nonetheless, this technique is more expensive and requires direct access to the damaged surface, making it less suitable for coated or insulated pipe sections.
Alternatively, precise defect mapping can be achieved by integrating transducer arrays typically used in pitch-catch methods with tomographic techniques. This approach involves attaching two transducer rings to the pipe, allowing for measurements to be taken from multiple angles. Guided Wave Tomography (GWT) operates by analyzing waveforms to generate a wall thickness map for a specific pipe section. Variations in these waveforms are interpreted by tomographic algorithms as reductions in thickness at specific locations [15]. In GWT, defect reconstruction is accomplished by solving an inverse problem, where a forward model is used to predict a synthetic dataset based on the structure and defect shape. The defect shape is then iteratively refined by minimizing the difference between the actual and synthetic measurements until a convergence criterion is met, resulting in an accurate reconstruction of wall thickness.
The appropriate forward model of GWT needs to be of low computational cost and complexity of combining it with the inversion procedure of the tomography algorithm. Consequently, many tomography applications make use of the simple acoustic model for plates [16,17], pipes [18,19], and pipe bends [20,21] as they are able to map the thickness of the waveguide from the velocity of the propagating wave. However, the accuracy of the acoustic model decreases if the size of the defect is around a few wavelengths of the probing wave, due to inability to describe the scattering [22,23] including reflections, which are important to achieve higher resolution imaging [24].
This research aims to use Mindlin plate theory [25], to develop an efficient numerical forward model for GWT. Using higher-order plate theories would lead to a better agreement over a wider frequency range, while still retaining analytical simplicity [26,27]. Mindlin plate theory incorporates shear deformation and rotary inertia in the equations of motion to predict the propagation of low-frequency fundamental Lamb modes, while reducing the 3-D plate motion to a 2-D plane on the mid-thickness plane to simplify computations. Its feasibility to solve different scattering problems has been demonstrated in numerous studies. Wang et. al used Mindlin plate theory to analyze the scattering behavior of GW modes at a cylindrical hole and part-through delamination in beams and plates [28,29]. Other studies on the scattering of flexural waves from a through-hole [30] and non-symmetrical blind holes [31] have demonstrated good agreement between analytical solutions and experimental results. However, the original Mindlin plate theory assumes that thickness variations of the defects are symmetric with respect to the mid-plane of the plate. While this assumption can approximate wave interactions with non-symmetric defects to some extent, for sharp and deep defects, additional considerations are necessary to accurately predict mode conversion and wave scattering [32,33]. The simpler theory is more attractive for solving tomographic inverse problems; however, it is important to understand how it describes corrosion defects, which in general are smooth, but the thickness contrast increases for small diameter yet deep defects compromising the validity of the theory.
In this context, the Finite Difference Method (FDM) is employed to simulate and analyze the scattering of the A0 mode from defects with varying depth, width, and smoothness in a plane strain setting, while the Pseudospectral Method (PsM) is implemented to study more complex defect geometries in the 3-D domain. The results are compared with those obtained from Finite Element Method (FEM) simulations, ensuring a robust validation of our approach. This PsM incorporation also sets the foundation for future application in GWT algorithms, further demonstrating the novelty of this work.
The article is structured as follows: In Section 2, the governing equations of Mindlin plate theory are presented, along with the solution procedures, sample problems, and analysis methods. The results of the scattering from different defects are provided in Section 3, followed by a discussion of the model’s potential in GWT and final conclusions in Section 4.

