Next Article in Journal
Receding Adhesive Contact of a Beam on a Soft Layer
Previous Article in Journal
Development of an Artificial Neural Network Model to Predict the Tensile Strength of Friction Stir Welding of Dissimilar Materials Using Cryogenic Processes
 
 
Font Type:
Arial Georgia Verdana
Font Size:
Aa Aa Aa
Line Spacing:
Column Width:
Background:
Article

Accurate Power Consumption Predictor and One-Class Electricity Theft Detector for Smart Grid “Change-and-Transmit” Advanced Metering Infrastructure

1
Department of Computer Science, Eastern Connecticut State University, Windham, CT 06226, USA
2
Department of Computer Science, Tennessee Technological University, Cookeville, TN 38505, USA
3
Department of Network and Computer Security, College of Engineering, SUNY Polytechnic Institute, Utica, NY 13502, USA
4
Department of Electrical Engineering, Faculty of Engineering at Shoubra, Benha University, Cairo 11672, Egypt
5
Department of Electrical and Computer Engineering, Tennessee Technological University, Cookeville, TN 38505, USA
6
Department of Computer Engineering, College of Computer and Information Sciences, King Saud University, Riyadh 11451, Saudi Arabia
7
School of Computer and Cyber Sciences, Augusta University, Augusta, GA 30912, USA
*
Author to whom correspondence should be addressed.
Appl. Sci. 2024, 14(20), 9308; https://doi.org/10.3390/app14209308
Submission received: 31 August 2024 / Revised: 28 September 2024 / Accepted: 9 October 2024 / Published: 12 October 2024
(This article belongs to the Section Transportation and Future Mobility)

Abstract

The advanced metering infrastructure (AMI) of the smart grid plays a critical role in energy management and billing by enabling the periodic transmission of consumers’ power consumption readings. To optimize data collection efficiency, AMI employs a “change and transmit” (CAT) approach. This approach ensures that readings are only transmitted when there is enough change in consumption, thereby reducing data traffic. Despite the benefits of this approach, it faces security challenges where malicious consumers can manipulate their readings to launch cyberattacks for electricity theft, allowing them to illegally reduce their bills. While this challenge has been addressed for supervised learning CAT settings, it remains insufficiently addressed in unsupervised learning settings. Moreover, due to the distortion introduced in the power consumption readings due to using the CAT approach, the accurate prediction of future consumption for energy management is a challenge. In this paper, we propose a two-stage approach to predict future readings and detect electricity theft in the smart grid while optimizing data collection using the CAT approach. For the first stage, we developed a predictor that is trained exclusively on benign CAT power consumption readings, and the output of the predictor is the actual readings. To enhance the prediction accuracy, we propose a cluster-based predictor that groups consumers into clusters with similar consumption patterns, and a dedicated predictor is trained for each cluster. For the second stage, we trained an autoencoder and a one-class support vector machine (SVM) on the benign reconstruction errors of the predictor to classify instances of electricity theft. We conducted comprehensive experiments to assess the effectiveness of our proposed approach. The experimental results indicate that the prediction error is very small and the accuracy of detection of the electricity theft attacks is high.

1. Introduction

The concept of smart grids leverages recent advancements in sensing, communication, artificial intelligence, and data processing to transform the electricity grid by enabling the intelligent monitoring, control, and management of power generation and distribution [1]. A key component of the smart grid is advanced metering infrastructure (AMI) [2]. As depicted in Figure 1, an AMI network features smart meters (SM) installed at consumer premises, connected via wireless communications to a gateway that links the meters to a system operator. This setup allows for the collection of detailed power consumption readings (e.g., every few seconds) and the transmission of these data to the system operator for optimal power management, load prediction, and dynamic pricing billing. However, the extensive scalability of the network raises concerns about the cost of collecting such large volumes of data. A promising technique for efficient data collection is known as Change and Transmit (CAT).
Periodically transmitting power consumption readings at regular intervals, such as every few seconds, generates a large volume of data, leading to the inefficient use of communication bandwidth and other resources. When cellular networks are used to transmit data from smart meters, the cost becomes significant. As the network expands to millions of SMs, scalability challenges arise. The CAT approach addresses this issue by transmitting new power consumption readings only when there is enough change from the previous reading. This method reduces the bandwidth and costs associated with data collection by avoiding unnecessary data transmission [3,4]. Studies show that transmission savings range from 22% to 78% when the transmission rate is one reading per minute, and a new reading is only sent with at least a 10% change in consumption [3]. However, these benefits come with a trade-off. When a reading is not transmitted, the system operator relies on the last reported reading, introducing an error range determined by the transmission threshold. This makes it challenging to produce highly accurate power consumption predictions and detect electricity theft using these less precise readings.
AMI networks face several challenges [5,6,7]. This paper focuses on two main issues. The first challenge is electricity theft. In a smart grid’s AMI, SMs report electricity consumption readings to the electric utility using either wired or wireless transmission media. If these readings are altered during transmission, the malicious activity can be easily detected using data integrity checks, such as digital signatures. To evade detection, malicious consumers hack their SMs and manipulate the electricity consumption readings before transmission to reduce their electricity bills [8,9,10]. This fraudulent action not only results in financial losses but also degrades grid performance, as the readings are essential for energy management and load monitoring. The second challenge is designing an accurate predictor that can provide reliable power consumption forecasts despite the noisy input from CAT readings. This study aimed to investigate these two challenges within the context of the CAT data collection technique.
Several machine learning (ML) models have been proposed for detecting electricity theft, and experimental results demonstrate that machine learning is a promising technique. However, most existing papers utilize supervised learning [11,12,13,14], where models are trained on two classes: benign and malicious. These models are designed to detect specific attacks and their performance is unpredictable when encountering new, unseen attacks. Very few studies have explored the use of unsupervised learning [11,15,16], and none have addressed the problem in the context of the CAT data collection approach. Regarding power consumption prediction, numerous studies have aimed to create accurate predictors, but none have considered the CAT data collection approach. Noisy CAT readings pose a challenge for detecting electricity theft and designing accurate predictors compared to using actual readings.
In this paper, we propose a two-stage approach for AMI using CAT readings. The first stage includes a predictor trained exclusively on CAT power consumption readings, with the output being the actual readings. To improve prediction performance, we introduce a cluster-based predictor that groups consumers into clusters with similar consumption patterns, and a dedicated predictor is trained for each cluster. In the second stage, a one-class SVM is trained on the benign reconstruction errors from the predictor to classify instances of electricity theft. We conducted comprehensive experiments to evaluate the effectiveness of our proposed predictor and one-class electricity theft detector. The experimental results indicate that the prediction error is minimal and the detection accuracy is high. To the best of our knowledge, this paper presents the first attempt to design a one-class classifier for CAT readings and a predictor using CAT readings as input. This work is particularly challenging for two reasons: (1) CAT readings are clipped compared to the actual readings, making it more difficult to design models based on CAT data; and (2) since we aimed to develop a one-class anomaly detector to defend against zero-day attacks, which typically suffers from low accuracy, we incorporated clustering techniques along with a carefully designed model architecture to ensure high accuracy. Our main contributions in this paper can be summarized as follows:
  • We propose a two-stage scheme consisting of a predictor and a classifier to detect electricity theft in the smart grid while optimizing data collection using the CAT approach. The predictor generates accurate power consumption readings, while the classifier accurately identifies instances of electricity theft.
  • In the first stage, we develop a global-based predictor trained exclusively on benign CAT consumption readings to produce actual readings. To improve prediction accuracy, a cluster-based predictor is used, grouping consumers with similar consumption patterns and training dedicated predictors for each cluster. This approach results in more accurate predictions and less errors across various CAT thresholds.
  • In the second stage, we train an autoencoder and a one-class support vector machine (OC-SVM) on benign reconstruction errors from the predictor to detect instances of electricity theft. This combined architecture of the autoencoder and OC-SVM demonstrates superior performance compared to training the OC-SVM directly on the errors, achieving higher accuracy, precision, recall, and F1 scores.
  • We performed extensive experiments using a real dataset to assess our proposals. The experimental results show that our models achieve accurate power consumption predictions, high detection accuracy, and low false alarm rates, demonstrating their ability to learn consumption patterns and make correct predictions and classifications.
The remainder of this paper is structured as follows. Section 2 reviews the related literature, providing an overview of current research on securing AMI networks from malicious smart meters. It also highlights the main limitations and our motivations. Section 3 offers the necessary background information to understand our study, covering the K-means clustering technique, recurrent neural networks (RNNs), and one-class support vector machine (OC-SVM). In Section 4, we first describe our accurate power consumption predictor, followed by a detailed explanation of our electricity theft classifier. Section 5 presents our evaluation results for both the predictor and classifier, detailing the dataset preparation process, the metrics used for evaluation, and a discussion of our experiments and their results. Finally, Section 6 concludes the paper by first summarizing the key findings of our research and then discussing some future works.

2. Related Works

This section discusses the existing research works that employ ML for power prediction and electricity theft detection and their limitations.

