Promotion Effects of High-Speed Rail on Urban Development: Evidence from Three Lines in China
Abstract
1. Introduction
2. Materials and Methods
2.1. Research Subject
2.2. Methods
3. Results
3.1. Overall Performance of the Advantage Index
3.2. Analysis Considering Relevant Influencing Factors
3.2.1. Different Performances of the Three Lines
3.2.2. Different Performances of Cities with Varying Administrative Levels
3.2.3. Different Performances of Cities of Varying Urban Scales
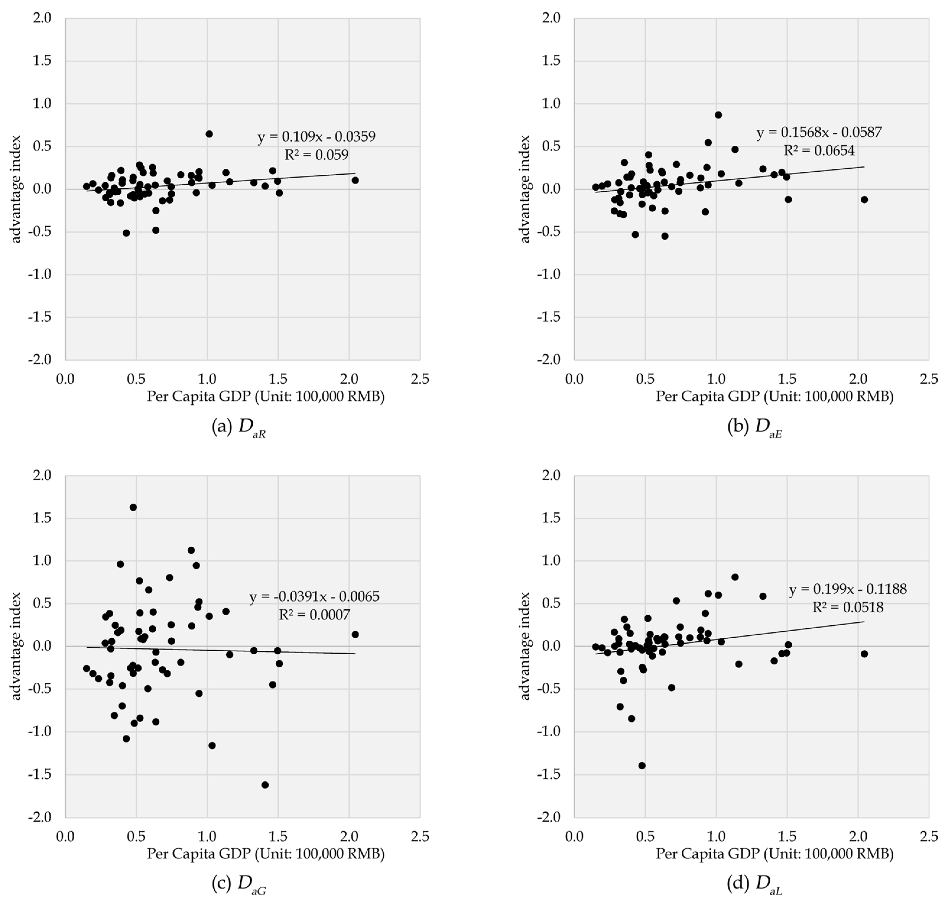
3.2.4. Different Performances of Cities with Varying Economic Development Levels
3.3. Systematic Cluster Analysis Based on Multidimensional Performance of the Advantage Index
4. Discussion
4.1. HSR Has Significantly Different Impacts on Cities of Varying Sizes
4.2. HSR Has Intensified the Spatial Differentiation of Residence and Employment
4.3. Medium-Sized Cities with Better Levels of Economic Development Are More Likely to Benefit from HSR
4.4. Attention Should Be Paid to the Coordination between HSR Network and Urban System
4.5. The General Applicability of the Analytical Methods Proposed in This Study
5. Conclusions
Funding
Institutional Review Board Statement
Informed Consent Statement
Data Availability Statement
Conflicts of Interest
References
- Wang, Y.; Xiang, P. Evolutionary game and system dynamics for analysis on stakeholder strategies of regional high-speed rail project in investment decision stage. Technol. Soc. 2024, 77, 102575. [Google Scholar] [CrossRef]
- Li, Z.; Chen, Z. Predicting the future development scale of high-speed rail through the urban scaling law. Transp. Res. Part A Policy Pract. 2023, 174, 103755. [Google Scholar] [CrossRef]
- Zhang, H.L.; Chen, F.Y. The Impact of High-speed Railway on Regional Coordinated Development: An Empirical Analysis of Xuzhou-Lanzhou High-speed Railway. J. Shanghai Univ. (Soc. Sci. Ed.) 2018, 35, 91–106. [Google Scholar]
- Wang, H.X.; Shi, D.Q.; Yu, H.W. Will High-Speed Rail Promote Regional Economic Coordinated Development? Shanghai J. Econ. 2019, 59–69. [Google Scholar] [CrossRef]
- Chen, M.Z.; Zhang, W.K.; Zheng, R.B. Does High Speed Railway Promote the Economic Activities of Cities and Towns along the Line—Evidence from Dual Source Night Lighting. J. China Univ. Geosci. (Soc. Sci. Ed.) 2021, 21, 119–133. [Google Scholar]
- Lin, S.L.; Meng, X.C.; Zhu, X.C. Research on the Mechanism and Heterogeneity Effect of the High Speed Rail and Their Neighboring Effect. Soft Sci. 2020, 34, 66–71. [Google Scholar]
- Xia, X.; Li, H.; Wang, K.; Liu, Y. Analysis of the impact of high-speed rail on the spatio-temporal distribution of residential population and industrial structure. Heliyon 2023, 9, e21088. [Google Scholar] [CrossRef]
