Numerical Simulation Analysis of Dock Bank Slopes’ Soil–Water Interface Recognition and Monitoring Device Models Based on Heat Transfer Principles
Abstract
1. Introduction
2. Monitoring Equipment Design Concept
3. Non-Steady-State Heat Transfer Theory of Linear Heat Sources in Water–Soil Media
4. Establishment and Validation of Numerical Simulation Model for a Linear Heat Source
4.1. Establishment of Numerical Simulation Model
4.2. Analysis and Validation of Numerical Simulation Model
5. Numerical Simulation of Monitoring Equipment in Cohesive Soil
5.1. Finite Element Numerical Simulation Model
5.2. Analysis of Computational Results
6. Numerical Simulation of Monitoring Equipment in Non-Cohesive Soil
6.1. Finite Element Numerical Calculation Model
6.2. Analysis of Computational Results
7. Conclusions
- The comparison between the numerical simulation results and indoor experimental results shows that the overall law is consistent, and the error of the two is less than 11.4%, which is lower than the deviation between the theoretical calculation results and the physical experiment. In the transition section of the interface of water and soil, heat can not only be conducted horizontally from the heat source to the water body and soil body but also within the heat source, the soil body, the water body, and the water–soil interface.
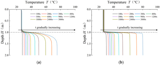
- The temperature increase patterns of iron-based linear heat sources and PVC-based linear heat sources were calculated in eight types of cohesive soils and six types of non-cohesive soils. It was observed that there were significant differences in temperature distribution between the iron-based and PVC-based linear heat sources in both seawater and cohesive soils. Specifically, a notable temperature gradient was present at the interface between water and soil, and this gradient became increasingly pronounced with time. This phenomenon could be attributed to the fact that, when the linear heat source was situated within the soil medium, the low thermal diffusivity of the soil resulted in a slower rate of temperature increase on the surface of the linear heat source. Conversely, when the linear heat source was submerged in the water medium, the efficient thermal diffusion properties of water led to a rapid increase in surface temperature. Consequently, by monitoring the changes in the surface temperature of the heat source, the temperature trends in different media could be analyzed, allowing for the identification of the water–soil interface within cohesive soils.
- An analysis was conducted on the temperature distribution patterns and their propagation range in eight types of cohesive soils and six types of non-cohesive soils for both types of linear heat sources. It was observed that the temperature distribution in the soil surrounding the linear heat source increased gradually with time for both types. However, there was a notable difference in the impact range of the iron-based linear heat source compared to the PVC-based linear heat source for the same duration. Specifically, the temperature rise in the soil near the iron-based linear heat source was faster than that near the PVC-based linear heat source within the same time frame. This suggests that both iron-based and PVC-based linear heat sources exhibit good thermal conductivity with cohesive and non-cohesive soils, but the difference in the temperature field’s impact range between the two material types was relatively small. This conclusion provides data support for the interference-free distance in subsequent experiments and field deployments of erosion and sedimentation monitoring equipment on bank slopes.