2.1. Power Prediction

Several research works have proposed using statistical modeling techniques, such as autoregressive integrated moving average (ARIMA) [17], and ML algorithms, such as SVM [18], decision trees (DTs) [19], convolutional neural networks (CNNs) [20], and recurrent neural networks (RNNs) [21,22,23], for power prediction. The experimental results demonstrate that ML provides promising outcomes. For ML algorithms to provide accurate prediction, they require being trained on large and diverse datasets. Therefore, the authors of [24,25] proposed general power consumption predictors trained on the data of multiple customers. Unlike in previous works that focused on power consumption prediction, the authors of [26,27,28] investigated net power prediction in net metering systems. In these systems, the power load is the subtraction of the power used by customers from the electric utility and the power produced by the customers’ distributed power resources, e.g., solar panels. Unlike [26], Badr et al. [28] proposed incorporating solar irradiance readings with net power readings as inputs for the predictor to minimize prediction errors. However, none of the existing works have investigated accurate power consumption prediction while using the CAT approach for efficient data transmission.

2.2. Electricity Theft Detection

System and application security have become major concerns in both academia and industry [29,30]. In this paper, we focus specifically on securing data collection SMs within the smart grid. Several research works have proposed using ML to detect electricity theft. These works can be categorized into supervised and anomaly detectors according to the employed learning algorithm. In the following, we discuss the existing works.

2.2.1. Supervised Detectors

Supervised electricity theft detectors are binary classifiers trained on datasets containing both benign and malicious electricity usage samples. In [11], Jokar et al. utilized the Irish Smart Energy Trial (ISET) dataset to train a binary SVM to identify potential electricity theft cases. Since the ISET dataset comprises only benign samples, the authors employed six attack functions to synthesize malicious samples from the benign ones. The results indicated the effectiveness of the SVM in identifying the six types of electricity theft cyberattacks. In [12], Jindal et al. proposed combining DTs with SVM for improved electricity theft detection. Instead of depending on a single DT, Punmiya et al. [13] proposed utilizing ensembles of DTs, including LightGBM, CATBoost, and XGBoost. The results demonstrated that employing ensemble learning boosts the detection performance. Furthermore, Buzau et al. [14] further enhanced electricity theft detection by training an XGBoost on both electricity consumption samples from the Endesa dataset and auxiliary data, including the customers’ locations and the technical specifications of their SMs.
Apart from previous works, the authors of [31,32,33] explored supervised electricity theft detectors using deep learning (DL) algorithms. DL improves electricity theft detection due to its ability to capture temporal correlations in electricity usage data and uncover hidden patterns. In [31], Bhat et al. compared between shallow ML and DL models for electricity theft detection. The experimental results utilizing a synthetic dataset indicated that DL models, including CNNs, long short-term memory (LSTM), and Autoencoders outperform shallow ML models, including DT and random forest (RF). In [32], Zheng et al. proposed a hybrid DL model to identify potential theft cases. Their model is a combination of a fully connected feed-forward neural network (FCNN) and a CNN. Experimental results using the State Grid Corporation of China (SGCC) dataset showed the advantage of the hybrid detector over standalone FCNN and CNN detectors. In [33], Badr et al. investigated the electricity theft problem in net metering systems. They developed a multi-stage detector using a combination of a CNN and RNN, trained on multiple data sources in addition to power readings. At each stage, the detector is provided with additional auxiliary data to enhance its performance. However, all of the above works utilized supervised learning, where detectors are designed to detect specific attacks, and their performance is unpredictable when encountering new, unseen attacks [34].

2.2.2. Anomaly Detectors

Unlike supervised detectors, anomaly detectors are built solely utilizing benign data. Then, malicious data are detected by observing their deviation from the normal pattern. In [11], Jokar et al. trained an OC-SVM utilizing benign samples from the ISET dataset. They conducted experiments to compare OC-SVM and binary SVM for detecting electricity theft, and the results showed the advantage of binary SVM over OC-SVM in detecting known forms of electricity theft cyberattacks. Nevertheless, they did not compare the performance of the two models against zero-day attacks. In [35], Singh et al. examined the application of Principal Component Analysis (PCA) to detect potential theft cases. PCA helps reduce the dimensionality of electricity usage data by identifying principal components. During testing, an anomaly score is assigned to each sample based on these components. These scores are then evaluated against a set threshold to identify instances of theft. In [36,37], Krishna et al. utilized ARIMA to identify potential theft. They introduced assessments of both mean and variance, resulting in a 77.46% reduction in the quantity of electricity attackers stole.
Apart from previous works, the authors of [16,34] explored anomaly-based electricity theft detectors using DL algorithms. In [34], the authors investigated a deep autoencoder-based anomaly detector using a fully connected feed-forward architecture. They compared the performance of the autoencoder with other anomaly detectors based on OCSVM and isolation forest (IF). The simulation results demonstrated the autoencoder’s superiority over both OCSVM and IF. Moreover, Habbak et al. [16] explored using deep support vector data description (DSVDD) to detect potential theft cases. They proposed converting electricity consumption samples into images and then training a DSVDD model with these images. The simulation results in [16] demonstrated DSVDD’s ability to distinguish malicious samples from benign ones. However, none of the existing works have explored electricity theft anomaly detection using the CAT approach for efficient data transmission.

2.3. Limitations and Motivations

Unlike the aforementioned works that focused solely on either power consumption prediction or electricity theft detection, our proposed work investigated both an accurate power consumption predictor and an electricity theft detector simultaneously. Moreover, most existing electricity theft detection methods employ supervised detectors that accurately identify known attacks but struggle against zero-day attacks. Although few works have proposed anomaly-based electricity theft detectors that are more robust against zero-day attacks, they do not address the scalability and transmission efficiency challenges related to periodic data transmission. In other words, none of the existing works in the literature address how to design an anomaly-based electricity theft detector while considering the CAT approach that enables efficient data transmission. Given these limitations, this paper proposes an accurate and efficient power consumption predictor and one-class electricity theft detector that achieves the following objectives:
  • Efficient Data Transmission. With the continuous growth of smart grids, the periodic data transmission approach is not scalable or efficient, and it is inevitable to depend on the CAT approach for transmitting electricity consumption readings. However, it is challenging to implement accurate power consumption prediction in the light of the CAT approach because we depend on approximated readings instead of actual consumption readings. This challenge has not been addressed in the literature, and our work marks the first attempt. Similarly, it is challenging to detect electricity theft in light of the CAT approach. While this challenge has been addressed for supervised learning CAT settings, it remains unaddressed enough in unsupervised learning. Therefore, we investigated, in this study, an accurate anomaly-based detector that is trained on the CAT readings instead of the actual consumption readings.
  • Accurate Power Consumption Prediction. Accurate power prediction is essential for two reasons. On one hand, it ensures a stable and reliable power grid by providing valuable insights for energy providers. This enables them to plan for sufficient generation and transmission capacity, thereby proactively mitigating the risk of power outages or disruptions. On the other hand, our electricity theft detector relies on the readings produced by the predictor. Therefore, performing an accurate prediction is critical for the electricity theft detector’s performance.
  • Robustness against Zero-Day Attacks. Although the capability of supervised electricity theft detectors has been proved in the literature in accurately detecting known attacks, i.e., attacks encountered in the training phase, their performance deteriorates when tested against newly encountered attacks. To address this challenge, our proposed detector is an anomaly-based detector that is trained only on benign consumption samples. Our proposed detector is capable of detecting zero-day attacks.

3. Preliminaries

This section provides the fundamental concepts incorporated in our solution, which involve K-means clustering, recurrent neural network (RNNs), one-class support vector machine, and transformer neural network models.

3.1. K-Means Clustering Technique

The K-means algorithm is an unsupervised learning method that enables the classification of an unlabeled dataset by assigning data points/objects to a specific number of clusters, determined by the closest distance between the data point and each cluster’s center [38,39]. A cluster is characterized by a group of homogeneous data objects, distinct from the objects in other clusters [39]. The process involves creating k centroids, representing each cluster, and assigning each data point to the closest centroid. Subsequently, k new centroids are re-computed, and hence, the data points are re-assigned to the nearest new centroid, and this process repeats until no further changes in their location occur. The iterative procedure is illustrated in Figure 2. In essence, the goal of the clustering algorithm is to minimize an objective function, such as a squared error function, as explained in the following.
J = j = 1 k i = 1 n x i c j 2 ,
where the Euclidean distance between the cluster center c j and a data point x i is expressed as x i c j 2 , for a dataset containing n data points.

