Abstract
This article analyses vibration transmission on agricultural tractors with the excitation from the road to the driver’s seat. A multi-body model of agricultural tractors created in Adams is presented. The main parts for the investigation of vibration transmission are the tractor body, where the only suspension elements are tyres, the tractor cabin, spring-dampers suspended at the rear and bushings at the front, and the driver seat with its pneumatic spring. A series of measurements were performed, and the model was validated using vertical acceleration values on the tractor body at four different locations. The FTire model (physical FEM-based model) was chosen to describe the behaviour of tyres. The model was created using measured tyre characteristics. Measured characteristics of spring-dampers and front cabin bushings were also implemented. For comfort investigation, ride simulations on ISO 5008 rough roads were performed. The transmission of vibrations in ride simulations was examined. A modal analysis of the linearised model was performed to confirm assumptions of the contribution of suspension elements to overall vibration levels. Finally, three case studies were conducted to better understand the model’s vibration transmission properties.
Keywords:
vibration transmission; comfort; agricultural tractor; multi-body model; suspension; tyres; stiffness; damping 1. Introduction
Driving comfort is an equally important topic for agricultural tractors as it deals with commercial vehicles. The common goal of reducing vibrations transmitted to the driver remains the same. However, for a tractor, the variety of work conditions is large, and the character of road roughness is broad. The benefits of using the simulations when studying driving comfort are then amplified.
In the global automotive industry, considerable effort is put into shortening the development times. Simulation models are suitable for analysing the impact of the design changes on the vehicle characteristics before producing the physical prototype [1]. Virtual prototypes are built using the multi-body method of mechanism analysis, allowing the performance of static, kinematic, and dynamic simulations [2]. In the automotive industry, multi-body simulations based on various complexity models are used in the development of suspension systems and anti-lock braking systems or for the evaluation of ride and handling characteristics of vehicles [3]. Just as importantly, multi-body models are used in the prediction of the vehicle powertrain’s (or its subassembly) dynamic behaviour in order to detect critical components with the aim of decreasing the vibroacoustic response [4].
Drivers of agricultural tractors are exposed to low-frequency vibrations. The natural frequency of a person sitting in a cabin is generally 4–6 Hz [5], which interferes with the natural frequency of a tractor (1–7 Hz) [6]. The impact of the vibrations on health has been researched thoroughly [7], and the international standard ISO 2631 sets the endurance limits for the acceleration of the human body.
Many publications describe mathematical models of tractor dynamical behaviour with different levels of complexity [5,6,8,9]. In [5], a simple two DOF half-tractor model was presented. The tractor cabin’s passive suspension parameters underwent optimisation concerning the target value, which is the vertical acceleration of the tractor cabin. In [6], they developed a half-tractor model to investigate driving comfort for semi-active suspension and rubber mounts. A controlling algorithm for semi-active suspension was designed. To improve ride comfort, they aimed at the vertical acceleration of the cabin, as in [5]. A semi-active cabin suspension design was investigated in [10] to observe a significant improvement in vibrational comfort compared to a passive suspension. In [8], five half-tractor models were introduced with different configurations of cabin suspension and suspensions on axles. Again, the comfort was evaluated using the vertical acceleration of the cabin. Active damping control strategies of the tractor’s rear hitch were implemented in [11] to reduce the pitching motion of the tractor and improve handling stability. A self-levelling cabin suspension system was researched in [12], achieving a slight decrease in whole body vibrations (WBVs) at the driver seat.
In [13], the MBS model of the tractor was created and validated using measured data by tuning the properties of the tyre model, specifically the Fiala tyre model. The correlation was surprisingly good even though the Fiala tyre model was used. This model assumes stiffness and damping characteristics to be linear, but they are not. Transmission of vibrations was analysed in [14,15,16]. In [14], several measurements with different drivers were performed, accelerometers were placed at the seat pan, and accelerometers were placed on the driver’s head to determine seat-to-head transmissibility. The vibrations were measured in all directions. In [15], authors examined WBVs at the seat location and driver back to establish seat-to-back transmissibility in the dominant vertical direction. In [16], measurements were performed to find the transfer function between the ground profile and the motion of an unsprung agricultural tractor body. In [17], a multi-body model of an agricultural tractor, which is capable of predicting vibrations on the tractor body, cabin, and seat, was implemented. RMS acceleration values at these locations were presented under different operating conditions.
The research in [18] focused on predicting the vibration characteristics of a heavy machinery suspended seat using a multi-body model. The simulation results showed good agreement with the experimental test results, and the model was employed for design modifications.
The vibration tests of various work conditions of the agricultural tractor were analysed in the frequency domain according to the ISO 2631 standard in [19], which found that the driver’s whole body vibration was excessive. A multi-body model of the tractor was assembled to explore the tractor’s dynamic behaviour riding an artificial test track; however, this model was not validated and served only for the identification of the highest-impact model parameters.
This paper combines these approaches and creates a validated 3D multi-body model of the tractor, including a sprung driver seat and mass representing the driver. The tyre model should be capable of describing the non-linear characteristics of tyres. The goal is also to use several measurements to validate the model. Vibration transmission will be analysed using vertical acceleration at different tractor locations. A complex solution of vibration transmission from the road excitation to the driver will be presented.
1.1. Anatomy of Agricultural Tractor
Most agricultural tractors have an unsuspended rear axle; the only damping elements are tyres. Tyres have, however, a damping capacity that is one order too low to control vibration [20]. A front axle is also unsuspended (see Figure 1) or equipped with suspension; in both cases, the axle can swing around the vehicle’s longitudinal axis, which is also the axis of the power input. A suspended axle also allows vertical movement of the whole axle. The axle is mounted to a subframe, which is connected to a tractor body, allowing the subframe and the axle to tilt around the axis of the connection. The axis is oriented in the normal direction to the longitudinal plane of the vehicle.
Figure 1.
Front unsuspended tractor axle (right) and front axle with independent suspension (left).
Mostly on tractors from the high-power category, independent front axle suspension can be found (see Figure 1). Front wheels then move in the vertical direction independently of each other. The main advantage of this design is improved vehicle handling thanks to better contact between the tyre and the road’s surface. Both front axle suspension designs form the primary suspension. The main components of unsuspended and independently suspended front axles are described in Figure 1.
