Machine Learning Accelerated Design of High-Temperature Ternary and Quaternary Nitride Superconductors
Abstract
1. Introduction
2. Materials and Methods
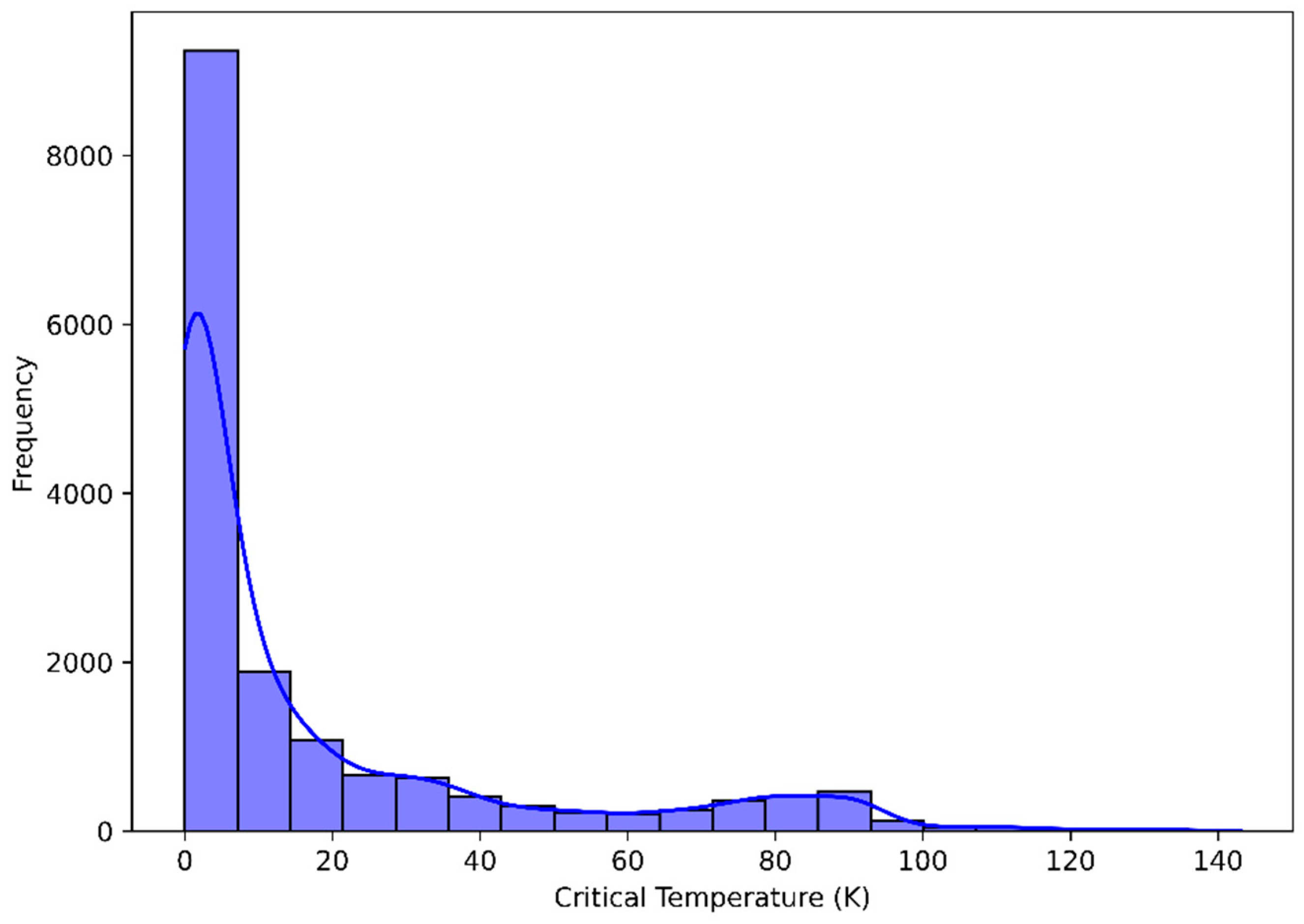
2.1. Data Description
2.2. Feature Engineering
2.3. Model Selection and Hyperparameter Optimization
3. Results and Discussion
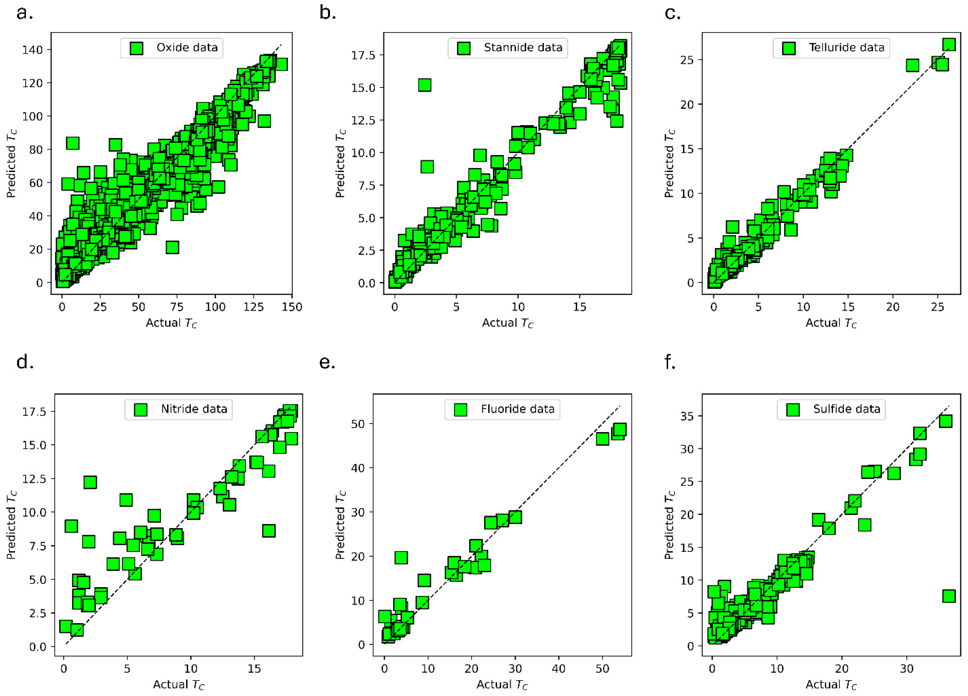
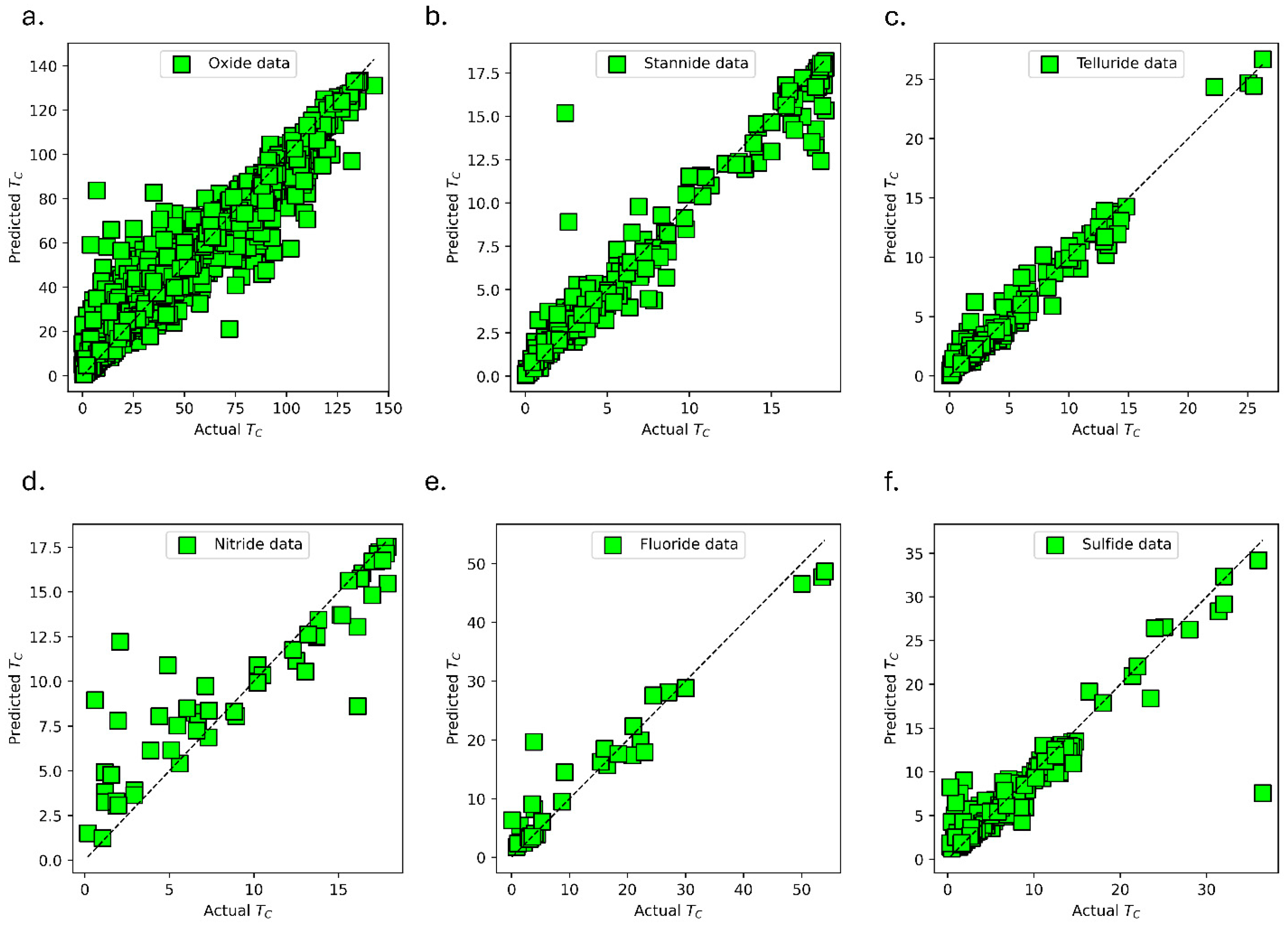
3.1. Chemistry—Property Correlation
3.2. Feature Importance
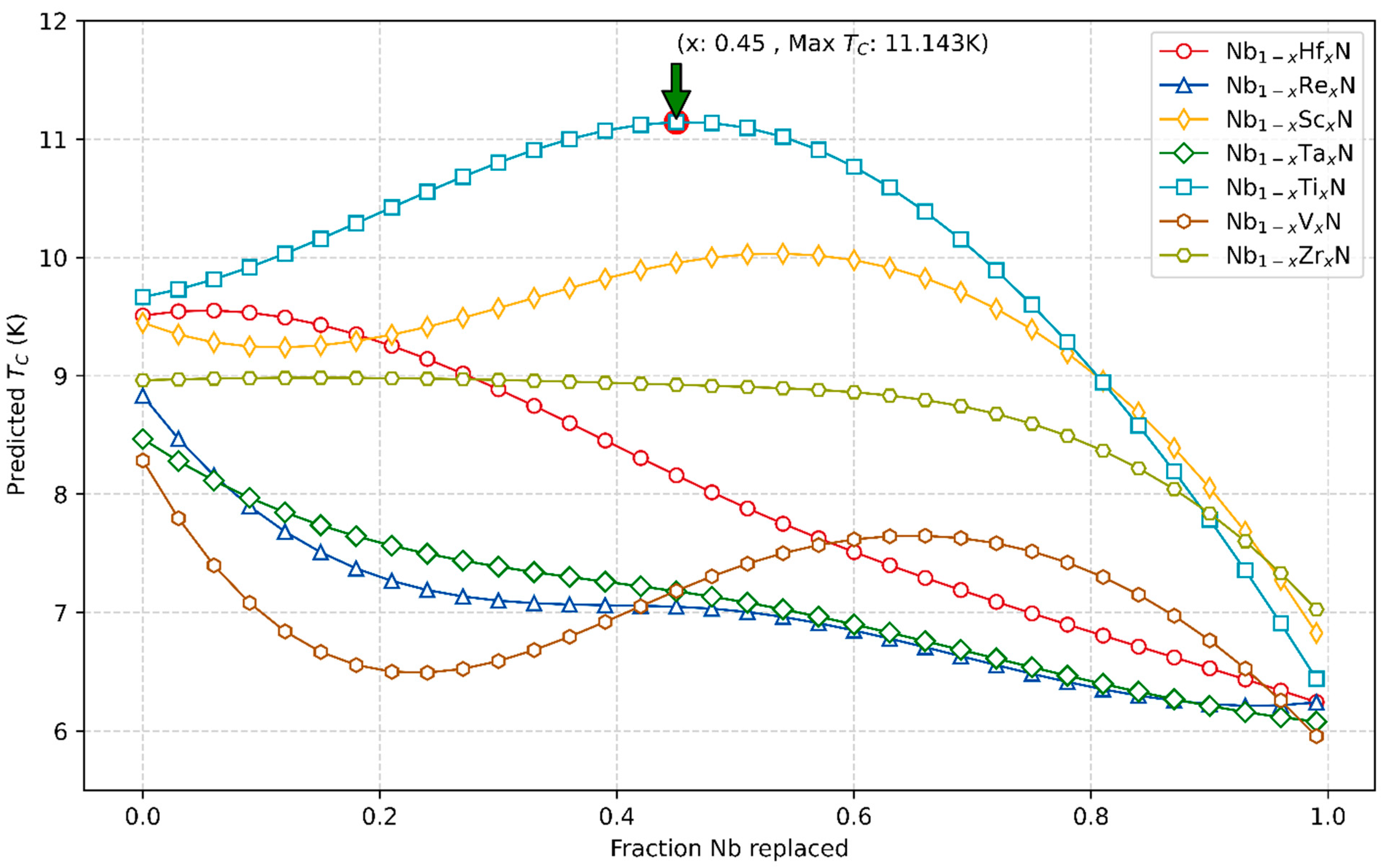
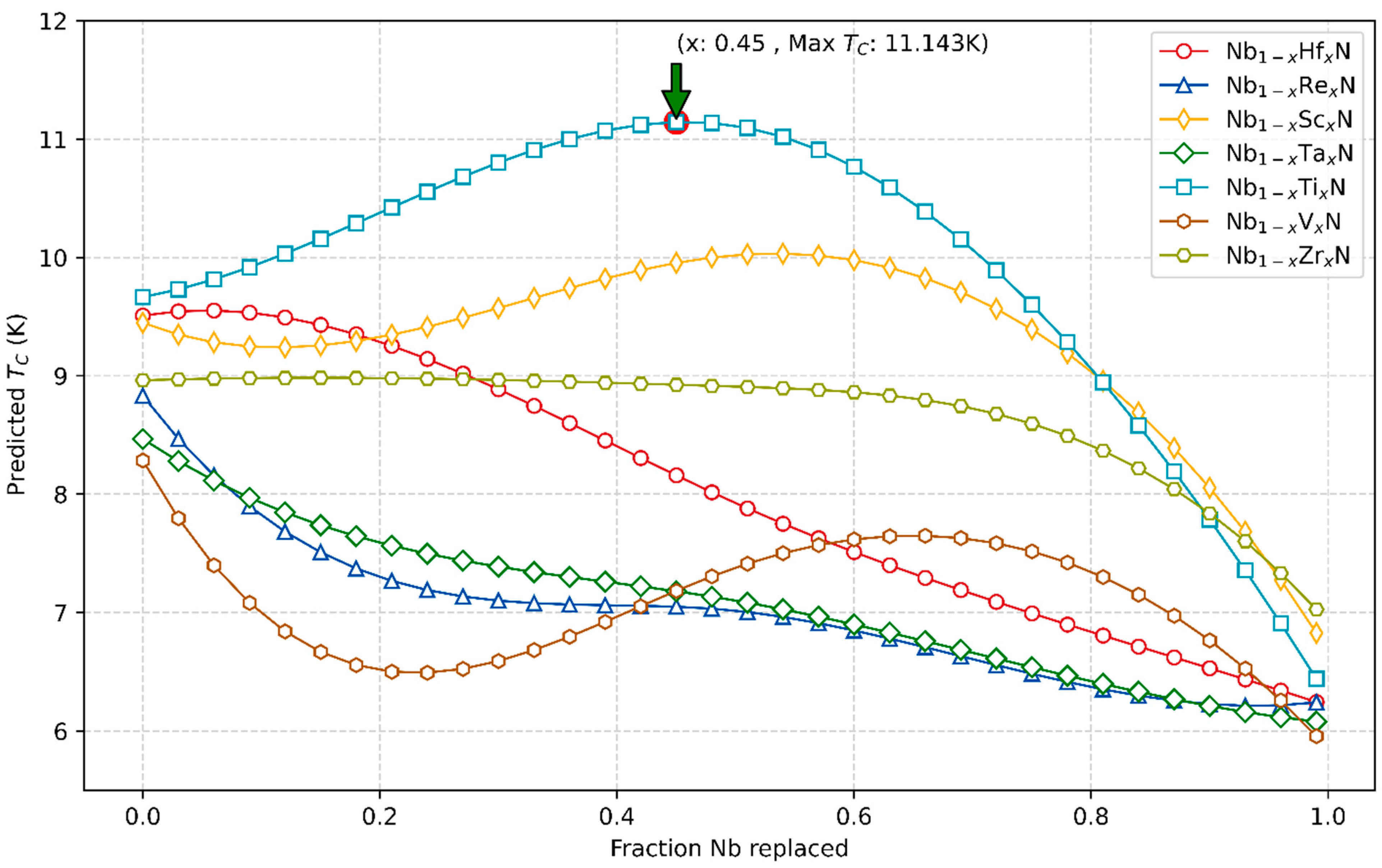
3.3. Effects of Elemental Substitution on NbN Structure
3.4. Ternary Transition Metal Nitrides as Superconductor
3.5. Quaternary Nitrides as Superconductor
4. Conclusions
Supplementary Materials
Author Contributions
Funding
Institutional Review Board Statement
Informed Consent Statement
Data Availability Statement
Acknowledgments
Conflicts of Interest
References
- Cucciniello, N.; Lee, D.; Feng, H.Y.; Yang, Z.; Zeng, H.; Patibandla, N.; Zhu, M.; Jia, Q. Superconducting niobium nitride: A perspective from processing, microstructure, and superconducting property for single photon detectors. J. Phys. Condens. Matter 2022, 34, 374003. [Google Scholar] [CrossRef]
- Aschermann, G.; Friederich, E.; Justi, E.; Kramer, J. Supraleitfähige Verbindungen mit extrem hohen Sprungtemperaturen (NbH und NbN). In Technischwissenschaftliche Abhandlungen der Osram-Gesellschaft: 5. Band; Springer: Berlin/Heidelberg, Germany, 1943; pp. 401–416. [Google Scholar]