3.2. Recurrent Neural Network (RNN)

A type of neural network commonly used for handling sequential data is a recurrent neural network (RNN). One of its defining characteristics is its ability to remember past inputs and states, allowing it to make predictions for current outputs [40]. The two primary types of RNNs are the long short-term memory (LSTM) and Gated Recurrent Unit (GRU). The GRU utilizes hidden states, also known as hidden memory, and internal connections to effectively store long sequences of input patterns by forming a directed graph [41]. It employs two gates, known as the update and reset, to regulate the information flow and determine which input is crucial for retention. However, the issue of vanishing gradient poses a challenge for a GRU, as it impedes its ability to effectively learn long-term connections between data points within a sequence. To overcome this issue, a long short-term memory (LSTM) network utilizes specialized gating mechanisms to control information flow and avoid the vanishing gradient problem [42]. The LSTM network incorporates three gates, forget, input, and output, to regulate the information flow. The forget gate removes irrelevant historical information, while the input gate determines which new information is relevant and should be retained. The outputs of these gates are then combined to update the present cell state, with the output gate playing a role in determining which specific components of the cell state should be carried on to the succeeding LSTM cell.
Typically, the primary element of an RNN is its transition function that operates at each time step τ . In this case, both the previous hidden state S τ 1 and the present time information C τ are considered to compute the present hidden state according to the following equation:
S τ = F C τ , S τ 1 ,
where F refers to a non-linear transformation or activation function, such as Softmax. Because of its recurrent structure, the hidden state S τ 1 in Equation (1) can be seen as a remembrance of the preceding inputs. Therefore, RNNs have the capability to store and recall previous inputs in their internal state. This property makes RNNs highly applicable for tasks, e.g., text generation [42], that involve predicting the subsequent word in a sentence by considering the preceding words. Furthermore, RNNs are often applied in speech recognition and synthesis [43].

3.3. One-Class Support Vector Machine (OC-SVM)

An OC-SVM is an ML approach that is commonly used for classification tasks where the dataset contains one class of data only. In one-class classification, an ML algorithm is trained to identify instances belonging to a specific category [44], using only data from that class as training data. As illustrated in Figure 3, the goal of one-class classification is to create a model that accurately identifies the target class’s patterns so it can detect and classify instances that deviate significantly from the expected behavior [45,46], where the arrow in the figure indicates the distance between the origin and the hyperplane. This technique is especially useful when obtaining labeled outliers is costly or challenging.
The OC-SVM is a model used in one-class classification to define a decision boundary for a specific target class in a feature space. The training process involves creating a hyperplane or hypersphere in a high-dimensional feature space, strategically positioned to encompass a large number of normal instances while maintaining a maximum distance from the feature space’s center. This technique effectively captures the support of the normal class, containing a significant portion of normal instances within the boundary [47]. In the inference or testing phase, new instances are classified as anomalous or normal depending on their distance to the established boundary. Those falling outside the boundary are considered outliers, while those within it are categorized as normal [48,49].
In summary, an OC-SVM is highly useful when dealing with scenarios that only include samples from the normal class, making it well suited for problems that lack a sufficient number of or unavailable labeled outliers. The approach operates under the premise that a certain class exists within a confined range of features, which allows the model to detect outliers that fall outside of this region. The OC-SVM has practical applications in a variety of industries, including but not limited to, identifying anomalies in industrial systems, detecting intrusions in network security, and identifying fraud. By centering solely on understanding the traits of the intended category, one-class classification presents a dependable means of detecting other class instances in practical datasets.

3.4. Transformer Neural Networks

Transformer neural network models are a type of neural network architecture that was first introduced in 2017 by researchers at Google [50], and have since been adopted for different tasks such as machine translation, natural language processing (NLP), question answering, text summarization, image identification, voice production, video analysis, and forecasting [51,52,53]. What sets transformer models apart from other neural networks is their incorporation of self-attention mechanisms, which allows them to learn relationships between different features in the input sequence and also concurrently focus on various portions of the input. Additionally, transformer models do not rely on traditional recurrent connections, making them highly scalable and efficient, and able to handle long sequences of data with multiple levels of abstraction [54].
One of the main advantages of transformer models is their proficiency in capturing long-term dependencies in data more effectively and improving performance on tasks such as translation, where correct word order and context are crucial, and this has proven difficult for traditional RNNs. For examples, through the use of self-attention, transformer models are able to process words in a sentence simultaneously, rather than sequentially, which allows for a better understanding of context and relationships between words [55]. Moreover, the transformer’s design employs an encoder–decoder framework to divide the model into distinct components. Initially, the input data are subjected to an encoding procedure [55]. The output of this encoding phase is subsequently utilized in the decoder phase, in conjunction with previous output data, to generate the final prediction. As a result, transformer models have become the preferred selection for numerous researchers and companies in the field of NLP and its various applications due to their advanced capabilities in achieving state-of-the-art performance in a variety of tasks. Informer [51] is a model, based on the transformer architecture, that was developed with the purpose of utilizing time-series datasets for analyzing electrocardiogram data, solar power production, traffic speeds, and electricity prices.

4. Proposed Scheme

In this section, we first outline our approach for preparing a dataset for the CAT data collection technique using publicly available actual power consumption data. Next, we detail our proposed accurate power consumption predictor, which processes the CAT readings reported by the smart meters and predicts actual future readings. Finally, we describe how this predictor is utilized to create a one-class classifier for detecting low consumption readings reported with the intent of electricity theft. The symbols used in this section are summarized in Table 1.

4.1. Dataset Preparation for CAT Approach

To train and evaluate our power consumption prediction and electricity theft detection models, we used a publicly available dataset comprising real-world electricity consumption data from honest users. This dataset, released by the Irish Electric and Sustainable Energy Authority in January 2012, offers a rich collection of fine-grained power consumption readings. It is a large and diverse dataset that includes data from over 3000 consumers, spanning a substantial time frame of more than 536 days. This reflects diverse energy consumption characteristics across different regions, consumer profiles, seasons, and potential methods of electricity theft. The readings inside this dataset were collected at 30 min intervals, resulting in a comprehensive record of electricity usage for each consumer. This extensive dataset of benign consumption patterns serves as a valuable resource for both training and evaluating our models’ capability to predict future readings and detect electricity theft [56]. Additionally, the dataset facilitates the simulation of a distribution system, where electricity is distributed from substations to consumers.
Since this dataset contains actual readings, we used it to generate datasets specifically tailored for the CAT data collection approach. These new datasets incorporated various thresholds to determine when a reading is transmitted by the smart meter, including 10%, 20%, and 30%. For instance, with a 10% threshold, the smart meter transmits a reading only if the absolute difference in consumption compared to the previously reported reading exceeds 10%. We evaluated the data transmission efficiency achieved by the CAT approach using the following equation, which calculates the ratio of readings transmitted under CAT to the total number of readings across different transmission scenarios as follows:
η = R p R c R p × 100
where R c represents the number of readings transmitted using the CAT approach, which transmits only when consumption changes exceed a threshold. Conversely, R p denotes the total number of readings that are transmitted using periodic transmission, where readings are sent at regular intervals regardless of consumption changes. As the value of the threshold increases, the probability of a consumption change surpassing the threshold and prompting a transmission decreases, resulting in fewer transmissions but with a bigger error in the readings. Conversely, shorter transmission intervals reduce the savings, as the increased frequency of intervals raises the likelihood of consumption changes exceeding the threshold, leading to more frequent transmissions but with smaller errors in the readings. This dynamic underscores a trade-off between the efficiency of data transmission and the amount of error introduced in the readings due to using the CAT data collection approach.
In the following example, we further explain how the CAT readings are obtained. In this simplified illustration, four electricity consumption readings—10.0, 10.5, 11.3, and 12.2—are presented to demonstrate how the CAT approach operates under a 10% threshold. Typically, there would be 48 readings per day over 536 days; however, this concise example serves to clarify the transmission process. Initially, the reading of 10.0 is transmitted as the first recorded value. The next reading, 10.5, represents a 5% increase from the previously transmitted value, which is below the 10% threshold, so no transmission occurs. When the consumption reaches 11.3, the 13% change from the last transmitted reading (10.0) exceeds the threshold, resulting in its transmission. The final reading, 12.2, reflects a 7.96% change from 11.3, which remains below the threshold, so this reading is not transmitted. When no transmission occurs, the utility records the last transmitted value as the current one. Thus, the recorded values at the utility will be 10.0, 10.0, 11.3, and 11.3, while the transmitted values are 10.0 and 11.3.