1.2. Vehicle Suspension Models
A quarter-vehicle model is often used initially to study a vehicle suspension design [21,22,23,24]. This model consists of a few parameters: tyres’ stiffness and damping, unsuspended mass, suspension elements stiffness and damping, and suspended mass. The equation of motion is derived by applying Newton’s second law of motion [25]. This model with two degrees of freedom is known for a good description of the vertical dynamics of a car [26].
Because of the body arrangement of a standard agricultural tractor, a quarter model is not applicable. The next step, a simple half model of the tractor, is plotted in Figure 2. The tractor body, cabin, front axle, and moving part of the driver seat with the driver are represented as rigid bodies. Suspension properties of tyres, front axle, cabin suspension, and seat suspension are modelled as translational stiffness kx and damping cx. The equations of motion for this model based on the second Newton Law can be written as:
where , , and are matrices of the mass, damping, and stiffness, is the force excitation vector, and x is the displacement vector, which contains variables for degrees of freedom (DOF) of the model. The displayed model has six DOF (xFA, xB, xC, xDS, θB, θC), but it can be expanded or simplified depending on the model objectives. When different linear stiffness and damping properties are used, and an assumption about small angular displacements is made (θ = sin(θ)), the model is suitable for numerical optimisation of suspension parameters based on particular criteria for displacement, velocities, or accelerations.
Figure 2.
Half model of the agricultural tractor.
A half model of the agricultural tractor was presented in [6]. This model was reduced to a two degree of freedom model of a passive cabin suspension. Parameters of the passive cabin suspension were then optimised with an analytical approach. In [8], a half model of the tractor was reduced to four DOF by neglecting the front axle and driver with the driver seat. The model was used to design a semi-active suspension control algorithm to improve ride comfort in the tractor cabin. Several half-tractor models were utilised in [9] to determine the effects of the suspension system configuration.
The possibility of using optimisation techniques is the main advantage of these simple linearised models. They can predict trends, and their robustness enables them to be used in active suspension control algorithms [20]. They are insufficient for a complex study of whole system behaviour under various loading conditions. In [27], a scissor seat suspension was optimized using an improved NSGA-II algorithm to find the best spring stiffness and damper damping combination for reducing vibrations.
1.3. Vehicle Driver Models
Several different approaches to creating vehicle driver models in multi-body software were introduced. In the investigation of optimal cabin suspension parameters in [6] or [28], a rigid connection between the driver and the cabin was adopted. Typically, a spring-damper system is employed to model seat suspension with the mass of the suspended part of the seat combined with that of the driver [29,30].
In developing active seat suspension systems, modelling the influence of the seat cushion is a common practice. Such models with a spring-damper element between the seat and the human body are used in [13,31,32,33]. Several models include additional stiffness and damping between the lower and the upper parts of the human body [34,35].
A study of the effects of human feet and floor interaction on whole body vibration level was conducted in [36]. A seventeen DOF human biodynamic model and a six DOF seat model were constructed in Adams software to prove that this effect is not negligible. A dynamic model of the bus riding on uneven roads was used in this simulation study.
Different kinds of human–seat interaction models are being developed for seat design purposes. A review of these models, which often include human back and backrest interaction, can be found in [37]. Multi-body models with contact algorithms are utilised to study the influence of seat geometry and friction parameters on human body loading. Anatomically based FE models capturing the physical properties of bones, soft tissues, and skin are implemented in seat development [37].
2. Materials and Methods
2.1. Building the Model
When building the model, it is essential to consider the problem the model should solve. The ideal model is one with minimum complexity but capable of solving the problem [38]. More complex models demand more experimental data in the model validation stages, which takes time and money and the risk of errors. In [21], a system schematic is a recommended first step, helpful for understanding the mechanism and estimating degrees of freedom in the model.
Adams multi-body modelling software was chosen to create the model. The scheme of the proposed multi-body model is shown in Figure 3. The tractor body, cabin, the suspended part of the driver seat, and the driver are modelled as rigid bodies. The mass and inertia were prescribed based on CAD data and experimental data provided by the manufacturer (see Table 1). The stiffness and damping properties of suspension elements in the model are in Table 2. The connection between the body and the cabin in the front part is provided by a flexible connection—bushing. The bushing is defined by stiffness and damping for translational relative movement of connected parts.
Figure 3.
The scheme of the proposed multi-body model.
Table 1.
Masses of rigid bodies in the model.
Table 2.
Stiffness and damping properties of the model parts.
The rear part of the cabin is suspended passively by a spring-damper element. In Adams, the spring-damper connection is defined in one axis. Translational stiffness and damping are defined as non-linear functions (see Figure 4). The data were acquired by measuring a physical spring-damper on a specialised test rig. Small bushings used for spring-damper mounts are modelled using small dummy parts.
Figure 4.
Stiffness and damping characteristics of cabin bushings and spring-dampers in the vertical direction.
A Panhard rod is also modelled as a rigid body, and it is connected to the tractor body and the tractor cabin by bushings. A driver seat suspension is modelled only in the vertical axis via a spring-damper element combined with the translational joint. The seat cushion effects are also modelled by this combination (see Figure 5). The mass and inertia properties of the driver were taken from [39].
Figure 5.
Stiffness characteristic of the driver seat.
Another advantage of multi-body simulation models is the possibility of implementing and comparing various design alternatives. The independent front axle suspension model is displayed in Figure 3. It consists of an axle body modelled as a rigid body connected by a revolute joint to the tractor body. Wishbones are connected to the tractor body and wheel hub by revolute joints. Spring-dampers connect lower wishbones with the axle body. With this implementation, it is easy to achieve the model of the unsuspended front axle by setting the stiffness of these spring dampers to a very large value.
It should be noted that the presented configuration of the joints mimics the front axle design and enables easy extension of the model by the replacement of rigid bodies with flexible bodies. However, from the perspective of the MBS system, it contains six redundant constrained equations (caused by multiple revolute joints at the front axle). Utilising 2 rotational joints, 1 cylindrical joint, and 1 spherical joint is correct according to MBS theory and would not produce redundant constraints. The configuration of 4 revolute joints results in equivalent dynamic behaviour of the tractor, and since the forces in revolute joints are not investigated, it was possible to use these joints.