Author Contributions
Funding
Institutional Review Board Statement
Informed Consent Statement
Data Availability Statement
Conflicts of Interest
References
- Ni, Y.L.; Gong, M.; Shen, L.D.; Gao, H.X.; Wang, J.B. Coastal evolution and erosion-deposition analysis of underwater slope in Beilun Port. China Harb. Eng. 2017, 37, 27–32. [Google Scholar]
- Reungoat, D.; Lubin, P.; Leng, X.; Chanson, H. Tidal bore hydrodynamics and sediment processes: 2010–2016 field observations in France. Coast. Eng. J. 2018, 60, 484–498. [Google Scholar] [CrossRef]
- Xu, M.; Chen, L.; Wu, Q.H.; Li, D.F. Morph- and hydro-dynamic effects toward flood conveyance and navigation of diversion channel. Int. J. Sediment Res. 2016, 31, 264–270. [Google Scholar] [CrossRef]
- Ontowirjo, B.; Paris, R.; Mano, A. Modeling of coastal erosion and sediment deposition during the 2004 Indian Ocean tsunami in Lhok Nga, Sumatra, Indonesia. Nat. Hazards 2013, 65, 1967–1979. [Google Scholar] [CrossRef]
- Liu, X.; García, H.M. Three-Dimensional Numerical Model with Free Water Surface and Mesh Deformation for Local Sediment Scour. J. Waterw. Port Coast. Ocean Eng. 2008, 134, 203–217. [Google Scholar] [CrossRef]
- Järvelill, J. Development of the Narva-Jõesuu beach, mineral composition of beach deposits and destruction of the pier, southeastern coast of the Gulf of Finland. Open Geosci. 2019, 11, 961–968. [Google Scholar] [CrossRef]
- Antonio, G.; Sina, S.; Andrea, P.; Jacob, H.J.; Silvia, T.; Marco, V.; Caterina, V. Effects of marine traffic on sediment erosion and accumulation in ports: A new model-based methodology. Ocean Sci. 2021, 17, 411–430. [Google Scholar]
- Yuan, H.P.; Liu, Y. Deformation and sliding of dock slope due to bed evolution and countermeasure. Port Waterw. Eng. 2013, 482, 101–104. [Google Scholar]
- An, X.Y.; Wang, F.; Zuo, D.J. Study on the influence of bank slope soil deformation on wharf structure. IOP Conf. Ser. Earth Environ. Sci. 2021, 643, 012056. [Google Scholar] [CrossRef]
- Raei, B.; Shahraki, F.; Jamialahmadi, M. Experimental study on the heat transfer and flow properties of γ-Al2O3/water nanofluid in a double-tube heat exchanger. J. Therm. Anal. Calorim. 2017, 127, 2561–2575. [Google Scholar] [CrossRef]
- Goto, S.; Yamano, M.; Morita, S.; Kanamatsu, T.; Matsumoto, R. Physical and thermal properties of mud-dominant sediment from the joetsu basin in the eastern margin of the japan sea. Mar. Geophys. Res. 2017, 38, 393–407. [Google Scholar] [CrossRef]
- Yin, J.L.; Zhang, H.Q.; Liu, M.M.; Li, Y.C. Research on Seabed Erosion Monitoring Technology of Offshore Structures Based on the Principle of Heat Transfer. Appl. Sci. 2024, 14, 4686. [Google Scholar] [CrossRef]
- Fu, L.; Huang, L.F. Numerical Simulation of Single-Span T-Shaped Bridge Under Explosion Load. Strength Mater. 2024, 56, 431–443. [Google Scholar] [CrossRef]
- Kandlikar, S.G.; Grande, W.J. Evolution of Microchannel Flow Passages—Thermohydraulic Performance and Fabrication Technology. Heat Transf. Eng. 2003, 24, 3–17. [Google Scholar] [CrossRef]
- Kolenda, Z.S.; Szmyd, J.S.; Huber, J. Entropy generation minimization in steady-state and transient diffusional heat conduction processes Part I—Steady-state boundary value problem. Bull. Pol. Acad. Sci.-Tech. Sci. 2015, 62, 875–882. [Google Scholar] [CrossRef]
- Trcala, M.; Cermák, J.; Nadezhdina, N. Water content measurement in tree wood using a continuous linear heating technique. Int. J. Therm. Sci. 2015, 88, 164–169. [Google Scholar] [CrossRef]