4.2. Accurate Power Consumption Predictor

The ability of the grid operator to manage energy in the smart grid is crucial for maintaining a stable and reliable electricity supply. Energy management systems require accurate predictions of future power consumption, which are achieved by collecting historical power consumption data at regular intervals and training machine learning models on this comprehensive dataset. These models identify and learn patterns and trends in the data to accurately forecast future energy needs. These forecasts offer valuable insights for energy providers, allowing them to plan for sufficient generation and transmission capacity and proactively mitigate the risk of power outages or disruptions. With this foresight, providers can optimize resource allocation and maintain a consistently reliable energy supply for their customers.
Our proposed predictor architecture is illustrated in Figure 4. The input size for both the LSTM and transformer predictors is 48, representing the total number of readings per day, r t up to r t + 48 . The predicted output is the subsequent reading, r t + 49 . Note that r t to r t + 48 are CAT readings reported by the SMs, while prediction ( r t + 49 ) is an actual (non-CAT) reading. In the combined architecture of the LSTM and transformer, after each model generates its respective output, these outputs are concatenated by appending one to the other, resulting in an extended feature vector. This concatenated vector is then forwarded to the fully connected layer, which computes the final prediction r t + 49 . Note that the outputs do not need normalization or any form of scaling prior to being passed to the fully connected layer because they are power consummation readings and they have the same range of numbers. However, the CAT dataset, as discussed in Section 4.1, is not suitable for direct input into the predictor in its current form. It is organized such that 48 readings per day across 536 days are consolidated into a single continuous sequence. To prepare this dataset for use with our proposed deep learning models, it needs to be restructured into individual daily sequences, ensuring that each day’s readings are formatted appropriately as separate inputs. In particular, the first 48 CAT readings (i.e., from reading r 1 up to reading r 48 ) are passed to the model as the input sequence x t , and the label y t is the 49th non-CAT (actual) reading. This approach allows the model to predict the actual future readings using past CAT readings reported by the smart meters as input. In the subsequent time step, the CAT readings from reading r 2 up to reading r 49 are used as the input sequence x t + 1 , with the label y t + 1 being the 50th actual reading. Note that r 49 in this case is the CAT reading reported by the smart meter and it is not the actual reading predicted by the model. This process continues iteratively for subsequent time steps.
Designing an accurate predictor is a challenge for two main reasons: the presence of diverse patterns in consumption data and the noise introduced in the power consumption data due to using the CAT data collection approach. To address this challenge, we used a cluster-based prediction approach and carefully designed the predictor to be able to overcome the noise in the data. Specifically, the system operator groups consumers with similar power consumption patterns into clusters to overcome the problem of diverse consumption patterns in the data, thus reducing the prediction error. Clustering consumers by the system operator can practically be accomplished through the analysis of relevant metadata that directly influence electricity consumption. Such metadata can include details like the type of consumption (residential/non-residential), the size of the dwelling, the number of occupants, professions, and geographic location. However, the dataset used in this study did not contain this information. As a result, the K-means clustering algorithm, detailed in Section 3.1, was used to cluster consumers solely based on their electricity consumption levels, as shown in Figure 5. The careful selection of the clustering algorithm and the number of clusters is crucial for achieving good performance. In our work, we selected the K-means clustering algorithm because it is efficient for large datasets with continuous numeric attributes, such as the Irish dataset, simple to implement, and easily scalable with new data. The performance of the K-means algorithm is influenced by the number of clusters and the initial centroids. To achieve the best results, we followed these steps: First, we determined the number of clusters using the elbow method, as shown in Figure 6. This figure illustrates the relationship between the number of clusters (K) and the distortion score (i.e., the aggregate intra-cluster distance). The elbow method identifies the optimal value of K as the point where there is the greatest change in the distortion score with respect to K. The vertical line indicates that using five clusters is optimal for our scenario. Next, the centroids are randomly initialized and optimized over several iterations until convergence. We also ran the K-means algorithm multiple times with different initializations and selected the solution with the minimum intra-cluster distance. The electricity consumption levels of consumers within the same cluster should be closely aligned, which is expected to enhance prediction performance. This improvement can be attributed to the fact that machine learning models trained on power consumption data exhibiting similar patterns make it easier for the models to accurately learn the patterns and thus predict accurate future consumption consumption readings. Moreover, as will be detailed in the next section, the use of LSTM and a transformer in our proposal, as shown in Figure 4, can overcome the problem of noisy data due to the use of the CAT data collection approach.

4.3. One-Class Electricity Theft Classifier

The second phase of our proposal involves transforming the previously explained predictor into a classifier by calculating the errors between the predicted and actual consumption readings and using these errors to classify the input readings. The underlining idea is that if the input power consumption readings are correct, the errors should be within a certain range, and thus, deviations from normal errors can be identified, and the input readings are classified a malicious. Unlike traditional methods that experimentally set a threshold on the obtained errors to differentiate between benign and malicious readings, we propose a dynamic method for learning the threshold using an autoencoder combined with an OC-SVM in a two-stage process. The main advantage of our method compared to traditional methods is that it does not need malicious data to calculate a good threshold, and the assumption of the availability of malicious data is not practical in the case of designing of a one-class detector.
The first stage involves training an autoencoder on the obtained benign prediction errors, as shown in Figure 7. In particular, the encoder component, denoted as g ω , progressively compresses the input data, x, through a series of densely connected hidden layers into a latent space representation. These compressed data are subsequently fed into the decoder, denoted as f ω , which mirrors the encoder’s structure, to reconstruct the original input. The discrepancy between the original data and their reconstructed counterparts constitutes the reconstruction error. Autoencoders are trained on normal data to minimize this reconstruction error, represented by the loss function L , with the mean squared error (MSE) serving as the optimization objective as follows:
L M S E ( x , g ω ( f ω ( x ) ) )
The underlining idea is that since the autoencoder is trained on benign data and it is able to reduce the reconstruction error of these data, the reconstruction errors of the input false data have a different pattern. After training the encoder, the second stage involves training an OC-SVM on the encoder output. This approach is more effective than training the OC-SVM directly on the raw errors, as it leverages the encoder’s ability to transform errors into a distribution that the OC-SVM can learn more effectively. Specifically, the OC-SVM is trained to establish a decision boundary for the features of benign errors (i.e., the errors obtained after training the predictor on benign data) within the feature space. The OC-SVM constructs a hyperplane in this high-dimensional space, strategically positioned to maximize the inclusion of normal feature instances while maximizing its distance from the origin.

5. Experimental Results

This section delves into the evaluation of the proposed approaches. Initially, we define the metrics used for evaluating the performance of these approaches. Subsequently, we outline the setup of our experiments. Finally, we present and discuss the results of our evaluations.

5.1. Evaluation Metrics

  • Accuracy ( A C C ) is a standard metric used to assess the performance of classification models. It represents the percentage of samples correctly classified out of the total number of evaluated samples. It is computed as follows:
    A C C ( % ) = T P + T N T P + T N + F P + F N × 100 ,
    where true positives (TP) and true negatives (TN) correspond to correctly identified malicious and benign samples, respectively, while false positives (FP) and false negatives (FN) represent misclassified samples.
  • Precision ( P R ) evaluates the accuracy of positive predictions made by a model. It quantifies the proportion of true positives (i.e., correctly identified positive instances) among all instances classified as positive. It is calculated as follows:
    P R = T P T P + F P × 100 ,
  • The detection rate ( D R ) measures the proportion of the true positive samples among all the samples that are truly positive. This metric provides insight into how well the model avoids false negatives. It is computed as follows:
    D R = T P T P + F N × 100 ,
  • The F1 score ( F 1 ) serves as a harmonic mean, providing a balance between two key classification metrics, precision ( P R ) and the detection rate ( D R ). It can be calculated as follows:
    F 1 ( % ) = 2 P R D R P R + D R × 100 ,
  • The mean arctangent absolute percentage error ( M A A P E ) evaluates the prediction error as a percentage. It is computed as follows:
    M A A P E = 1 N i = 1 N arctan x i x ^ i x i × 100 % .
To evaluate our one-class detector, we use the ACC, PR, DR, and F1 score. Higher values for these metrics indicate better detector performance. For evaluating our predictor, we utilize the MAAPE, a well-known scale-free metric that measures error as a percentage [57]. Lower values of MAAPE indicate better predictor performance.

5.2. Experimental Setup

To conduct our experiments, we utilized a collection of Python libraries for data processing, visualization, and model development. Pandas and NumPy facilitated data manipulation, while Matplotlib was used for data visualization [58]. The Keras Functional API, a deep learning framework, provided the foundation for training our predictor and one-class detector [59]. For the predictor, we employed various machine learning models, including LSTM and a transformer, due to their ability to process time-series data by leveraging their memory structures. The architectures of the predictors are detailed in Table 2 and Table 3 for the LSTM and transformer, respectively, where # means number of. For the LSTM-based predictor, Table 2 shows that our hyperparameter optimization process determined an optimal architecture consisting of one input layer, three hidden LSTM layers, and one output layer. Each of the three LSTM layers contains 128 units (or cells) and uses a Sigmoid activation function.
For the autoencoder, we used a CNN architecture because of its capacity to capture intricate patterns in the input data. The autoencoder architecture comprises an encoder with one convolutional layer of 32 filters and a max pooling layer, and a decoder that mirrors this structure. The latent space is represented by a dense layer with 32 units. The hyperparameters for these models were chosen manually by initially testing various configurations and selecting the ones that yielded the best performance. Additionally, the data samples were split, with 2/3 allocated for training and 1/3 for testing. For training, the Adam optimizer was employed for 30 epochs with a learning rate of 0.0001, a batch size of 164, and mean squared error as the loss function for both the predictor models and the autoencoder model. Finally, Scikit-learn was used to assess the detector’s performance [60].

5.3. Results and Discussion

In this subsection, we present the evaluation results of our proposed predictor and one-class classifier. To do that, we use the Irish Smart Energy Trials dataset described in Section 4.1.