- Fang, J.; Fu, F.; Zhang, X.; Yao, S.; Ou, J. Impact of high-speed rail on the mismatch of labor and industry allocations: Evidence from Chinese cities in 2000–2019. J. Asian Econ. 2024, 92, 101744. [Google Scholar] [CrossRef]
- Yao, Z.Y.; Zhang, S.L.; Chen, X.L. Impact of the Opening of High-Speed Rail on Urban Population Change and Flow Economic Agglomeration. J. Hohai Univ. (Philos. Soc. Sci.) 2021, 23, 70–76. [Google Scholar]
- Li, Y.; Hu, Y.; Yang, J. The Impact of High-Speed Rail on the Transformation and Development of Shrinking Cities—A Research based on the Aggregation of the Three Elements. J. Beijing Univ. Technol. (Soc. Sci. Ed.) 2021, 21, 40–54. [Google Scholar]
- He, L. The Opening of High Speed Railway and Intergenerational Equity of City Development. J. Beijing Jiaotong Univ. (Soc. Sci. Ed.) 2021, 20, 64–77. [Google Scholar]
- Yoo, S.; Kumagai, J.; Managi, S. Urban-rural gap induced by high-speed rail: 35 years of evidence from Japan. Res. Transp. Bus. Manag. 2024, 55, 101131. [Google Scholar] [CrossRef]
- Lan, X.; Hu, Z.; Wen, C. Does the opening of high-speed rail enhance urban entrepreneurial activity? Evidence from China. Socio-Econ. Plan. Sci. 2023, 88, 101604. [Google Scholar] [CrossRef]
- Cen, C.; Jiang, W. The Opening of High-speed Rail, Spatial Spillover and Regional Economic Growth: Evidence from 21 Cities in Guangdong Province. Areal Res. Dev. 2020, 39, 24–27. [Google Scholar]
- You, S.B.; Zheng, L.C. Evaluation of the Pulling Effect of High-Speed Railway on the Economy of Medium-sized Cities along the Line. Reform 2018, 150–159. [Google Scholar]
- Xu, H.D. The Impact of Urban High-speed Rail on Industrial Upgrade and Industrial Coupling Coordination Degree. J. Cap. Univ. Econ. Bus. 2019, 21, 57–66. [Google Scholar]
- Sun, F.; Wang, Y.; Zhang, W.X. Impact of HSR on Industrial Sectors: A Case Study of Municipal Station Cities along Beijing-Shanghai High-Speed Rail, China. Mod. Urban Res. 2019, 103–110. [Google Scholar]
- Tang, K. The Influence of High-speed Railway on the Economic Development of Sation Cities Along the Line—A Case Study of Harbin-Dalian High Seed Railway and Zhengzhou-Xi’an High Speed Railway. J. Beijing Jiaotong Univ. (Soc. Sci. Ed.) 2020, 19, 45–61. [Google Scholar]
- Wu, G.H.; Zhang, X.J.; Li, Y.Q. The Influence of High-speed Railway on the Development of Urban Tourism Economy Based on the PSM-DID Model. J. Huaqiao Univ. (Philos. Soc. Sci.) 2020, 53–64. [Google Scholar] [CrossRef]
- Wu, H.; Zhang, X.Y. Research on the Influence of High Speed Rail on Tourism Development of Cities along the Line: Take Beijing-Guangzhou High Speed Railway as an Example. Econ. Probl. 2020, 85–94. [Google Scholar] [CrossRef]