- Jouve, G.; Séverac, C.; Cantacuzène, S. XPS study of NbN and (NbTi)N superconducting coatings. Thin Solid Film. 1996, 287, 146–153. [Google Scholar] [CrossRef]
- Krishnan, R.; David, C.; Ajikumar, P.K.; Dash, S.; Tyagi, A.K.; Jayaram, V.; Raj, B. Reactive pulsed laser deposition and characterization of niobium nitride thin films. Surf. Coat. Technol. 2011, 206, 1196–1202. [Google Scholar] [CrossRef]
- Hiltunen, L.; Leskelä, M.; Mäkelä, M.; Niinistö, L.; Nykänen, E.; Soininen, P. Nitrides of titanium, niobium, tantalum and molybdenum grown as thin films by the atomic layer epitaxy method. Thin Solid Film. 1988, 166, 149–154. [Google Scholar] [CrossRef]
- Groll, N.R.; Klug, J.A.; Cao, C.; Altin, S.; Claus, H.; Becker, N.G.; Zasadzinski, J.F.; Pellin, M.J.; Proslier, T. Tunneling spectroscopy of superconducting MoN and NbTiN grown by atomic layer deposition. Appl. Phys. Lett. 2014, 104, 092602. [Google Scholar] [CrossRef]
- Lee, P.J.; Fischer, C.M.; Larbalestier, D.C.; Naus, M.T.; Squitieri, A.A.; Starch, W.L.; Werner, J.; Limon, P.J.; Sabbi, C.; Zlobin, A.; et al. Development of high performance multifilamentary Nb-Ti-Ta superconductor for LHC insertion quadrupoles. IEEE Trans. Appl. Supercond. 1999, 9, 1571–1574. [Google Scholar] [CrossRef]
