Implementation of PMDL and DRM in OpenSees for Soil-Structure Interaction Analysis
Abstract
1. Introduction
2. Perfectly Matched Discrete Layers
2.1. Implementation
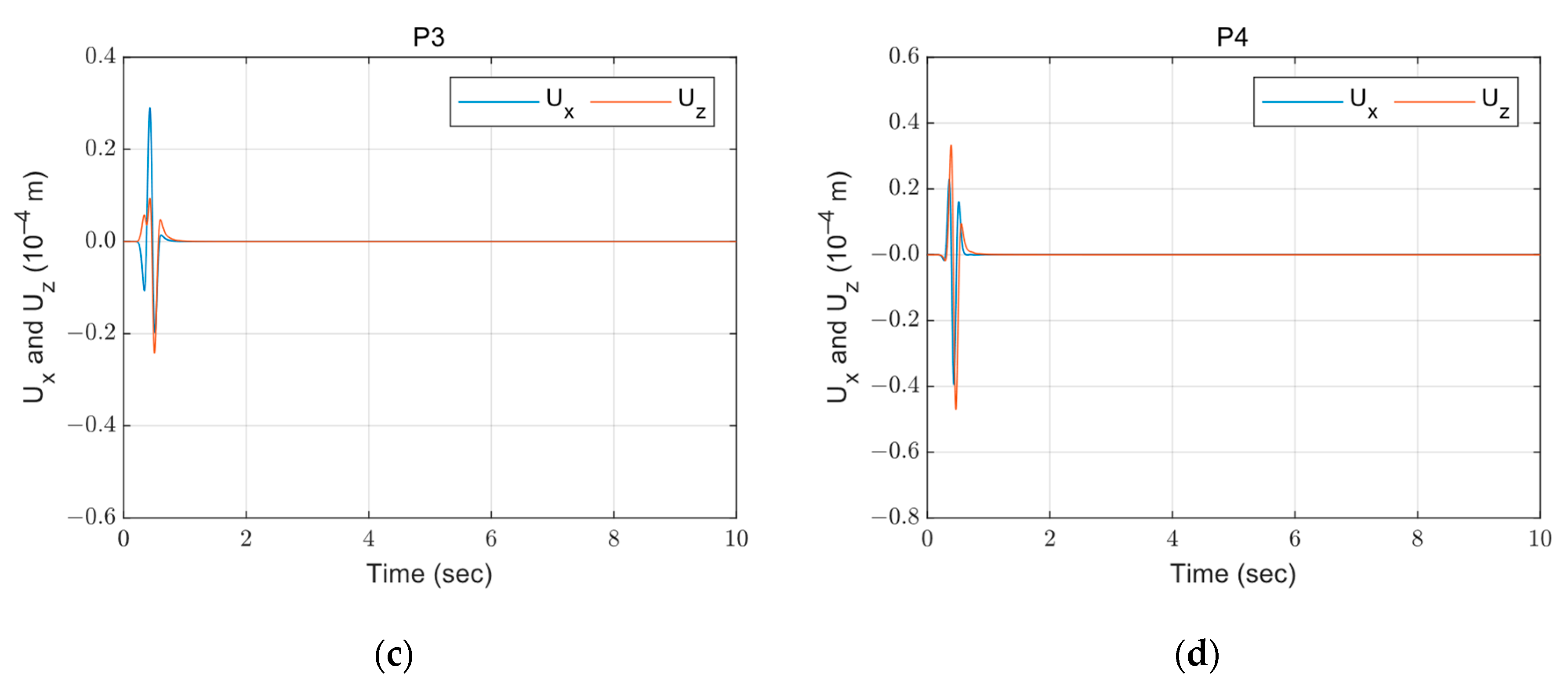
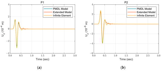
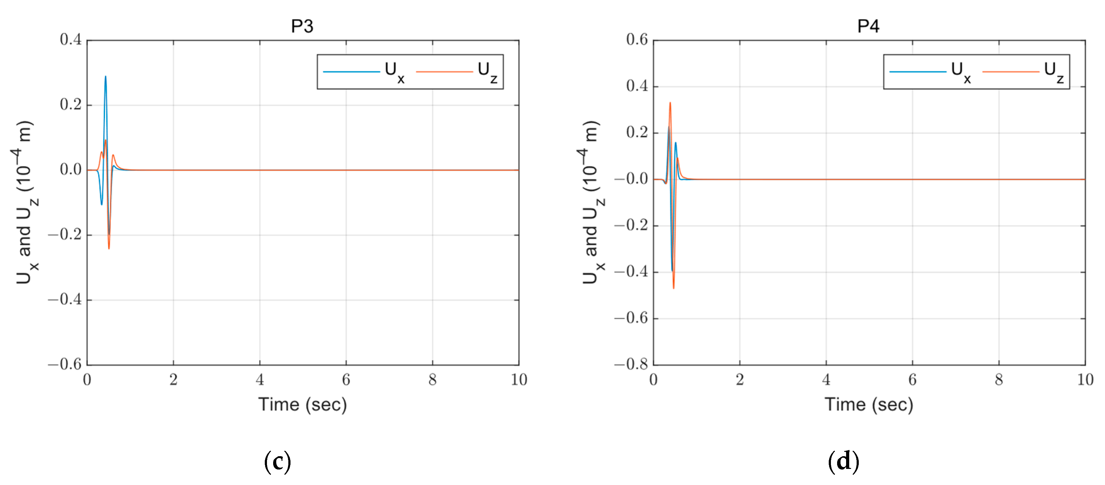
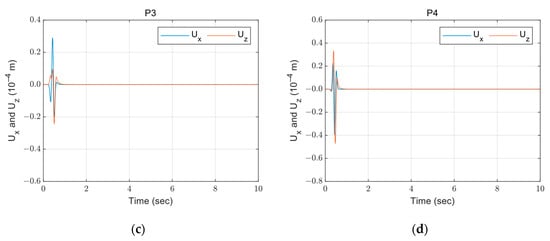
2.2. Verification of PMDL
3. Domain Reduction Method
- Define the physical domain geometry, identify the boundaries for PMDL and DRM application, and generate the mesh.
- Extract the nodes and elements corresponding to the DRM layer from the mesh.
- Use the flowchart given in Appendix A (see Figure A1) to compute the mass, stiffness, and damping matrices () for the DRM layer.
- Calculate the free-field responses (displacement, velocity, and acceleration) for the nodes in the DRM layer using 1D SRA or analytical methods.
- Determine the DRM layer forces () using Equation (29).
- Create an OpenSees model and input the calculated DRM layer forces into it.
4. Application
5. Conclusions
- PMDLs improve simulation accuracy in wave propagation by minimizing boundary reflections.
- In terms of resource efficiency, PMDLs are far more computationally efficient than extended domain methods (e.g., PMDLs requiring a single processor against Extended Domain Model requiring 20 processors for the same problem), thus balancing accuracy and efficiency.
- Regarding the analysis time required, PMDLs significantly reduce computational time when compared to traditional methods (e.g., with PMDLs, the analysis concluded in 35 min as compared to 250 min when the same problem was solved with Extended Domain Model).
- The coupled PMDL-DRM technique, when implemented in OpenSees, simplifies advanced SSI analyses in truncated domains.
Author Contributions
Funding
Institutional Review Board Statement
Informed Consent Statement
Data Availability Statement
Conflicts of Interest
Appendix A


References
- Givoli, D. Non-Reflecting Boundary Conditions. J. Comput. Phys. 1991, 94, 1–29. [Google Scholar] [CrossRef]
- Lysmer, J.; Waas, G. Shear Waves in Plane Infinite Structures. J. Eng. Mech. Div. 1972, 98, 85–105. [Google Scholar] [CrossRef]
- Tabatabaiefar, H.R.; Fatahi, B. Idealisation of Soil–Structure System to Determine Inelastic Seismic Response of Mid-Rise Building Frames. Soil. Dyn. Earthq. Eng. 2014, 66, 339–351. [Google Scholar] [CrossRef]
- Hokmabadi, A.S.; Fatahi, B. Influence of Foundation Type on Seismic Performance of Buildings Considering Soil–Structure Interaction. Int. J. Struct. Stab. Dyn. 2016, 16, 1550043. [Google Scholar] [CrossRef]
- Lysmer, J.; Kuhlemeyer, R.L. Finite Dynamic Model for Infinite Media. J. Eng. Mech. Div. 1969, 95, 859–877. [Google Scholar] [CrossRef]