5.3.1. Evaluation of Transmission Saving under CAT Approach

Table 4 presents the percentage of savings ( η ) in the transmission of readings due to the implementation of the CAT approach, evaluated across three different CAT thresholds: 10%, 20%, and 30%. At a 10% CAT threshold, the savings percentage is 20.9%, indicating a 20.9% reduction in transmitted readings. When the CAT threshold is increased to 20%, the savings percentage rises to 44.9%, reflecting a significant reduction in the number of readings transmitted. At the 30% CAT threshold, the savings percentage further increases to 64.8%, demonstrating a substantial decrease in transmitted readings. These results underscore the efficacy of the CAT approach in minimizing data transmission, with higher CAT thresholds yielding greater savings. The rationale behind this is that increasing the CAT threshold reduces the frequency of data reporting, as fewer readings fall outside the defined threshold range. Consequently, this results in more significant savings in data transmission. However, this reduction in data transmission is accompanied by an increase in prediction errors and classification inaccuracy, as will be discussed in the next sections.

5.3.2. Evaluation of Global-Based Predictor Using CAT Approach

In this experiment, we developed a global predictor trained on consumption readings from all consumers, employing various CAT thresholds ranging from 10% to 30%. This predictor was then compared to a baseline model constructed using the actual non-CAT consumption readings from all consumers. Figure 8, Figure 9 and Figure 10 illustrate the comparison among different models, including LSTM, transformers, and a combined LSTM–transformer structure.
The results reveal that the predictor trained on actual readings (non-CAT) achieves the lowest MAAPE, indicating superior prediction performance. The introduction of a 10% CAT threshold results in a slight increase in MAAPE, signifying a minor decline in prediction accuracy. As the CAT threshold increases, the MAAPE also rises, with the 30% CAT approach yielding the highest error. This trend is attributed to the increased difficulty of prediction operations and the introduction of more errors, as higher CAT thresholds tend to produce readings with more fixed values, making patterns less discernible compared to lower CAT thresholds. Conversely, lower CAT thresholds are associated with reduced errors since they offer more identifiable patterns, thereby enhancing the accuracy of the global predictor.
Without CAT, the MAAPE values are 3.65, 5.19, and 2.22 for the LSTM, transformer, and combined LSTM and transformer models, respectively. As the threshold increases from 10% to 30%, the MAAPE ranges from 3.93 to 4.71 for the LSTM, 5.44 to 8.2 for the transformer, and 3.17 to 3.61 for the combined LSTM and transformer models. LSTM models perform well due to their ability to handle temporal dependencies in time-series data through their memory cells, resulting in low prediction errors. Transformers, while effective in capturing global dependencies through self-attention, struggle with local temporal dynamics. Combining LSTM and transformers leverages LSTM’s temporal modeling strengths and transformers’ ability to capture global relationships, resulting in improved overall performance and reduced prediction errors.

5.3.3. Evaluation of the CAT Approach for a Cluster-Based Predictor

In this experiment, we fixed the CAT threshold and evaluated the performance of our proposed cluster-based CAT predictor compared with the global-based CAT predictor and the case without CAT. Figure 11, Figure 12 and Figure 13 illustrate this comparison for the LSTM, transformer, and combined structure of both LSTM and transformer models. For the LSTM model, the MAAPE is 3.65, 3.93, and 3.21 for the cases without CAT, global-based CAT, and cluster-based CAT, respectively. For the transformer model, the MAAPE is 5.19, 5.44, and 5 for the cases without CAT, global-based CAT, and cluster-based CAT, respectively. For the combined structure of LSTM and a transformer, the MAAPE is 2.22, 3.17, and 2.96 for the cases without CAT, global-based CAT, and cluster-based CAT, respectively.
We can observe that the cluster-based CAT approach reduces the prediction errors to the level of the baseline no-CAT approach in some models and slightly outperforms it in most cases. When comparing the cluster-based CAT to the global-based CAT approach, the cluster-based method consistently exhibits superior performance across all machine learning models, including the LSTM, transformer, and combined structure of both LSTM and a transformer. This notable improvement in predictive accuracy can be attributed to the efficacy of the clustering methodology. By grouping consumers of similar consumption patterns together, the clustering approach facilitates a more manageable and precise prediction process. The homogeneity within each cluster enhances the model’s ability to capture and predict underlying patterns in the data, leading to reduced prediction errors. In contrast, the global-based approach deals with more diverse patterns, making the prediction task more challenging and less accurate.

5.3.4. Accuracy Evaluation of Our One-Class Classifier

We conducted two experiments to assess the performance of the proposed classifier through its two stages. The first experiment involved evaluating the training process of the autoencoder. In the second experiment, subsequent to the autoencoder’s training, we assessed the accuracy of the one-class detector, which integrates both the autoencoder and the OC-SVM.
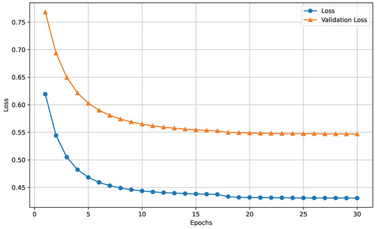
Experiment 1. In this experiment, we train the autoencoder on the errors obtained from the predictor, which represent the difference between the predicted reading and the actual true readings. Figure 14 shows training and validation loss across the number of epochs. The observed decrement in training loss signifies the effective optimization of and successful reduction in the model’s loss on the training error data. Concurrently, the reduction in validation loss suggests satisfactory generalization capability to unseen error data. The stabilization of both loss curves at a consistent value implies convergence and suggests that the training process has achieved an optimal state.
Experiment 2. In this experiment, we compare our proposed approach with training an OC-SVM directly on the predictor’s errors. To measure accuracy, we use a cyberattack function to generate low consumption data [11]. These malicious data, E m , are used only during evaluation to assess the performance of the one-class classifier and are not used during training. The malicious data constitute 50% of the evaluation set and are obtained as follows:
E m ( d , t ) = α E ( d , t ) ,
where E ( d , t ) denotes the benign consumption readings of day d and time period t, and α represents a constant scaling factor ranging from 0 to 1. The remaining 50% of the evaluation set consists of benign data from honest consumers, E ( d , t ) . Table 5 gives the confusion matrix of two architectures—OC-SVM and the proposed combined architecture of the autoencoder and OC-SVM—while Table 6 compares the performance metrics. The results demonstrate a marked improvement in terms of accuracy, precision, recall, and F1 score with the proposed approach, which involves training an autoencoder on the predictor errors and subsequently using the encoded features to train the OC-SVM, compared to directly training an OC-SVM on the predictor errors. This improvement can be attributed to the autoencoder’s ability to effectively capture and compress relevant features from the predictor errors, thereby reducing noise and dimensionality. This facilitates the OC-SVM’s classification process by providing more representative and distinguishable features, which enhances the model’s ability to accurately classify the data.

6. Conclusions and Future Works

In this paper, we proposed a two-stage power consumption predictor and one-class classifier for detecting electricity theft in the smart grid while optimizing data collection through the use of CAT data collection approach. Initially, we developed a global-based predictor trained solely on benign CAT consumption readings. The MAAPE values without the use of the CAT approach were 3.65 for the LSTM, 5.19 for the transformer, and 2.22 for the combined LSTM and transformer models. As the CAT threshold was increased from 10% to 30%, the MAAPE ranged from 3.93 to 4.71 for the LSTM, 5.44 to 8.2 for the transformer, and 3.17 to 3.61 for the combined models. Implementing the CAT approach resulted in significant transmission savings: 20.9% at a 10% threshold, 44.9% at 20%, and 64.8% at 30%. To enhance prediction accuracy, we proposed a cluster-based predictor, grouping consumers with similar consumption patterns. The MAAPE values for the cases when actual readings are used, global-based CAT, and cluster-based CAT were 3.65, 3.93, and 3.21 for the LSTM model; 5.19, 5.44, and 5 for the transformer model; and 2.22, 3.17, and 2.96 for the combined models, respectively. In the second stage, we trained an autoencoder and an OC-SVM using benign reconstruction errors from the predictor to detect electricity theft. This approach demonstrated superior performance, achieving accuracy, precision, recall, and F1 scores of 95.6, 92.2, 99.8, and 96.4, compared to 89.2, 91, 86, and 88.7 for the OC-SVM. A possible limitation of the clustering-based method is the need for more computational resources to cluster data and training a model for each cluster instead of training only one model for all consumers. Given the high accuracy of our model, this extra computation can be justified.
This paper does not address privacy preservation. In practice, power consumption readings can reveal sensitive information about consumers, such as the appliances they are using, their sleep patterns, and whether they are traveling. These privacy concerns may discourage consumers from sharing their data, which is necessary to train machine learning models. To overcome this limitation, we plan to explore privacy-preserving techniques, such as federated learning, for training our model.
Additionally, this paper does not examine adversarial attacks, such as Trojan attacks. In a Trojan attack, the model is trained on specially crafted data to introduce vulnerabilities. As a result, the model performs well on clean data but misclassifies data containing a trigger. This vulnerability could allow attackers to steal electricity undetected. In our future work, we will investigate this type of attack to enhance the security of our classifier.
Finally, in smart grid net metering systems, renewable energy generators (such as solar panels) are installed at consumer locations. When there is surplus energy production, the system injects power into the grid for monetary incentives, and consumers draw power from the grid when there is a shortage. Unlike the consumption metering system considered in this paper, net meters report the difference between the power consumed and the power injected, which can result in either a positive or negative value. In future work, we will explore applying our proposed approach to this system.