- Yu, L.; Singh, R.; Liu, H.; Wu, S.; Hu, R.; Durand, D.; Bulman, J.; Rowell, J.; Newman, N. Fabrication of Niobium Titanium Nitride Thin Films With High Superconducting Transition Temperatures and Short Penetration Lengths. IEEE Trans. Appl. Supercond. 2005, 15, 44–48. [Google Scholar] [CrossRef]
- Burton, M.C.; Beebe, M.R.; Yang, K.; Lukaszew, R.A.; Valente-Feliciano, A.-M.; Reece, C. Superconducting NbTiN thin films for superconducting radio frequency accelerator cavity applications. J. Vac. Sci. Technol. A 2016, 34, 021518. [Google Scholar] [CrossRef]
- Andreone, A.; DiChiara, A.; Peluso, G.; Santoro, M.; Attanasio, C.; Maritato, L.; Vaglio, R. Surface impedance measurements of superconducting (NbTi)N films by a ring microstrip resonator technique. J. Appl. Phys. 1993, 73, 4500–4506. [Google Scholar] [CrossRef]
- Gavaler, J.R.; Deis, D.W.; Hulm, J.K.; Jones, C.K. Superconducting properties of niobium-titanium-nitride thin films. Appl. Phys. Lett. 1969, 15, 329–331. [Google Scholar] [CrossRef]
- Di Leo, R.; Nigro, A.; Nobile, G.; Vaglio, R. Niboium-titanium nitride thin films for superconducting rf accelerator cavities. J. Low Temp. Phys. 1990, 78, 41–50. [Google Scholar] [CrossRef]
- Dorenbos, S.N.; Reiger, E.M.; Perinetti, U.; Zwiller, V.; Zijlstra, T.; Klapwijk, T.M. Low noise superconducting single photon detectors on silicon. Appl. Phys. Lett. 2008, 93, 131101. [Google Scholar] [CrossRef]