2. Materials and Methods

2.1. Mindlin Plate Theory

Initially, Reissner [34] proposed the static equilibrium equations of plates in which the effect of transverse shear was considered. Subsequently, Mindlin [25] pursued a systematic investigation of the dynamics in the plate and developed a theory known as Mindlin plate theory. In this theory, the effects of transverse shear deformation and rotational inertia are taken into consideration to model flexural wave propagation in the plate.
Consider a thin homogeneous, isotropic and linearly elastic plate having thickness h subjected to an excitation force P, as shown in Figure 1a. The general configuration of the defect in the plate is shown in Figure 1b. It should be noted that the actual one-sided thickness defect is approximated by the symmetric two-sided thickness reduction. The internal forces and deformations in the plate are shown in Figure 1c.
Figure 1. (a) Geometry of the plate and wave propagation problem; (b) General configuration of the defect; (c) Internal forces and deformations in a plate.
The three displacement components of the plate can be denoted as follows:
u = z β x ( x , y , t ) , v = z β y ( x , y , t ) , w = w ¯ ( x , y , t )
where u, v are displacement components in the x- and y-direction and the w component is given as an average value of vertical displacement w ¯ at mid-plane, respectively. The rotations are specified as
β x = w x γ z x , β y = w y γ z y
where β x and β y are the rotations of the normal to the undeformed mid-plane surface in the x z and y z planes, respectively. The terms γ z x and γ z y are the shear angles of the cross-section in the x- and y-direction. The moments M x , M y , M x y and shear forces Q x , Q y are specified as
M x = D β x x + ν β y y M y = D β y y + ν β x x M x y = ( 1 ν ) D 2 β x y + β y x Q x = K G h w x β x Q y = K G h w y β y ,
where G is the shear modulus, K = 5 / ( 6 ν ) is the shear correction factor [35], D = E h 3 / 12 ( 1 ν 2 ) is the bending stiffness, with E and ν being the Young’s modulus and Poisson ratio, respectively.
The plate equations of motion are specified as
M x x + M x y y Q x = ρ h 3 12 2 β x t 2 M x y x + M y y Q y = ρ h 3 12 2 β y t 2 Q x x + Q y y + P = ρ h 2 w t 2 ,
where ρ is the mass density of the material and P is the forcing function normal to the plane of the plate.

2.2. Frequency and Mode Selection

Wave propagation in isotropic plates is characterized by an infinite set of Lamb modes, with their dispersion curves shown in Figure 2a. It is widely acknowledged that Mindlin plate theory is applicable when the wavelength of the mode is larger than the plate thickness, or when k h < 1 , where k = f / c p h (k—wavenumber, f—frequency, c p h —phase velocity). For accurate thickness mapping, it is crucial to select a mode that is sensitive to thickness variations. The zero-order antisymmetric mode A 0 is particularly suited for this purpose, as it is highly dispersive in the low-frequency regime.
Figure 2. (a) Dispersion curves of Lamb modes for a 10 mm steel plate (red line: symmetric modes, blue line: anti-symmetric modes); (b) Phase velocity of A 0 mode.
To avoid complex multi-mode propagation, we focus on lower frequencies, where k h < 0.6 . At the low frequencies used in this work ( k h ∼0.27), the Mindlin model [35] shows excellent agreement with the exact Rayleigh–Lamb theory [36], with the phase velocity of the A 0 mode differing by only 0.9% at 50 kHz, as shown in Figure 2b. Although the velocity curves of different theories align well up to k h ∼1, which is critical for plate thickness reconstruction, it is important to note that these curves provide only velocity information. They do not enable the prediction of scattering effects in plates with varying thickness due to defects, which are crucial for the performance of GWT—the focus of this study.

2.3. Finite Difference Method Simulations

The system of Equation (4) is solved using two approaches, chosen based on the problem’s dimensionality and computational efficiency. First, the FDM is applied to simulate wave propagation in a 2-D domain, assuming plane strain conditions in the xz-plane. FDM was selected for its simplicity, robustness, and effectiveness in simulating basic 2-D physical problems. For more complex 3-D scenarios, we employ the PsM, which is computationally efficient for 3-D simulations. This method can handle larger domains with higher accuracy while utilizing fewer grid points. Brief descriptions of the numerical implementations for both methods can be found in Appendix A for the 2-D FDM approach and in Appendix B for the 3-D PsM approach.
In the 2-D FDM, a one-dimensional grid is used, while a 2-D grid is employed in the PsM studies. Each grid node in the 2-D FDM has two degrees of freedom, whereas nodes in the PsM have three degrees of freedom. A convergence analysis was performed through iterative grid refinement, establishing an element size of 2 mm (corresponding to 18 grid nodes per wavelength of the A 0 mode at 50 kHz) for the 2-D FDM grid, and 4 mm (equivalent to 9 grid nodes per wavelength) for the PsM grid. Based on the size of the domain, a simulation time of 400 μ s was set, using a step increment of 0.5 μ s, which is determined to be sufficient according to the Courant–Friedrichs–Lewy criterion [37]. The representative time step was verified by reducing the time step size until the maximum amplitudes of the received signals differed by less than 1%. To minimize reflections from the edges of the plate and maintain a compact model, we incorporated absorbing regions. Sponge layer damping is utilized, applying a viscous damping coefficient that increases as one approaches the edges, which effectively absorbs outgoing waves. This damping mechanism is included in the constitutive equations of the Mindlin model as a first-order time derivative, efficiently reducing wave amplitudes in the boundary regions. In both models, excitation was applied using a five-cycle tone burst with a center frequency of 50 kHz, modulated by a Hanning window. Numerically stable excitation of the A 0 mode was achieved by applying a unit force to the main grid node, with adjacent nodes receiving 75% of the amplitude and diagonal neighbors receiving 50% (in the PsM method). This configuration was specifically designed for the studied frequency range to ensure that nearly pure A 0 mode generation occurs when applying the normal force at this frequency [38].