- Trcala, M.; Cermák, J. A new heat balance equation for sap flow calculation during continuous linear heating in tree sapwood. Appl. Therm. Eng. 2016, 102, 532–538. [Google Scholar] [CrossRef]
- Rodriguez-Sinobas, L.; Zubelzu, S.; Sobrino, F.F.; Sánchez, R. Calibration of soil moisture flow simulation models aided by the active heated fiber optic distributed temperature sensing AHFO. In Proceedings of the Egu General Assembly Conference, Vienna, Austria, 23–28 April 2017. EGU General Assembly Conference Abstracts, 2017. [Google Scholar]
- Hu, H.F.; Zheng, J.H.; Hu, W.T.; Wang, F.F.; Wang, G.; Zhao, J.W.; Wang, L.G. Excavating important nodes in complex networks based on the heat conduction model. Sci. Rep. 2024, 14, 7740. [Google Scholar] [CrossRef]
- Tenchev, R.T.; Falzon, B.G. A pseudo-transient solution strategy for the analysis of delamination by means of interface elements. Finite Elem. Anal. Des. 2005, 42, 698–708. [Google Scholar] [CrossRef]
- Ohnaka, I.; Fukusako, T. Finite-element method and a Matrix Method in transient heat-conduction problems. In Proceedings of the 6th International Heat Transfer Conference, Toronto, ON, Canada, 7–11 August 1978; Volume 3. [Google Scholar]
- Olovsson, L.; Simonsson, K.; Unosson, M. Shear locking reduction in eight-noded tri-linear solid finite elements. Comput. Struct. 2006, 84, 476–484. [Google Scholar] [CrossRef]
- Li, H.; Liu, Z.; Liang, C. Mathematical model for coupled moisture, heat and stress field and numerical simulation of frozen soil. Acta Mech. Sin. 2001, 33, 621–628. [Google Scholar]
- Sepehri, A.; Harbert, S.; Holberry, D. A Study on the Influence of Sea Water Convective Heat Transfer Coefficient in Design Verification of Subsea HPHT Equipment. In Proceedings of the ASME 2017 Pressure Vessels and Piping Conference 2017, Waikoloa, HI, USA, 16–20 July 2017. [Google Scholar]
- Shao, Q.; Arigovindan, M. Prediction of Thermal Conductivity Based on Physical Properties of Soil and Rock. In Proceedings of the Geothermal Resources Council Annual Meeting & Expo, Online, 19–23 October 2020. [Google Scholar]
- Doughty, C.; Pruess, K. A similarity solution for two-phase water, air, and heat flow near a linear heat source in a porous medium. J. Geophys. Res. Solid Earth 1991, 97, 1821–1838. [Google Scholar] [CrossRef]
- Zhao, X.; Li, W.; Zhou, L.; Song, G.; Ou, S.C. Application of support vector machine for pattern classification of active thermometry-based pipeline scour monitoring. Chin. J. Nurs. 2015, 22, 903–918. [Google Scholar] [CrossRef]
- Chang, S.P.; Zhang, S.M. Engineering Geology Handbook; China Architecture & Building Press: Beijing, China, 2007. [Google Scholar]
- Jin, Z.C.; Wang, X.Q.; Wu, X.M.; Peng, Y. Testing and analysis of soil thermal parameters and their influencing factors. Rock Soil Mech. 2022, 43, 1335–1340. [Google Scholar]
- Zhu, C.Y.; He, Z.Y.; Du, M.; Gong, L.; Wang, X.Y. Predicting the effective thermal conductivity of unfrozen soils with various water contents based on artificial neural network. Nanotechnology 2021, 33, 065408. [Google Scholar] [CrossRef]
- Sohn, B.H. Effect of Soil Thermal Conductivity and Moisture Content on Design Length of Horizontal Ground Heat Exchanger. Trans. Korea Soc. Geotherm. Energy Eng. 2012, 8, 21–31. [Google Scholar]