- Yemane, Y.T.; Sowa, M.J.; Zhang, J.; Ju, L.; Deguns, E.W.; Strandwitz, N.C.; Prinz, F.B.; Provine, J. Superconducting niobium titanium nitride thin films deposited by plasma-enhanced atomic layer deposition. Supercond. Sci. Technol. 2017, 30, 095010. [Google Scholar] [CrossRef]
- Zmuidzinas, J.; Kooi, J.W.; Kawamura, J.; Chattopadhyay, G.; Bumble, B.; LeDuc, H.G.; Stern, J.A. Development of SIS mixers for 1 THz. In Proceedings of the Advanced Technology MMW, Radio, and Terahertz Telescopes, Kona, HI, USA, 20–28 March 1998; pp. 53–62. [Google Scholar]
- He, Y.; Lin, J.; Liu, Z.; Wang, H.; Li, L.-J.; Han, S. AMC: AutoML for Model Compression and Acceleration on Mobile Devices. In Proceedings of the European Conference on Computer Vision (ECCV), Munich, Germany, 8–14 September 2018; Ferrari, V., Hebert, M., Sminchisescu, C., Weiss, Y., Eds.; Springer International Publishing: Cham, Germany, 2018; pp. 815–832. [Google Scholar]
- Grigorescu, S.; Trasnea, B.; Cocias, T.; Macesanu, G. A survey of deep learning techniques for autonomous driving. J. Field Robot. 2020, 37, 362–386. [Google Scholar] [CrossRef]
- Sutton, R.S.; Barto, A.G. Reinforcement Learning: An Introduction; MIT Press: Cambridge, MA, USA, 2018. [Google Scholar]
- LeCun, Y.; Bengio, Y.; Hinton, G. Deep learning. Nature 2015, 521, 436–444. [Google Scholar] [CrossRef]
- Stanev, V.; Oses, C.; Kusne, A.G.; Rodriguez, E.; Paglione, J.; Curtarolo, S.; Takeuchi, I. Machine learning modeling of superconducting critical temperature. Npj Comput. Mater. 2018, 4, 29. [Google Scholar] [CrossRef]
