Sex and Obesity-Specific Associations of Ultrasound-Assessed Radial Velocity of Sound with Body Composition
Abstract
1. Introduction
2. Materials and Methods
2.1. Participants
2.2. Questionnaire
2.3. Body Composition Analysis
2.4. Anthropometric Analyses
2.5. Radius Quantitative Ultrasound
2.6. Statistical Analysis
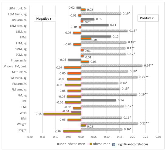
3. Results
4. Discussion
4.1. Fat Mass and Bone Tissue
4.2. Fat-Free Mass and Bone Tissue
4.3. Study Limitations
5. Conclusions
Author Contributions
Funding
Institutional Review Board Statement
Informed Consent Statement
Data Availability Statement
Conflicts of Interest
References
- Cooper, C.; Westlake, S.; Harvey, N.; Javaid, K.; Dennison, E.; Hanson, M. Review: Developmental Origins of Osteoporotic Fracture. Osteoporos. Int. 2006, 17, 337–347. [Google Scholar] [CrossRef] [PubMed]
- Weaver, C.M.; Gordon, C.M.; Janz, K.F.; Kalkwarf, H.J.; Lappe, J.M.; Lewis, R.; O’Karma, M.; Wallace, T.C.; Zemel, B.S. The National Osteoporosis Foundation’s Position Statement on Peak Bone Mass Development and Lifestyle Factors: A Systematic Review and Implementation Recommendations. Osteoporos. Int. 2016, 27, 1281–1386. [Google Scholar] [CrossRef]
- Docaj, A.; Carriero, A. Bone Health: Quality versus Quantity. J. Pediatr. Orthop. Soc. N. Am. 2024, 7, 100054. [Google Scholar] [CrossRef]
- Heaney, R.P. Is the Paradigm Shifting? Bone 2003, 33, 457–465. [Google Scholar] [CrossRef] [PubMed]
- Kaufman, J.J.; Einhorn, T.A. Perspectives: Ultrasound Assessment of Bone. J. Bone Miner. Res. 1993, 8, 517–525. [Google Scholar] [CrossRef] [PubMed]
- Weiss, M.; Koren-Michowitz, M.; Segal, E.; Ish-Shalom, S. Monitoring Response to Osteoporosis Therapy With Alendronate by a Multisite Ultrasound Device. J. Clin. Densitom. 2003, 6, 219–224. [Google Scholar] [CrossRef] [PubMed]
- Dane, C.; Dane, B.; Cetin, A.; Erginbas, M. The Role of Quantitative Ultrasound in Predicting Osteoporosis Defined by Dual-Energy X-ray Absorptiometry in Pre- and Postmenopausal Women. Climacteric 2008, 11, 296–303. [Google Scholar] [CrossRef] [PubMed]
- Gnudi, S.; Malavolta, N.; Ripamonti, C.; Caudarella, R. Ultrasound in the Evaluation of Osteoporosis: A Comparison with Bone Mineral Density at Distal Radius. Br. J. Radiol. 1995, 68, 476–480. [Google Scholar] [CrossRef] [PubMed]
- Njeh, C.F.; Saeed, I.; Grigorian, M.; Kendler, D.L.; Fan, B.; Shepherd, J.; McClung, M.; Drake, W.M.; Genant, H.K. Assessment of Bone Status Using Speed of Sound at Multiple Anatomical Sites. Ultrasound Med. Biol. 2001, 27, 1337–1345. [Google Scholar] [CrossRef]
- Oral, A. The Ability of Calcaneal and Multisite Quantitative Ultrasound Variables in the Identification of Osteoporosis in Women and Men. Turk. J. Phys. Med. Rehabil. 2019, 65, 203–215. [Google Scholar] [CrossRef]
- Rebocho, L.M.; Cardadeiro, G.; Zymbal, V.; Gonçalves, E.M.; Sardinha, L.B.; Baptista, F. Measurement Properties of Radial and Tibial Speed of Sound for Screening Bone Fragility in 10- to 12-Year-Old Boys and Girls. J. Clin. Densitom. 2014, 17, 528–533. [Google Scholar] [CrossRef]
- Fu, Y.; Li, C.; Luo, W.; Chen, Z.; Liu, Z.; Ding, Y. Fragility Fracture Discriminative Ability of Radius Quantitative Ultrasound: A Systematic Review and Meta-Analysis. Osteoporos. Int. 2021, 32, 23–38. [Google Scholar] [CrossRef] [PubMed]
- Kim, J.; Kwon, H.; Heo, B.-K.; Joh, H.-K.; Lee, C.M.; Hwang, S.-S.; Park, D.; Park, J.-H. The Association between Fat Mass, Lean Mass and Bone Mineral Density in Premenopausal Women in Korea: A Cross-Sectional Study. Korean J. Fam. Med. 2018, 39, 74. [Google Scholar] [CrossRef]