- Lysmer, J.; Drake, L.A. The Propagation of Love Waves across Nonhorizontally Layered Structures. Bull. Seismol. Soc. Am. 1971, 61, 1233–1251. [Google Scholar] [CrossRef]
- Bakhtaoui, Y.; Chelghoum, A. Solution for Soil–Structure Interaction with Direct Infinite Element in Time Domain. Indian Geotech. J. 2020, 50, 655–663. [Google Scholar] [CrossRef]
- Gharti, H.N.; Tromp, J.; Zampini, S. Spectral-Infinite-Element Simulations of Gravity Anomalies. Geophys. J. Int. 2018, 215, 1098–1117. [Google Scholar] [CrossRef]
- Kim, D.K.; Yun, C.B. Earthquake Response Analysis in the Time Domain for 2D Soil–Structure Systems Using Analytical Frequency-Dependent Infinite Elements. Int. J. Numer. Methods Eng. 2003, 58, 1837–1855. [Google Scholar] [CrossRef]
- Lin, S.-Y.; Hung, H.-H.; Yang, J.P.; Yang, Y.B. Seismic Analysis of Twin Tunnels by a Finite/Infinite Element Approach. Int. J. Geomech. 2017, 17, 04017060. [Google Scholar] [CrossRef]
- Yang, Y.B.; Hung, H.H.; Lin, K.C.; Cheng, K.W. Dynamic Response of Elastic Half-Space with Cavity Subjected to P and SV Waves by Finite/Infinite Element Approach. Int. J. Struct. Stab. Dyn. 2015, 15, 1540009. [Google Scholar] [CrossRef]
- Yun, C.B.; Kim, D.K.; Kim, J.M. Analytical Frequency-Dependent Infinite Elements for Soil–Structure Interaction Analysis in Two-Dimensional Medium. Eng. Struct. 2000, 22, 258–271. [Google Scholar] [CrossRef]
- Berenger, J.P. A Perfectly Matched Layer for the Absorption of Electromagnetic Waves. J. Comput. Phys. 1994, 114, 185–200. [Google Scholar] [CrossRef]
- Hagstrom, T. New Results on Absorbing Layers and Radiation Boundary Conditions; Springer: Berlin/Heidelberg, Germany, 2003; pp. 1–42. [Google Scholar] [CrossRef]
- Rabinovich, D.; Givoli, D.; Bécache, E. Comparison of High-Order Absorbing Boundary Conditions and Perfectly Matched Layers in the Frequency Domain. Int. J. Numer. Method. Biomed. Eng. 2010, 26, 1351–1369. [Google Scholar] [CrossRef]
- Pettigrew, J.S.; Mulholland, A.J.; Tant, K.M.M. Towards a Combined Perfectly Matching Layer and Infinite Element Formulation for Unbounded Elastic Wave Problems. Math. Mech. Solids 2021, 27, 794–812. [Google Scholar] [CrossRef]
- Basu, U.; Chopra, A.K. Perfectly Matched Layers for Transient Elastodynamics of Unbounded Domains. Int. J. Numer. Methods Eng. 2004, 59, 1039–1074. [Google Scholar] [CrossRef]
- Zhang, W.; Taciroglu, E. A Novel Rayleigh-Type Viscoelastic Perfectly-Matched-Layer for Wave Propagation Analysis: Formulation, Implementation and Application. Comput. Methods Appl. Mech. Eng. 2021, 383, 113913. [Google Scholar] [CrossRef]