2.4. Finite Element Method Simulations

Abaqus Explicit was used for wave propagation simulations [39], referred to as FEM modeling. Two models were considered: the first was a 2-D plane strain model to investigate A 0 mode interaction with simple-shaped defects, using a plate meshed with four-node plane strain elements (CPE4R) with reduced integration and hourglass control, each node having two degrees of freedom. The second configuration was a 3-D plate meshed with eight-node brick elements (C3D8R), with three degrees of freedom at each node. An element size of 1 mm was used which provided a converged solution for elastic wave propagation. Smooth defects were modeled by deforming the plate mesh surface, while sharp-edged defects were simulated by removing mesh elements. Absorbing boundary conditions at the edges of the plate models were used to reduce the size of the simulation to the region of interest only [40]. The A 0 mode was excited by applying an out-of-plane force similar to that in FDM simulations to a node on the plate surface, and vertical displacements were measured at the monitoring nodes. The time step increment of 0.01 μ s was established as sufficient for accurate modeling.

2.5. Configuration of Defect Models

2.5.1. 2-D Plane Strain Model

Figure 3a illustrates the simulation setup for defects in a plane strain model, while Figure 3b–d depict the profiles of the investigated defects. The model’s length, l, is defined as the ratio of length L to thickness h. The defects are modeled as either a smoothly shaped symmetric thickness reduction (Hann-shaped), a one-sided smooth thickness reduction (Hann-shaped), or a rectangular notch (blind hole with a flat bottom). The depth of the defect is denoted as h 0 and its length as a. The excitation point, P, is positioned at 0.30 l from the defect center.
Figure 3. (a) Schematic of the simulation set-up of the plate for damage analysis; (b) Symmetric smooth defect; (c) One-sided smooth defect; (d) One-sided rectangular notch.
Out-of-plane displacement components are measured at 0.25 l from the defect center, labeled L L and R R in Figure 3a. The plate material is steel, with properties listed in Table 1. Time-domain scattered signals from various defects are windowed to isolate the A 0 mode, which is then converted to the frequency domain. Signal amplitudes at 50 kHz are normalized by the incident signal amplitude to calculate the relative reflection coefficient R e f l and the transmission coefficient T r a n s , given as follows:
R e f l = | R ( ω ) | | I ( ω ) | , T r a n s = | T ( ω ) | | I ( ω ) |
where R ( ω ) , T ( ω ) , and I ( ω ) are the frequency spectra of the displacement obtained from the reflected, transmitted, and incident signals, respectively. The study examines the effects of relative depth H 0 = h 0 / h = [ 0.1 0.5 ] and relative length A = a / h = [ 2 6 ] on these coefficients, and calculates the percentage error between the Mindlin and FEM models. The defect length is in the range of 0.5 1.5 wavelengths of the probing wave, representing the cases that are near the imaging limit of GWT.
Table 1. Material properties of the steel.

2.5.2. 3-D Model

Figure 4a shows the simulation setup for a 3-D plate of size 1200 × 1200 × 10 mm3. The defect investigated is a complex Hann-shaped defect (60 mm diameter, 3 mm depth) combined with a flat-bottom hole (30 mm diameter, 5 mm depth), shown in Figure 4b. This defect shape was chosen because corrosion often results in smoothly varying thickness loss, while pitting corrosion produces defects similar to blind holes. Detecting and distinguishing both types of corrosion is crucial. The combination of these two types of weakening was selected to simulate a more realistic and complex corrosion profile, as real-world corrosion often involves irregular geometries. Our aim was to test the Mindlin model’s capability to handle such complex defect configurations.
Figure 4. (a) Schematic of complex defect in 3-D modeling; (b) Cross-section of the FEM plate mesh along the dashed line.
The A 0 mode was excited at Tx, and out-of-plane displacement components were measured along a circular array with a 700 mm diameter, as shown in Figure 4a. Some characteristic signals were recorded at the Tx and Rx points. The wave amplitudes were normalized by the maximum displacement from the intact plate measurements. Scattered wave fields were isolated by subtracting the intact plate waveforms from those measured in the defected plate, and the contour plots of plate normal displacements of the scattered signals were analyzed.

