Abstract
Advancements in electronic device technology have led to an exponential growth in demand for more efficient and versatile transistors. In this context, organic field-effect transistors (OFETs) have emerged as a promising alternative due to their unique properties and potential for flexible and low-cost applications. However, to overcome some of the inherent limitations of OFETs, the integration of organic materials with other materials and technologies has been proposed, giving rise to a new generation of hybrid devices. In this article, we explore the development and advances of organic field-effect transistors and highlight the growing importance of hybrid devices in this area. In particular, we focus on three types of emerging hybrid devices: organic electrochemical transistors (OECTs), organic light-emitting field-effect transistors (OLEFETs) and organic field-effect waveguides (OFEWs). These devices combine the advantages of organic materials with the unique capabilities of other technologies, opening up new possibilities in fields such as flexible electronics, bioelectronics, or optoelectronics. This article provides an overview of recent advances in the development and applications of hybrid transistors, highlighting their crucial role in the next generation of electronic devices.
1. Introduction
In the ever-evolving landscape of electronics, the pursuit of materials and device architectures capable of meeting the demands of modern technology has become increasingly pressing. Traditional silicon-based technologies have long dominated the field, powering everything from computers to smartphones. However, as the limitations of these technologies become more apparent, researchers are turning their attention to alternative materials and designs to push the boundaries of what’s possible in electronic devices.
One such alternative that has gained significant traction in recent years is organic electronics. Organic materials, with their unique electronic properties and inherent flexibility, hold great promise for the development of a new generation of electronic devices. Unlike their inorganic counterparts, organic materials can be easily synthesized, processed and deposited onto flexible substrates, opening up new possibilities for applications in wearable electronics, flexible displays, and biomedical devices [1,2,3,4,5].
Within the realm of organic electronics, organic field-effect transistors (OFETs) have been at the forefront of research and development [6,7,8]. These transistors, which rely on the field-effect principle to control the flow of electrical current, have shown great potential for applications in logic circuits, displays, and sensors. OFETs offer distinct advantages compared to inorganic transistors such as Fully Depleted Silicon On Insulator (FDSOI), Fin Field-Effect Transistors (FinFET), and Gate-All-Around Field-Effect Transistors (GAAFET). OFETs utilize organic semiconductors, which enable flexible, lightweight, and cost-effective fabrication, making them highly efficient for applications in flexible electronics and large-area displays. While OFETs may have lower carrier mobility and stability compared to their inorganic counterparts, they excel in manufacturing efficiency and adaptability to various substrates. On the other hand, FDSOI, FinFET, and GAAFET leverage inorganic materials like silicon, which provide superior performance in terms of carrier mobility and long-term stability. FDSOI transistors improve electrostatic control and reduce leakage currents compared to traditional silicon devices, offering a balance between performance and power efficiency. FinFETs, with their 3D structure, enhance performance and scalability but are less flexible in terms of substrate choices. GAAFETs, the most advanced technology, provide the best electrostatic control and performance metrics but require complex fabrication processes and rigid substrates. While OFETs may lag in raw performance, their efficiency in flexibility and cost-effectiveness makes them a compelling choice for specific applications where traditional inorganic transistors fall short. However, despite their promise, OFETs face significant challenges, including poor charge carrier mobility, limited scalability, and sensitivity to environmental factors such as moisture and oxygen [9].
As a result, researchers have increasingly turned their attention to the development of hybrid devices that combine organic materials with other functional elements to overcome the limitations of pure organic electronics. These hybrid devices, known as organic hybrid transistors, represent a new frontier in electronic device technology, offering the promise of improved performance, flexibility, and functionality.
In this article, we delve into the exciting world of organic hybrid transistors, exploring their fundamental principles, technological advancements, and promising applications. We focus particularly on three key types of organic hybrid transistors: Organic Electrochemical Transistors (OECTs), Organic Light-Emitting Field-Effect Transistors (OLEFETs) and Organic Field-Effect Waveguides (OFEWs), in which OFETs play a central role. Specifically, “hybrid” denotes the combination of OFETs with other devices/applications such as Organic Light-Emitting Diodes (in OLEFETs), electrolytes (in OECTs), and Optical waveguides (in OFEWs) within a system. This integration leverages the synergies between different components, resulting in enhanced performance and expanded functionality of the overall system. These devices represent a paradigm shift in electronic device design, offering new opportunities for innovation and discovery in fields ranging from healthcare to communications.
Through this exploration, we aim to provide a comprehensive overview of the current state of the art in organic hybrid transistors and highlight their potential to reshape the future of electronic devices. By understanding the challenges facing traditional silicon-based technologies and the opportunities presented by organic hybrid transistors, we can pave the way for a new era of electronic innovation that is not only more efficient and versatile but also more sustainable and adaptable to the needs of our rapidly evolving world.
2. Organic Electrochemical Transistors (OECTs)
Organic Electrochemical Transistors (OECTs) are considered hybrid transistors due to their unique ability to combine electronic operation with electrochemical response to control the flow of electrical current. These devices represent a unique fusion of electronics and chemistry, offering distinctive features that make them suitable for a wide range of applications, from flexible electronics to bioelectronics and tissue engineering [10,11,12,13,14].
The basic structure of an OECT includes three main components: the organic active layer (channel), a source electrode, a drain electrode, and a gate electrode connected to an electrolyte (Figure 1) [15]. The channel, typically made of a conductive polymer, is situated between the source and drain electrodes. When a voltage is applied between these two electrodes, current flows through the channel. The gate electrode is in contact with an electrolyte that covers the active layer of the channel. When a voltage is applied to the gate electrode, ions from the electrolyte diffuse into the channel, altering its oxidation state and thus its conductivity. The operation of an OECT is based on the modulation of the channel’s conductivity through the injection and extraction of ions, which are controlled by the potential applied to the gate electrode. When a positive voltage is applied to the gate, positive ions from the electrolyte enter the channel, inducing oxidation of the organic material and increasing its conductivity. Conversely, a negative voltage at the gate causes ions to be withdrawn from the channel, leading to deoxidation of the material and a reduction in conductivity. This operating mechanism, which relies on the interaction between the electrolyte ions and the conducting organic material, allows the OECT to regulate the current flowing between the source and drain electrodes. The control of the channel’s conductivity through electrochemical modulation distinguishes OECTs from other types of transistors and defines their fundamental operating principle. It is important to note that the above explanation applies specifically to p-type semiconductors. In n-type semiconductors, the polarities of the processes described would be reversed: a positive voltage at the gate would lead to the extraction of electrons (reduction) and a decrease in conductivity, while a negative voltage would induce the injection of electrons (oxidation), increasing the conductivity of the channel.
Figure 1.
Representative scheme of a classical OECT. Figure taken from reference [15].
The parameters that evaluate the efficiency of an OECT include several key factors that directly influence the device’s performance. Firstly, electron mobility (μ) is crucial as it determines how efficiently charge carriers (electrons or holes) can move through the channel material under an applied electric field. High electron mobility allows for faster switching speeds and improved overall performance of the transistor, making it a critical parameter for the optimization of OECTs. It is given by:
where ID is the drain current, L is the length of the channel, W is the width of the channel, Cox is the gate oxide capacitance per unit area and VGS is the gate-source voltage.
μ = IDL/WCOXVGS
Secondly, the volumetric capacitance (C*) of the channel material is a vital parameter that reflects the material’s ability to store charge per unit volume. This capacitance is linked to the material’s swelling capability, which facilitates the penetration of ions from the electrolyte into the channel layer. A higher volumetric capacitance implies that more charge can be injected or extracted with a smaller change in gate voltage, enhancing the modulation of the channel’s conductivity and thereby improving the device’s sensitivity and responsiveness. It is defined by:
where Q is the total charge stored and V is the volume of the channel.
C* = Q/V
Lastly, ion mobility (μion) within the channel material is another important factor. It describes the rate at which ions can move through the channel when influenced by an electric field. High ion mobility ensures that ions from the electrolyte can quickly and efficiently penetrate the channel material, altering its oxidation state and thus modulating the conductivity of the OECT. This ion transport mechanism is fundamental to the operation of OECTs, as it directly impacts the speed at which the device can respond to changes in gate voltage. It is given by:
where vion is the ion velocity and E is the electric field.