2.2. Tyre Model
PAC2002 and FTire are Adams’s two most mature tyre models [38]. PAC2002 was designed to describe the behaviour of tyres travelling over relatively smooth road surfaces. It is also called the Magic Formula tyre model because it uses a mathematical formula capable of expressing essential tyre characteristics surprisingly well despite no physical basis for this structure of equations. This Magic formula has two primary forms, sine and cosine [40]:
where is the dependent variable (force or moment), is the independent variable (slip parameter), and , , , and are fitting constants, which represent stiffness, shape, peak, and curvature factor. The sine form describes lateral force as a function of the lateral slip or longitudinal force as a function of the longitudinal slip. The cosine form describes a self-aligning moment. PAC2002 is a semi-empirical model based on non-linear mathematical approximations of tyre forces and moments, but it also contains physically modelled components. A physical approach models transient tyre behaviour. This model uses one point-follower contact method by default (for 3D spline roads), which was insufficient for modelling tyres over short wavelength irregularities [41]. However, when the user sets the 3D enveloping contact method in the tyre property file, the performance of the tyre model on short road obstacle wavelength is highly improved. It is recommended to use PAC2002 for handling simulations, such as steady-state cornering, single or double lane change, braking, and turning manoeuvres [38].
On the other hand, a physics-based model, FTire, developed by Cosin, is suitable for vehicle comfort investigations and other vehicle dynamics on even or uneven roads. It is the best model for testing durability [42]. A tyre belt is described as an extensible and flexible ring with bending stiffnesses, elastically founded on the rim by distributed stiffnesses in radial, tangential, and lateral directions as it is shown in Figure 6 [42]. A finite number of point masses numerically approaches the ring; these belt elements are coupled with their direct neighbours by stiff springs and bending stiffnesses both in-plane and out-of-plane. The radial stiffness between a single belt element and the rim is refined by the parallel connection of a spring with a spring-damper series connection to allow dynamic stiffening of the tyre radial stiffness at high speeds. To every belt element, a set of mass-less tread blocks is associated, and the blocks carry non-linear stiffness and damping properties in radial, tangential, and lateral directions.
Figure 6.
Belt representation in Fire.
To take full advantage of the precision of the model, there should be a minimum of 1000 steps per second of simulation time. The main advantages of using FTire are that the model is fully non-linear, and its accuracy is very high when passing single obstacles, such as cleats or potholes. FTire is sufficient for modelling tyres over short wavelength irregularities. The disadvantage is that many parameters are required to parametrise the tyre model. However, once appropriately parametrised, the FTire model can predict tyre’s behaviour over smooth road surfaces and rough terrain [43].
Extensive research has been performed to model the tractor tyres precisely. In [44], a regression model of tractor tyres’ vertical stiffness and damping was developed, showing non-linearity in these characteristics. The need for a non-linear description of tyres’ vertical characteristics for very heavy vehicles is mentioned in [21]. However, a fully linear Fiala tyre model was successfully validated in [13] as a tractor tyre model. Only vertical forces and vibrations were taken into account. The model only had 11 input parameters, and it was chosen due to a lack of experimental data.
The tyres were implemented as the FTire model in the proposed multi-body model. Vertical stiffness and damping curves provided by the tyre manufacturer can be seen in Figure 7, where curves for different inflation pressures are shown. A significant variation of the stiffness depending on inflation pressures can be observed.
Figure 7.
Non-linearity in tractor tyre characteristics for different tyre inflation pressures.
3. Results and Discussion
3.1. Model Validation
Several measurements of the agricultural tractor equipped with acceleration sensors were performed to validate the proposed multi-body model. The tractor rode through an artificial test track of two bumps with different heights. The goal in the initial validation phase was to match the acceleration values on the tractor body at locations of cabin mountings (see Figure 8). The same test track was prepared for multi-body simulation. A speed of 6 km/h was chosen for this validation.
Figure 8.
Model validation test track (left) and the dimensions of the artificial bumps (right).
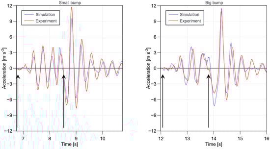
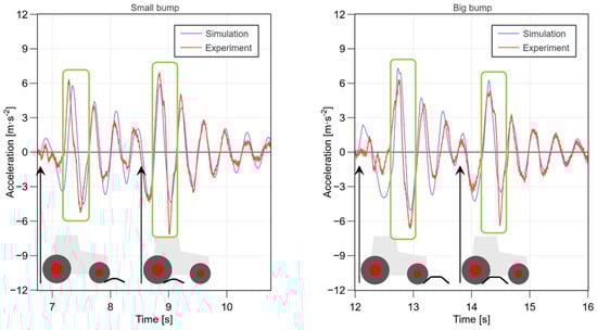
The Figure 9, Figure 10, Figure 11 and Figure 12 compare vertical acceleration values on the tractor body during a test run. The time domain records are divided into two parts: the first part shows the ride through the small bump, and the second part shows the ride through the big bump. Arrows in the graphs mark when the front and rear wheels encounter the bumps.
Figure 9.
Vertical acceleration on the tractor body at the left front cabin bushing location.
Figure 10.
Vertical acceleration on the tractor body at the right front cabin bushing location.
Figure 11.
Vertical acceleration on the tractor body at the location of the left spring-damper (at the rear).
Figure 12.
Vertical acceleration on the tractor body at the location of the right spring-damper (at the rear).
The most significant peaks, when the front and rear axles pass the bump (see marked area in Figure 9), were compared regarding values for validation purposes. The results are in Table 3. The time shift between the maximum value in the simulation and experiment is included. The correlation for every location is circa 80 % when the values are averaged.
Table 3.
Correlation of maximum values of the most significant peaks.
In the next step, the frequencies of these most significant peaks were calculated using the whole period to determine correlation; results can be seen in Table 4. The frequencies at the locations of spring-dampers have higher correlation values. Generally, the experiment’s frequencies change more significantly when passing the bumps.
Table 4.
Correlation of frequencies for the most significant peaks.
The final step in validation was to calculate a correlation coefficient for the whole period between the curve of acceleration that was measured and the curve that was calculated while passing bumps. The correlation coefficient is defined as:
where is the value of acceleration from the experiment, is the acceleration value from the simulation, and the mean function is defined as:
where N is the total number time of samples from the experiment. The results are summarised in Table 5.
Table 5.
Correlation coefficient values.
The correlation coefficient values are relatively high except for the spring-dampers’ location when the front axle passes the big bump. The cruise speed of the tractor plays an enormous role here. The speed is not constant. While passing the bump, there was a specific decrease in speed, but the cruise speed was not measured in the experiment. To determine the effect of velocity in the model simulation, in Figure 13, there are vertical acceleration curves for the constant angular velocity of the tractor rear wheels and two different angular velocity curves for the tractor rear wheels. A big bump with the tractor’s front axle occurs in the highlighted area. The conclusion is that the accurate cruise speed needs to be measured in the following experiment.
