Fault-Tolerant Integrated Guidance and Control Design for the Flight Vehicle without LOS Angular Rate Measurement
Abstract
1. Introduction
- (1)
- A linear ESO is established based on the measured body-LOS angle information, and the uniformly ultimately bounded stability of the estimation error of the LOS angular rate is guaranteed.
- (2)
- Based on the backstepping technique and the proposed ESO, the FTIGC scheme is developed to obtain control inputs without separated guidance and command systems design, and the computational explosion problem is avoided via dynamic surface design.
- (3)
- Adaptive control laws are designed to deal with the lumped uncertainties consisting of the gain–loss actuator fault, external disturbances, and aerodynamic perturbation, which significantly enhances the robustness of the flight control system.
2. Related Works
2.1. IGC
2.2. LOS Angular Rate Extraction
3. Preliminaries
3.1. Model Derivation
3.2. Relative Motion of the Flight Vehicle with a Moving Object
3.3. Strapdown Seeker Model
3.4. Fault-Tolerant Integrated Guidance and Control Problem Formulation
4. FTIGC Design-Based LOS Angular Rate and the Target Motion Estimation Information
4.1. LOS Angular Rate Reconfiguration and Target Acceleration Estimation
4.2. FTIGC Design
- Step 1, Virtual attitude command design
- Step 2, Virtual angular velocity command design
- Step 3, Fin deflection command
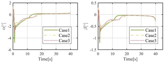
5. Simulation
- Case1. No actuator fault happens. In other words, .
- Case2. The actuator healthy factors are all constants, which are set as , and .
- Case3. The actuator healthy factors are not constants, which are set aswhere refers to the random function distributed on the open interval (−1, 1).
5.1. For a Fixed Object
5.2. For a Moving Object
5.3. Comparison
6. Conclusions
Author Contributions
Funding
Institutional Review Board Statement
Informed Consent Statement
Data Availability Statement
Conflicts of Interest
References
- Song, H.; Zhang, T.; Wang, X. Integrated Interceptor Guidance and Autopilot Design via Robust Dynamic Surface Control. In Proceedings of the 2018 IEEE CSAA Guidance, Navigation and Control Conference (CGNCC), Xiamen, China, 10–12 August 2018; pp. 1–6. [Google Scholar] [CrossRef]
- Williams, D.; Richman, J.; Friedland, B. Design of an Integrated Strapdown Guidance and Control System for a Tactical Missile. In Proceedings of the Guidance and Control Conference; American Institute of Aeronautics and Astronautics, Gatlinburg, TN, USA, 15–17 August 1983. [Google Scholar] [CrossRef]
- Sun, J.; Song, S.; Wu, G. Tracking Control of Hypersonic Vehicle Considering Input Constraint. J. Aerosp. Eng. 2017, 30, 04017073. [Google Scholar] [CrossRef]
- Pan, Z.; Wang, W.; Xiong, S.; Lu, K. Three Dimensional Integrated Guidance and Control for Slide to Turn Missile with Input Saturation. In Proceedings of the 2016 Chinese Control and Decision Conference (CCDC), Yinchuan, China, 28–30 May 2016; pp. 2554–2559. [Google Scholar]
- Chang, J.; Guo, Z.; Cieslak, J.; Chen, W. Integrated Guidance and Control Design for the Hypersonic Interceptor Based on Adaptive Incremental Backstepping Technique. Aerosp. Sci. Technol. 2019, 89, 318–332. [Google Scholar] [CrossRef]
- Cho, N.; Kim, Y. Optimality of Augmented Ideal Proportional Navigation for Maneuvering Target Interception. IEEE Trans. Aerosp. Electron. Syst. 2016, 52, 948–954. [Google Scholar] [CrossRef]
- Pei, W.; Ke, Z. Research on Line-of-Sight Rate Extraction of Strapdown Seeker. In Proceedings of the The 33th Chinese Control Conference, Nanjing, China, 28–30 July 2014; pp. 859–863. [Google Scholar]
- Zhang, D.; Song, J.; Zhu, Y.; Jiao, T.; Zhao, L. Integrated Elastic Identification and LOS Angular Rate Extraction for Slender Rockets: A Continuous-Discrete Maximum Correntropy Kalman Filter Approach. Aerosp. Sci. Technol. 2024, 150, 109174. [Google Scholar] [CrossRef]
- Vaddi, S.; Menon, P.; Ohlmeyer, E. Numerical SDRE Approach for Missile Integrated Guidance–Control. In Proceedings of the AIAA Guidance, Navigation and Control Conference and Exhibit, Hilton Head, SC, USA, 20–23 August 2007; American Institute of Aeronautics and Astronautics: Reston, VA, USA, 2007. [Google Scholar] [CrossRef][Green Version]