- Foppiano, L.; Dieb, S.; Suzuki, A.; De Castro, P.B.; Iwasaki, S.; Uzuki, A.; Echevarria, M.G.E.; Meng, Y.; Terashima, K.; Romary, L.; et al. SuperMat: Construction of a linked annotated dataset from superconductors-related publications. Sci. Technol. Adv. Mater. Methods 2021, 1, 34–44. [Google Scholar] [CrossRef]
- Ward, L.; Dunn, A.; Faghaninia, A.; Zimmermann, N.E.R.; Bajaj, S.; Wang, Q.; Montoya, J.; Chen, J.; Bystrom, K.; Dylla, M.; et al. Matminer: An open source toolkit for materials data mining. Comput. Mater. Sci. 2018, 152, 60–69. [Google Scholar] [CrossRef]
- FIZ Karlsruhe. Inorganic Crystal Structure Database (ICSD); FIZ Karlsruhe. 2024. Available online: https://icsd-fiz-karlsruhe-de.gate.lib.buffalo.edu/search/basic.xhtml (accessed on 8 October 2024).
- Brauer, G.; Mohr-Rosenbaum, E. Beitrag zur Kenntnis des Systems Niob–Tantal–Stickstoff. Z. Anorg. Allg. Chem. 1974, 405, 225–229. [Google Scholar] [CrossRef]
- Duwez, P.; Odell, F. Phase Relationships in the Binary Systems of Nitrides and Carbides of Zirconium, Columbium, Titanium, and Vanadium. J. Electrochem. Soc. 1950, 97, 299. [Google Scholar] [CrossRef]
- Wang, Z.; Huang, Y.; Yang, Y.; Wang, J.; Liu, C.T. Atomic-size effect and solid solubility of multicomponent alloys. Scr. Mater. 2015, 94, 28–31. [Google Scholar] [CrossRef]