- Hibbitt, K.S. Inc. ABAQUS/Standard Analysis User’s Manual; Hibbitt, K.S. Inc.: Kansas City, KS, USA, 2007. [Google Scholar]
- Josifovski, J. Analysis of Wave Propagation and Soil–Structure Interaction Using a Perfectly Matched Layer Model. Soil. Dyn. Earthq. Eng. 2016, 81, 1–13. [Google Scholar] [CrossRef]
- Zhang, W.; Seylabi, E.E.; Taciroglu, E. An ABAQUS Toolbox for Soil-Structure Interaction Analysis. Comput. Geotech. 2019, 114, 103143. [Google Scholar] [CrossRef]
- Kausel, E.; de Oliveira Barbosa, J.M. PMLs: A Direct Approach. Int. J. Numer. Methods Eng. 2012, 90, 343–352. [Google Scholar] [CrossRef]
- Harari, I.; Albocher, U. Studies of FE/PML for Exterior Problems of Time-Harmonic Elastic Waves. Comput. Methods Appl. Mech. Eng. 2006, 195, 3854–3879. [Google Scholar] [CrossRef]
- Esmaeilzadeh Seylabi, E.; Jeong, C.; Taciroglu, E. On Numerical Computation of Impedance Functions for Rigid Soil-Structure Interfaces Embedded in Heterogeneous Half-Spaces. Comput. Geotech. 2016, 72, 15–27. [Google Scholar] [CrossRef]
- Fontara, I.K.; Schepers, W.; Savidis, S.; Rackwitz, F. Finite Element Implementation of Efficient Absorbing Layers for Time Harmonic Elastodynamics of Unbounded Domains. Soil. Dyn. Earthq. Eng. 2018, 114, 625–638. [Google Scholar] [CrossRef]
- Guddati, M.N.; Lim, K.W. Continued Fraction Absorbing Boundary Conditions for Convex Polygonal Domains. Int. J. Numer. Methods Eng. 2006, 66, 949–977. [Google Scholar] [CrossRef]
- Guddati, M.N.; Tassoulas, J.L. Continued-Fraction Absorbing Boundary Conditions for the Wave Equation. J. Comput. Acoust. 2000, 8, 139–156. [Google Scholar] [CrossRef]
- Zahid, M.A.; Guddati, M.N. Padded Continued Fraction Absorbing Boundary Conditions for Dispersive Waves. Comput. Methods Appl. Mech. Eng. 2006, 195, 3797–3819. [Google Scholar] [CrossRef]
- Guddati, M. Perfectly Matched Discrete Layers for Modeling Unbounded Domains. J. Acoust. Soc. Am. 2020, 148, 2452. [Google Scholar] [CrossRef]
- Savadatti, S.; Guddati, M.N. A Finite Element Alternative to Infinite Elements. Comput. Methods Appl. Mech. Eng. 2010, 199, 2204–2223. [Google Scholar] [CrossRef]
- Thirunavukkarasu, S.; Guddati, M.N. Absorbing Boundary Conditions for Time Harmonic Wave Propagation in Discretized Domains. Comput. Methods Appl. Mech. Eng. 2011, 200, 2483–2497. [Google Scholar] [CrossRef]
- Van Nguyen, D.; Kim, D. Dynamic Soil-Structure Interaction Analysis in Time Domain Based on a Modified Version of Perfectly Matched Discrete Layers. J. Rock. Mech. Geotech. Eng. 2020, 12, 168–179. [Google Scholar] [CrossRef]
- Lee, J.H.; Kim, J.K.; Kim, J.H. Nonlinear Analysis of Soil–Structure Interaction Using Perfectly Matched Discrete Layers. Comput. Struct. 2014, 142, 28–44. [Google Scholar] [CrossRef]