Author Contributions

Conceptualization, A.B., M.B., M.M., M.A. (Maazen Alsabaan), M.A. (Muteb Alsaqhan) and M.I.I.; Methodology, A.B., O.A., M.B., M.M., M.A. (Maazen Alsabaan), M.A. (Muteb Alsaqhan) and M.I.I.; Software, O.A. and M.A. (Muteb Alsaqhan); Validation, A.B., O.A. and M.A. (Maazen Alsabaan); Investigation, A.B., O.A., M.M. and M.A. (Maazen Alsabaan); Writing—original draft, A.B., O.A. and M.A. (Maazen Alsabaan); Writing—review & editing, M.B., M.M. and M.I.I.; Supervision, M.M. and M.A. (Maazen Alsabaan). All authors have read and agreed to the published version of the manuscript.

Funding

This work was supported by the Researchers Supporting Project number (RSPD2024R636), King Saud University, Riyadh, Saudi Arabia.

Institutional Review Board Statement

Not applicable.

Informed Consent Statement

Not applicable.

Data Availability Statement

The original contributions presented in the study are included in the article, further inquiries can be directed to the corresponding author.

Conflicts of Interest

The authors declare no conflict of interest.

Abbreviations

The following abbreviations are used in this manuscript:
ACCAccuracy;
AMIAdvanced Metering Infrastructure;
ARIMAAutoregressive Integrated Moving Average;
CATChange and Transmit;
CNNConvolutional Neural Network;
DRDetection Rate;
DSVDDDeep Support Vector Data Description;
DTDecision Tree;
FNFalse Negative;
FPFalse Positive;
GRUGated Recurrent Unit;
ISETIrish Smart Energy Trial;
LSTMLong Short-Term Memory;
MLMachine Learning;
MAAPEMean Arctangent Absolute Percentage Error;
MSEMean Squared Error;
NLPNatural Language Processing;
OC-SVMOne-Class Support Vector Machine;
PCAPrincipal Component Analysis;
PRPrecision;
RFRandom Forest;
RNNRecurrent Neural Network;
SMSmart Meter;
SVMSupport Vector Machine;
TNTrue Negative;
TPTrue Positive.