μion = νion/E
The infiltration of ions into the channel and, consequently, the material’s doping degree (redox state) are controlled by the applied gate voltage (VG). The drain-source voltage (VDS), or the potential difference between the source and drain, determines the intensity or magnitude of the channel current (ID) observed in the drain (Figure 2). Thus, ID is proportional to VDS until saturation is reached. Consequently, the output characteristics will show a decrease in the drain current when VG is increased in the case of “depletion mode” operation (Figure 2a). Conversely, an increase in drain current would be observed in “accumulation mode” when anions are injected into the channel (Figure 2b). Applying a negative gate voltage will induce higher hole mobility in the semiconductor channel [15].
Figure 2.
Representative output characteristics of OECT devices. All the represented lines reveal the different intensity curves applying different gate voltages (VG). For p-type materials (Blue, Top): (a) In depletion mode, applying a positive gate voltage (VG) allows cations to diffuse into the polymer, causing dedoping of the channel and switching the transistor to its “off” state; (b) in accumulation mode, applying a negative gate voltage (VG) results in anions entering the channel material, thereby switching the device to its “on” state. For n-type materials (Red, Bottom), both modes of operation are achieved by applying opposite gate voltages (VG): (c) negative for depletion mode and (d) positive for accumulation mode. Figure taken from reference [15].
OECTs can also function as amplifiers by converting low gate voltage signals into more significant changes in drain current. The transfer curve (ID vs. VG, with a constant VDS) illustrates the relationship between the drain current and the applied gate voltage. This curve provides a straightforward way to visualize how a transistor switches from its “on state” (characterized by high drain current) to its “off state” (very low current) in depletion mode (black curve, Figure 3). The effectiveness of this amplification, or ion-to-electron transduction, is represented by a key performance metric for OECTs known as transconductance (gm, blue curve, Figure 3) [15].
Figure 3.
Representative transfer curve and transconductance (gm) of an OECT in depletion-mode operation. The black curve represents the transfer characteristics (indicated by sphere markers), showing an “on” state at VG = −0.2 to 0 V and an “off” state at VG = +0.5 to 0.6 V. The blue curve shows the transconductance (indicated by square markers), with peak gm occurring at +0.2 V. Experimental conditions include VDS = −0.4 V and device dimensions of L = 1 μm and t = 100 nm [15].
The main advantage of OECTs is their ability to amplify the electrical signal through electrochemical modulation of the active channel. Small variations in the voltage applied between the gate electrode and the reference electrode can cause significant changes in the conductivity of the active channel, allowing for intrinsic amplification of the electrical signal.
Among all the amount of different organic derivatives that can be used in OECTs, the most important are: p-type polymers, like PEDOT derivatives [16,17], other thiophene derivatives [18,19], poly(3-hexylthiophene-2,5-diyl) (P3HT) derivatives [20], donor-acceptor (D-A) polymers [21,22], n-type polymers [23,24,25] or small molecules [26].
In OECTs, electrolytes are essential for modulating the conduction channel, as they facilitate the injection or extraction of ions between the electrolyte and the transistor’s active material, thereby altering its conductivity. The most commonly used electrolytes include aqueous, organic, gel-based, biomolecule-based, and polymer electrolytes, each with specific characteristics and applications.
Aqueous electrolytes are very common in OECTs due to their high ionic conductivity and easy handling. Inorganic salts such as sodium chloride (NaCl) and potassium chloride (KCl) are popular choices as they provide high ionic mobility without negatively reacting with most organic conducting materials. Additionally, strong acids and bases, such as sulfuric acid (H2SO4) and sodium hydroxide (NaOH), are employed in situations that require very specific chemical environments, such as those with extremely acidic or basic pH [15].
On the other hand, organic electrolytes include quaternary ammonium salts, such as tetraethylammonium perchlorate (TEAP) and tetrabutylammonium perchlorate (TBAP). These salts are valued for their good solubility in organic solvents and their ability to interact effectively with organic conductive materials. Moreover, ionic liquids, such as bis(trifluoromethylsulfonyl)imide of ethyl-methylimidazolium (EMIM-TFSI), are widely used due to their high ionic conductivity and both thermal and electrochemical stability, making them ideal for applications in more advanced devices.
Gel-based electrolytes, such as those based on polymers, are another common option in OECTs. Gels like those of polyacrylamide, polyvinyl alcohol (PVA) with phosphoric acid, or those based on polyethylene glycol (PEG) offer good mechanical stability along with adequate ionic conductivity, in addition to being easy to process in device fabrication. The combination of ionic liquids with polymers can form gels that offer the best of both worlds: the high conductivity and stability of ionic liquids and the ease of handling and shaping of polymers.
In bioelectronic applications, biomolecule-based electrolytes are crucial. Biocompatible electrolytes, such as sodium chloride solutions in distilled water or phosphate buffer solutions (PBS), are used to replicate biological conditions and ensure compatibility with living tissues, which is essential in devices designed to interact with biological systems or medical implants.
Finally, polymer electrolytes, such as polyelectrolytes, are also used in OECTs. Materials like Nafion or polystyrene sulfonate (PSS) offer an attractive combination of ionic conductivity and mechanical stability, making them preferred choices in devices that require long-term stability.
When choosing an electrolyte for OECTs, it is important to consider compatibility with the transistor’s active material, such as PEDOT, as well as ionic conductivity, electrochemical stability, and, in the case of medical or biological applications, biocompatibility and the absence of toxicity. Each type of electrolyte has its own advantages and challenges, so the appropriate selection depends on the specifications and requirements of the device in question [15].
Over the past few decades, there has been a growing interest in OECT-based sensors, primarily driven by the increasing demand for high-performance chemical and biological sensing across various domains. These applications span from food safety assessments to agricultural and environmental monitoring, as well as medical, healthcare, and security sectors [27]. Understanding the fundamental distinction between chemical and biological sensors is beneficial. In chemical sensors, the measurement of chemical information within a system (such as analyte concentration) involves correlating a physical property with an analytically useful signal (e.g., absorbance). On the other hand, biological sensors detect analytes of biological origin, including enzymes, antibodies, DNA, proteins, and microorganisms [28]. Recent OECTs are more focused on the last ones.
OECT devices exhibit promising capabilities in translating minor fluctuations in ion concentration into substantial variations in electrical current, a feature highly advantageous for bioelectronics applications. These devices are gradually finding their place as integral components in logic circuitry and flexible devices in computing. However, for this technology to transcend scientific interest and become viable for future portable and wearable applications, it must meet certain criteria, including lightweight and flexibility, stability under normal operating conditions, low-power consumption, and continuous recording capabilities.
Bioelectronics, the most remarkable application of OECTs, has experienced a significant surge in research funding in recent years [29,30]. Presently, it encompasses a wide spectrum of applications ranging from medical devices to sensors designed for environmental monitoring. In the realm of medical devices, many patients have witnessed enhancements in their quality of life attributable to innovations like cardiac pacemakers, cochlear and retinal implants, and glucose sensors. As bioelectronics becomes increasingly integrated into our daily lives, it has garnered considerable attention from the media, driven both by speculative portrayals in science fiction and by real-world research breakthroughs.
The growing interest in OECT development is evident, with several examples emerging in 2024. For instance, Chen et al. addressed the challenge of accurately detecting trace levels of glycoproteins in biofluids—a capability often missing in portable point-of-care (POC) diagnostic devices—by creating a compact, highly sensitive bioelectrochemical patch utilizing boronate-affinity amplified organic electrochemical transistors (BAAOECTs). This innovative device takes advantage of the cascading signal enhancement from boronate-affinity, which targets multiple glycoprotein regions, combined with the signal amplification properties of OECTs. As a result, the BAAOECTs achieved an outstanding detection limit of 300 aM within 25 min, offering approximately three orders of magnitude greater sensitivity than commercial electrochemical luminescence (ECL) kits [31]. The system also integrates a microfluidic chip, a microcontroller module, and a wireless sensing network, automating the testing process and making it feasible to operate in resource-limited settings. The effectiveness of this portable biosensing platform has been confirmed through clinical diagnostic applications, particularly for heart failure. Overall, the significant sensitivity improvements and automated workflow of the BAAOECTs biosensing system demonstrate a promising, scalable approach to advancing POC diagnostic capabilities for glycoproteins.