- Bierhals, I.O.; Dos Santos Vaz, J.; Bielemann, R.M.; De Mola, C.L.; Barros, F.C.; Gonçalves, H.; Wehrmeister, F.C.; Assunção, M.C.F. Associations between Body Mass Index, Body Composition and Bone Density in Young Adults: Findings from a Southern Brazilian Cohort. BMC Musculoskelet Disord. 2019, 20, 322. [Google Scholar] [CrossRef] [PubMed]
- Gomarasca, M.; Banfi, G.; Lombardi, G. Myokines: The Endocrine Coupling of Skeletal Muscle and Bone. In Advances in Clinical Chemistry; Elsevier: Amsterdam, The Netherlands, 2020; Volume 94, pp. 155–218. ISBN 978-0-12-820801-4. [Google Scholar]
- Li, L.; Zhong, H.; Shao, Y.; Zhou, X.; Hua, Y.; Chen, M. Association between Lean Body Mass to Visceral Fat Mass Ratio and Bone Mineral Density in United States Population: A Cross-Sectional Study. Arch. Public Health 2023, 81, 180. [Google Scholar] [CrossRef] [PubMed]
- Deng, K.-L.; Yang, W.-Y.; Hou, J.-L.; Li, H.; Feng, H.; Xiao, S.-M. Association between Body Composition and Bone Mineral Density in Children and Adolescents: A Systematic Review and Meta-Analysis. Int. J. Environ. Res. Public Health 2021, 18, 12126. [Google Scholar] [CrossRef]
- Mosca, L.N.; Goldberg, T.B.L.; da Silva, V.N.; da Silva, C.C.; Kurokawa, C.S.; Bisi Rizzo, A.C.; Corrente, J.E. Excess Body Fat Negatively Affects Bone Mass in Adolescents. Nutrition 2014, 30, 847–852. [Google Scholar] [CrossRef] [PubMed]
- Dolan, E.; Swinton, P.A.; Sale, C.; Healy, A.; O’Reilly, J. Influence of Adipose Tissue Mass on Bone Mass in an Overweight or Obese Population: Systematic Review and Meta-Analysis. Nutr. Rev. 2017, 75, 858–870. [Google Scholar] [CrossRef]
- Glass, N.A.; Torner, J.C.; Letuchy, E.M.; Burns, T.L.; Janz, K.F.; Eichenberger Gilmore, J.M.; Schlechte, J.A.; Levy, S.M. Does Visceral or Subcutaneous Fat Influence Peripheral Cortical Bone Strength During Adolescence? A Longitudinal Study. J. Bone Miner. Res. 2018, 33, 580–588. [Google Scholar] [CrossRef]
- Shapses, S.A.; Pop, L.C.; Wang, Y. Obesity Is a Concern for Bone Health with Aging. Nutr. Res. 2017, 39, 1–13. [Google Scholar] [CrossRef] [PubMed]
- Wang, J.; Yan, D.; Hou, X.; Chen, P.; Sun, Q.; Bao, Y.; Hu, C.; Zhang, Z.; Jia, W. Association of Adiposity Indices with Bone Density and Bone Turnover in the Chinese Population. Osteoporos. Int. 2017, 28, 2645–2652. [Google Scholar] [CrossRef] [PubMed]
- Xiao, Z.; Xu, H. Gender-Specific Body Composition Relationships between Adipose Tissue Distribution and Peak Bone Mineral Density in Young Chinese Adults. BioMed Res. Int. 2020, 2020, 6724749. [Google Scholar] [CrossRef] [PubMed]
- Fan, J.; Jiang, Y.; Qiang, J.; Han, B.; Zhang, Q. Associations of Fat Mass and Fat Distribution With Bone Mineral Density in Non-Obese Postmenopausal Chinese Women Over 60 Years Old. Front. Endocrinol. 2022, 13, 829867. [Google Scholar] [CrossRef] [PubMed]
- Kim, W.; Chung, S.G.; Kim, K.; Seo, H.G.; Oh, B.-M.; Yi, Y.; Kim, M.J. The Relationship between Body Fat and Bone Mineral Density in Korean Men and Women. J. Bone Miner. Metab. 2013, 32, 709–717. [Google Scholar] [CrossRef] [PubMed]
- Holmes, B.L.; Ludwa, I.A.; Gammage, K.L.; Mack, D.E.; Klentrou, P. Relative Importance of Body Composition, Osteoporosis-Related Behaviors, and Parental Income on Bone Speed of Sound in Adolescent Females. Osteoporos. Int. 2010, 21, 1953–1957. [Google Scholar] [CrossRef]
- Bim, M.A.; Pinto, A.D.A.; Angelo, H.C.C.D.; Gonzaga, I.; Guimarães, A.C.D.A.; Felden, É.P.G.; Carvalho, W.R.G.D.; Hind, K.; Pelegrini, A. Relationship between Body Composition and Bone Mass in Normal-Weight and Overweight Adolescents. PeerJ 2022, 10, e14108. [Google Scholar] [CrossRef] [PubMed]
- World Health Organization WHO STEPwise Approach to Surveillance (STEPS). Available online: https://www.who.int/publications/m/item/standard-steps-instrument (accessed on 29 July 2024).
