Trajectory Planning of Robotic Arm Based on Particle Swarm Optimization Algorithm
Abstract
1. Introduction
- A new Robot Trajectory Planning Particle Swarm Optimization (RTPPSO) algorithm is proposed in this paper;
- The PSO algorithm is applied to the trajectory planning and parameter optimization for each robot manipulator joint.
2. Trajectory Planning
2.1. Overview of Trajectory Planning
2.2. Pose Planning
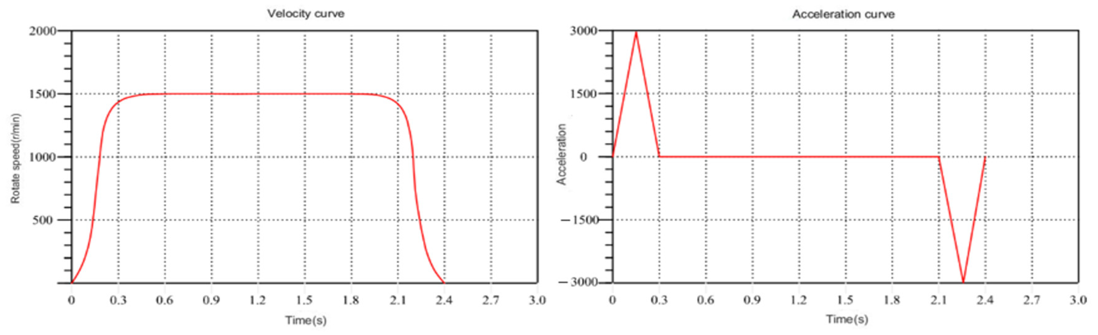
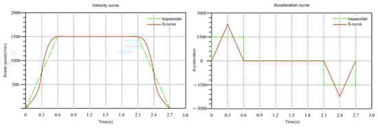
2.3. Velocity Planning
3. Improved Particle Swarm Optimization Algorithm
3.1. Particle Swarm Optimization
3.2. Algorithm to Improve
3.3. Model Implementation
4. Experimental Simulation
4.1. Experiment
4.2. Discussion
5. Conclusions
Author Contributions
Funding
Institutional Review Board Statement
Informed Consent Statement
Data Availability Statement
Conflicts of Interest
References
- Zhao, J.; Zhu, X.; Song, T. Serial Manipulator Time-Jerk Optimal Trajectory Planning Based on Hybrid IWOA-PSO Algorithm. IEEE Access 2022, 10, 6592–6604. [Google Scholar] [CrossRef]
- Batista, J.; Souza, D.; Silva, J.; Ramos, K.; Costa, J.; dos Reis, L.; Braga, A. Trajectory Planning Using Artificial Potential Fields with Metaheuristics. IEEE Lat. Am. Trans. 2020, 18, 914–922. [Google Scholar] [CrossRef]
- Rubio, F.; Valero, F.; Sunyer, J.L.; Garrido, A. The simultaneous algorithm and the best interpolation function for trajectory planning. Ind. Robot. Int. J. Robot. Res. Appl. 2010, 37, 441–451. [Google Scholar] [CrossRef]
- Sun, J.; Han, X.; Zuo, Y.; Tian, S.; Song, J.; Li, S. Trajectory Planning in Joint Space for a Pointing Mechanism Based on a Novel Hybrid Interpolation Algorithm and NSGA-II Algorithm. IEEE Access 2020, 8, 228628–228638. [Google Scholar] [CrossRef]
- Chen, W.-C.; Chen, C.-S.; Lee, F.-C.; Chen, L.Y. High speed blending motion trajectory planning using a predefined absolute accuracy. Int. J. Adv. Manuf. Technol. 2019, 104, 2179–2193. [Google Scholar] [CrossRef]
- Shi, C.; Ye, P. The look-ahead function-based interpolation algorithm for continuous micro-line trajectories. Int. J. Adv. Manuf. Technol. 2011, 54, 649–668. [Google Scholar] [CrossRef]
- Luo, L.-P.; Yuan, C.; Yan, R.-J.; Yuan, Q.; Wu, J.; Shin, K.-S.; Han, C.-S. Trajectory planning for energy minimization of industry robotic manipulators using the Lagrange interpolation method. Int. J. Precis. Eng. Manuf. 2015, 16, 911–917. [Google Scholar] [CrossRef]
- Nadir, B.; Mohammed, O.; Minh-Tuan, N.; Abderrezak, S. Optimal trajectory generation method to find a smooth robot joint trajectory based on multiquadric radial basis functions. Int. J. Adv. Manuf. Technol. 2022, 120, 297–312. [Google Scholar] [CrossRef]
- Abu-Dakka, F.J.; Assad, I.F.; Alkhdour, R.M.; Abderahim, M. Statistical evaluation of an evolutionary algorithm for minimum time trajectory planning problem for industrial robots. Int. J. Adv. Manuf. Technol. 2017, 89, 389–406. [Google Scholar] [CrossRef]
- Liu, Y.; Guo, C.; Weng, Y. Online Time-Optimal Trajectory Planning for Robotic Manipulators Using Adaptive Elite Genetic Algorithm with Singularity Avoidance. IEEE Access 2019, 7, 146301–146308. [Google Scholar] [CrossRef]
- Wang, M.; Luo, J.; Zheng, L.; Yuan, J.; Walter, U. Generate optimal grasping trajectories to the end-effector using an improved genetic algorithm. Adv. Space Res. 2020, 66, 1803–1817. [Google Scholar] [CrossRef]
- Chen, D.; Li, S.; Wang, J.; Feng, Y.; Liu, Y. A multi-objective trajectory planning method based on the improved immune clonal selection algorithm. Robot. Comput. Manuf. 2019, 59, 431–442. [Google Scholar] [CrossRef]
- Jin, M.; Wu, D. Collision-Free and Energy-Saving Trajectory Planning for Large-Scale Redundant Manipulator Using Improved PSO. Math. Probl. Eng. 2013, 2013, 208628. [Google Scholar] [CrossRef]