In addition, Wu et al. described selenophene n-type polymers as glucose sensors. Furthermore, with a remarkably low detection limit of 10 nMm and decent selectivity, it is further implemented [32]. Research has shown that incrementally augmenting the amount of selenophene integrated into polymer structures can result in decreased levels of the lowest unoccupied molecular orbitals, enhanced properties related to charge transport, and better capabilities for ion absorption simultaneously, and improving the capacity of the OECTs.
In another recent work, thanks to monolithic integration of a Au working/sensing electrode, an on-chip Ag/AgCl reference electrode, and Poly(3,4-ethylenedioxythiophene)-poly(styrenesulfonate) counter electrode—which also functions as the channel of an organic electrochemical transistor—Ji and colleagues have developed a device that simultaneously performs OECT testing along with traditional electroanalytical techniques such as cyclic voltammetry and square-wave voltammetry. This device allows for the direct amplification of current from an electrochemical aptamer-based sensor through in-plane current modulation within the counter electrode/transistor channel. The integrated sensor can detect transforming growth factor beta 1 with a sensitivity improvement of 3 to 4 orders of magnitude compared to traditional electrochemical aptamer-based sensors (292 μA/dec versus 85 nA/dec). This versatile approach is applicable to a broad range of tethered electrochemical reporter-based sensors, enhancing their sensitivity, enabling miniaturization, and simplifying the signal processing [33].
Estivill et al. introduce a paper-based ion-selective organic electrochemical transistor (IS-OECT) that has been highly optimized to achieve outstanding analytical performance. By integrating thick-film transistor technology with precise adjustments to the ion-selective membrane’s composition and thickness, the device achieves sensitivities of up to 2.50 mA/decade. This level of sensitivity exceeds that of other similar devices reported so far by over an order of magnitude. The system demonstrates excellent selectivity, allowing for the detection of low potassium concentrations even in highly saline environments, with a linear detection range from 0.1 mM to 100 mM. This range effectively encompasses the clinically relevant concentrations of K+ in blood. Additionally, a calibration curve for K+ in artificial serum from 1 to 10 mM shows the device’s ability to detect concentration changes as small as 0.05 mM. The fabrication process for this IS-OECT is simple, utilizing techniques such as drop casting on inexpensive substrate materials, and the device operates efficiently with a gate voltage of 0 V. These features position the IS-OECT as a promising candidate for ion-sensing applications in point-of-care settings [34].
Apart from that, there are a lot of more important examples about the use of novel OECTs in biosensing applications, corroborating the enormous potential in this field and the booming interest in the scientific community [35,36,37,38].
In recent years, apart from bioelectronics, there has been a rise in the use of lightweight, wearable, and low-power OLEDs in on-skin medical applications, such as cancer treatment and muscle-contraction sensors for robotics. All-organic flexible devices offer an alternative to traditional rigid oximetry sensors. In today’s world, there is a growing demand for excellent in situ and noninvasive sensors, a market where OECTs present intriguing prospects. Since these devices need to be in contact with the skin or other biological systems, it is essential to ensure specific material properties. Additionally, device architectures must be compatible with the mechanical stress they will face. Long-term durability is also a key consideration.
In the quest for wearable and portable devices, one of the key challenges is printing these devices directly onto fabrics. An early breakthrough in this area was made by Gualandi and colleagues, who developed a non-invasive OECT sensor integrated into textiles through a one-step screen-printing process. Their work successfully detected various biomarkers, including adrenaline, dopamine, and ascorbic acid, in both biological fluids and synthetic sweat, demonstrating similar sensitivity to conventional flat OECTs. Moreover, these sensors operated at low voltage and showed remarkable stability even after repeated hand-washing, highlighting their potential as wearable biosensors [39]. Building on this concept but focusing on in situ sensing, Bihar and collaborators created a printed OECT-based alcohol sensor on paper, utilizing a low-cost, disposable, and biodegradable material [40].
In a separate study, Cea and colleagues showcased remarkable long-term deep brain cortex recordings using a new OECT design known as the ion-gated electrochemical transistor. The high performance of these devices is largely due to the smart incorporation of a hydrated ion reservoir directly into the polymer composite channel (made of PEDOT:PSS/PEI), which enables faster transistor response times by facilitating rapid ion movement from the reservoir to the semiconducting polymer [41].
In conclusion, electrochemical transistors (OECTs) have witnessed significant advancement and recognition in recent years due to their unique ability to marry electronic device functionality with electrochemical capabilities. This fusion of electronics and chemistry offers revolutionary potential across various domains, from biomedicine to wearable electronics.
The development of OECTs has led to significant breakthroughs in biomedical applications, such as in situ monitoring of biomarkers in biological fluids and neural recording in the brain. Their ability to operate in complex biological environments with enhanced sensitivity and selectivity has positioned OECTs as invaluable tools in medical research and clinical practice.
However, despite the achievements, OECTs face significant challenges for future development and widespread adoption. Long-term stability optimization, sensitivity and selectivity enhancement, as well as cost reduction in manufacturing and scalability, are critical aspects that require continuous attention.
Additionally, integrating OECTs into portable and wearable devices poses additional challenges, such as mechanical compatibility and durability under real-world usage conditions. Overcoming these challenges will require interdisciplinary collaboration among electronics, chemistry, and materials engineering, as well as innovative approaches in the design and manufacturing of these devices.
In summary, OECTs represent an exciting frontier at the intersection of electronics and electrochemistry, with the potential to transform numerous fields, from medicine to wearable technology. Addressing the future challenges of OECTs will not only drive their practical application but also open new opportunities for innovation and scientific advancement.
3. Organic Light Emitting Field Effect Transistors (OLEFETs)
The emergence of organic light-emitting field-effect transistors (OLEFETs) has sparked renewed interest in organic optoelectronics [42,43]. OLEFETs utilize organic semiconductors capable of achieving supramolecular organization, facilitating both charge carrier transport and electroluminescence [44]. These multifunctional devices combine the current modulation capabilities of a transistor with light emission, making them appealing for both fundamental research and practical applications. OLEFETs serve as excellent platforms for investigating physical processes such as charge carrier injection, transport, and electroluminescence (EL) in organic semiconductors. Unlike organic light-emitting diodes (OLEDs), which typically feature a vertically stacked geometry, the planar geometry of OLEFETs provides direct access to optical probes for imaging electroluminescence. Consequently, OLEFETs hold promise for the development of highly integrated organic optoelectronic devices, including active matrix full-color electroluminescent displays. Furthermore, their advancement could lead to the realization of electrically driven organic lasers with tunability across the visible spectrum [45].
An OLED typically consists of a vertical stack of organic layers situated between two electrodes—the cathode and the anode. The layers within this stack serve specific functions: the hole-injection layer (HIL) facilitates the injection of holes from the anode, the hole-transport layer (HTL) transports holes to the emissive layer (EML), where light emission occurs, and the electron-transport layer (ETL) manages the transport of electrons from the cathode. The light emission in OLEDs is a result of electron-hole recombination within the EML, with charge transport mainly governed by tunneling through adjacent organic layers.
In contrast, OLEFETs feature a different architecture, characterized by a three-terminal setup that includes a source, drain, and gate terminal. The active organic layer in an OLEFET is separated from the gate electrode by a dielectric layer, and the charge transport mechanism is primarily lateral and field-effect driven. In OLEFETs, the gate voltage modulates the charge carrier density in the channel, influencing the device’s electrical characteristics and light emission. Unlike OLEDs, which rely on vertical charge transport and layer-specific functions, OLEFETs leverage lateral field-effect modulation for both switching and light emission, making them distinct in their operational principles and design considerations (Figure 4) [46].

Figure 4.
Device architectures of (a) OLEFET (left) vs. (b) OLED (right). Simplified schematic representations of (left) an organic light-emitting transistor and (right) an organic light-emitting diode. The OLEFET is a three-terminal device featuring a dielectric layer and an active organic material, with charge transport primarily governed by lateral field-effect mechanisms. In contrast, the OLED consists of a vertical stack of various organic layers positioned between two electrodes, the cathode and the anode, with charge transport predominantly occurring through tunneling between adjacent layers. Each layer in the stack has a distinct function (e.g., HIL: hole injection layer, HTL: hole transport layer, EML: emissive layer where light emission happens, ETL: electron transport layer, EIL: electron injection layer). Figure taken from reference [46].