- Wang, S.; Zhou, Y.; Guo, J.; Mao, J. Did high speed rail accelerate the development of tourism economy?—Empirical analysis from Northeast China. Transp. Policy 2023, 143, 25–35. [Google Scholar] [CrossRef]
- Hou, Y. Agglomeration spillover, accessibility by high-speed rail, and urban innovation in China: A focus on the electronic information industry. Habitat Int. 2022, 126, 102618. [Google Scholar] [CrossRef]
- Lu, W.B.; Jia, J. High-Speed Railway, Urban Development and Unbalanced Regional Economic Development. East China Econ. Manag. 2018, 32, 5–14. [Google Scholar]
- Zheng, L.; Chang, Z.; Martinez, A.G. High-speed rail, market access, and the rise of consumer cities: Evidence from China. Transp. Res. Part A Policy Pract. 2022, 165, 454–470. [Google Scholar] [CrossRef]
- Li, R.; Xu, M.; Zhou, H. Impact of high-speed rail operation on urban economic resilience: Evidence from local and spillover perspectives in China. Cities 2023, 141, 104498. [Google Scholar] [CrossRef]
- Li, Y.; Fu, W.Y.; Wang, P. The Impact of High-speed Railway Service Supply on the High-quality Development of Urban Agglomeration Economy-Based on the Test of Multiple Mediation Effect. Res. Econ. Manag. 2020, 41, 62–77. [Google Scholar]
- Lan, X.J. Does High-speed Rail Network Promote High-quality Economic Development of Urban Agglomeration? Res. Econ. Manag. 2022, 43, 106–128. [Google Scholar]
- Qi, X.; Wang, L.J.; Zhang, J.X.; Wang, F.Y. Spatial Association of Urban Agglomeration and Its Economic Growth Effect Under the Influence of High-speed Railway. Sci. Geogr. Sin. 2021, 41, 416–427. [Google Scholar]
- Wang, L.; Cao, Y.H.; Yao, S.M. Review and Evaluation of High-Speed Railways Impact on Urban Space. Resour. Environ. Yangtze Basin 2012, 21, 1073–1079. [Google Scholar]
- Chen, Z.; Zhou, Y.; Haynes, K.E. Change in land use structure in urban China: Does the development of high-speed rail make a difference. Land Use Policy 2021, 111, 104962. [Google Scholar] [CrossRef]
- Wu, R.; Li, Y.; Wang, S. Will the construction of high-speed rail accelerate urban land expansion? Evidences from Chinese cities. Land Use Policy 2022, 114, 105920. [Google Scholar] [CrossRef]
- Yu, M.; Chen, Z.; Long, Y.; Mansury, Y. Urbanization, land conversion, and arable land in Chinese cities: The ripple effects of high-speed rail. Appl. Geogr. 2022, 146, 102756. [Google Scholar] [CrossRef]
- Tan, R.H.; Zhang, T.Q. Evaluating the Impact of High-speed Railway on Urban Land Expansion Based on Multi-period Difference-in-Difference Model. China Land Sci. 2019, 33, 39–50. [Google Scholar]