3. Results

3.1. Scattering in 2-D Plane Strain Models

3.1.1. Symmetric Smooth Defect

The first case study examines the accuracy of the Mindlin plate theory for defects that closely align with the theoretical assumptions, specifically, those with a defect profile symmetric to the plate’s midplane (Figure 1b). Figure 5 compares the reflection coefficients between the Mindlin model (FDM) and the FEM model (FEM) for various defect lengths and depths for the A 0 mode at 50 kHz. The reflection amplitude for these defects is generally low, peaking at approximately 0.14 for the deeper defects. The agreement between the two models is strongest for shallower, longer defects, while the relative difference increases as the defects become shorter and deeper, with a maximum difference of about 3.5%.
Figure 5. Reflection from symmetric smooth defect: (a) reflection coefficients from FEM model (FEM), (b) reflection coefficients from Mindlin model (FDM), (c) relative difference between the reflection coefficients.
Figure 6 shows that for smooth defects, most of the energy is transmitted, with the transmission coefficient close to 1. The consistency between the models in Figure 5c mirrors that in Figure 6c, indicating that transmission accuracy decreases for short, deep defects. However, the relative difference between the models remains minimal, at less than 1%.
Figure 6. Transmission from symmetric smooth defect: (a) transmission coefficients from FEM model (FEM), (b) transmission coefficients from Mindlin model (FDM), (c) relative difference between the reflection coefficients.

3.1.2. Non-Symmetric Smooth Defect

The second study examines the scattering from one-sided thickness reductions (Figure 1b), which more accurately represent real defects. Figure 7 shows that the reflection amplitude increases as the defect becomes deeper and shorter. In the Mindlin model, the reflection amplitude is smaller compared to the FEM model, with a maximum relative difference of 12% for the deepest and shortest defect. This suggests that the Mindlin model is less accurate in representing reflectors with higher contrast changes. However, it is important to note that Mindlin plate theory can simulate reflection information, which is an advantage over widely used acoustic modeling techniques that cannot model reflections from such defects [22].
Figure 7. Reflection from non-symmetric smooth defect: (a) reflection coefficients from FEM model (FEM), (b) reflection coefficients from Mindlin model (FDM), (c) relative difference between the reflection coefficients.
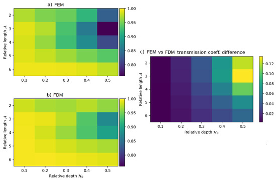
Figure 8 illustrates that the amplitude of the transmitted wave for the same defect parameters is larger in the Mindlin model than in the FEM model, with transmission decreasing as the defect depth increases and length decreases. Although the relative difference between the models is greater than in the case of symmetric defects discussed in the previous section, the difference remains small, indicating that the Mindlin model is still effective for non-symmetric smooth defects.
Figure 8. Transmission from non-symmetric smooth defect: (a) transmission coefficients from FEM model (FEM), (b) transmission coefficients from Mindlin model (FDM), (c) relative difference between the reflection coefficients.

3.1.3. Non-Symmetric Rectangular Defect

The final case examines defects with straight edges (Figure 1d), which are considered to mimic pitting corrosion in the 2-D plane. As shown in Figure 9, the reflection amplitude increases compared to previous cases, reaching up to 0.3 for the deepest defects. The difference in amplitudes between the models increases by up to 17.5%, though the Mindlin model maintains high accuracy for shallow defects. The main reason for this increasing difference is that the Mindlin model does not account for the mode conversion from A 0 to S 0 modes, which occurs with sharper edge defects [41].
Figure 9. Reflection from non-symmetric rectangular defect: (a) reflection coefficients from FEM model (FEM), (b) reflection coefficients from Mindlin model (FDM), (c) relative difference between the reflection coefficients.
The transmission intensity for this defect type is similar to previous cases, decreasing as the defect becomes deeper (Figure 10). The best agreement between models is observed for shallow defects, with the relative error being larger for deep defects. Overall, the Mindlin model demonstrates reasonable accuracy in predicting scattering for relative defect depths up to 0.3.
Figure 10. Transmission from non-symmetric rectangular defect: (a) transmission coefficients from FEM model (FEM), (b) transmission coefficients from Mindlin model (FDM), (c) relative difference between the reflection coefficients.