| Medium | Time t (s) | Testing Results δt (°C) | Theoretical Analysis | Numerical Results | ||
|---|---|---|---|---|---|---|
| Results (°C) | Error (%) | Results (°C) | Error (%) | |||
| Water | 600 | 34.5 | 40.0 | 13.8 | 33.4 | 3.2 |
| 1200 | 36.0 | 40.0 | 9.9 | 33.8 | 6.1 | |
| 1800 | 38.3 | 40.0 | 4.3 | 34.1 | 11.0 | |
| 2400 | 38.6 | 40.0 | 3.6 | 34.2 | 11.4 | |
| Soil | 600 | 36.3 | 44.6 | 18.6 | 37.6 | 3.6 |
| 1200 | 44.0 | 52.4 | 16.0 | 46.6 | 5.9 | |
| 1800 | 49.8 | 58.1 | 14.3 | 53.5 | 7.4 | |
| 2400 | 53.9 | 65.2 | 17.3 | 58.7 | 8.9 | |
| Monitoring Equipment Material | Initial Temperature T0 | r | ρ | c |
|---|---|---|---|---|
| (°C) | (m) | (kg/m3) | [J/(kg·°C)] | |
| Iron | 25 | 0.05 | 7850 | 460 |
| PVC | 25 | 0.05 | 1380 | 1200 |
| Serial Number | Moisture Content | ρ | C | Thermal Conductivity |
|---|---|---|---|---|
| (%) | (kg/m3) | [J/(kg·°C)] | [J/(m·°C·s)] | |
| T-1 | 5 | 2000 | 820 | 0.25 |
| T-2 | 15 (lower limit) | 1950 | 1050 | 1.08 |
| T-3 | 15 (upper limit) | 1900 | 1350 | 1.25 |
| T-4 | 25 (lower limit) | 1850 | 1250 | 1.15 |
| T-5 | 25 (upper limit) | 1850 | 1650 | 1.85 |
| T-6 | 35 (lower limit) | 1800 | 1550 | 1.25 |
| T-7 | 35 (upper limit) | 1750 | 1850 | 1.95 |
| T-8 | 45 | 1700 | 2350 | 2.05 |
| Serial Number | Category | Category Moisture Content (%) | ρ (kg/m3) | C [J/(kg·°C)] | Thermal Conductivity [J/(m·°C·s)] |
|---|---|---|---|---|---|
| T-1 | Powder, Fine sand | 5 | 1700 | 1050 | 0.65 |
| T-2 | 15 | 1800 | 1250 | 1 | |
| T-3 | 25 | 1950 | 1450 | 1.55 | |
| T-4 | Medium, Coarse sand | 5 | 1980 | 950 | 0.75 |
| T-5 | 15 | 2000 | 1200 | 1.15 | |
| T-6 | 25 | 2100 | 1400 | 1.8 |
Disclaimer/Publisher’s Note: The statements, opinions and data contained in all publications are solely those of the individual author(s) and contributor(s) and not of MDPI and/or the editor(s). MDPI and/or the editor(s) disclaim responsibility for any injury to people or property resulting from any ideas, methods, instructions or products referred to in the content. |
© 2024 by the authors. Licensee MDPI, Basel, Switzerland. This article is an open access article distributed under the terms and conditions of the Creative Commons Attribution (CC BY) license (https://creativecommons.org/licenses/by/4.0/).
Share and Cite
Yin, J.; Zhang, H.; Liu, M.; Yang, X.; Zhu, P.; Wang, Y. Numerical Simulation Analysis of Dock Bank Slopes’ Soil–Water Interface Recognition and Monitoring Device Models Based on Heat Transfer Principles. Appl. Sci. 2024, 14, 8444. https://doi.org/10.3390/app14188444
Yin J, Zhang H, Liu M, Yang X, Zhu P, Wang Y. Numerical Simulation Analysis of Dock Bank Slopes’ Soil–Water Interface Recognition and Monitoring Device Models Based on Heat Transfer Principles. Applied Sciences. 2024; 14(18):8444. https://doi.org/10.3390/app14188444
Chicago/Turabian StyleYin, Jilong, Huaqing Zhang, Mengmeng Liu, Xiaotao Yang, Pengrui Zhu, and Yamin Wang. 2024. "Numerical Simulation Analysis of Dock Bank Slopes’ Soil–Water Interface Recognition and Monitoring Device Models Based on Heat Transfer Principles" Applied Sciences 14, no. 18: 8444. https://doi.org/10.3390/app14188444
APA StyleYin, J., Zhang, H., Liu, M., Yang, X., Zhu, P., & Wang, Y. (2024). Numerical Simulation Analysis of Dock Bank Slopes’ Soil–Water Interface Recognition and Monitoring Device Models Based on Heat Transfer Principles. Applied Sciences, 14(18), 8444. https://doi.org/10.3390/app14188444