- McKay, A.K.A.; Stellingwerff, T.; Smith, E.S.; Martin, D.T.; Mujika, I.; Goosey-Tolfrey, V.L.; Sheppard, J.; Burke, L.M. Defining Training and Performance Caliber: A Participant Classification Framework. Int. J. Sports Physiol. Perform. 2022, 17, 317–331. [Google Scholar] [CrossRef]
- Hurt, R.T.; Ebbert, J.O.; Croghan, I.; Nanda, S.; Schroeder, D.R.; Teigen, L.M.; Velapati, S.R.; Mundi, M.S. The Comparison of Segmental Multifrequency Bioelectrical Impedance Analysis and Dual-Energy X-ray Absorptiometry for Estimating Fat Free Mass and Percentage Body Fat in an Ambulatory Population. J. Parenter. Enter. Nutr. 2021, 45, 1231–1238. [Google Scholar] [CrossRef]
- Wong, J.C.; O’Neill, S.; Beck, B.R.; Forwood, M.R.; Khoo, S.K. Comparison of Obesity and Metabolic Syndrome Prevalence Using Fat Mass Index, Body Mass Index and Percentage Body Fat. PLoS ONE 2021, 16, e0245436. [Google Scholar] [CrossRef]
- Lohman, T.G.; Roche, A.F.; Martorell, R. (Eds.) Anthropometric Standardization Reference Manual; Human Kinetics Books: Champaign, IL, USA, 1988; ISBN 978-0-87322-121-4. [Google Scholar]
- Savvidis, C.; Tournis, S.; Dede, A.D. Obesity and Bone Metabolism. Hormones 2018, 17, 205–217. [Google Scholar] [CrossRef]
- Russell, M.; Mendes, N.; Miller, K.K.; Rosen, C.J.; Lee, H.; Klibanski, A.; Misra, M. Visceral Fat Is a Negative Predictor of Bone Density Measures in Obese Adolescent Girls. J. Clin. Endocrinol. Metab. 2010, 95, 1247–1255. [Google Scholar] [CrossRef]
- Bredella, M.A.; Misra, M.; Miller, K.K.; Klibanski, A.; Gupta, R. Trabecular Structure Analysis of the Distal Radius in Adolescent Patients with Anorexia Nervosa Using Ultra High Resolution Flat Panel Based Volume CT. J. Musculoskelet Neuronal Interact 2008, 8, 315. [Google Scholar]
- Wang, L.; Wang, W.; Xu, L.; Cheng, X.; Ma, Y.; Liu, D.; Guo, Z.; Su, Y.; Wang, Q. Relation of Visceral and Subcutaneous Adipose Tissue to Bone Mineral Density in Chinese Women. Int. J. Endocrinol. 2013, 2013, 378632. [Google Scholar] [CrossRef]
- Zhu, K.; Hunter, M.; James, A.; Lim, E.M.; Cooke, B.R.; Walsh, J.P. Relationship between Visceral Adipose Tissue and Bone Mineral Density in Australian Baby Boomers. Osteoporos. Int. 2020, 31, 2439–2448. [Google Scholar] [CrossRef]
- Braun, T.; Schett, G. Pathways for Bone Loss in Inflammatory Disease. Curr. Osteoporos. Rep. 2012, 10, 101–108. [Google Scholar] [CrossRef]
- Janicka, A.; Wren, T.A.L.; Sanchez, M.M.; Dorey, F.; Kim, P.S.; Mittelman, S.D.; Gilsanz, V. Fat Mass Is Not Beneficial to Bone in Adolescents and Young Adults. J. Clin. Endocrinol. Metab. 2007, 92, 143–147. [Google Scholar] [CrossRef]
- Sheu, Y.; Cauley, J.A. The Role of Bone Marrow and Visceral Fat on Bone Metabolism. Curr. Osteoporos. Rep. 2011, 9, 67–75. [Google Scholar] [CrossRef] [PubMed]