References

  1. Fahim, K.E.; Islam, M.R.; Shihab, N.A.; Olvi, M.R.; Al Jonayed, K.L.; Das, A.S. Transformation and future trends of smart grid using machine and deep learning: A state-of-the-art review. Int. J. Appl. 2024, 13, 583–593. [Google Scholar] [CrossRef]
  2. Wu, C.L.; Lu, T.T.; Lee, C.T.; Sun, J.S.; Lin, H.P.; Hwang, Y.S.; Sung, W.T. Novel AMI in Zigbee Satellite Network Based on Heterogeneous Wireless Sensor Network for Global Machine-to-Machine Connectivity. Electronics 2024, 13, 1421. [Google Scholar] [CrossRef]
  3. Ibrahem, M.I.; Mahmoud, M.; Fouda, M.M.; Alsolami, F.; Alasmary, W.; Shen, X. Privacy preserving and efficient data collection scheme for AMI networks using deep learning. IEEE Internet Things J. 2021, 8, 17131–17146. [Google Scholar] [CrossRef]
  4. Ibrahem, M.I.; Mahmoud, M.M.; Alsolami, F.; Alasmary, W.; Al-Ghamdi, A.S.A.M.; Shen, X. Electricity-theft detection for change-and-transmit advanced metering infrastructure. IEEE Internet Things J. 2022, 9, 25565–25580. [Google Scholar] [CrossRef]
  5. Bondok, A.H.; Mahmoud, M.; Badr, M.M.; Fouda, M.M.; Abdallah, M.; Alsabaan, M. Novel evasion attacks against adversarial training defense for smart grid federated learning. IEEE Access 2023, 11, 112953–112972. [Google Scholar] [CrossRef]
  6. Bondok, A.H.; Mahmoud, M.; Badr, M.M.; Fouda, M.M.; Alsabaan, M. A Distillation-Based Attack Against Adversarial Training Defense for Smart Grid Federated Learning. In Proceedings of the 2024 IEEE 21st Consumer Communications & Networking Conference (CCNC), Las Vegas, NV, USA, 6–9 January 2024; pp. 963–968. [Google Scholar]
  7. Badr, M.M. Security and Privacy Preservation for Smart Grid AMI Using Machine Learning and Cryptography. Ph.D Thesis, Tennessee Technological University, Cookeville, TN, USA, 2022. [Google Scholar]
  8. Badr, M.M.; Mahmoud, M.M.E.A.; Abdulaal, M.; Aljohani, A.J.; Alsolami, F.; Balamsh, A. A Novel Evasion Attack Against Global Electricity Theft Detectors and a Countermeasure. IEEE Internet Things J. 2023, 10, 11038–11053. [Google Scholar] [CrossRef]
  9. El-Toukhy, A.T.; Badr, M.M.; Mahmoud, M.M.E.A.; Srivastava, G.; Fouda, M.M.; Alsabaan, M. Electricity Theft Detection Using Deep Reinforcement Learning in Smart Power Grids. IEEE Access 2023, 11, 59558–59574. [Google Scholar] [CrossRef]
  10. Elgarhy, I.; El-Toukhy, A.T.; Badr, M.M.; Mahmoud, M.; Fouda, M.M.; Alsabaan, M.; Kholidy, H.A. Secured Cluster-Based Electricity Theft Detectors Against Blackbox Evasion Attacks. In Proceedings of the 2024 IEEE 21st Consumer Communications & Networking Conference (CCNC), Las Vegas, NV, USA, 6–9 January 2024; pp. 333–338. [Google Scholar]
  11. Jokar, P.; Arianpoo, N.; Leung, V.C.M. Electricity Theft Detection in AMI Using Customers’ Consumption Patterns. IEEE Trans. Smart Grid 2016, 7, 216–226. [Google Scholar] [CrossRef]
  12. Jindal, A.; Dua, A.; Kaur, K.; Singh, M.; Kumar, N.; Mishra, S. Decision Tree and SVM-Based Data Analytics for Theft Detection in Smart Grid. IEEE Trans. Ind. Inform. 2016, 12, 1005–1016. [Google Scholar] [CrossRef]
  13. Punmiya, R.; Choe, S. Energy theft detection using gradient boosting theft detector with feature engineering-based preprocessing. IEEE Trans. Smart Grid 2019, 10, 2326–2329. [Google Scholar] [CrossRef]
  14. Buzau, M.M.; Tejedor-Aguilera, J.; Cruz-Romero, P.; Gómez-Expósito, A. Detection of non-technical losses using smart meter data and supervised learning. IEEE Trans. Smart Grid 2018, 10, 2661–2670. [Google Scholar] [CrossRef]
  15. Takiddin, A.; Ismail, M.; Zafar, U.; Serpedin, E. Deep Autoencoder-Based Anomaly Detection of Electricity Theft Cyberattacks in Smart Grids. IEEE Syst. J. 2022, 16, 4106–4117. [Google Scholar] [CrossRef]
  16. Habbak, H.; Mahmoud, M.; Fouda, M.M.; Alsabaan, M.; Mattar, A.; Salama, G.I.; Metwally, K. Efficient One-Class False Data Detector Based on Deep SVDD for Smart Grids. Energies 2023, 16, 7069. [Google Scholar] [CrossRef]
  17. Huang, S.J.; Shih, K.R. Short-term load forecasting via ARIMA model identification including non-Gaussian process considerations. IEEE Trans. Power Syst. 2003, 18, 673–679. [Google Scholar] [CrossRef]
  18. Ghelardoni, L.; Ghio, A.; Anguita, D. Energy Load Forecasting Using Empirical Mode Decomposition and Support Vector Regression. IEEE Trans. Smart Grid 2013, 4, 549–556. [Google Scholar] [CrossRef]
  19. Xie, Z.; Wang, R.; Wu, Z.; Liu, T. Short-Term Power Load Forecasting Model Based on Fuzzy Neural Network using Improved Decision Tree. In Proceedings of the IEEE Sustainable Power and Energy Conference (iSPEC), Beijing, China, 21–23 November 2019; pp. 482–486. [Google Scholar] [CrossRef]
  20. Amarasinghe, K.; Marino, D.L.; Manic, M. Deep neural networks for energy load forecasting. In Proceedings of the IEEE 26th International Symposium on Industrial Electronics (ISIE), Edinburgh, UK, 19–21 June 2017; pp. 1483–1488. [Google Scholar] [CrossRef]
  21. Kong, W.; Dong, Z.Y.; Jia, Y.; Hill, D.J.; Xu, Y.; Zhang, Y. Short-Term Residential Load Forecasting Based on LSTM Recurrent Neural Network. IEEE Trans. Smart Grid 2019, 10, 841–851. [Google Scholar] [CrossRef]
  22. Bouktif, S.; Fiaz, A.; Ouni, A.; Serhani, M.A. Optimal Deep Learning LSTM Model for Electric Load Forecasting using Feature Selection and Genetic Algorithm: Comparison with Machine Learning Approaches. Energies 2018, 11, 1636. [Google Scholar] [CrossRef]
  23. Kong, W.; Dong, Z.Y.; Hill, D.J.; Luo, F.; Xu, Y. Short-Term Residential Load Forecasting Based on Resident Behaviour Learning. IEEE Trans. Power Syst. 2018, 33, 1087–1088. [Google Scholar] [CrossRef]
  24. Shi, H.; Xu, M.; Li, R. Deep Learning for Household Load Forecasting—A Novel Pooling Deep RNN. IEEE Trans. Smart Grid 2018, 9, 5271–5280. [Google Scholar] [CrossRef]
  25. Stephen, B.; Tang, X.; Harvey, P.R.; Galloway, S.; Jennett, K.I. Incorporating Practice Theory in Sub-Profile Models for Short Term Aggregated Residential Load Forecasting. IEEE Trans. Smart Grid 2017, 8, 1591–1598. [Google Scholar] [CrossRef]
  26. Razavi, S.E.; Arefi, A.; Ledwich, G.; Nourbakhsh, G.; Smith, D.B.; Minakshi, M. From Load to Net Energy Forecasting: Short-Term Residential Forecasting for the Blend of Load and PV Behind the Meter. IEEE Access 2020, 8, 224343–224353. [Google Scholar] [CrossRef]
  27. Badr, M.M.; Ibrahem, M.I.; Mahmoud, M.; Alasmary, W.; Fouda, M.M.; Almotairi, K.H.; Fadlullah, Z.M. Privacy-Preserving Federated-Learning-Based Net-Energy Forecasting. In Proceedings of the SoutheastCon 2022, Mobile, AL, USA, 26 March–3 April 2022; pp. 133–139. [Google Scholar]
  28. Badr, M.M.; Mahmoud, M.M.E.A.; Fang, Y.; Abdulaal, M.; Aljohani, A.J.; Alasmary, W.; Ibrahem, M.I. Privacy-Preserving and Communication-Efficient Energy Prediction Scheme Based on Federated Learning for Smart Grids. IEEE Internet Things J. 2023, 10, 7719–7736. [Google Scholar] [CrossRef]
  29. Wu, C.; Cao, H.; Xu, G.; Zhou, C.; Sun, J.; Yan, R.; Liu, Y.; Jiang, H. It’s All in the Touch: Authenticating Users with HOST Gestures on Multi-Touch Screen Devices. IEEE Trans. Mob. Comput. 2024, 23, 10016–10030. [Google Scholar] [CrossRef]
  30. Liang, R.; Chen, J.; He, K.; Wu, Y.; Deng, G.; Du, R.; Wu, C. Ponziguard: Detecting ponzi schemes on ethereum with contract runtime behavior graph (crbg). In Proceedings of the 46th IEEE/ACM International Conference on Software Engineering, Lisbon, Portugal, 14–20 April 2024; pp. 1–12. [Google Scholar]
  31. Bhat, R.R.; Trevizan, R.D.; Sengupta, R.; Li, X.; Bretas, A. Identifying Nontechnical Power Loss via Spatial and Temporal Deep Learning. In Proceedings of the IEEE International Conference on Machine Learning and Applications (ICMLA), Anaheim, CA, USA, 18–20 December 2016; pp. 272–279. [Google Scholar]
  32. Zheng, Z.; Yang, Y.; Niu, X.; Dai, H.; Zhou, Y. Wide and Deep Convolutional Neural Networks for Electricity-Theft Detection to Secure Smart Grids. IEEE Trans. Ind. Inform. 2018, 14, 1606–1615. [Google Scholar] [CrossRef]
  33. Badr, M.M.; Ibrahem, M.I.; Mahmoud, M.; Fouda, M.M.; Alsolami, F.; Alasmary, W. Detection of False-Reading Attacks in Smart Grid Net-Metering System. IEEE Internet Things J. 2022, 9, 1386–1401. [Google Scholar] [CrossRef]
  34. Alshehri, A.; Badr, M.M.; Baza, M.; Alshahrani, H. Deep Anomaly Detection Framework Utilizing Federated Learning for Electricity Theft Zero-Day Cyberattacks. Sensors 2024, 24, 3236. [Google Scholar] [CrossRef]
  35. Singh, S.K.; Bose, R.; Joshi, A. PCA based electricity theft detection in advanced metering infrastructure. In Proceedings of the 2017 7th International Conference on Power Systems (ICPS), Pune, India, 21–23 December 2017; pp. 441–445. [Google Scholar] [CrossRef]
  36. Badrinath Krishna, V.; Iyer, R.K.; Sanders, W.H. ARIMA-based modeling and validation of consumption readings in power grids. In Proceedings of the International Conference on Critical Information Infrastructures Security, Berlin, Germany, 5–7 October 2015; Springer: Cham, Switzerland, 2015; pp. 199–210. [Google Scholar]
  37. Krishna, V.B.; Gunter, C.A.; Sanders, W.H. Evaluating Detectors on Optimal Attack Vectors That Enable Electricity Theft and DER Fraud. IEEE J. Sel. Top. Signal Process. 2018, 12, 790–805. [Google Scholar] [CrossRef]
  38. Faraoun, K.M.; Boukelif, A. Neural Networks Learning Improvement using the K-Means Clustering Algorithm to Detect Network Intrusions. Int. J. Comput. Inf. Eng. 2007, 1, 3151–3158. [Google Scholar]
  39. Dash, B.; Mishra, D.; Rath, A.; Acharya, M. A hybridized K-means clustering approach for high dimensional dataset. Int. J. Eng. Sci. Technol. 2010, 2, 59–66. [Google Scholar] [CrossRef]
  40. Ha, D.; Schmidhuber, J. Recurrent world models facilitate policy evolution. Adv. Neural Inf. Process. Syst. 2018, 31, 2450–2462. [Google Scholar]
  41. Yin, W.; Kann, K.; Yu, M.; Schütze, H. Comparative study of CNN and RNN for natural language processing. arXiv 2017, arXiv:1702.01923. [Google Scholar]
  42. Ganai, A.F.; Khursheed, F. Predicting next Word using RNN and LSTM cells: Stastical Language Modeling. In Proceedings of the International Conference on Image Information Processing (ICIIP), Shimla, India, 15–17 November 2019; pp. 469–474. [Google Scholar]
  43. Graves, A.; Mohamed, A.; Hinton, G. Speech recognition with deep recurrent neural networks. In Proceedings of the IEEE International Conference on Acoustics, Speech and Signal Processing, Vancouver, BC, Canada, 26–31 May 2013; pp. 6645–6649. [Google Scholar]
  44. Perera, P.; Patel, V.M. Learning Deep Features for One-Class Classification. IEEE Trans. Image Process. 2019, 28, 5450–5463. [Google Scholar] [CrossRef] [PubMed]
  45. Goyal, S.; Raghunathan, A.; Jain, M.; Simhadri, H.V.; Jain, P. DROCC: Deep Robust One-Class Classification. In Proceedings of the 37th International Conference on Machine Learning, Virtual, 13–18 July 2020; Daumé, H., III, Aarti, S., Eds.; PMLR: Westminster, UK, 2020; Volume 119, pp. 3711–3721. [Google Scholar]
  46. Khan, S.S.; Madden, M.G. One-class classification: Taxonomy of study and review of techniques. Knowl. Eng. Rev. 2014, 29, 345–374. [Google Scholar] [CrossRef]
  47. Zhu, F.; Yang, J.; Gao, C.; Xu, S.; Ye, N.; Yin, T. A weighted one-class support vector machine. Neurocomputing 2016, 189, 1–10. [Google Scholar] [CrossRef]
  48. Amer, M.; Goldstein, M.; Abdennadher, S. Enhancing One-Class Support Vector Machines for Unsupervised Anomaly Detection. In Proceedings of the ACM SIGKDD Workshop on Outlier Detection and Description, New York, NY, USA, 11 August 2013; pp. 8–15. [Google Scholar] [CrossRef]
  49. Shin, H.J.; Eom, D.H.; Kim, S.S. One-class support vector machines—An application in machine fault detection and classification. Comput. Ind. Eng. 2005, 48, 395–408. [Google Scholar] [CrossRef]
  50. Vaswani, A.; Shazeer, N.; Parmar, N.; Uszkoreit, J.; Jones, L.; Gomez, A.N.; Kaiser, L.u.; Polosukhin, I. Attention is All you Need. Adv. Neural Inf. Process. 2017, 30. [Google Scholar]
  51. Zhou, H.; Zhang, S.; Peng, J.; Zhang, S.; Li, J.; Xiong, H.; Zhang, W. Informer: Beyond Efficient Transformer for Long Sequence Time-Series Forecasting. arXiv 2020, arXiv:2012.07436. [Google Scholar] [CrossRef]
  52. Gillioz, A.; Casas, J.; Mugellini, E.; Khaled, O.A. Overview of the Transformer-based Models for NLP Tasks. In Proceedings of the 2020 15th Conference on Computer Science and Information Systems (FedCSIS), Sofia, Bulgaria, 6–9 September 2020; pp. 179–183. [Google Scholar] [CrossRef]
  53. Shaheen, Z.; Wohlgenannt, G.; Filtz, E. Large Scale Legal Text Classification Using Transformer Models. arXiv 2020, arXiv:2010.12871. [Google Scholar]
  54. Wu, H.; Xu, J.; Wang, J.; Long, M. Autoformer: Decomposition Transformers with Auto-Correlation for Long-Term Series Forecasting. arXiv 2021, arXiv:2106.13008. [Google Scholar]
  55. Zaman, M.; Saha, S.; Zohrabi, N.; Abdelwahed, S. Demand-Response Prediction in Smart Grids Using Machine Learning Techniques. In Proceedings of the 2024 IEEE Power & Energy Society Innovative Smart Grid Technologies Conference (ISGT), Bengaluru, India, 10–13 November 2024; pp. 1–5. [Google Scholar] [CrossRef]
  56. Irish Social Science Data Archive. Available online: https://www.ucd.ie/issda/data/commissionforenergyregulationcer/ (accessed on 15 July 2024).
  57. Kim, S.; Kim, H. A new metric of absolute percentage error for intermittent demand forecasts. Int. J. Forecast. 2016, 32, 669–679. [Google Scholar] [CrossRef]
  58. Hunter, J.D. Matplotlib: A 2D graphics environment. Comput. Sci. Eng. 2007, 9, 90–95. [Google Scholar] [CrossRef]
  59. The Functional API. Available online: https://keras.io/guides/functional_api/ (accessed on 15 July 2024).
  60. Pedregosa, F.; Varoquaux, G.; Gramfort, A.; Michel, V.; Thirion, B.; Grisel, O.; Blondel, M.; Prettenhofer, P.; Weiss, R.; Dubourg, V.; et al. Scikit-learn: Machine learning in Python. J. Mach. Learn. Res. 2011, 12, 2825–2830. [Google Scholar]
Figure 1. The main entities and the flow of data in a smart grid AMI network.
Figure 1. The main entities and the flow of data in a smart grid AMI network.
Applsci 14 09308 g001
Figure 2. Flowchart of K-means clustering.
Figure 2. Flowchart of K-means clustering.
Applsci 14 09308 g002
Figure 3. One-class support vector machine (OC-SVM).
Figure 3. One-class support vector machine (OC-SVM).
Applsci 14 09308 g003
Figure 4. Our proposed predictor architecture.
Figure 4. Our proposed predictor architecture.
Applsci 14 09308 g004
Figure 5. Our proposed clustering approach.
Figure 5. Our proposed clustering approach.
Applsci 14 09308 g005
Figure 6. Selecting the number of clusters.
Figure 6. Selecting the number of clusters.
Applsci 14 09308 g006
Figure 7. Our proposed one-class classifier.
Figure 7. Our proposed one-class classifier.
Applsci 14 09308 g007
Figure 8. MAAPE vs. used transmission approach for LSTM of global-based predictor.
Figure 8. MAAPE vs. used transmission approach for LSTM of global-based predictor.
Applsci 14 09308 g008
Figure 9. MAAPE vs. used transmission approach for transformer of global-based predictor.
Figure 9. MAAPE vs. used transmission approach for transformer of global-based predictor.
Applsci 14 09308 g009
Figure 10. MAAPE vs. used transmission approach for LSTM + transformer of global-based predictor.
Figure 10. MAAPE vs. used transmission approach for LSTM + transformer of global-based predictor.
Applsci 14 09308 g010
Figure 11. MAAPE vs. used transmission approach for LSTM of cluster-based predictor.
Figure 11. MAAPE vs. used transmission approach for LSTM of cluster-based predictor.
Applsci 14 09308 g011
Figure 12. M A A P E vs. used transmission approach for transformer of cluster-based predictor.
Figure 12. M A A P E vs. used transmission approach for transformer of cluster-based predictor.
Applsci 14 09308 g012
Figure 13. M A A P E vs. used transmission approach for LSTM + transformer of cluster-based predictor.
Figure 13. M A A P E vs. used transmission approach for LSTM + transformer of cluster-based predictor.
Applsci 14 09308 g013
Figure 14. Loss of autoencoder vs. number of epochs.
Figure 14. Loss of autoencoder vs. number of epochs.
Applsci 14 09308 g014
Table 1. The definitions of symbols used in this paper.
Table 1. The definitions of symbols used in this paper.
SymbolDefinition
α A constant scaling factor ranging from 0 to 1.
η The transmission efficiency—the percentage of saving.
E ( d , t ) The benign consumption readings of day d and time period t.
E m ( d , t ) The malicious consumption readings.
f ω The decoder component of the autoencoder.
g ω The encoder component of the autoencoder.
KThe number of clusters.
L The loss function.
r t The reading reported at time slot t.
R c The number of readings transmitted using the CAT approach.
R p The number of readings that are transmitted using periodic transmission approach.
x t The vector input into the predictor that has the last 48 readings.
y t The output of the predictor, which is the predicated next reading.
Table 2. The configuration settings of the LSTM-based predictor.
Table 2. The configuration settings of the LSTM-based predictor.
ArchitectureHyperparameters
Architecture Layer# UnitsActivation Function
LSTMInput48Linear
LSTM128Sigmoid
LSTM128Sigmoid
LSTM128Sigmoid
Output1Softmax
Table 3. The configuration settings of the transformer-based predictor.
Table 3. The configuration settings of the transformer-based predictor.
ArchitectureHyperparameters
Architecture Layer# UnitsActivation Function
TransformerInput48Linear
Multi-Head Attention8Sigmoid
Normalization Layer--
Multi-Head Attention8Sigmoid
Normalization Layer--
Output1Softmax
Table 4. Evaluation of savings under CAT approach.
Table 4. Evaluation of savings under CAT approach.
ApproachCAT
Savings10%20%30%
η 20.944.964.8
Table 5. Confusion matrix of the one-class classifier.
Table 5. Confusion matrix of the one-class classifier.
ArchitectureOC-SVMAutoencoder + OC-SVM
TP153,741188,663
FP15,13215,937
FN25,469377
TN190,308189,503
Table 6. Evaluating the performance of the one-class classifier.
Table 6. Evaluating the performance of the one-class classifier.
ArchitectureOC-SVMAutoencoder + OC-SVM
Accuracy89.295.6
Precision9192.2
Recall8699.8
F188.796.4
Disclaimer/Publisher’s Note: The statements, opinions and data contained in all publications are solely those of the individual author(s) and contributor(s) and not of MDPI and/or the editor(s). MDPI and/or the editor(s) disclaim responsibility for any injury to people or property resulting from any ideas, methods, instructions or products referred to in the content.