- Zhou, D.; Li, Q. Indirect Robust Control of Agile Missile via Theta-D Technique. Def. Technol. 2014, 10, 269–278. [Google Scholar] [CrossRef]
- Xin, M.; Balakrishnan, S.N.; Ohlmeyer, E.J. Integrated Guidance and Control of Missiles with θ-D Method. IEEE Trans. Contr. Syst. Technol. 2006, 14, 981–992. [Google Scholar] [CrossRef]
- Liang, X.; Hou, M.; Duan, G. Adaptive Dynamic Surface Control for Integrated Missile Guidance and Autopilot in the Presence of Input Saturation. J. Aerosp. Eng. 2015, 28, 04014121. [Google Scholar] [CrossRef]
- Wang, W.; Xiong, S.; Wang, S.; Song, S.; Lai, C. Three Dimensional Impact Angle Constrained Integrated Guidance and Control for Missiles with Input Saturation and Actuator Failure. Aerosp. Sci. Technol. 2016, 53, 169–187. [Google Scholar] [CrossRef]
- Lai, C.; Wang, W.; Liu, Z.; Liang, T.; Yan, S. Three-Dimensional Impact Angle Constrained Partial Integrated Guidance and Control With Finite-Time Convergence. IEEE Access 2018, 6, 53833–53853. [Google Scholar] [CrossRef]
- Yan, H.; Ji, H. Integrated Guidance and Control for Dual-Control Missiles Based on Small-Gain Theorem. Automatica 2012, 48, 2686–2692. [Google Scholar] [CrossRef]
- Gao, C.; Jiang, C.; Zhang, Y.; Jing, W. Three-Dimensional Integrated Guidance and Control for Near Space Interceptor Based on Robust Adaptive Backstepping Approach. Int. J. Aerosp. Eng. 2016, 2016, 1–11. [Google Scholar] [CrossRef]
- Zhou, L.; Liu, L.; Cheng, Z.; Wang, B.; Fan, H. Adaptive Dynamic Surface Control Using Neural Networks for Hypersonic Flight Vehicle with Input Nonlinearities. Optim. Control Appl. Methods 2020, 41, 1904–1927. [Google Scholar] [CrossRef]
- Jiang, Z.P.; Teel, A.R.; Praly, L. Small-Gain Theorem for ISS Systems and Applications. Math. Control. Signals Syst. 1994, 7, 95–120. [Google Scholar] [CrossRef]
- Gómez-Peñate, S.; López-Estrada, F.-R.; Valencia-Palomo, G.; Rotondo, D.; Guerrero-Sánchez, M.-E. Actuator and Sensor Fault Estimation Based on a Proportional Multiple-Integral Sliding Mode Observer for Linear Parameter Varying Systems with Inexact Scheduling Parameters. Int. J. Robust Nonlinear Control 2021, 31, 8420–8441. [Google Scholar] [CrossRef]
- López-Estrada, F.R.; Theilliol, D.; Astorga-Zaragoza, C.M.; Ponsart, J.C.; Valencia-Palomo, G.; Camas-Anzueto, J. Fault Diagnosis Observer for Descriptor Takagi-Sugeno Systems. Neurocomputing 2019, 331, 10–17. [Google Scholar] [CrossRef]
- Li, X.; Liu, S.; Guo, F.; Zhang, S. Fault-Tolerant Control Based on Control Allocation for Hypersonic Vehicle with Actuator Stuck Fault. In Proceedings of the 2019 2nd International Conference on Information Systems and Computer Aided Education (ICISCAE), Dalian, China, 28–30 September 2019; pp. 278–283. [Google Scholar] [CrossRef]
- Bao, C.; Wang, P.; Tang, G. Integrated Guidance and Control for Hypersonic Morphing Missile Based on Variable Span Auxiliary Control. Int. J. Aerosp. Eng. 2019, 2019, 1–20. [Google Scholar] [CrossRef]
- Wang, Y.; Zeng, Q.; Xu, Z.; Li, B.; Wang, W. Three-Dimensional Composite Approach Angle Constrained Guidance Law with Actuator Lag Consideration. J. Aerosp. Eng. 2024, 37, 04023114. [Google Scholar] [CrossRef]
- Wang, Z.; Yuan, J. Fuzzy Adaptive Fault Tolerant IGC Method for STT Missiles with Time-Varying Actuator Faults and Multisource Uncertainties. J. Frankl. Inst. 2020, 357, 59–81. [Google Scholar] [CrossRef]
- Ben-Ishai, A.; Reiner, J.; Rotstein, H. Kalman Filter Mechanization in INS/Seeker Fusion and Observability Analysis; AIAA: Montreal, QC, Canada, 2001. [Google Scholar]
- Waldmann, J. Line-of-Sight Rate Estimation and Linearizing Control of an Imaging Seeker in a Tactical Missile Guided by Proportional Navigation. IEEE Trans. Contr. Syst. Technol. 2002, 10, 556–567. [Google Scholar] [CrossRef]
- Zhao, B.; Xu, S.; Guo, J.; Jiang, R.; Zhou, J. Integrated Strapdown Missile Guidance and Control Based on Neural Network Disturbance Observer. Aerosp. Sci. Technol. 2019, 84, 170–181. [Google Scholar] [CrossRef]