3.2. Scattering in 3-D Model

In this section, we explore the 3-D scattering effects from defects to assess the suitability of the Mindlin model for tomographic imaging applications. Figure 11 presents the subtracted scattered wavefield of the A 0 mode at a defect with both sharp and smoothed edge thinning. The wave is excited at 0 degrees and interacts with the defects at the center of the plate, with most of the scattered wavefield observed on the opposite side of the plate. Qualitatively, both models produce similar scattering patterns; however, the scattered field in other directions is slightly more intense in the FEM model (FEM) compared to the Mindlin model (PsM). This observation aligns with previous 2-D studies that indicated weaker reflections in the Mindlin model compared to the FEM model.
Figure 11. Polar plot of the scattered wave-field of the A 0 mode interacting with the combined defects at 50 kHz. Signal propagation is from right to left.
The absolute values of the reflection and transmission signals measured at points Tx and Rx, respectively, are presented in Figure 12. The signals from both the Mindlin and FEM model are normalized by the sum of their respective maximum amplitudes of transmitted and reflected signals. Although this normalization approach is not physically accurate, since the energy content also depends on the spatial width of the wave packet, it provides a reasonable basis for initial comparison and visualization of the signals. The reflected signal is longer in duration compared to the transmitted signal, consisting of a weaker initial component from a larger, smoother defect and a stronger component from a smaller, deeper defect with sharp edges. The agreement between the models is excellent, showing similar amplitudes and envelope shapes.
Figure 12. Comparison of reflection and transmission from the defect in two-dimensional wave propagation. Amplitudes are normalized by the sum of the maximum amplitudes of reflected and transmitted waves.

4. Discussion and Conclusions

This study explored the potential of using Mindlin plate theory for GWT to map corrosion defects in plates. The findings demonstrated that the phase velocity of the A 0 mode in the Mindlin model closely aligns with the true velocity, a critical factor for accurate thickness mapping. In 2-D scattering studies involving small defects, the Mindlin model effectively predicted scattering from one-sided smooth defects, including reflections, with calculations performed using the FDM. This capability is a distinct advantage over acoustic models, allowing for higher-resolution imaging at comparable computational costs. Additionally, the 3-D investigation using the PsM demonstrated the model’s ability to simulate wavefields for more complex defect geometries. The Mindlin model showed excellent agreement with FEM simulations for smoothly shaped defects, though some discrepancies were observed for sharp-edged defects due to abrupt reflections. Overall, the Mindlin model performed well in predicting reflection and transmission coefficients, particularly for small and smooth defects. This makes it a promising tool for inverse modeling to improve accuracy in corrosion mapping. Future research should focus on expanding the analysis across different frequencies and defect shapes for even more robust defect imaging.

Author Contributions

Conceptualization, M.L. and M.R.; methodology, M.L.; simulations and data acquisition, M.L.; writing—original draft preparation, M.L.; writing—review and editing, M.L. and M.R.; project administration and funding acquisition, M.R. All authors have read and agreed to the published version of the manuscript.

Funding

This research was funded by the Estonian Research Council, grant PRG737.

Institutional Review Board Statement

Not applicable.

Data Availability Statement

The raw data supporting the conclusions of this article will be made available by the authors on request.

Conflicts of Interest

The authors declare no conflicts of interest.

Appendix A. Finite Difference Method

The central difference for the derivative of a function w with respect to x for all the nodal points inside the plate is
w ( x , y , t ) x = 1 2 Δ x [ w ( x + Δ x , y , t ) w ( x Δ x , y , t ) ] ,
where Δ x represents the distance between grid points. At the plate boundaries, it is necessary to ensure that the derivatives are found based on differences in the function at the nodal points inside and not outside the plate; so the forward difference equation for the derivative of a function w at the left boundary of the plate is
w ( x , y , t ) x = 1 2 Δ x [ 3 w ( x , y , t ) + 4 w ( x + Δ x , y , t ) w ( x + 2 Δ x , y , t ) ] .
At the right boundary, the second-order backward difference is
w ( x , y , t ) x = 1 2 Δ x [ w ( x 2 Δ x , y , t ) 4 w ( x Δ x , y , t ) + 3 w ( x , y , t ) ] .
The second-order time derivative equations of β x and w are
2 β x ( x , y , t ) t 2 = 1 ( 2 Δ x ) 2 [ β x ( x , y , t + Δ t ) 2 β x ( x , y , t ) + β x ( x , y , t Δ t ) ] ,
2 w ( x , y , t ) t 2 = 1 ( 2 Δ x ) 2 [ w ( x , y , t + Δ t ) 2 w ( x , y , t ) + w ( x , y , t Δ t ) ] .
Putting Equations (A4) and (A5) into the equations of motion (4), we obtain the equations below
β x ( x , y , t + Δ t ) = 2 β x ( x , y , t ) β x ( x , y , t Δ t ) + 12 Δ t 2 ρ h 3 [ x ( D β x ( x , y , t ) x ) K G h ( w x β x ( x , y , t ) ) ] ,
w ( x , y , t + Δ t ) = 2 w ( x , y , t ) w ( x , y , t Δ t ) + Δ t 2 ρ h [ x K G h ( w x β x ( x , y , t ) ) + P ] .
Thus, a progression through time was performed. By calculating the variables at time t and t Δ t , the variables at time t + Δ t are calculated, where Δ t is the time step size.