- Wang, D.; Wei, Y.D.; Deng, T. Transportation Development, Spatiotemporal Convergence, and Urban Land Use: Study of the Opening of High-Speed Rails in the Yangtze River Delta, China. J. Urban Plan. Dev. 2021, 147, 5021023. [Google Scholar] [CrossRef]
- Zheng, L.C.; Shikha, T.M. Whether China’s High Speed Railway Significantly Affects Urban Land Use—Answers from Stations, Routes and Typical Urban Land Use Changes. J. Hebei Univ. (Philos. Soc. Sci.) 2022, 47, 62–75. [Google Scholar]
- Zhu, P. Does high-speed rail stimulate urban land growth? Experience from China. Transp. Res. Part D: Transp. Environ. 2021, 98, 102974. [Google Scholar] [CrossRef]
- Lu, X.; Tang, Y.; Ke, S. Does the Construction and Operation of High-Speed Rail Improve Urban Land Use Efficiency? Evidence from China. Land 2021, 10, 303. [Google Scholar] [CrossRef]
- Huang, Z.; Du, X. How does high-speed rail affect land value? Evidence from China. Land Use Policy 2021, 101, 105068. [Google Scholar] [CrossRef]
- Wang, Y.; Ruan, H.; Tian, C. Access to high-speed rail and land prices in China’s peripheral regions. Cities 2022, 130, 103877. [Google Scholar] [CrossRef]
- Chang, Z.; Zheng, L.; Yang, T.; Long, F. High-speed rail, new town development, and the spatial mismatch of land leases in China. Land Use Policy 2022, 115, 106014. [Google Scholar] [CrossRef]
- Zhou, Y.L.; Yang, J.D.; Huang, Y.H.; Geoffrey, J.D.H. Study on the Impact of High Speed Rail on Land Price and Its Mechanism: Evidence from Micro Land Transactions. China Ind. Econ. 2018, 118–136. [Google Scholar]
- Okamoto, C.; Sato, Y. Impacts of high-speed rail construction on land prices in urban agglomerations: Evidence from Kyushu in Japan. J. Asian Econ. 2021, 76, 101364. [Google Scholar] [CrossRef]
- Xiao, C.W.; Liu, Y.; Li, P.; Jiang, L.G. Evaluation of the High-speed Rail New Town Based on Coordination of Urban Spatial Expansion and Population Growth. J. Nat. Resour. 2016, 31, 1440–1451. [Google Scholar]
- Zhao, Q.; Chen, G. Influence of HSR Station Location on the Development of Surrounding Areas: A Case Study of Beijing-Shanghai HSR and Wuhan-Guangzhou HSR. City Plan. Rev. 2015, 39, 50–55. [Google Scholar]
- Xiong, C.S.; Hu, Y.Y.; Gao, H.X. Net Effect of Hainan East Ring High-Speed Railway Stations on the Surrounding Construction Land Expansion under the Counterfactual Analysis Framework. China Land Sci. 2022, 36, 91–102. [Google Scholar]
- Li, Z.; Yu, T. Research on the Development Mechanism of High-Speed Rail New City in Small Cities Based on the Theory of Urban Government: A Case Study of Tengzhou, Shandong Province. Mod. Urban Res. 2020, 18–24. [Google Scholar]
- Wang, Y.; Zhang, F. High-speed rail and distribution of economic activities: Evidence from prefecture-level cities in China. Res. Transp. Bus. Manag. 2023, 51, 101065. [Google Scholar] [CrossRef]