- Cao, B.; Sun, K.; Li, T.; Gu, Y.; Jin, M.; Liu, H. Trajectory Modified in Joint Space for Vibration Suppression of Manipulator. IEEE Access 2018, 6, 57969–57980. [Google Scholar] [CrossRef]
- Liu, C.; Cao, G.-H.; Qu, Y.-Y.; Cheng, Y.-M. An improved PSO algorithm for time-optimal trajectory planning of Delta robot in intelligent packaging. Int. J. Adv. Manuf. Technol. 2020, 107, 1091–1099. [Google Scholar] [CrossRef]
- Lv, X.; Yu, Z.; Liu, M.; Zhang, G.; Zhang, L. Direct Trajectory Planning Method Based on IEPSO and Fuzzy Rewards and Punishment Theory for Multi-Degree-of Freedom Manipulators. IEEE Access 2019, 7, 20452–20461. [Google Scholar] [CrossRef]
- Li, Y.; Ge, S.S.; Wei, Q.; Gan, T.; Tao, X. An Online Trajectory Planning Method of a Flexible-Link Manipulator Aiming at Vibration Suppression. IEEE Access 2020, 8, 130616–130632. [Google Scholar] [CrossRef]
- DU, Y.; Chen, Y. Time Optimal Trajectory Planning Algorithm for Robotic Manipulator Based on Locally Chaotic Particle Swarm Optimization. Chin. J. Electron. 2022, 31, 906–914. [Google Scholar] [CrossRef]
- Yang, Y.; Xu, H.-Z.; Li, S.-H.; Zhang, L.-L.; Yao, X.-M. Time-optimal trajectory optimization of serial robotic manipulator with kinematic and dynamic limits based on improved particle swarm optimization. Int. J. Adv. Manuf. Technol. 2022, 120, 1253–1264. [Google Scholar] [CrossRef]
- Wang, L.; Wu, Q.; Lin, F.; Li, S.; Chen, D. A New Trajectory-Planning Beetle Swarm Optimization Algorithm for Trajectory Planning of Robot Manipulators. IEEE Access 2019, 7, 154331–154345. [Google Scholar] [CrossRef]
- Zhang, W.; Fu, S. Time-optimal Trajectory Planning of Dulcimer Music Robot Based on PSO Algorithm. In Proceedings of the 32nd Chinese Control and Decision Conference (CCDC), Hefei, China, 22–24 August 2020; pp. 4769–4774. [Google Scholar]









| Algorithm | Average Impact before Optimization (deg/s3) | Average Impact after Optimization (deg/s3) |
|---|---|---|
| GA | 2.23 × 106 | 4.89 × 105 |
| PSO | 2.23 × 106 | 4.83 × 105 |
| RTPPSO | 2.23 × 106 | 4.58 × 105 |
| Algorithm | Time before Optimization (s) | Time after Optimization (s) |
|---|---|---|
| GA | 2.5 | 2.362 |
| PSO | 2.5 | 2.358 |
| RTPPSO | 2.5 | 2.278 |
Disclaimer/Publisher’s Note: The statements, opinions and data contained in all publications are solely those of the individual author(s) and contributor(s) and not of MDPI and/or the editor(s). MDPI and/or the editor(s) disclaim responsibility for any injury to people or property resulting from any ideas, methods, instructions or products referred to in the content. |
© 2024 by the authors. Licensee MDPI, Basel, Switzerland. This article is an open access article distributed under the terms and conditions of the Creative Commons Attribution (CC BY) license (https://creativecommons.org/licenses/by/4.0/).
Share and Cite
Wu, N.; Jia, D.; Li, Z.; He, Z. Trajectory Planning of Robotic Arm Based on Particle Swarm Optimization Algorithm. Appl. Sci. 2024, 14, 8234. https://doi.org/10.3390/app14188234
Wu N, Jia D, Li Z, He Z. Trajectory Planning of Robotic Arm Based on Particle Swarm Optimization Algorithm. Applied Sciences. 2024; 14(18):8234. https://doi.org/10.3390/app14188234
Chicago/Turabian StyleWu, Nengkai, Dongyao Jia, Ziqi Li, and Zihao He. 2024. "Trajectory Planning of Robotic Arm Based on Particle Swarm Optimization Algorithm" Applied Sciences 14, no. 18: 8234. https://doi.org/10.3390/app14188234
APA StyleWu, N., Jia, D., Li, Z., & He, Z. (2024). Trajectory Planning of Robotic Arm Based on Particle Swarm Optimization Algorithm. Applied Sciences, 14(18), 8234. https://doi.org/10.3390/app14188234