Appendix B. Pseudospectral Method

Compared to the FD method, the Pseudospectral Method (PsM) requires fewer spatial points to give the same discretization as FDM [42], which is advantageous in solving larger 3-D problems. In addition, when using the PsM, the Discrete Fourier Transform (DFT) of some variable can be calculated at every discrete time step. Disregarding the y-direction for the moment, let a signal r ( x , t ) (periodic in space) be given on the interval 0 x 2 π , and the space grid be formed by N = 1024 points with space step Δ x = 2 π / N . Now, the DFT is defined by
R ( k , t ) = D F T ( r ) = j = 0 N 1 r ( j Δ x , t ) exp ( 2 π i j k N ) ,
and the Inverse Discrete Fourier Transform (IDFT) is
r ( j Δ x , t ) = I D F T ( R ) = 1 N k R ( k , t ) exp ( 2 π i j k N ) .
Here, j is the space grid number, i is the imaginary unit, and the wavenumbers are k = 0 , ± 1 , ± 2 , , ± ( N / 2 1 ) , N / 2 .
The space derivatives of the function r(x,t) can be calculated as
r ( x , t ) x = I D F T ( i k D F T ( r ) ) ,
2 r ( x , t ) x 2 = I D F T ( k 2 D F T ( r ) ) .
The potential maximum resolution of the PsM is affected by the number of gridpoints N in each direction. As this number rises, higher wavenumbers k can be taken into account and represented. In cases where simulation can become unstable due to various sources of instability, such as dispersion, the effect of the higher wavenumbers can be filtered out to ensure convergence, and reasonable time step size and computational time. One possible way is to apply the following filter f to the wavenumbers k before they are multiplied into Equation (A10) [42]
f ( k , k 1 , k 0 ) = s i n 2 k + k 0 2 k 1 2 ( k 0 k 1 ) π k 1 < k < k 0 , s i n 2 k k 0 + 2 k 1 2 ( k 1 k 0 ) π k 1 > k > k 0 , 1 k 1 k k 0 , 0 k k 0 , k k 0 .
Here, k 1 and k 0 depend on the number of available spatial points and the constitution of the problem itself, such as the desired resolution, excitation frequency, etc. If wave numbers | k | < k 1 are passed, wave numbers k 1 < | k | < k 0 are partly suppressed, and the influence of wave numbers | k | > k 0 vanishes.