- Wang, L.; Yuan, F.; Duan, X. How high-speed rail service development influenced commercial land market dynamics: A case study of Jiangsu province, China. J. Transp. Geogr. 2018, 72, 248–257. [Google Scholar] [CrossRef]
- Tang, Z.; Wang, L.; Wu, W. The impact of high-speed rail on urban carbon emissions: Evidence from the Yangtze River Delta. J. Transp. Geogr. 2023, 110, 103641. [Google Scholar] [CrossRef]
- Li, X.; Cheng, Z. Does high-speed rail improve urban carbon emission efficiency in China? Socio-Econ. Plan. Sci. 2022, 84, 101308. [Google Scholar] [CrossRef]
- Sun, L.; Li, W. Has the opening of high-speed rail reduced urban carbon emissions? Empirical analysis based on panel data of cities in China. J. Clean. Prod. 2021, 321, 128958. [Google Scholar] [CrossRef]
- Su, W.; Xie, C. High-speed rail, technological improvement, and PM2.5: Evidence from China. Econ. Anal. Policy 2023, 80, 1349–1362. [Google Scholar] [CrossRef]
- Fang, J. Impacts of high-speed rail on urban smog pollution in China: A spatial difference-in-difference approach. Sci. Total Environ. 2021, 777, 146153. [Google Scholar] [CrossRef] [PubMed]
- Wang, F.; Shan, J.; Liu, J.; Fan, W.; Yan, B.; Zhao, H.; Luo, S. How does high-speed rail construction affect air pollutant emissions? Evidence from the Yangtze River Delta Urban Agglomeration in China. J. Clean. Prod. 2022, 350, 131471. [Google Scholar] [CrossRef]
- Sun, Y.; Razzaq, A.; Kizys, R.; Bao, Q. High-speed rail and urban green productivity: The mediating role of climatic conditions in China. Technol. Forecast. Soc. Chang. 2022, 185, 122055. [Google Scholar] [CrossRef]
- Population Census Office under the State Council; Department of Populationand Employment Statistics, National Bureau of Statistics. Tabulation on the 2010 Population Census of the People’s Republic of China by County; China Statistics Press: Beijing, China, 2012.
- Office of the Leading Group of the State Council for the Seventh National Population Census. Tabulation on 2020 China Population Census by County; China Statistics Press: Beijing, China, 2022.
- Xiong, C.S.; Tian, Y.; Luan, Q.L. Causes and Temporal Heterogeneity of Land Use/Land Cover Changes Around High-speed Railway Stations: A Case Study of Hainan Roundabout Railway. China Land Sci. 2023, 37, 124–134. [Google Scholar]
- Xu, X.; Liu, J.; Zhang, S.; Li, R.; Yan, C.; Wu, S. China’s Multi-Period Land Use Land Cover Remote Sensing Monitoring Data Set (CNLUCC). Beijing: Data Registration and Publication System of Resource and Environmental Science Data Center, Chinese Academy of Sciences. 2018. Available online: https://www.resdc.cn/DOI (accessed on 31 July 2024).