Figure 13.
Effect of wheels’ angular velocity on the vertical acceleration of the body at the location of the left spring-damper.
The effect of damping on amplitude values can be seen in the time domain graphs (Figure 9, Figure 10, Figure 11 and Figure 12). The curves from the experiment and simulation are very similar except for the location of the right bushing. At the location of the left front cabin bushing, the vertical acceleration curve from the simulation has the same number of amplitudes as the curve that represents vertical acceleration from the experiment. A frequency shift can be seen right after the tractor’s front wheels pass the bump in both cases: small bump and big bump. On the other hand, when the tractor’s rear wheels pass the bump, the oscillation frequency becomes very similar for simulation and experiment; the correlation between these frequencies is 93.63 for the small bump and 87.84 for the big bump. The reason for the frequency shift in the beginning would require further investigation. When passing the small bump, the most significant difference in acceleration value is 2.05 m·s−2 at time 9.02 s (see Figure 9—left). The most crucial deviation while passing the big bump is 1.93 m·s−2 at 14.5 s (see Figure 9—right).
On the other side of the tractor body, at the right cabin bushing location, the correlation for the whole curve is clearly worse. Although the number of amplitudes is still identical for simulation and experiment, the values of the amplitudes are significantly different. The most significant deviation between the simulation and the experiment can be observed when the front axle crosses the bump (see marked area in Figure 10). The measured data show a difference in acceleration amplitudes between the tractor’s left and right sides. This phenomenon could be attributed to the fuel tank near the bushing mount on the right side of the tractor body. The fuel in the tank may act as a damper for these vibrations; however, confirming this hypothesis needs further investigation. On the contrary, the simulation model has almost identical responses on both sides. In this regard, it should be emphasised that the tractor body is modelled as a rigid body. Future work will include an evaluation of the influence of flexible tractor bodies on low-frequency vibration response.
At the right and left spring-damper locations, the number of amplitudes is the same when passing the small bump. When passing the big bump, one amplitude is missing in the simulation at 15.45 s (see Figure 11 and Figure 12—right). The left and right sides are relatively similar compared to the accelerations in the locations of bushings, which means that the rear part of the tractor body is not affected by the fuel movement. On both sides, the most significant difference in values of acceleration is at time 14.01 s: on the left side, it is 2.9 m·s−2 (see Figure 11—right), and on the right side, the difference is 2.48 m·s−2 (see Figure 12—right).
Correlation, in general, is highly dependent on the vertical stiffness and damping of tyres and the mass properties of the tractor body and cabin. Also, the tractor’s cruise speed plays a huge role and is not constant during bump passing. It is also essential to remember that the processing and filtering of measured signals affect the amplitude values.
The validated dynamic model can predict ride behaviour regarding driving safety, evaluate dynamical forces acting on various parts of the tractor, and study the properties of various suspension configurations. The goal of the model was to evaluate driving comfort. However, the bumps used for model validation do not represent typical road profiles during the operation of agricultural tractors. Real road excitations randomly vary in frequency and amplitude and, furthermore, contain phase shifts between the left and right sides.
3.2. ISO 5008 Test Track Evaluation
The analysis of whole body vibrations (WBVs) in the agricultural sector is more complex than in the industry because it is strictly connected to the surface type and conditions, machine configuration, and the type of operation being undertaken [45]. For comparative purposes, the ISO 5008 standard [45] was established to measure driver vibrations on normalised test tracks. It defines the smooth track (100 m long) and rough track (35 m long). Based on the dimensions specified in the ISO standard, the rough track was modelled in the MBS environment.
The methodology for measuring and evaluating the WBVs the driver is exposed to is specified in the standard ISO 2631-1. The acceleration sensor is positioned on the driver’s seat to measure the vibrations transmitted to the seated operator’s body as a whole through the supporting surface of the buttock.
The standard also defines weighting factors for the vibration levels at defined frequency bands to consider the frequency sensitivity of the driver’s body to WBVs. The weighted root mean square average weighted vibration Aw is defined as:
where T is the measurement time. It is convenient to analyse WBVs in the one-third octave spectrum in which the weighting factors are defined. The human body is most sensitive to vertical vibrations in 5–8 Hz frequencies where the weighting factors are greater than 1, which means these vibrations are amplified after weighting, and for lower and higher frequency bands, the weighting factor is less than 1, which means vibrations in these frequency bands become less significant. The weighting factors are plotted in Figure 14.
Figure 14.
One-third octave spectra of the ISO 2631-1 weighted driver seat acceleration (green) during the ISO 5008 rough track ride and the corresponding weighting factors (black).
Analysing the acceleration signals in the frequency domain can provide insights into the performance of different suspension elements. The following part systematically evaluates tractor suspension elements by comparing the one-third octave spectra before and after the suspension element (in the direction from the road excitations to the driver seat). A comparison is displayed for every location of the body–cabin mount and spectra of the cabin floor and driver seat are added to these comparisons. The acceleration levels are unweighted to assess the suspension element contributions better.
The frequency spectra of the tractor body (red line in Figure 15) are very similar at all four locations, and they have a peak at the 2.5 Hz frequency band. The acceleration levels at cabin mount locations show different characteristics. A significant increase between body and cabin can be observed at all four locations. It is seen in the yellow “body to cabin increment” plots in Figure 15. At front cabin bushings, the vibration levels rise by more than 20 dB for 16 Hz and 20 Hz frequency bands. A considerable 5 dB or more increase is present at all frequency bands from 6.3 Hz to 125 Hz. At the rear, the increase is lower but still significant, especially for frequency bands between 6.3 Hz and 25 Hz.

Figure 15.
One-third octave spectra of the acceleration signal during the ISO track ride (no frequency weighting) and incFrement plots comparing the values between different locations.
The blue line in Figure 15 shows vibration levels on the cabin floor between the mounting locations in the longitudinal and lateral directions. This point is also close to the seat suspension connection to the cabin. We can observe that at front bushings, the vibration levels are increased for frequencies up to 1.6 Hz; however, the levels are decreased for higher frequencies. A reverse characteristic is present for rear spring-dampers with the switch at 6.3 Hz. This suggests pitching movements of the cabin about different axes of rotation at different frequencies.