- Khankalantary, S.; Sheikholeslam, F. Robust Extended State Observer-Based Three Dimensional Integrated Guidance and Control Design for Interceptors with Impact Angle and Input Saturation Constraints. ISA Trans. 2020, 104, 299–309. [Google Scholar] [CrossRef] [PubMed]
- Zheng, T.; Yao, Y.; He, F.; Ji, D. Integrated Guidance and Control Design of a Flight Vehicle with Side-Window Detection. Chin. J. Aeronaut. 2018, 31, 749–764. [Google Scholar] [CrossRef]
- Guo, J.; Zhou, J.; Zhao, B. Three-Dimensional Integrated Guidance and Control for Strap-Down Missiles Considering Seeker’s Field-of-View Angle Constraint. Trans. Inst. Meas. Control 2020, 42, 1097–1109. [Google Scholar] [CrossRef]
- Zarchan, P. Tactical and Strategic Missile Guidance, 6th ed.; Progress in Astronautics and Aeronautics; AlAA: Reston, VA, USA, 2012. [Google Scholar]
- Hu, K.-Y.; Sun, W.; Yang, C. Adaptive Fault-Tolerant Control for Flexible Variable Structure Spacecraft with Actuator Saturation and Multiple Faults. Appl. Sci. 2022, 12, 5319. [Google Scholar] [CrossRef]
- Hou, M.; Liang, X.; Duan, G. Adaptive Block Dynamic Surface Control for Integrated Missile Guidance and Autopilot. Chin. J. Aeronaut. 2013, 26, 741–750. [Google Scholar] [CrossRef]
- He, J.; Meng, Y.; You, J.; Zhang, J.; Wang, Y.; Zhang, C. Trajectory Tracking Control Method Based on Adaptive Higher Order Sliding Mode. Appl. Sci. 2022, 12, 7955. [Google Scholar] [CrossRef]
- Zhang, C.; Wu, Y.-J. Dynamic Surface Control and Active Disturbance Rejection Control-Based Integrated Guidance and Control Design and Simulation for Hypersonic Reentry Missile. Int. J. Model. Simul. Sci. Comput. 2016, 7, 1650025. [Google Scholar] [CrossRef]
- Zhang, D.; Ma, P.; Du, Y.; Chao, T. Integral Barrier Lyapunov Function-Based Three-Dimensional Low-Order Integrated Guidance and Control Design with Seeker’s Field-of-View Constraint. Aerosp. Sci. Technol. 2021, 116, 106886. [Google Scholar] [CrossRef]























| Parameters | Value | Parameters | Value | Parameters | Value |
|---|---|---|---|---|---|
| m | 1200 | 0.05 | −5.62 | ||
| I | diag([300, 5700, 5600]) | 0.07 | 0.46 | ||
| S | 0.42 | 0.06 | −0.37 | ||
| L | 0.68 | 57.16 | 2.12 | ||
| 0.32 | −0.08 | −27.31 | |||
| 0.21 | 5.74 | −26.57 | |||
| 0.19 | 0.09 | −28.16 | |||
| 25.38 | −56.31 | −27.92 |
| Control Method | ρi(t) = 1 | ρi(t) = 0.9 | ρi(t) = 0.8 | ρi(t) = 0.7 | ρi(t) = 0.6 | ρi(t) = 0.5 |
|---|---|---|---|---|---|---|
| FTIGC | 0.22 m | 0.25 m | 0.25 m | 0.37 m | 0.35 m | 0.32 m |
| TIGC | 0.38 m | 36.18 m | 194.97 m | 305.74 m | 169.75 m | 208.36 m |
Disclaimer/Publisher’s Note: The statements, opinions and data contained in all publications are solely those of the individual author(s) and contributor(s) and not of MDPI and/or the editor(s). MDPI and/or the editor(s) disclaim responsibility for any injury to people or property resulting from any ideas, methods, instructions or products referred to in the content. |
© 2024 by the authors. Licensee MDPI, Basel, Switzerland. This article is an open access article distributed under the terms and conditions of the Creative Commons Attribution (CC BY) license (https://creativecommons.org/licenses/by/4.0/).
Share and Cite
Yu, X.; Luo, S.; Zhang, F. Fault-Tolerant Integrated Guidance and Control Design for the Flight Vehicle without LOS Angular Rate Measurement. Appl. Sci. 2024, 14, 8191. https://doi.org/10.3390/app14188191
Yu X, Luo S, Zhang F. Fault-Tolerant Integrated Guidance and Control Design for the Flight Vehicle without LOS Angular Rate Measurement. Applied Sciences. 2024; 14(18):8191. https://doi.org/10.3390/app14188191
Chicago/Turabian StyleYu, Xiaojun, Shibin Luo, and Fuzhen Zhang. 2024. "Fault-Tolerant Integrated Guidance and Control Design for the Flight Vehicle without LOS Angular Rate Measurement" Applied Sciences 14, no. 18: 8191. https://doi.org/10.3390/app14188191
APA StyleYu, X., Luo, S., & Zhang, F. (2024). Fault-Tolerant Integrated Guidance and Control Design for the Flight Vehicle without LOS Angular Rate Measurement. Applied Sciences, 14(18), 8191. https://doi.org/10.3390/app14188191