- Li, X.G.; Huang, A.M.; Zhang, Y.Q. An Impact Assessment of High-Speed Railway on Regional Economic Development: An Empirical Analysis of Fujian Province Based on DID Model. Mod. Urban Res. 2017, 4, 125–132. [Google Scholar]
- Gong, W.; Li, V.J. The territorial impact of high-speed rail on urban land development. Cities 2022, 125, 103581. [Google Scholar] [CrossRef]
- Xu, W.A.; Long, Y.; Zhang, W. Prioritizing future funding and construction of the planned high-speed rail corridors of China—According to regional structure and urban land development potential indices. Transp. Policy 2019, 81, 381–395. [Google Scholar] [CrossRef]
- Yang, H.; Du, D.; Wang, J.; Wang, X.; Zhang, F. Reshaping China’s urban networks and their determinants: High-speed rail vs. air networks. Transp. Policy 2023, 143, 83–92. [Google Scholar] [CrossRef]
- Sun, X.; Yan, S.; Liu, T.; Wang, J. The impact of high-speed rail on urban economy: Synergy with urban agglomeration policy. Transp. Policy 2023, 130, 141–154. [Google Scholar] [CrossRef]









| Line | ||||
|---|---|---|---|---|
| Beijing–Shanghai HSR | 0.0626 | 0.0857 | −0.1009 | 0.0368 |
| Beijing–Guangzhou HSR | 0.0157 | 0.0328 | 0.0296 | 0.0060 |
| Harbin–Dalian HSR | 0.0505 | 0.0236 | −0.0773 | 0.0044 |
| Administrative Level | ||||
|---|---|---|---|---|
| Prefecture-level cities | 0.0606 | 0.0777 | −0.0839 | −0.0014 |
| County-level cities and counties | 0.0047 | 0.0033 | 0.0389 | 0.0378 |
| City Size (Unit: Million) | ||||
|---|---|---|---|---|
| 0–0.2 | −0.0542 | −0.1311 | 0.4363 | 1.1551 |
| 0.2–0.5 | 0.9794 | 0.5602 | 1.6618 | 0.1472 |
| 0.5–1 | 0.4894 | 0.9420 | 1.1322 | −0.3139 |
| above 1 | 0.8236 | 1.4297 | −5.1937 | −0.0929 |
| Economic Development Levels | ||||
|---|---|---|---|---|
| Low | −0.0107 | −0.0428 | −0.1075 | −0.1477 |
| Middle | 0.0379 | 0.0626 | 0.1198 | 0.1056 |
| High | 0.1460 | 0.2094 | −0.2728 | 0.1441 |
| Classification | Count | List of Cities |
|---|---|---|
| A1 | 7 | Langfang, Qufu, Suzhou(AH), Gaobeidian, Xuchang, Zhumadian, Miluo |
| A2 | 2 | Cangzhou, Chuzhou |
| B1 | 8 | Zaozhuang, Xuzhou, Dingyuan, Suzhou(JS), Gaoyi, Leiyang, Shaoguan, Qingyuan |
| B21 | 4 | Tieling, Handan, Hebi, Xinyang |
| B221 | 3 | Yueyang, Zhuzhou, Chenzhou |
| B2221 | 14 | Dehui, Liaoyang, Yingkou, Gaizhou, Wafangdian, Zhuozhou, Dingzhou, Zhengding, Xinxiang, Dawu, Chibi, Hengshan, Hengyang, Yingde |
| B2222 | 22 | Fuyu, Gongzhuling, Siping, Changtu, Kaiyuan, Anshan, Haicheng, Dezhou, Taian, Tengzhou, Bengbu, Zhenjiang, Danyang, Changzhou, Wuxi, Kunshan, Baoding, Xingtai, Anyang, Luohe, Xianning, Lechang |
Disclaimer/Publisher’s Note: The statements, opinions and data contained in all publications are solely those of the individual author(s) and contributor(s) and not of MDPI and/or the editor(s). MDPI and/or the editor(s) disclaim responsibility for any injury to people or property resulting from any ideas, methods, instructions or products referred to in the content. |
© 2024 by the author. Licensee MDPI, Basel, Switzerland. This article is an open access article distributed under the terms and conditions of the Creative Commons Attribution (CC BY) license (https://creativecommons.org/licenses/by/4.0/).
Share and Cite
Chen, C. Promotion Effects of High-Speed Rail on Urban Development: Evidence from Three Lines in China. Appl. Sci. 2024, 14, 8571. https://doi.org/10.3390/app14188571
Chen C. Promotion Effects of High-Speed Rail on Urban Development: Evidence from Three Lines in China. Applied Sciences. 2024; 14(18):8571. https://doi.org/10.3390/app14188571
Chicago/Turabian StyleChen, Chen. 2024. "Promotion Effects of High-Speed Rail on Urban Development: Evidence from Three Lines in China" Applied Sciences 14, no. 18: 8571. https://doi.org/10.3390/app14188571
APA StyleChen, C. (2024). Promotion Effects of High-Speed Rail on Urban Development: Evidence from Three Lines in China. Applied Sciences, 14(18), 8571. https://doi.org/10.3390/app14188571