- Lee, J.H. Nonlinear Soil-Structure Interaction Analysis in Poroelastic Soil Using Mid-Point Integrated Finite Elements and Perfectly Matched Discrete Layers. Soil. Dyn. Earthq. Eng. 2018, 108, 160–176. [Google Scholar] [CrossRef]
- Lee, J.H.; Kim, J.H.; Kim, J.K. Perfectly Matched Discrete Layers for Three-Dimensional Nonlinear Soil–Structure Interaction Analysis. Comput. Struct. 2016, 165, 34–47. [Google Scholar] [CrossRef]
- Nguyen, C.T.; Tassoulas, J.L. Reciprocal Absorbing Boundary Condition with Perfectly Matched Discrete Layers for Transient Analysis of SV-P Waves in a Layered Half-Space. Int. J. Solids Struct. 2018, 155, 89–108. [Google Scholar] [CrossRef]
- Van Nguyen, D.; Kim, D.; Park, C.; Choi, B. Seismic Soil–Structure Interaction Analysis of Concrete Gravity Dam Using Perfectly Matched Discrete Layers with Analytical Wavelengths. J. Earthq. Eng. 2021, 25, 1657–1678. [Google Scholar] [CrossRef]
- McKenna, F. OpenSees: A Framework for Earthquake Engineering Simulation. Comput. Sci. Eng. 2011, 13, 58–66. [Google Scholar] [CrossRef]
- Jeremić, B.; Kunnath, S.; Xiong, F. Influence of Soil–Foundation–Structure Interaction on Seismic Response of the I-880 Viaduct. Eng. Struct. 2004, 26, 391–402. [Google Scholar] [CrossRef]
- Zhang, Y.; Conte, J.P.; Yang, Z.; Elgamal, A.; Bielak, J.; Acero, G. Two-Dimensional Nonlinear Earthquake Response Analysis of a Bridge-Foundation-Ground System. Earthq. Spectra 2008, 24, 343–386. [Google Scholar] [CrossRef]
- Bielak, J.; Christiano, P. On the Effective Seismic Input for Non-Linear Soil-Structure Interaction Systems. Earthq. Eng. Struct. Dyn. 1984, 12, 107–119. [Google Scholar] [CrossRef]
- Bielak, J.; Loukakis, K.; Hisada, Y.; Yoshimura, C. Domain Reduction Method for Three-Dimensional Earthquake Modeling in Localized Regions, Part I: Theory. Bull. Seismol. Soc. Am. 2003, 93, 817–824. [Google Scholar] [CrossRef]
- Yoshimura, C.; Bielak, J.; Hisada, Y.; Fernández, A. Domain Reduction Method for Three-Dimensional Earthquake Modeling in Localized Regions, Part II: Verification and Applications. Bull. Seismol. Soc. Am. 2003, 93, 825–841. [Google Scholar] [CrossRef]
- Weaver, W.; Johnston, P.R. Finite Elements for Structural Analysis; Prentice-Hall: Hoboken, NJ, USA, 1984. [Google Scholar]
- Cook, R.D. Concepts and Applications of Finite Element Analysis; John Wiley and Sons: Hoboken, NJ, USA, 2007. [Google Scholar]
- Chopra, A.K. Dynamics of Structures: Theory and Applications, 2nd ed.; Prentice Hall: Hoboken, NJ, USA, 2001. [Google Scholar]
- Poursartip, B.; Fathi, A.; Kallivokas, L.F. Seismic Wave Amplification by Topographic Features: A Parametric Study. Soil. Dyn. Earthq. Eng. 2017, 92, 503–527. [Google Scholar] [CrossRef]