OLEFETs offer several advantages over OLEDs. They can be fabricated in various shapes and geometries on different substrates, require fewer layers compared to OLEDs, and are less sensitive to defects like pinholes and shorts due to the dielectric layer. Additionally, OLEFETs exhibit higher brightness with both top and bottom emission and have the potential for reduced power consumption since they are voltage-driven. This characteristic makes them easier to integrate into complex device architectures and compatible with commercial integrated circuits (ICs), potentially lowering fabrication costs and improving manufacturing yields. Furthermore, OLEFETs can be driven by various types of thin-film transistors (TFTs), including less advanced organic TFTs (OTFTs), which makes them particularly suitable for flexible and wearable electronics.
In comparison, OLEDs are characterized by a vertical stacking of organic layers that each serve specific functions such as hole and electron injection, transportation, and light emission. This architecture requires more layers and is generally more sensitive to defects. On the other hand, OLEFETs benefit from a planar structure that simplifies the pixel architecture and enables the intrinsic capacitance of the transistor to perform the pixel memory function. This simplification also contributes to an aperture ratio of approximately 80%, which readily meets display requirements.
OLEFETs have demonstrated superior external quantum efficiency (EQE) compared to OLEDs, with performance levels that exceed those of similar OLED devices. They also show higher current densities (1–10 A/cm2 for a 1 nm-thick layer) compared to OLEDs (10⁻3–10⁻2 A/cm2). The planar device structure, combined with the dual functionality of light emission and switching, positions OLEFETs as ideal candidates for next-generation flexible displays. This technology supports the development of transparent displays, which are crucial for applications in augmented reality, automotive displays, and wearable biomedical devices. Additionally, OLEFETs offer high degrees of integration with various optically active devices, allowing for more complex light manipulation and reducing the need for high-performance driving transistors. The inherent architecture of OLEFETs, along with their ability to reduce pinholes and shorts, potentially enhances production yields and lowers manufacturing costs, making them a promising alternative and complementary technology in the field of organic light-emitting devices [46].
In an OLEFET, optimal selection of S and D electrodes, with respective work functions, is essential to ensure efficient electron injection into the lowest unoccupied molecular orbital (LUMO) and hole injection into the highest occupied molecular orbital (HOMO) of the organic semiconductor.
The magnitude of the current flowing between the source (S) and drain (D) electrodes (ISD) is controlled by the gate bias, which also switches the device between its off and on states. If the organic semiconductor exhibits electroluminescence, holes and electrons combine to form excitons within the transistor channel, resulting in the emission of light. In the context of OLEFETs, it is more accurate to refer to the electrodes as hole-injecting and electron-injecting electrodes rather than source and drain. This distinction arises because one electrode serves as the source of holes (and the drain for electrons), while the other electrode serves as the source of electrons (and the drain for holes). By adjusting the gate bias between the hole-injecting and electron-injecting electrodes, it becomes feasible to alter the location of the light emission region within the channel, where layers of accumulated electrons and holes converge. This capability is advantageous for enhancing electroluminescence efficiency, as excitons can be generated farther away from the metallic electrodes, thereby minimizing the potential for light emission quenching. This underscores the significant advantage of the three-electrode configuration of OLEFETs compared to the two-electrode setup of OLEDs. Ideally, OLEFETs operate as ambipolar devices, meaning that both holes and electrons are injected and transported. However, gate-modulated electroluminescence is also observed in unipolar devices, where only one type of charge carrier (either electrons or holes) is transported. In unipolar OLEFETs, light emission occurs in close proximity to the electrode responsible for injecting the charge carriers that are not transported (Figure 5) [46].

Figure 5.
OLEFET operation: (a) unipolar OLEFET, (b) ambipolar OLEFET. Figure taken from reference [46].
The optoelectronic characterization of OLEFETs necessitates the measurement of both optical and electrical gate-modulated characteristics, from which the EQE can be determined. Electrical characteristics enable the calculation of the mobility and the ION/OFF ratio. Additional valuable insights are provided by the EL spectrum, which indicates the color of the emitted light, and by imaging the light emission region within the operational device, revealing the position of the recombination region as a function of the biasing conditions.
Since 2003, when it was the first time they were described, a lot of advances have been developed in recent decades. For example, in 2021, the research conducted by Yu and col. demonstrated a synergistic relationship between photoluminescence and charge transport through meticulous adjustments to the polymeric backbones in OLEFETs. The authors synthesized semi-ladder polymers possessing both luminescent and charge transport capabilities through the copolymerization of weak acceptors (such as 1 or 2) and weak donors (like fluorene (F) or carbazole (C)) (Figure 6). The study revealed that achieving a delicate balance of high crystallinity, increased planarity, and interchain aggregation in the copolymer 2-F significantly enhances ambipolar charge mobility and photoluminescence quantum yield. 2-F demonstrated an external quantum efficiency (EQE) of 5.3% in multilayered OLEFETs. The primary application domain for area emission OLEFETs lies in panel display devices. Unlike active-matrix OLED display devices, this highly integrated structure not only enables higher resolution but can also be manufactured using cost-effective techniques like roll-to-roll processing. Nonetheless, the substantial challenge of attaining uniform regional emission in OLEFETs with robust stability and adaptable tunability has impeded their advancement in this field [47].
Figure 6.
Chemical structures of derivatives 1 and 2 with fluorene (F) and carbazole (C) as donors described in this work [47].
By integrating a charge transport buffer (CTB) layer between the conductive channel and the emitter layer, the redistribution of potential under the drain occurs within the protective influence of the CTB layer, leading to a significantly uniform current density. Ensuring the uniform recombination of balanced holes and electrons is essential for the establishment of area emission in OLEFETs. The OLEFETs demonstrated a remarkable ION/OFF ratio of up to 106, excellent stability over 200 cycles, and a high aperture ratio exceeding 80%. Thanks to the device’s geometric versatility and its compatibility with traditional fabrication methods, it holds immense promise in display technology.
In the same year, in 2021, Hu and col. published a groundbreaking study on a high-mobility organic laser semiconductor, 2,7-diphenyl-9H-fluorene (3) (Figure 7), showcasing exceptional crystalline-enhanced emission achieved through meticulous control of its crystal growth process [48]. The one-dimensional nanowires of 3 exhibited an impressive absolute photoluminescence quantum yield of up to 80%, a high charge carrier mobility of approximately 0.08 cm2V−1s−1, and remarkable lasing characteristics. Exploring organic electrically pumped lasers and other integrated electrically driven photonic devices holds significant importance in contemporary research endeavors, achieving a high-performance OLEFET.

Figure 7.
(a) Chemical structure of 2,7-diphenyl-9H-fluorene (3) for the construction of the OLEFET described by Hu and col. (b) Transfer plots of the OLEFET from (3) with its electroluminescence image by CCD camera. (c) Output plot of nanowire single crystal of (3)-based OLEFET. Image taken from reference [48].
In 2022, Trukhanov and col. developed emissive materials capable of emitting polarized light that are highly sought after for a diverse range of light-emitting electronic devices. In the realm of OLEFETs, attaining highly polarized emission directly from the device surface, known as surface emission, can be achieved by ensuring the in-plane co-linear alignment of molecular Transition Dipole Moments (TDMs) within the active layer of the device. Moreover, such an arrangement of TDMs serves to mitigate the light transmission effect, thereby amplifying the device’s performance. This study marks the inaugural practical application of these concepts in an OLEFET. Utilizing a thiophene-phenylene co-oligomer, specifically 1,4-bis{5-[4-(trimethylsilyl)phenyl]thiophen-2-yl}benzene (4) (Figure 8), featuring trimethylsilyl (TMS) terminal substituents, facilitated the promotion of in-plane TDM orientation during the growth of highly emissive semiconductor single crystals. OLEFETs constructed from derivative 4 exhibited ambipolar charge transport coupled with efficient electroluminescence, while the single-crystal devices showcased linearly polarized electroluminescence with a polarization degree of 0.78 ± 0.06 [49]. The observed polarization characteristics of both electro- and photoluminescence align seamlessly with the resolved crystal structure and corresponding calculations. These findings underscore the potential of strategically controlling in-plane ordered TDMs via molecular packing as a promising avenue for crafting materials tailored for highly efficient light-emitting electronic devices.