We see a slight increase in vibration values measured on the driver seat compared to the cabin floor for frequency bands of 1 Hz and lower. The levels are consistently lower for frequencies higher than 1.6 Hz, confirming the benefit of seat suspension.
Figure 14 shows vibration levels measured on the driver seat weighted by factors set by ISO 2631-1. The levels are displayed in meters per second squared. Also, the weighting factors are plotted as multiplying factors. It can be seen that the highest acceleration is present at frequency bands from 1.6 Hz to 3.15 Hz. It is desirable to analyse what causes high levels in these bands and if it is possible to lower them. Another phenomenon to analyse further is the second peak at frequency bands from 6.3 Hz to 12.5 Hz. This peak is considerably lower than the first, so it does not affect the total weighted vibration level. However, it interferes with the frequencies where the human body is most sensitive to vertical vibrations, which was a basis for designing these weighting factors (plotted in black).
3.3. Modal Analysis
A modal analysis of the whole tractor was performed to assess the contribution of different suspension elements to the overall movements of the tractor during the test track ride and to identify critical components to modify for better performance from the driving comfort point of view. The analysis was performed on the linearised model using Adams software. Table 6 presents the results of the modal analysis.
Table 6.
The results of the modal analysis of the linearised model of the tractor with colour-coded areas of resonance of different suspension elements on the right.
Natural frequencies of corresponding modes are matched with corresponding frequency bands in the one-third octave analysis to observe the bands in which they contribute to vibration levels. Mode shapes are briefly characterised, and suspension elements in resonance are identified for each mode shape. It should be noted that the resonance of tyres is present in almost all shapes in the frequency bands from 1.6 Hz to 3.15 Hz. These modes also have low damping, from 13.7 % to 24.54 %. The contribution of these modes to the overall vibration level is significant. Since the tyres are suspension elements with specific stiffness and damping characteristics, reducing the vibration levels in these bands is difficult. The tyres’ stiffness depends on the inflation pressure (see Figure 7), but it cannot be modified to reduce the vibration levels. The inflation pressure of tractor tyres is set based on the work conditions.
Table 6 also shows natural frequencies in frequency bands from 6.3 Hz to 12.5 Hz, where the suspension elements in resonances are front bushings. These modal analysis results explain the significant increase in vibration levels on the cabin in these frequency bands. However, an increase in these frequency bands is also observable in the rear part of the cabin in Figure 15. This increase is significant even on the cabin floor and driver seat. Therefore, it is desirable to identify if the resonance of the front bushings also influences the vibration of the cabin in the rear part.
Three modes with rear spring-dampers resonances are in frequency bands from 1.25 Hz to 2 Hz. It can be seen in Figure 15 that the vibration levels in frequency bands of 1.6 Hz and 2 Hz rose between the body and the cabin. Modifying stiffness and damping may help reduce vibration levels in these frequency bands.
Resonance of the driver seat suspension is present in frequency bands of 1.25 Hz and from 2 Hz to 4 Hz. Based on Figure 15, Figure 16, Figure 17 and Figure 18, it can be concluded that the first mode is dominant because, in higher frequencies, driver seat suspension effectively reduces vibration levels. In other words, driver seat suspension is soft enough to have a natural frequency lower than the highest acceleration frequency bands (1.6 Hz, 2 Hz, 2.5 Hz), enabling a transfer function lower than 1 for these bands.
It is also helpful to analyse the damping ratios of eigenmodes. The highest damping (78.87%) is present in the first mode, where spring-dampers and the driver seat suspension are in resonance. By observing the damping of all modes, it can be concluded that modes with tyres and front bushing in resonance have generally lower damping ratios. In contrast, modes with spring-dampers and driver-seat suspension have higher damping ratios.
Analysis of one-third octave frequency spectra at different locations and the modal analysis revealed three questions that need to be answered to fully understand the behaviour of the model in terms of driving comfort and transmission of vibrations from road excitations to the driver seat:
- Are the tractor tyre resonances at frequency bands from 1.6 Hz to 2.5 Hz the main contributor to vibration levels in these bands?
- Are the front bushing resonances at frequency bands from 8 Hz to 12.5 Hz causing an increase in vibration not only at the front part of the cabin but also at the rear part, resulting in high vibration levels at the driver seat compared to the tractor body?
- Is it possible to reduce vibration response in critical frequency bands by modifying the damping characteristic of rear spring-dampers?
Three case studies were performed and analysed in the following chapters to answer these questions.
3.4. Case Study 1: Tractor Tyres
The ISO rough track ride was simulated with lowered tyre stiffness and compared to the original simulation. The stiffness characteristic of every tyre was adjusted, corresponding to a decrease in the pressure from 1.6 bar to 1 bar. Lowered tyre pressures result in approximately 60 % of the initially used stiffness. The one-third octave analysis of these two simulations is displayed in Figure 16.
The case study confirmed that tyres mainly contribute to vibration levels in 1.6 Hz to 2.5 Hz frequency bands. However, even a considerable decrease in the stiffness resulted in a shift of the highest frequency band only by one step from 2.5 Hz to 2 Hz. The total unweighted vibration level was increased from 124.92 dB to 126.15 dB because the most prominent frequency band (at 2 Hz) reached almost 120 dB after lowering the tyres pressures. It can be concluded that by changing the pressure of the tyres in a typical usable region, usually from 0.8 bar to 2.4 bar, we cannot significantly improve WBV levels. The effect of tyres’ damping on WBV levels was not studied since the damping values used were validated by comparing them with the experimental measurements, and their modification is not possible in practice.
Figure 16.
One-third octave spectra of the acceleration signal during the ISO track ride (no frequency weighting) on the tractor body at the location of left front bushing for two different tyre stiffnesses.
3.5. Case Study 2: Front Bushings
The second case study proved that excessive vibration levels in the frequency bands from 8 Hz to 12.5 Hz are caused by the resonance of the front bushings. This effect is also noticeable at the rear of the tractor cabin, as shown in Figure 17. It was found that the amplitude of the resonances is highly dependent on the damping of the front bushings. Besides the original damping (see Table 2), the 50 % and 200 % damping coefficient values were simulated. Even when the amplitudes at frequency bands from 8 Hz to 12.5 Hz are lower than those at the frequency bands from 1.6 Hz to 2.5 Hz, the contribution to the overall unweighted vibration level is not negligible.
Figure 17.