Share and Cite

MDPI and ACS Style

Bondok, A.; Abdelsalam, O.; Badr, M.; Mahmoud, M.; Alsabaan, M.; Alsaqhan, M.; Ibrahem, M.I. Accurate Power Consumption Predictor and One-Class Electricity Theft Detector for Smart Grid “Change-and-Transmit” Advanced Metering Infrastructure. Appl. Sci. 2024, 14, 9308. https://doi.org/10.3390/app14209308

AMA Style

Bondok A, Abdelsalam O, Badr M, Mahmoud M, Alsabaan M, Alsaqhan M, Ibrahem MI. Accurate Power Consumption Predictor and One-Class Electricity Theft Detector for Smart Grid “Change-and-Transmit” Advanced Metering Infrastructure. Applied Sciences. 2024; 14(20):9308. https://doi.org/10.3390/app14209308

Chicago/Turabian Style

Bondok, Atef, Omar Abdelsalam, Mahmoud Badr, Mohamed Mahmoud, Maazen Alsabaan, Muteb Alsaqhan, and Mohamed I. Ibrahem. 2024. "Accurate Power Consumption Predictor and One-Class Electricity Theft Detector for Smart Grid “Change-and-Transmit” Advanced Metering Infrastructure" Applied Sciences 14, no. 20: 9308. https://doi.org/10.3390/app14209308

APA Style

Bondok, A., Abdelsalam, O., Badr, M., Mahmoud, M., Alsabaan, M., Alsaqhan, M., & Ibrahem, M. I. (2024). Accurate Power Consumption Predictor and One-Class Electricity Theft Detector for Smart Grid “Change-and-Transmit” Advanced Metering Infrastructure. Applied Sciences, 14(20), 9308. https://doi.org/10.3390/app14209308

Note that from the first issue of 2016, this journal uses article numbers instead of page numbers. See further details here.

Article Metrics

Back to TopTop