Figure 8.
Chemical structure of 1,4-bis{5-[4-(trimethylsilyl)phenyl]thiophen-2-yl}benzene (4) employed as OLEFET by Trukhanov and col [49].
As demonstrated by the final example in this brief review, Miao and colleagues presented an intriguing white OLEFET in 2024 with full emission properties [50]. In their study, they introduced a high-performance white OLEFET that reached an external quantum efficiency (EQE) close to 13.9%. This impressive result was achieved through a unique planar-integrated device structure, featuring an active layer composed of mCP:FIrpic:rubrene (Figure 9). The exceptional efficiency of these OLEFETs is largely due to efficient exciton management, improved light extraction, and minimized quenching by positioning the exciton recombination zone away from the source electrode within the lateral-integrated configuration. It is expected that further advancements in OLEFET performance will be realized through a deeper understanding of the device’s operating mechanisms, along with optimization of the fabrication process by incorporating better emissive materials, ensuring balanced electron-hole injection and transport, and enhancing both exciton management and light extraction. Additionally, the successful development of white OLEFET arrays for full-color displays represents a significant step forward in their application for advanced display technologies. This progress also opens the door to novel research directions, such as stretchable OLEFETs, spin-OLEFETs, on-chip optoelectronic integration circuits, and potentially high-density stretchable visual sensors.
Figure 9.
(a) Electrical, (b) optical transfer and (c) output curves of OLEFETs for different devices built with an active layer composed of mCP:FIrpic:rubrene. Imagen taken from reference [50].
However, there are several challenges that OLEFETs must address in the coming years to advance their development. These challenges require careful consideration and resolution. One major difficulty is the development of high-efficiency systems, which is hindered by the limited availability of organic small molecules with high electron and hole mobility, leading to a scarcity of OLEDs. Additionally, achieving low-bias, high-performance OLEFET devices is crucial for the technology’s progress. OLEFETs generally exhibit lower EQE compared to OLEDs, and improving this parameter is essential. The electroluminescence process in ambipolar OLEFETs remains ambiguous and not well understood. Furthermore, research on n-type OLEFETs is limited. There has been insufficient specialized investigation into n-type OLEFETs, with existing studies mainly focusing on light emission from the semiconductor layer. The fabrication of n-type OLEFETs is particularly challenging due to their susceptibility to contamination from substances like H2O or O2 in the air, which contrasts with the more extensively studied p-type OLEFETs. Differences in charge carrier polarity, semiconductor energy levels, and other factors further complicate the development of n-type OLEFETs [51].
In summary, hybrid transistors between OLEDs and OFETs (OLEFETs) represent a promising frontier in organic electronics research. Recent advances in this area have demonstrated significant progress in terms of efficiency, stability, and scalability, opening up new possibilities for their application in a variety of emerging technologies.
The combination of the unique properties of OLEDs and OFETs into a single device offers numerous advantages, such as mechanical flexibility, low power consumption, and the integration of light-emitting and control electronics functions. This positions them as ideal candidates for applications in flexible displays, wearable devices, organic solar panels, and integrated sensors, among others.
However, technical challenges persist and must be addressed, including improving efficiency and long-term stability, as well as optimizing manufacturing processes to increase performance and reduce costs.
Despite these challenges, the future prospects of OLEFETs are highly promising. They are expected to continue revolutionizing various industries and play a crucial role in the evolution of organic electronics towards more advanced, flexible, and efficient devices. In summary, OLEFETs represent an exciting field of research with enormous potential to drive the next generation of electronic technologies.
4. Organic Field-Effect Waveguides (OFEWs)
An optical waveguide is a physical structure that directs electromagnetic waves within the optical spectrum and serves as a crucial component in photonic devices responsible for guiding, coupling, switching, splitting, multiplexing, and demultiplexing optical signals [52]. Typically, an optical waveguide is controlled by an electrical field via a two-terminal diode. While such integration has been extensively utilized in current photonic devices, its application is limited to compact optical chips for bio/medical and space applications [53].
The principle of light propagation in optical waveguides is based on the fundamental physics of waveguide theory, which relies on the concepts of total internal reflection and mode confinement. An optical waveguide is a structure designed to confine and guide light along a specific path, typically consisting of a core material with a higher refractive index surrounded by cladding material with a lower refractive index. This configuration creates a refractive index contrast that is crucial for effective light guidance.
The core principle behind light propagation in a waveguide is total internal reflection. When light travels from a medium with a higher refractive index (the core) to a medium with a lower refractive index (the cladding), it is reflected back into the core if the angle of incidence is greater than the critical angle. This critical angle is determined by Snell’s Law, which relates the refractive indices of the core and cladding materials to the angle of incidence. Total internal reflection ensures that the light is effectively confined within the core, allowing it to travel along the waveguide with minimal loss.
In addition to total internal reflection, the concept of mode propagation is essential in waveguide theory. Light propagates in discrete modes, each with a specific spatial distribution of the electric field. The fundamental mode, known as the guided mode, is the lowest-order mode that is confined within the core and has a distribution that decays exponentially in the cladding. Higher-order modes can also exist, but they are often less stable and more sensitive to waveguide imperfections. The mode confinement is influenced by the waveguide’s geometry and the refractive index contrast between the core and cladding.
The physical basis of light propagation in waveguides also involves the principles of wave optics and electromagnetic theory. The waveguide supports the propagation of electromagnetic waves by ensuring that the waves are confined to the core region through constructive interference within the core and destructive interference in the cladding. This confinement allows for efficient light transmission and minimizes losses due to scattering or absorption.
In practical applications, waveguides are used in various optical devices, including optical fibers, integrated optics, and photonic circuits. The design and optimization of waveguides involve careful consideration of material properties, waveguide dimensions, and operating wavelengths to achieve desired performance characteristics, such as low loss, high coupling efficiency, and specific mode propagation properties.
Over the past few decades, flexible organic electronics have garnered significant research attention. Organic field-effect transistors, owing to their ease of fabrication and manufacturing simplicity, have been extensively studied for producing flexible and stretchable electronics for diverse applications. However, realizing all organic optoelectronics via integration of organic field-effect transistors for tuning organic photonics has remained a significant fundamental challenge.
Integrating electronics and photonics is of paramount importance for achieving high-density and high-speed optoelectronic circuits. However, the realization of this goal remains challenging due to the complexities involved in merging diverse areas of science and technology. In this sense, it emerges an organic integrated optoelectronic device known as the Organic Field-effect Optical Waveguide (OFEW), which seamlessly integrates a field-effect transistor and an optical waveguide. In this device, the propagation of the optical waveguide within the active organic semiconductor can be precisely controlled by the third terminal—the gate electrode of the transistor—enabling controllable modulation depths of up to 70% and 50% in parallel and perpendicular directions of charge transport relative to the optical waveguide, respectively. Furthermore, the optical waveguide, oriented in different directions, can effectively modulate the field-effect of the device, with a photo-dependence ratio of up to 14,800. The successful integration of an active field-effect transistor with a semiconductor waveguide modulator significantly broadens the possibilities for achieving scalable integration of electronics and photonics on a single chip.
In an investigation performed by Hu and col. [54], the first “OFEWs” were developed, demonstrating the potential utilization of organic field-effect transistors for tuning organic optical waveguides. An organic semiconductor, 2,8-dichloro-5,11-dihexyl-indolo(3,2-b)carbazole (5) (Figure 10), was employed to construct OFEWs, which were assembled based on individual organic semiconductor crystals with gold stripes serving as source and drain electrodes. Figure 11 illustrates the optoelectronic device structure, device performance, and proposed operational principles of the constructed OFEW (Figure 11a). In both operational modes, the output intensities of the waveguide exhibited a significant dependence on the gate and source-drain voltages (Figure 11b,c). Subsequent investigations revealed that OFEWs function similarly to phototransistors (Figure 11d,e). These findings suggest that photons can be envisioned as self-propagating transverse oscillating waves of electric and magnetic fields within the organic field-effect optical waveguides, consistent with Maxwell’s equations. Furthermore, the authors proposed a working mechanism, as indicated in Figure 11f.
Figure 10.