- Zhang, Y.; Zhou, Y.; Lin, J.; Chen, G.; Liaw, P. Solid-Solution Phase Formation Rules for Multi-component Alloys. Adv. Eng. Mater. 2008, 10, 534–538. [Google Scholar] [CrossRef]
- Poletti, M.G.; Battezzati, L. Electronic and thermodynamic criteria for the occurrence of high entropy alloys in metallic systems. Acta Mater. 2014, 75, 297–306. [Google Scholar] [CrossRef]









| Figure 2 | Description |
|---|---|
| avg_dev GSvolume_pa | Average deviation in the Goldschmidt volume per atom from the dataset mean provides a measure of the variation in atomic volume. |
| avg_dev SpaceGroupNumber | Average deviation of the space group numbers represents the variances in symmetry and periodicity between crystal structures. |
| avg_dev Electronegativity | Average variation in electronegativity of the elements present, giving insight into the distribution of electrons. |
| mode CovalentRadius | Most frequently occurring covalent radius among the elements in the material, which impacts bonding and electronic structure. |
| range MendeleevNumber | Difference between the highest and lowest Mendeleev numbers in the compound. |
| mean NUnfilled | Average number of unfilled electron states. |
| mode MeltingT | Most common melting point among the constituent elements |
| mode Electronegativity | Most common value of electronegativity found among the elements. |