- Hilton, C.; Vasan, S.K.; Neville, M.J.; Christodoulides, C.; Karpe, F. The Associations between Body Fat Distribution and Bone Mineral Density in the Oxford Biobank: A Cross Sectional Study. Expert Rev. Endocrinol. Metab. 2022, 17, 75–81. [Google Scholar] [CrossRef] [PubMed]
- Kirilova, E.; Kirilov, N.; Vladeva, S. Association between Body Fat and Bone Mineral Density in Postmenopausal Women through Radiofrequency Echographic Multi Spectrometry. In Proceedings of the Annual European Congress of Rheumatology, Madrid, Spain, 12–15 June 2019; p. 1889. [Google Scholar]
- Yerges-Armstrong, L.M.; Miljkovic, I.; Cauley, J.A.; Sheu, Y.; Gordon, C.L.; Wheeler, V.W.; Bunker, C.H.; Patrick, A.L.; Zmuda, J.M. Adipose Tissue and Volumetric Bone Mineral Density of Older Afro-Caribbean Men. J. Bone Miner. Res. 2010, 25, 2221–2228. [Google Scholar] [CrossRef]
- Yao, W.; Luo, J.; Ao, L.; Cheng, H.; Lu, S.; Liu, J.; Lu, K.; Mi, J.; Yang, Y.; Liu, L. Association of Total Body Fat and Fat Distribution with Bone Mineral Density among Children and Adolescents Aged 6–17 Years from Guangzhou, China. Eur. J. Pediatr. 2022, 182, 1115–1126. [Google Scholar] [CrossRef]
- Douchi, T. Relationship between Body Fat Distribution and Bone Mineral Density in Premenopausal Japanese Women. Obstet. Gynecol. 2000, 95, 722–725. [Google Scholar] [CrossRef] [PubMed]
- El Hage, R.; Jacob, C.; Moussa, E.; Baddoura, R. Site-Specific Effects of Trunk Fat Mass on Bone Mineral Density in a Group of Adolescent Girls. Sci. Sports 2012, 27, 175–179. [Google Scholar] [CrossRef]
- Bihun, H.; Abdullah, N.; Abdul Murad, N.A.; Chin, S.F.; Arifin, A.S.K.; Khuzaimi, A.N.; Karpe, F.; Lewington, S.; Carter, J.; Bragg, F.; et al. Body Fat Distribution and Bone Mineral Density in a Multi-Ethnic Sample of Postmenopausal Women in The Malaysian Cohort. Arch. Osteoporos. 2024, 19, 73. [Google Scholar] [CrossRef] [PubMed]
- Kim, J.H.; Choi, H.J.; Kim, M.J.; Shin, C.S.; Cho, N.H. Fat Mass Is Negatively Associated with Bone Mineral Content in Koreans. Osteoporos. Int. 2012, 23, 2009–2016. [Google Scholar] [CrossRef] [PubMed]
- Ding, Z.; Chen, Y.; Xu, Y.; Zhou, X.; Xu, Y.; Ma, Z.; Sun, Y. Impact of Age, Gender, and Body Composition on Bone Quality in an Adult Population From the Middle Areas of China. J. Clin. Densitom. 2018, 21, 83–90. [Google Scholar] [CrossRef]
- Chen, L.; Wu, J.; Ren, W.; Li, X.; Luo, M.; Hu, Y. The Relationship between Skeletal Muscle Mass and Bone Mass at Different Sites in Older Adults. Ann. Nutr. Metab. 2023, 79, 256–262. [Google Scholar] [CrossRef] [PubMed]
- Taniguchi, Y.; Makizako, H.; Kiyama, R.; Tomioka, K.; Nakai, Y.; Kubozono, T.; Takenaka, T.; Ohishi, M. The Association between Osteoporosis and Grip Strength and Skeletal Muscle Mass in Community-Dwelling Older Women. Int. J. Environ. Res. Public. Health 2019, 16, 1228. [Google Scholar] [CrossRef]