Structure of 2,8-dichloro-5,11-dihexyl-indolo(3,2-b)carbazole (5) used for the organic field-effect waveguide (OFEW) described by Hu and col [54].

Figure 11.
(a) Diagram illustrating the architecture of organic field-effect optical waveguides (OFEWs) utilizing individual organic semiconductor crystals with gold stripes serving as source and drain electrodes. Two optical waveguide direction models are depicted: along the conducting channel (model I) and perpendicular to the conducting channel (model II). (b,c) Characteristics of modulation in organic molecule-based OFEW devices. Dependence of photoluminescence intensities on gate voltage ((a), mode I) and source-drain voltage ((b), mode II). (d,e) Modulation of field-effect performance by optical waveguides. Transfer characteristic variations under different laser illuminations in mode I (d) and mode II (e), respectively. (f) Proposed working mechanism. The resonant-energy transfer of photo-generated excitons is hindered by the mismatch in energy gap in Mx induced by hole trapping resulting from external voltage control. Figure taken from reference [54].
Moreover, the OFEWs reported by Hu and col’s. team can indeed be implemented on flexible substrates, facilitating the development of stretchable electronics with significant potential for biochips. It is anticipated that this discovery will inspire other research groups to develop flexible optoelectronics for bio/medical and space applications.
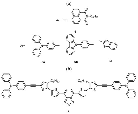
However, the search for new organic materials with application in these hybrid OFEWs is not easy because we have to achieve organic materials with application as optical waveguides and as semiconductors in OFETs at the same time and then explore their possible implementation in the hybrid devices. Many times, compounds with optical waveguiding behavior that are usually small molecules do not work as semiconductors in OFETs. On the other hand, compounds with architectures appropriate for OFETs are too big to form the necessary fibers or crystals with optical waveguiding behavior. Bearing in mind this complicated challenge, Torres-Moya and col. are looking for this kind of organic material with both applications for the designing of these new hybrid devices. In this sense, they have already developed multifunctional materials with application simultaneously as optical waveguides and as semiconductors in OFETs, with potential application in the novel hybrid OFEWs such as D-A naphthalenimide derivatives (6) or multidonor benzothiadiazole derivatives (7) (Figure 12) [55,56].
Figure 12.
(a) D-A naphthalenimide derivatives (6) or (b) multidonor benzothiadiazole derivatives (7) developed by Torres-Moya and col. with application as optical waveguides and organic field-effect transistors with potential application in OFEWs [55,56].
In summary, hybrid devices between OFETs and waveguides to create OFEWs represent an exciting area of research in organic electronics. These devices combine the control capabilities of Organic Field-Effect Transistors (OFETs) with the light-guiding properties of waveguides, opening up new possibilities in applications for optical communications and integrated sensors.
OFEWs offer significant advantages in terms of flexibility, low power consumption, and the ability to integrate with other electronic and optical components on a single substrate. This makes them suitable for a wide range of applications, such as short-range optical communications, light sensors, and imaging systems.
However, the path to widespread implementation of OFEWs is not without challenges. One of the main challenges is optimizing the efficiency and stability of light transmission along the waveguide, especially in large-scale devices. Additionally, the precise integration of electronic and optical components into a single device presents technical challenges in terms of alignment and efficient coupling of light with the field-effect transistors.
Furthermore, further research is required to understand and mitigate the effects of signal loss, dispersion, and light absorption in the organic materials used in OFEW construction. Improving uniformity and reproducibility in the manufacturing of these devices is also crucial for their commercial-scale application.
Despite these challenges, rapid advancements in research and development of organic materials, as well as manufacturing techniques, offer hope for overcoming these obstacles in the future. With continued progress in these areas, OFEWs are well-positioned to become a foundational technology in a variety of optical and communication applications in the future.
5. Future Perspectives
On the horizon of future electronics, hybrid devices emerge as pioneers at the intersection of different technologies and materials, opening new frontiers in flexible, sensitive, and high-performance electronic applications. Among these devices, OECTs, OLEFETs and OFEWs stand out as outstanding examples of the convergence between organic electronics and other disciplines.
OECTs represent an exciting class of devices that leverage the electrochemical properties of organic materials to achieve amplification of electrical signals. These devices offer unique advantages, such as high sensitivity to chemical and biological stimuli, making them ideal for applications in biosensors, brain-machine interfaces, and implantable biomedical devices. In the future, OECTs are expected to be further miniaturized and optimized for increased integration into wearable and medical diagnostic devices.
On the other hand, OLEFETs represent a unique fusion between electronics and optoelectronics, where organic field-effect transistors are combined with organic light emitters to create multifunctional devices. These devices offer higher energy efficiency and flexibility compared to traditional display technologies, making them ideal for applications in flexible displays, lighting devices, and display screens in wearable devices. With ongoing advancements in emission efficiency and material stability, OLEFETs are expected to drive the next generation of display and communication devices, enabling new forms of interaction and user experience in electronic devices.
Finally, OFEWs represent an innovative class of devices that combine the optical waveguiding properties with the functionality of organic field-effect transistors. These devices promise to revolutionize optical communication and quantum computing by enabling transmission and processing of information at extremely high speeds and with unprecedented energy efficiency. As manufacturing techniques are refined and materials are optimized, OFEWs are expected to play a crucial role in the development of next-generation optical communication networks and scalable quantum computing.
Together, OECTs, OLEFETs and OFEWs represent just a fraction of the exciting landscape of hybrid devices in future electronics. With continued research and development, these devices have the potential to radically transform how we interact with technology and open up new possibilities in fields ranging from medicine to quantum computing.
6. Conclusions
In summary, this article has explored the exciting field of organic hybrid transistors, highlighting three main classes: OECTs, OLEFETs and OFEWs. These devices represent a new frontier in electronics, merging organic materials with other technologies to achieve unique functionalities and innovative applications.
Among these devices, OECTs have emerged as undisputed leaders to date. Their ability to amplify electrical signals through electrochemical processes makes them ideal for a wide range of applications, from biosensors to implantable biomedical devices. The sensitivity and versatility of OECTs place them at the forefront of research in hybrid electronic devices and position them as promising candidates for future innovations in fields such as healthcare, wearable electronics, and brain-machine interfaces.
As we move towards an increasingly interconnected and technologically advanced future, the role of organic hybrid transistors will only continue to grow. These devices offer creative solutions to complex challenges, opening new possibilities in fields ranging from healthcare to quantum communication. With ongoing research and a focus on interdisciplinary collaboration, we can expect organic hybrid transistors to play a central role in the next electronic revolution, taking innovation to new heights and improving our lives in ways we can only begin to imagine.
In conclusion, while OFEWs and OLEFETs represent exciting areas of research, OECTs have proven to be the most relevant to date, with significant potential to drive revolutionary advances in future electronics.
Funding
This research received no external funding.
Institutional Review Board Statement
Not applicable.
Informed Consent Statement
Not applicable.
Data Availability Statement
Not applicable.
Acknowledgments
I.T.-M acknowledges Rocío Ponce and Iratxe Arretxea of the University of Málaga for showing me the basis of OFETs in two pre-doctoral stays in their group. I.T.-M. would also like to acknowledge JCCM-FEDER (project SBPLY/17/180501/000189) and MINECO (project RED2018-102331-T and CTQ2017-84825-R) at University of Castilla-La Mancha for the funding for the research related to OFEWs.
Conflicts of Interest
The author declares no conflicts of interest.