References

  1. Popoola, L.T.; Grema, A.S.; Latinwo, G.; Gutti, B.; Balogun, A.S. Corrosion problems during oil and gasproduction and its mitigation. Int. J. Ind. Chem. 2013, 4, 35. [Google Scholar] [CrossRef]
  2. Kumar, S.; Mahto, D. Recent Trends in Industrial and Other Engineering Applications of Non Destructive Testing: A Review. Int. J. Sci. Eng. Res. 2013, 4. [Google Scholar]
  3. Cawley, P. Guided waves in long range nondestructive testing and structural health monitoring: Principles, history of applications and prospects. NDT E Int. 2024, 142, 103026. [Google Scholar] [CrossRef]
  4. Vogt, T.; Heinlein, S.; Milewczyk, J.; Mariani, S.; Jones, R.; Cawley, P. Guided Wave Monitoring of Industrial Pipework–Improved Sensitivity System and Field Experience. In European Workshop on Structural Health Monitoring; Springer: Berlin/Heidelberg, Germany, 2021; pp. 819–829. [Google Scholar]
  5. Alleyne, D.N.; Cawley, P. The Interaction of Lamb Waves with Defects. IEEE Trans. Ultrason. Ferroelectr. Freq. Control 1992, 39, 381–397. [Google Scholar] [CrossRef] [PubMed]
  6. Zhu, W.; Rose, J.L.; Barshinger, J.N.; Agarwala, V.S. Ultrasonic guided wave NDT for hidden corrosion detection. Res. Nondestr. Eval. 1998, 10, 205–225. [Google Scholar] [CrossRef]
  7. Belanger, P. High order shear horizontal modes for minimum remnant thickness. Ultrasonics 2014, 54, 1078–1087. [Google Scholar] [CrossRef]
  8. Suresh, N.; Balasubramaniam, K. Quantifying the lowest remnant thickness using a novel broadband wavelength and frequency EMAT utilizing the cut-off property of guided waves. NDT E Int. 2020, 116, 102313. [Google Scholar] [CrossRef]
  9. Khalili, P.; Cawley, P. Excitation of Single-Mode Lamb Waves at High-Frequency-Thickness Products. IEEE Trans. Ultrason. Ferroelectr. Freq. Control 2016, 63, 303–312. [Google Scholar] [CrossRef]
  10. Chew, D.; Masserey, B.; Fromme, P. High-Frequency Guided Waves for Corrosion Thickness Loss Monitoring. J. Nondestruct. Eval. Diagn. Progn. Eng. Syst. 2021, 4, 011007. [Google Scholar] [CrossRef]
  11. Nakamura, N.; Ogi, H.; Hirao, M.; Nakhata, K. Mode conversion behavior of SH guided wave in a tapered plate. NDT E Int. 2012, 45, 156–161. [Google Scholar]
  12. Suresh, N.; Balasubramaniam, K. Cut-Off Thickness Identification of Defects with Single and Two-Step Geometries Using SH1 Mode Conversion. J. NDE 2024, 43, 5. [Google Scholar] [CrossRef]
  13. Tian, Z.; Leckey, C.; Rogge, M.; Yu, L. Crack Detection with Lamb Wave Wavenumber Analysis. In Health Monitoring of Structural and Biological Systems; SPIE: Philadelphia, PA, USA, 2013; p. 86952Z. [Google Scholar]
  14. Kudela, P.; Radzienski, M.; Ostachowicz, W. Identification of cracks in thin-walled structures by means of wavenumber filtering. Mech. Syst. Sign. Proc. 2015, 50–51, 456–466. [Google Scholar] [CrossRef]
  15. Volker, A.; Bloom, J. Experimental results of guided wave travel time tomography. AIP Conf. Proc. 2011, 1335, 215–222. [Google Scholar]
  16. Malyarenko, E.V.; Hinders, M.K. Ultrasonic Lamb wave diffraction tomography. Ultrasonics 2001, 39, 269–281. [Google Scholar] [CrossRef] [PubMed]
  17. Rao, J.; Ratassepp, M.; Fan, Z. Guided Wave Tomography Based on Full Waveform Inversion. IEEE Trans. Ultrason. Ferroelectr. Freq. Control 2016, 63, 737–744. [Google Scholar] [CrossRef]
  18. Willey, C.L.; Simonetti, F.; Nagy, P. Guided wave tomography of pipes with high-order helical modes. NDT E Int. 2014, 65, 8–21. [Google Scholar] [CrossRef]
  19. Seher, M.; Huthwaite, P.; Lowe, M.J.S. Experimental Studies of the Inspection of Areas with Restricted Access Using A0 Lamb Wave Tomography. IEEE Trans. Ultrason. Ferroelectr. Freq. Control 2016, 63, 1455–1467. [Google Scholar] [CrossRef] [PubMed]
  20. Brath, A.; Simonetti, F.; Nagy, P.; Instanes, G. Guided Wave Tomography of Pipe Bends. IEEE Trans. Ultrason. Ferroelectr. Freq. Control 2017, 64, 847–858. [Google Scholar] [CrossRef]
  21. Rasgado-Moreno, C.O.; Rist, M.; Land, R.; Ratassepp, M. Acoustic Forward Model for Guided Wave Propagation and Scattering in a Pipe Bend. Sensors 2022, 22, 486. [Google Scholar] [CrossRef]