One-third octave spectra of the acceleration signal during the ISO track ride (no frequency weighting) on tractor cabin at the location of left spring-damper for three different bushing damping properties.
3.6. Case Study 3: Rear Spring-Dampers
Modal analysis revealed that the resonance frequencies of rear spring-dampers are located in frequency bands from 1.25 Hz to 2 Hz, which interferes with critical frequency bands (from 1.6 Hz to 2.5 Hz). A case study was performed to determine if modification of damping curves can improve overall suspension performance. The damping curves used in this case study were achieved by 80 % and 120 % multiplication of the experimentally measured damping curve used for model validation, shown in Figure 4.
A minimal difference in vibration level at the 1.6 Hz frequency band was found (see Figure 18). The 80 % damping simulation has the lowest, and 120 % has the highest vibration levels. The opposite trend was expected as this frequency band is in the resonance region. This unexpected result may be attributed to the character of the ISO rough track, where the bumps vary both in amplitude and frequency. This means the suspension elements are permanently in transient regimes, and no steady-state vibrations are present.
Figure 18.
One-third octave spectra of the acceleration signal during the ISO track ride (no frequency weighting) on the tractor cabin at the location of the left spring-damper for three different spring-damper damping values.
4. Conclusions
The multi-body model of the agricultural tractor presented in this article is composed of rigid bodies connected with idealised joints. As demonstrated, validating this idealised model with experimental data and achieving a minimal discrepancy between the model and the measurements is possible. However, using measured non-linear characteristics for stiffness and damping characteristics and a complex tyre model with real test stand data was necessary.
Several steps were taken to find a correlation between the simulation and the experiment for validation. At first glance, at the location of the right bushing, the acceleration curves differ the most because of the movement of fuel, which significantly decreases the acceleration amplitude. However, the maximum peak values are very similar; the correlation for these values reaches circa 80 % at all locations. Also, the correlation coefficient for acceleration curves in the time domain when the front and rear axles pass the bump is very high (see Table 5). This leads to the conclusion that the model is suitable for driving comfort investigations.
A combination of modal analysis and ride simulation result analysis in the one-third octave spectra was used to analyse vibration transmission. The resonance of tyres is always associated with the mode shape of the tractor body; their stiffness and damping properties affect the tractor body’s natural frequencies. Lower stiffness of tyres leads to lower natural frequencies of the tractor body (see Figure 16). Spring-dampers’ natural frequencies are present in the lower frequency bands. They are sufficient in reducing vibrations in the 3.15, 4, and 5 Hz frequency bands (see Figure 15: left spring-damper and right spring-damper: body to cabin mount increment). In higher frequencies, the effect of front bushings, which amplify vibrations transferred from body to cabin, is present (see Figure 15: left bushing and right bushing: body to cabin mount increment). This amplification is present in the 6.3 Hz frequency band and higher frequency bands. This leads to the conclusion that front bushings are inappropriate suspension elements for reducing vibrations transferred to the driver. They cause an increment in the vibration level even at the locations of spring-dampers. Because of this, the change in stiffness and damping properties of the spring-dampers does not affect comfort as much as expected. The driver seat suspension design is sufficient to reduce vibrations in the 2.5 Hz frequency band and higher frequency band (see Figure 15: cabin floor to driver seat increment). Still, the effect of front bushings is so strong that at specific frequency bands (6.3–20 Hz), the vibration level of the driver seat is still higher than on the tractor body. This paper contributes to the understanding of suspension performance in agricultural vehicles, and its novelty lies in a unified approach to vibration transmission evaluation, which is crucial for improving driving comfort. Our solution of vibration transmission is very complex; it analyses vibrations from the road excitation to the driver, which includes vibrations of the tractor body at the suspension unit location, tractor cabin vibrations at the suspension unit location, vibrations at the cabin centre of mass, and finally, vibrations at the driver seat.
This initial study aims to model vibrations generated while driving and transferred from the road to the driver. Thus, the high-frequency vibrations from the engine and driveline are not considered. The model is prepared for its extension in the future. The actuation is realised using simple motion applied to shafts connected to tractor wheels. The fuel movement in the tank, which, as it was seen, affects vibrations in reality, is not modelled in any way. Co-simulation with Particleworks’ MPS or CFD software would be required to describe the fuel’s movement, which would increase computational complexity. Including flexible bodies in the model might also increase the model’s accuracy at the cost of computational complexity.
Further work on the model will include validation of the model in lateral and longitudinal axes, which will require more experimental data for inputs (e.g., lateral and tangential stiffnesses of the tyres). The validation speed of 6 km/h was chosen based on a few initial track rides, as the excitation accurately represents a medium-sized and severe bump. For higher validation speeds, only the small bump can be utilised since crossing the big bump at higher speeds is not safe.
To perform simulation studies on the ISO 5008 smooth track, the model must be validated at 12 km/h, the forward speed recommended in this ISO standard. Performing validation at different forward speeds is planned in the future, taking advantage of tractor forward speed measurements during the test track rides. In evaluating driving comfort, an effort will be taken to implement different comfort level criteria.
Author Contributions
Conceptualisation, J.R.; methodology, J.R., A.P. and K.Ř.; software, J.R. and R.J.; validation, V.O., R.J. and A.P.; formal analysis, R.J., J.R. and A.P.; investigation, R.J., J.R. and A.P., V.O.; resources, R.J., J.R. and A.P.; data curation, J.R. and A.P.; writing—original draft preparation, J.R., R.J. and A.P.; writing—review and editing, V.O., K.Ř. and P.Ž.; visualisation, J.R., R.J., A.P., K.Ř. and P.Ž.; supervision, A.P.; project administration, K.Ř.; funding acquisition, K.Ř., A.P. and P.Ž. All authors have read and agreed to the published version of the manuscript.
Funding
The research leading to these results has received funding from the following projects: Specific research on BUT FSI-S-23-8235 and TN02000054 Božek Vehicle Engineering National Center of Competence granted by the Technology Agency of the Czech Republic. The authors gratefully acknowledge this support.
Institutional Review Board Statement
Not applicable.
Informed Consent Statement
Not applicable.
Data Availability Statement
The data and figures used to support the findings of this study are included in the article.
Conflicts of Interest
The authors declare no conflicts of interest.