| minimum CovalentRadius | Smallest covalent radius of the elements present. |
| mean Electronegativity | Average electronegativity of the elements. |
| avg_dev NdValence | Average deviation in the valence electron counts for the f-block elements (Nd). |
| avg_dev NpValence | Similar to NdValence, but for the p-block elements. |
| minimum Electronegativity | The lowest value of electronegativity among the elements in the material. |
| 2-norm | Mathematical norm that is used here as a measure of the magnitude of vectors. |
| minimum NValence | The smallest valence electron counts of the elements present. |
| Binary Nitride | Ternary Nitride | Quaternary Nitride | |||
|---|---|---|---|---|---|
| Composition | Predicted TC (K) | Composition | Predicted TC (K) | Composition | Predicted TC (K) |
| NbN | 9.5 | Nb0.51Ti0.49N | 11.09 | Nb0.35Ta0.23Ti0.42N | 17.57 |
| HfN | 6.6 | Nb0.89Hf0.11N | 7.71 | Nb0.34Ta0.23Ti0.43N | 17.55 |
| ReN | 5.7 | Nb0.9Re0.1N | 7.90 | Nb0.28Ta0.26Ti0.46N | 17.53 |
| ScN | 5.67 | Nb0.35Sc0.65N | 10.39 | Nb0.32Ta0.34Ti0.34N | 17.53 |
| TaN | 5.84 | Nb0.89Ta0.11N | 7.91 | Nb0.34Ta0.21Ti0.45N | 17.52 |
| TiN | 4.71 | Nb0.42Ti0.58N | 11.11 | Nb0.32Ta0.28Ti0.40N | 17.51 |
| VN | 5.81 | Nb0.35V0.65N | 7.90 | Nb0.32Ta0.26Ti0.42N | 17.50 |
| ZrN | 6.52 | Nb0.83Zr0.17N | 9.18 | Nb0.28Ta0.28Ti0.44N | 17.46 |