- Zhang, W.; Seylabi, E.E.; Taciroglu, E. Effects of Soil Stratigraphy on Dynamic Soil-Structure Interaction Behavior of Large Underground Structures. In Proceedings of the International Society for Soil Mechanics and Geotechnical Engineering, Seoul, Republic of Korea, 17–21 September 2017. [Google Scholar]





























| Integration Type | Abscissa | Weights (Local r Direction) | Weights (Local s Direction) | |||||
|---|---|---|---|---|---|---|---|---|
| r1 | r2 | r3 | r4 | W1 | W2 | W1 | W2 | |
| 2 × 2 integration | −0.577 | 0.577 | −0.577 | 0.577 | 1.0 | 1.0 | 1.0 | 1.0 |
| 1 × 2 integration | 0.0 | 0.0 | −0.577 | 0.577 | 2.0 | - | 1.0 | 1.0 |
| 2 × 1 integration | −0.577 | 0.577 | 0.0 | 0.0 | 1.0 | 1.0 | 2.0 | - |
| 1 × 1 integration | 0.0 | 0.0 | 0.0 | 0.0 | 2.0 | - | 2.0 | - |
| Acceleration Scheme | |||
|---|---|---|---|
| Average | 1/12 | 1/4 | 1/2 |
| Linear | 1/24 | 1/6 | 1/2 |
| Parameter | Value | Unit |
|---|---|---|
| Vs | 400 | m/s |
| 2000 | kg/m3 | |
| ν | 0.3 | - |
| m | 9 | - |
| n | 2 | - |
| Young’s Modulus (kPa) | Shear Modulus (kPa) | Poisson’s Ratio | Shear Wave Velocity (m/s) | Density (kg/m3) | |
|---|---|---|---|---|---|
| Soil | - | 80,000 | 0.3 | 200 | 2000 |
| Tunnels | 32,000,000 | - | 0.2 | - | 2500 |
Disclaimer/Publisher’s Note: The statements, opinions and data contained in all publications are solely those of the individual author(s) and contributor(s) and not of MDPI and/or the editor(s). MDPI and/or the editor(s) disclaim responsibility for any injury to people or property resulting from any ideas, methods, instructions or products referred to in the content. |
© 2024 by the authors. Licensee MDPI, Basel, Switzerland. This article is an open access article distributed under the terms and conditions of the Creative Commons Attribution (CC BY) license (https://creativecommons.org/licenses/by/4.0/).
Share and Cite
Uzun, S.; Ayvaz, Y. Implementation of PMDL and DRM in OpenSees for Soil-Structure Interaction Analysis. Appl. Sci. 2024, 14, 8519. https://doi.org/10.3390/app14188519
Uzun S, Ayvaz Y. Implementation of PMDL and DRM in OpenSees for Soil-Structure Interaction Analysis. Applied Sciences. 2024; 14(18):8519. https://doi.org/10.3390/app14188519
Chicago/Turabian StyleUzun, Sefa, and Yusuf Ayvaz. 2024. "Implementation of PMDL and DRM in OpenSees for Soil-Structure Interaction Analysis" Applied Sciences 14, no. 18: 8519. https://doi.org/10.3390/app14188519
APA StyleUzun, S., & Ayvaz, Y. (2024). Implementation of PMDL and DRM in OpenSees for Soil-Structure Interaction Analysis. Applied Sciences, 14(18), 8519. https://doi.org/10.3390/app14188519