References
- Fojtášek, J. Lane Change Maneuver of Virtual Heavy Vehicle Equipped with Yaw Moment Control. Perner’s Contacts 2016, 11, 23–31. [Google Scholar]
- Porteš, P.; Kučera, P.; Píštěk, V.; Fojtášek, J.; Zháňal, L. Modern Tools for Vehicle Development. In Proceedings of the 23rd International Conference Engineering Mechanics, Svratka, Czech Republic, 15–18 May 2017; pp. 54–57. [Google Scholar]
- Rahnejat, H.; Johns-Rahnejat, P.M.; Dolatabadi, N.; Rahmani, R. Multi-Body Dynamics in Vehicle Engineering. Proc. Inst. Mech. Eng. Part K J. Multi-Body Dyn. 2023, 238, 3–25. [Google Scholar] [CrossRef]
- Prokop, A.; Řehák, K. Virtual Prototype Application to Heavy-Duty Vehicle Gearbox Concept. In Proceedings of the 23rd International Conference Engineering Mechanics, Svratka, Czech Republic, 15–18 May 2017; pp. 810–813. [Google Scholar]
- Ren, W.; Peng, B.; Shen, J.; Li, Y.; Yu, Y. Study on Vibration Characteristics and Human Riding Comfort of a Special Equipment Cab. J. Sens. 2018, 2018, 7140610. [Google Scholar] [CrossRef]
- Zehsaz, M.; Sadeghi, M.H.; Ettefagh, M.M.; Shams, F. Tractor Cabin’s Passive Suspension Parameters Optimization via Experimental and Numerical Methods. J. Terramech. 2011, 48, 439–450. [Google Scholar] [CrossRef]
- Molaei, F.; Mali, P.R.; Ghatrehsamani, S. Tractor Operators Exposure to Whole Body Vibration: An Overview. In Proceedings of the American Society of Agricultural and Biological Engineers (ASABE), Anaheim, CA, USA, 18 July 2024. [Google Scholar]
- Ahn, D.V.; Kim, K.; Oh, J.; Seo, J.; Lee, J.W.; Park, Y.J. Optimal Control of Semi-Active Suspension for Agricultural Tractors Using Linear Quadratic Gaussian Control. Sensors 2023, 23, 6474. [Google Scholar] [CrossRef]
- Han, G.; Kim, K.D.; Ahn, D.V.; Park, Y.J. Comparative Analysis of Tractor Ride Vibration According to Suspension System Configuration. J. Biosyst. Eng. 2023, 48, 69–78. [Google Scholar] [CrossRef]
- Deprez, K.; Moshou, D.; Anthonis, J.; De Baerdemaeker, J.; Ramon, H. Improvement of Vibrational Comfort on Agricultural Vehicles by Passive and Semi-Active Cabin Suspensions. Comput. Electron. Agric. 2005, 49, 31–440. [Google Scholar] [CrossRef]
- Liu, C.; Gu, J.; Du, X.; Yang, L.; Du, Y.; Mao, E. A Vibration Reduction Control Method for Tractor Rear Hydraulic Hitch Based on Pressure Feedback. Agriculture 2023, 13, 1546. [Google Scholar] [CrossRef]
- Pochi, D.; Fornaciari, L.; Vassalini, G.; Grilli, R.; Fanigliulo, R. Levels of Whole-Body Vibrations Transmitted to the Driver of a Tractor Equipped with Self-Levelling Cab during Soil Primary Tillage. AgriEngineering 2022, 4, 695–706. [Google Scholar] [CrossRef]
- Lehtonen, T.J. Validation of an Agricultural Tractor MBS Model. Int. J. Heavy Veh. Syst. 2005, 12, 16–27. [Google Scholar] [CrossRef]
- Singh, A.; Nawayseh, N.; Samuel, S.; Dhabi, Y.K.; Singh, H. Real-time Vibration Monitoring and Analysis of Agricultural Tractor Drivers Using an IoT-based System. J. Field Robot. 2023, 40, 1723–1738. [Google Scholar] [CrossRef]
- Singh, A.; Nawayseh, N.; Dhabi, Y.K.; Samuel, S.; Singh, H. Digital Agriculture: Analysis of Vibration Transmission from Seat to Back of Tractor Drivers under Multi-Directional Vibration Conditions. Int. J. Ind. Eng. Theory Appl. Pract. 2023, 30, 463–473. [Google Scholar] [CrossRef]
- Lines, J.A. Ride Vibration of Agricultural Tractors: Transfer Functions between the Ground and the Tractor Body. J. Agric. Eng. Res. 1987, 37, 81–91. [Google Scholar] [CrossRef]
- Zheng, E.; Zhong, X.; Zhu, R.; Xue, J.; Cui, S.; Gao, H.; Lin, X. Investigation into the Vibration Characteristics of Agricultural Wheeled Tractor-Implement System with Hydro-Pneumatic Suspension on the Front Axle. Biosyst. Eng. 2019, 186, 14–33. [Google Scholar] [CrossRef]
- Lee, W.C.; Kim, C.S.; Choi, H.O.; Jung, Y.G.; Song, J.I. Vibration Characteristic Prediction of a Heavy Machinery Suspension Seat Using Multi-Body Dynamic Analysis Method. In Advanced Materials Research; Trans Tech Publications: Wollerau, Switzerland, 2008. [Google Scholar]
- Sun, L.; Shang, T.; Chen, H.; Wang, Z.; Wang, C.; Luo, F. Development of a Model for the Optimization of the Main Factors Influencing a 162 kW Wheeled Tractor Driver’s Whole Body Vibration. J. Low Freq. Noise Vib. Act. Control. 2024, 43, 156–169. [Google Scholar] [CrossRef]
- Vessonen, I.; Järviluoma, M. Simulation Based Design of Mobile Machine Vibration Control and Active Cabin Suspension Prototype. In Modelling and Simulation of Multitechnological Machine Systems; VTT Technical Research Centre of Finland: Espoo, Finland, 2001; pp. 121–138. [Google Scholar]
- Blundell, M.; Harty, D. The Multibody Systems Approach to Vehicle Dynamics. In The Multibody Systems Approach to Vehicle Dynamics; Elsevier: Amsterdam, The Netherlands, 2004; pp. 1–518. [Google Scholar] [CrossRef]
- Gao, W.; Zhang, N.; Dai, J. A Stochastic Quarter-Car Model for Dynamic Analysis of Vehicles with Uncertain Parameters. Veh. Syst. Dyn. 2008, 46, 1159–1169. [Google Scholar] [CrossRef]