Disclaimer/Publisher’s Note: The statements, opinions and data contained in all publications are solely those of the individual author(s) and contributor(s) and not of MDPI and/or the editor(s). MDPI and/or the editor(s) disclaim responsibility for any injury to people or property resulting from any ideas, methods, instructions or products referred to in the content. |
© 2024 by the authors. Licensee MDPI, Basel, Switzerland. This article is an open access article distributed under the terms and conditions of the Creative Commons Attribution (CC BY) license (https://creativecommons.org/licenses/by/4.0/).
Share and Cite
Islam, M.T.; Liu, Q.; Broderick, S. Machine Learning Accelerated Design of High-Temperature Ternary and Quaternary Nitride Superconductors. Appl. Sci. 2024, 14, 9196. https://doi.org/10.3390/app14209196
Islam MT, Liu Q, Broderick S. Machine Learning Accelerated Design of High-Temperature Ternary and Quaternary Nitride Superconductors. Applied Sciences. 2024; 14(20):9196. https://doi.org/10.3390/app14209196
Chicago/Turabian StyleIslam, Md Tohidul, Qinrui Liu, and Scott Broderick. 2024. "Machine Learning Accelerated Design of High-Temperature Ternary and Quaternary Nitride Superconductors" Applied Sciences 14, no. 20: 9196. https://doi.org/10.3390/app14209196
APA StyleIslam, M. T., Liu, Q., & Broderick, S. (2024). Machine Learning Accelerated Design of High-Temperature Ternary and Quaternary Nitride Superconductors. Applied Sciences, 14(20), 9196. https://doi.org/10.3390/app14209196