References
- Caironi, M.; Anthopoulos, T.D.; Noh, Y.-Y.; Zaumseil, J. Organic and Hybrid Materials for Flexible Electronics. Adv. Mater. 2013, 25, 4208–4209. [Google Scholar] [CrossRef] [PubMed]
- Myny, K. The Development of Flexible Integrated Circuits Based on Thin-Film Transistors. Nat. Electron. 2018, 1, 30–39. [Google Scholar] [CrossRef]
- Borchert, J.W.; Zschieschang, U.; Letzkus, F.; Giorgio, M.; Weitz, R.T.; Caironi, M.; Burghartz, J.N.; Ludwigs, S.; Klauk, H. Flexible Low-Voltage High-Frequency Organic Thin-Film Transistors. Sci. Adv. 2020, 6, eaaz5156. [Google Scholar] [CrossRef] [PubMed]
- Xiang, H.; Li, Z.; Liu, H.; Chen, T.; Zhou, H.; Huang, W. Green Flexible Electronics Based on Starch. npj Flex. Electron. 2022, 6, 15. [Google Scholar] [CrossRef]
- Liu, K.; Ouyang, B.; Guo, X.; Guo, Y.; Liu, Y. Advances in Flexible Organic Field-Effect Transistors and Their Applications for Flexible Electronics. npj Flex. Electron. 2022, 6, 1. [Google Scholar] [CrossRef]
- Zhao, Y.; Wang, W.; He, Z.; Peng, B.; Di, C.-A.; Li, H. High-Performance and Multifunctional Organic Field-Effect Transistors. Chin. Chem. Lett. 2023, 34, 108094. [Google Scholar] [CrossRef]
- Xu, C.; Zhang, J.; Xu, W.; Tian, H. Multifunctional Organic Field Effect Transistors Constructed with Photochromic Molecules. Mater. Chem. Front. 2021, 5, 1060–1075. [Google Scholar] [CrossRef]
- Li, H.; Brédas, J.-L. Developing Molecular-Level Models for Organic Field-Effect Transistors. Natl. Sci. Rev. 2021, 8, nwaa167. [Google Scholar] [CrossRef] [PubMed]
- Ren, X.; Lu, Z.; Zhang, X.; Grigorian, S.; Deng, W.; Jie, J. Low-Voltage Organic Field-Effect Transistors: Challenges, Progress, and Prospects. ACS Mater. Lett. 2022, 4, 1531–1546. [Google Scholar] [CrossRef]
- Ohayon, D.; Druet, V.; Inal, S. A Guide for the Characterization of Organic Electrochemical Transistors and Channel Materials. Chem. Soc. Rev. 2023, 52, 1001–1023. [Google Scholar] [CrossRef]
- Conti, S. A New Path for Organic Electrochemical Transistors. Nat. Rev. Electr. Eng. 2024, 1, 148. [Google Scholar] [CrossRef]
- Niu, Y.; Qin, Z.; Zhang, Y.; Chen, C.; Liu, S.; Chen, H. Expanding the Potential of Biosensors: A Review on Organic Field Effect Transistor (OFET) and Organic Electrochemical Transistor (OECT) Biosensors. Mater. Futures 2023, 2, 042401. [Google Scholar] [CrossRef]
- Paudel, P.R.; Tropp, J.; Kaphle, V.; Azoulay, J.D.; Lüssem, B. Organic Electrochemical Transistors: From Device Models to a Targeted Design of Materials. J. Mater. Chem. C 2021, 9, 9761. [Google Scholar] [CrossRef]
- Marks, A.; Griggs, S.; Gasparini, N.; Moser, M. Organic Electrochemical Transistors: An Emerging Technology for Biosensing. Adv. Mater. Interfaces 2022, 9, 2102039. [Google Scholar] [CrossRef]
- Marquez, A.V.; McEvoy, N.; Pakdel, A. Organic Electrochemical Transistors (OECTs) toward Flexible and Wearable Bioelectronics. Molecules 2020, 25, 5288. [Google Scholar] [CrossRef]
- Heinze, J.; Frontana-Uribe, B.A.; Ludwigs, S. Electrochemistry of Conducting Polymers—Persistent Models and New Concepts. Chem. Rev. 2010, 110, 4724–4771. [Google Scholar] [CrossRef]
- Malliaras, G.; Friend, R. An Organic Electronics Primer. Phys. Today 2005, 58, 53–58. [Google Scholar] [CrossRef]
- So, R.C.; Carreon-Asok, A.C. Molecular Design, Synthetic Strategies, and Applications of Cationic Polythiophenes. Chem. Rev. 2019, 119, 11442–11509. [Google Scholar] [CrossRef]
- Bousquet, A.; Awada, H.; Hiorns, R.C.; Dagron-Lartigau, C.; Billon, L. Conjugated-Polymer Grafting on Inorganic and Organic Substrates: A New Trend in Organic Electronic Materials. Prog. Polym. Sci. 2014, 39, 1847–1877. [Google Scholar] [CrossRef]
- Flagg, L.Q.; Bischak, C.G.; Onorato, J.W.; Rashid, R.B.; Luscombe, C.K.; Ginger, D.S. Polymer Crystallinity Controls Water Uptake in Glycol Side-Chain Polymer Organic Electrochemical Transistors. J. Am. Chem. Soc. 2019, 141, 4345–4354. [Google Scholar] [CrossRef]
- Parr, Z.S.; Halaksa, R.; Finn, P.A.; Rashid, R.B.; Kovalenko, A.; Weiter, M.; Rivnay, J.; Krajčovič, J.; Nielsen, C.B. Glycolated Thiophene-tetrafluorophenylene Copolymers for Bioelectronic Applications: Synthesis by Direct Heteroarylation Polymerisation. ChemPlusChem 2019, 84, 1384–1390. [Google Scholar] [CrossRef] [PubMed]
- Xu, K.; Sun, H.; Ruoko, T.-P.; Wang, G.; Kroon, R.; Kolhe, N.B.; Puttisong, Y.; Liu, X.; Fazzi, D.; Shibata, K.; et al. Ground-State Electron Transfer in All-Polymer Donor-Acceptor Heterojunctions. Nat. Mater. 2020, 19, 738–744. [Google Scholar] [CrossRef] [PubMed]
- Giovannitti, A.; Thorley, K.J.; Nielsen, C.B.; Li, J.; Donahue, M.J.; Malliaras, G.G.; Rivnay, J.; McCulloch, I. Redox-stability of alkoxy-BDT Copolymers and Their Use for Organic Bioelectronic Devices. Adv. Funct. Mater. 2018, 28, 1706325. [Google Scholar] [CrossRef]
- Sun, H.; Vagin, M.; Wang, S.; Crispin, X.; Forchheimer, R.; Berggren, M.; Fabiano, S. Complementary Logic Circuits Based on High-performance N-type Organic Electrochemical Transistors. Adv. Mater. 2018, 30, 1704916. [Google Scholar] [CrossRef] [PubMed]
- Liang, Y.; Chen, Z.; Jing, Y.; Rong, Y.; Facchetti, A.; Yao, Y. Heavily N-Dopable π-Conjugated Redox Polymers with Ultrafast Energy Storage Capability. J. Am. Chem. Soc. 2015, 137, 4956–4959. [Google Scholar] [CrossRef]
- Bischak, C.G.; Flagg, L.Q.; Yan, K.; Li, C.-Z.; Ginger, D.S. Fullerene Active Layers for N-Type Organic Electrochemical Transistors. ACS Appl. Mater. Interfaces 2019, 11, 28138–28144. [Google Scholar] [CrossRef]
- Biosensors Market SizeWorth $36.0 Billion by 2027|CAGR: 7.9%. Available online: https://www.grandviewresearch.com/press-release/global-biosensors-market (accessed on 1 May 2024).