- Haiba, M.; Barton, D.C.; Brooks, P.C.; Levesley, M.C. Using a Quarter-Vehicle Multi-Body Model to Estimate the Service Loads of a Suspension Arm for Durability Calculations. Proc. Inst. Mech. Eng. Part K J. Multi-Body Dyn. 2003, 217, 121–133. [Google Scholar] [CrossRef]
- Alvarez-Sánchez, E. A Quarter-Car Suspension System: Car Body Mass Estimator and Sliding Mode Control. Procedia Technol. 2013, 7, 208–214. [Google Scholar] [CrossRef]
- Hemanth, K.; Kumar, H.; Gangadharan, K.V. Vertical Dynamic Analysis of a Quarter Car Suspension System with MR Damper. J. Braz. Soc. Mech. Sci. Eng. 2017, 39, 41–51. [Google Scholar] [CrossRef]
- Evers, W.J.E. Improving Driver Comfort in Commercial Vehicles: Modeling and Control of a Low-Power Active Cabin Suspension System. Ph.D. Thesis, Technische Universiteit Eindhoven, Eindhoven, The Netherlands, 2010. [Google Scholar]
- Zhang, S.; Wei, W.; Chen, X.; Xu, L.; Cao, Y. Vibration Performance Analysis and Multi-Objective Optimization Design of a Tractor Scissor Seat Suspension System. Agriculture 2023, 13, 48. [Google Scholar] [CrossRef]
- Zhao, L.; Zhou, C.; Yu, Y. Damping Parameters Identification of Cabin Suspension System for Heavy Duty Truck Based on Curve Fitting. Shock. Vib. 2016, 2016, 3051357. [Google Scholar] [CrossRef]
- Hu, Y.; Nguyen, V.; Ye, Y. Vibration Research of Heavy Trucks. Part 1: Sensitivity Analysis of Dynamic Parameters on Ride Comfort. J. Mech. Eng. Autom. Control Syst. 2020, 1, 114–123. [Google Scholar] [CrossRef]
- Zheng, E.; Fan, Y.; Zhu, R.; Zhu, Y.; Xian, J. Prediction of the Vibration Characteristics for Wheeled Tractor with Suspended Driver Seat Including Air Spring and MR Damper. J. Mech. Sci. Technol. 2016, 30, 4143–4156. [Google Scholar] [CrossRef]
- Yazici, H.; Sever, M. Output Derivative Feedback Vibration Control of an Integrated Vehicle Suspension System. Proc. Inst. Mech. Engineers. Part I J. Syst. Control. Eng. 2020, 234, 409–419. [Google Scholar] [CrossRef]
- Alfadhli, A.; Darling, J.; Hillis, A. The Control of an Active Seat Suspension Using an Optimised Fuzzy Logic Controller, Based on Preview Information from a Full Vehicle Model. Vibration 2018, 1, 20–40. [Google Scholar] [CrossRef]
- Alfadhli, A.; Darling, J.; Hillis, A.J. An Active Seat Controller with Vehicle Suspension Feedforward and Feedback States: An Experimental Study. Appl. Sci. 2018, 8, 603. [Google Scholar] [CrossRef]
- Gündoǧdu, Ö. Optimal Seat and Suspension Design for a Quarter Car with Driver Model Using Genetic Algorithms. Int. J. Ind. Ergon. 2007, 37, 327–332. [Google Scholar] [CrossRef]
- Yazici, H. Design of a Parameter-Dependent Optimal Vibration Control of a Non-Linear Vehicle Suspension System. Math. Comput. Appl. 2016, 21, 13. [Google Scholar] [CrossRef]
- Zhang, W.; Ma, Z.; Jin, A.; Yang, J.; Zhang, Y. An Improved Human Biodynamic Model Considering the Interaction between Feet and Ground. SAE Int. J. Commer. Veh. 2015, 8, 13–19. [Google Scholar] [CrossRef]
- Peng, Y.; Zhou, J.; Fan, C.; Wu, Z.; Zhou, W.; Sun, D.; Lin, Y.; Xu, D.; Xu, Q. A Review of Passenger Ride Comfort in Railway: Assessment and Improvement Method. Transp. Saf. Environ. 2022, 4, tdac016. [Google Scholar] [CrossRef]
- McConville, J.B. Introduction to Mechanical System Simulation Using Adams; SDC Publications: Mission, KS, USA, 2015; ISBN 978-1-58503-988-3. [Google Scholar]
- NASA-STD-3000; NASA Man-Systems Integration Standards: Anthropometry and Biomechanics. NASA-Johnson Space Center: Houston, TX, USA, 1995.
- Kuiper, E.; Van Oosten, J.J.M. The PAC2002 Advanced Handling Tire Model. Veh. Syst. Dyn. 2007, 45, 153–167. [Google Scholar] [CrossRef]
- Stallmann, M.J.; Els, P.S.; Bekker, C.M. Parameterization and Modelling of Large Off-Road Tyres for Ride Analyses: Part 1—Obtaining Parameterization Data. J. Terramech. 2014, 55, 73–84. [Google Scholar] [CrossRef][Green Version]
- Gipser, M. FTire, a New Fast Tire Model for Ride Comfort Simulations. Veh. Syst. Dyn. 2004, 45, 139–151. [Google Scholar] [CrossRef]
- Bosch, H.-R.B.; Hamersma, H.A.; Els, P.S. Parameterisation, Validation and Implementation of an All-Terrain SUV FTire Tyre Model. J. Terramech. 2016, 67, 11–23. [Google Scholar] [CrossRef]
- Lines, J.A.; Murphy, K. The radial damping of agricultural tractor tyres. J. Terramech. 1991, 28, 229–241. [Google Scholar] [CrossRef]
- Deboli, R.; Calvo, A.; Preti, C. Comparison between ISO 5008 and Field Whole Body Vibration Tractor Values. J. Agric. Eng. 2012, 43, 49–54. [Google Scholar] [CrossRef]
Disclaimer/Publisher’s Note: The statements, opinions and data contained in all publications are solely those of the individual author(s) and contributor(s) and not of MDPI and/or the editor(s). MDPI and/or the editor(s) disclaim responsibility for any injury to people or property resulting from any ideas, methods, instructions or products referred to in the content. |
© 2024 by the authors. Licensee MDPI, Basel, Switzerland. This article is an open access article distributed under the terms and conditions of the Creative Commons Attribution (CC BY) license (https://creativecommons.org/licenses/by/4.0/).