  22. Huthwaite, P. Evaluation of inversion approaches for guided wave thickness mapping. Proc. R. Soc. A Math. Phys. Eng. Sci. 2014, 470, 20140063. [Google Scholar] [CrossRef]
  23. Rao, J.; Ratassepp, M.; Fan, Z. Investigation of the reconstruction accuracy of guided wave tomography using full waveform inversion. J. Sound Vib. 2017, 400, 317–328. [Google Scholar] [CrossRef]
  24. Huthwaite, P. Guided wave tomography with an improved scattering model. Proc. R. Soc. A Math. Phys. Eng. Sci. 2016, 472, 20160643. [Google Scholar] [CrossRef] [PubMed]
  25. Mindlin, R.D. Influence of Rotary Inertia and Shear on Flexural Motions of Isotropic, Elastic Plates. ASME J. Appl. Mech. 1951, 18, 31–38. [Google Scholar] [CrossRef]
  26. Rose, L.R.F.; Wang, C.H. Mindlin plate theory for damage detection: Source solutions. J. Acoust. Soc. Am. 2004, 116, 154–171. [Google Scholar] [CrossRef]
  27. Rose, L.R.F.; Wang, C.H. Mindlin plate theory for damage detection: Imaging of flexural inhomogeneities. J. Acoust. Soc. Am. 2010, 127, 754–763. [Google Scholar] [CrossRef]
  28. Wang, C.H.W.; Rose, L.R.F. Wave reflection and transmission in beams containing delamination and inhomogeneity. J. Sound Vib. 2003, 264, 851–872. [Google Scholar] [CrossRef]
  29. Wang, C.H.; Chang, F.K. Scattering of plate waves by a cylindrical inhomogeneity. J. Sound Vib. 2005, 282, 429–451. [Google Scholar] [CrossRef]
  30. McKeon, J.C.P.; Hinders, M.K. Lamb wave scattering from a through hole. J. Sound Vib. 1999, 225, 843–862. [Google Scholar] [CrossRef]
  31. Fromme, P.; Sayir, M.B. Measurement of the scattering of a lamb wave by a through hole in a plate. J. Acoust. Soc. Am. 2002, 111, 1165–1170. [Google Scholar] [CrossRef]
  32. Cegla, F.B.; Rohde, A.; Veidt, M. Analytical prediction and experimental measurement for mode conversion and scattering of plate waves at non-symmetric circular blind holes in isotropic plate. Wave Motion 2008, 45, 162–177. [Google Scholar] [CrossRef]
  33. Takiuti, B.E.; Manconi, E.; Brennan, M.J.; Lopes, V., Jr. Wave scattering from discontinuities related to corrosion-like damage in one-dimensional waveguides. J. Braz. Soc. Mech. Sci. 2020, 42, 521. [Google Scholar] [CrossRef]
  34. Reissner, E. The effect of transverse shear deformation on the bending of elastic plates. J. Appl. Mech. 1945, 12, 69–77. [Google Scholar] [CrossRef]
  35. Stephen, N.G. Mindlin plate theory: Best shear cefficient ans higher spectra validity. J. Sound Vib. 1997, 202, 539–553. [Google Scholar] [CrossRef]
  36. Graff, K.F. Wave Motion in Elastic Solids; Dover Publications Inc.: New York, NY, USA, 1991. [Google Scholar]
  37. Courant, R.; Friedrich, K.; Lewy, H. Über die partiellen Differenzengleichungen der mathematischen Physik. Math. Ann. 1928, 100, 32–74. (In German) [Google Scholar]
  38. Belanger, P.; Cawley, P. Lamb wave tomography to evaluate the maximum depth of corrosion patches. AIP Conf. Proc. 2008, 975, 1290–1297. [Google Scholar]
  39. ABAQUS/Standard User’s Manual, Version 6.14; Dassault Systèmes Simulia Corp: Providence, RI, USA, 2018.
  40. Rajagopal, P.; Drozdz, M.; Skelton, M.; Lowe, M.J.S.; Craster, R. On the use of absorbing layers to simulate the propagation of elastic waves in unbounded isotropic media using commercially available finite element packages. NDT E Int. 2012, 51, 20–40. [Google Scholar] [CrossRef]
  41. Lowe, M.J.S.; Cawley, P.; Kao, J.K.; Diligent, O. The low frequency reflection characteristics of the fundamental anti-symmetric Lamb wave A0 from a rectangular notch in a plate. J. Acoust. Soc. Am. 2002, 112, 2612–2622. [Google Scholar] [CrossRef]
  42. Salupere, A. The Pseudospectral Method and Discrete Spectral Analysis; Springer International Publishing: Berlin/Heidelberg, Germany, 2009; pp. 301–333. [Google Scholar]
Disclaimer/Publisher’s Note: The statements, opinions and data contained in all publications are solely those of the individual author(s) and contributor(s) and not of MDPI and/or the editor(s). MDPI and/or the editor(s) disclaim responsibility for any injury to people or property resulting from any ideas, methods, instructions or products referred to in the content.

Article Metrics

Citations

Article Access Statistics

Multiple requests from the same IP address are counted as one view.