- Kassal, P.; Steinberg, M.D.; Steinberg, I.M. Wireless Chemical Sensors and Biosensors: A Review. Sens. Actuators B Chem. 2018, 266, 228–245. [Google Scholar] [CrossRef]
- Malliaras, G.; McCulloch, I. Introduction: Organic Bioelectronics. Chem. Rev. 2022, 122, 4323–4324. [Google Scholar] [CrossRef]
- Parmeggiani, M.; Ballesio, A.; Battistoni, S.; Carcione, R.; Cocuzza, M.; D’Angelo, P.; Erokhin, V.V.; Marasso, S.L.; Rinaldi, G.; Tarabella, G.; et al. Organic Bioelectronics Development in Italy: A Review. Micromachines 2023, 14, 460. [Google Scholar] [CrossRef]
- Chen, J.; Yang, D.; Zhu, G.; Zhang, R.; Wang, B.; Chang, Z.; Dai, J.; Wu, W.; Rotenberg, M.Y.; Fang, Y. Automated and Ultrasensitive Point-of-Care Glycoprotein Detection Using Boronate-Affinity Enhanced Organic Electrochemical Transistor Patch. Biosens. Bioelectron. 2024, 255, 116229. [Google Scholar] [CrossRef]
- Wu, W.; Feng, K.; Wang, Y.; Wang, J.; Huang, E.; Li, Y.; Jeong, S.Y.; Woo, H.Y.; Yang, K.; Guo, X. Selenophene Substitution Enabled High-performance N-type Polymeric Mixed Ionic-electronic Conductors for Organic Electrochemical Transistors and Glucose Sensors. Adv. Mater. 2024, 36, e2310503. [Google Scholar] [CrossRef] [PubMed]
- Ji, X.; Lin, X.; Rivnay, J. Organic Electrochemical Transistors as On-Site Signal Amplifiers for Electrochemical Aptamer-Based Sensing. Nat. Commun. 2023, 14, 1665. [Google Scholar] [CrossRef] [PubMed]
- Clua Estivill, M.; Ait Yazza, A.; Blondeau, P.; Andrade, F.J. Ion-Selective Organic Electrochemical Transistors for the Determination of Potassium in Clinical Samples. Sens. Actuators B Chem. 2024, 401, 135027. [Google Scholar] [CrossRef]
- Pappa, A.M.; Ohayon, D.; Giovannitti, A.; Maria, I.P.; Savva, A.; Uguz, I.; Rivnay, J.; McCulloch, I.; Owens, R.M.; Inal, S. Direct Metabolite Detection with an N-Type Accumulation Mode Organic Electrochemical Transistor. Sci. Adv. 2018, 4, eaat0911. [Google Scholar] [CrossRef] [PubMed]
- Gu, X.; Yao, C.; Liu, Y.; Hsing, I.-M. 16-channel Organic Electrochemical Transistor Array for in Vitro Conduction Mapping of Cardiac Action Potential. Adv. Healthc. Mater. 2016, 5, 2345–2351. [Google Scholar] [CrossRef]
- Liang, Y.; Guo, T.; Zhou, L.; Offenhäusser, A.; Mayer, D. Label-Free Split Aptamer Sensor for Femtomolar Detection of Dopamine by Means of Flexible Organic Electrochemical Transistors. Materials 2020, 13, 2577. [Google Scholar] [CrossRef]
- Sophocleous, M.; Contat-Rodrigo, L.; Garcia-Breijo, E.; Georgiou, J. Organic Electrochemical Transistors as an Emerging Platform for Bio-Sensing Applications: A Review. IEEE Sens. J. 2021, 21, 3977–4006. [Google Scholar] [CrossRef]
- Gualandi, I.; Marzocchi, M.; Achilli, A.; Cavedale, D.; Bonfiglio, A.; Fraboni, B. Textile Organic Electrochemical Transistors as a Platform for Wearable Biosensors. Sci. Rep. 2016, 6, 33637. [Google Scholar] [CrossRef]
- Bihar, E.; Deng, Y.; Miyake, T.; Saadaoui, M.; Malliaras, G.G.; Rolandi, M. A Disposable Paper Breathalyzer with an Alcohol Sensing Organic Electrochemical Transistor. Sci. Rep. 2016, 6, 27582. [Google Scholar] [CrossRef]
- Cea, C.; Spyropoulos, G.D.; Jastrzebska-Perfect, P.; Ferrero, J.J.; Gelinas, J.N.; Khodagholy, D. Enhancement-Mode Ion-Based Transistor as a Comprehensive Interface and Real-Time Processing Unit for in Vivo Electrophysiology. Nat. Mater. 2020, 19, 679–686. [Google Scholar] [CrossRef]
- Zaumseil, J.; Sirringhaus, H. Electron and Ambipolar Transport in Organic Field-Effect Transistors. Chem. Rev. 2007, 107, 1296–1323. [Google Scholar] [CrossRef] [PubMed]
- Muccini, M. A Bright Future for Organic Field-Effect Transistors. Nat. Mater. 2006, 5, 605–613. [Google Scholar] [CrossRef] [PubMed]
- Tongsuk, S.; Malatong, R.; Unjarern, T.; Wongkaew, C.; Surawatanawong, P.; Sudyoadsuk, T.; Promarak, V.; Ruangsupapichat, N. Enhancement of Performance of OLEDs Using Double Indolo[3,2-b]Indole Electron-Donors Based Emitter. J. Lumin. 2021, 238, 118287. [Google Scholar] [CrossRef]
- Baldo, M.A.; Holmes, R.J.; Forrest, S.R. Prospects for Electrically Pumped Organic Lasers. Phys. Rev. B Condens. Matter 2002, 66, 035321. [Google Scholar] [CrossRef]
- Soldano, C. Engineering Dielectric Materials for High-Performance Organic Light Emitting Transistors (OLETs). Materials 2021, 14, 3756. [Google Scholar] [CrossRef] [PubMed]
- Yuan, D.; Awais, M.A.; Sharapov, V.; Liu, X.; Neshchadin, A.; Chen, W.; Yu, L. Synergy between Photoluminescence and Charge Transport Achieved by Finely Tuning Polymeric Backbones for Efficient Light-Emitting Transistor. J. Am. Chem. Soc. 2021, 143, 5239–5246. [Google Scholar] [CrossRef]
- Liu, D.; Liao, Q.; Peng, Q.; Gao, H.; Sun, Q.; De, J.; Gao, C.; Miao, Z.; Qin, Z.; Yang, J.; et al. High Mobility Organic Lasing Semiconductor with Crystallization-enhanced Emission for Light-emitting Transistors. Angew. Chem. Int. Ed. Engl. 2021, 60, 20274–20279. [Google Scholar] [CrossRef]
- Trukhanov, V.A.; Kuevda, A.V.; Dominskiy, D.I.; Mannanov, A.L.; Rybalova, T.V.; Tafeenko, V.A.; Sosorev, A.Y.; Konstantinov, V.G.; Kazantsev, M.S.; Borshchev, O.V.; et al. Strongly Polarized Surface Electroluminescence from an Organic Light-Emitting Transistor. Mater. Chem. Front. 2023, 7, 238–248. [Google Scholar] [CrossRef]
- Miao, Z.; Gao, C.; Gao, H.; Qin, Z.; Hu, W.; Dong, H. High-efficiency Area-emissive White Organic Light-emitting Transistor for Full-color Display. Adv. Mater. 2024, 36, e2306725. [Google Scholar] [CrossRef]
- Sharma, K.; Abbas, B. A Study of Highly Efficient Organic Light Emitting Transistors That Outperforms Organic Light Emitting Diodes. Opt. Quantum Electron. 2023, 55, 338. [Google Scholar] [CrossRef]
- Katsunari, O. Fundamentals of Optical Waveguides; Academic Press: Cambridge, MA, USA, 2005. [Google Scholar]
- Sze, S.M.; Li, Y.; Ng, K.K. Physics of Semiconductor Devices; John Wiley & Sons, Inc. Publication: Hoboken, NJ, USA, 2007. [Google Scholar]
- Zhao, G.; Dong, H.; Liao, Q.; Jiang, J.; Luo, Y.; Fu, H.; Hu, W. Organic Field-Effect Optical Waveguides. Nat. Commun. 2018, 9, 4790. [Google Scholar] [CrossRef] [PubMed]
- Tardío, C.; Donoso, B.; Fernández, P.; Torres-Moya, I. Rational Design of a Multifunctional Benzothiadiazole Derivative in Organic Photonics and Electronics. Chemistry 2023, 29, e202302524. [Google Scholar] [CrossRef] [PubMed]
- Torres-Moya, I.; Carrillo, J.R.; Gómez, M.V.; Velders, A.H.; Donoso, B.; Rodríguez, A.M.; Díaz-Ortiz, Á.; López Navarrete, J.T.; Ortiz, R.P.; Prieto, P. Synthesis of D-π-A High-Emissive 6-Arylalkynyl-1,8-Naphthalimides for Application in Organic Field-Effect Transistors and Optical Waveguides. Dyes Pigm. 2021, 191, 109358. [Google Scholar] [CrossRef]
Disclaimer/Publisher’s Note: The statements, opinions and data contained in all publications are solely those of the individual author(s) and contributor(s) and not of MDPI and/or the editor(s). MDPI and/or the editor(s) disclaim responsibility for any injury to people or property resulting from any ideas, methods, instructions or products referred to in the content. |
© 2024 by the author. Licensee MDPI, Basel, Switzerland. This article is an open access article distributed under the terms and conditions of the Creative Commons Attribution (CC BY) license (https://creativecommons.org/licenses/by/4.0/).