- Boot, A.M.; De Ridder, M.A.J.; Van Der Sluis, I.M.; Van Slobbe, I.; Krenning, E.P.; De Muinck Keizer-Schrama, S.M.P.F. Peak Bone Mineral Density, Lean Body Mass and Fractures. Bone 2010, 46, 336–341. [Google Scholar] [CrossRef] [PubMed]
- Patalong-Wójcik, M.; Golara, A.; Zając, K.; Sokołowska, A.; Kozłowski, M.; Tołoczko-Grabarek, A.; Krzyścin, M.; Brodowska, A.; Janiec, A.; Myszka, A.; et al. Influence of Muscle Mass and Strength on Bone Mineralisation with Consideration of Sclerostin Concentration. Biomedicines 2023, 11, 1574. [Google Scholar] [CrossRef]
- Zhu, M.; Hamzah, S.H.; Lim, B.-H.; Chao, T.; Wu, J.; Lin, C.-P.; Chang, C.-Y.; Feng, W.-H.; Chen, P.-W.; Hsieh, C.-C.; et al. Bone Mineral Density And Muscle Mass Determine Handgrip Strength Only When Multiple Tests Are Performed: 312 Board #128 May 27 10:30 AM–12:00 PM. Med. Sci. Sports Exerc. 2020, 52, 70. [Google Scholar] [CrossRef]
- Arden, N.K.; Spector, T.D. Genetic Influences on Muscle Strength, Lean Body Mass, and Bone Mineral Density: A Twin Study. J. Bone Miner. Res. 1997, 12, 2076–2081. [Google Scholar] [CrossRef] [PubMed]
- Pelegrini, A.; Bim, M.A.; Alves, A.D.; Scarabelot, K.S.; Claumann, G.S.; Fernandes, R.A.; De Angelo, H.C.C.; Pinto, A.D.A. Relationship Between Muscle Strength, Body Composition and Bone Mineral Density in Adolescents. J. Clin. Densitom. 2022, 25, 54–60. [Google Scholar] [CrossRef] [PubMed]
- Pimenta, L.D.; Massini, D.A.; Santos, D.D.; Siqueira, L.O.D.C.; Sancassani, A.; Santos, L.G.A.D.; Guimarães, B.R.; Neiva, C.M.; Pessôa Filho, D.M. Women’s femoral mass content correlates to muscle strength independently of lean body mass. Rev. Bras. Med. Esporte 2019, 25, 485–489. [Google Scholar] [CrossRef]
- Alkahtani, S.; Aljaloud, K.; Yakout, S.; Al-Daghri, N.M. Interactions between Sedentary and Physical Activity Patterns, Lean Mass, and Bone Density in Arab Men. Dis. Markers 2019, 2019, 5917573. [Google Scholar] [CrossRef] [PubMed]
- Frost, H.M. Bone’s Mechanostat: A 2003 Update. Anat. Rec. A. Discov. Mol. Cell. Evol. Biol. 2003, 275A, 1081–1101. [Google Scholar] [CrossRef] [PubMed]
- Woo, S.L.; Kuei, S.C.; Amiel, D.; Gomez, M.A.; Hayes, W.C.; White, F.C.; Akeson, W.H. The Effect of Prolonged Physical Training on the Properties of Long Bone: A Study of Wolff’s Law. J. Bone Jt. Surg. Am. 1981, 63, 780–787. [Google Scholar] [CrossRef]
- Bonewald, L. Use It or Lose It to Age: A Review of Bone and Muscle Communication. Bone 2019, 120, 212–218. [Google Scholar] [CrossRef] [PubMed]
- Tagliaferri, C.; Wittrant, Y.; Davicco, M.-J.; Walrand, S.; Coxam, V. Muscle and Bone, Two Interconnected Tissues. Ageing Res. Rev. 2015, 21, 55–70. [Google Scholar] [CrossRef]
- Levinger, I.; Jerums, G.; Stepto, N.K.; Parker, L.; Serpiello, F.R.; McConell, G.K.; Anderson, M.; Hare, D.L.; Byrnes, E.; Ebeling, P.R.; et al. The Effect of Acute Exercise on Undercarboxylated Osteocalcin and Insulin Sensitivity in Obese Men. J. Bone Miner. Res. 2014, 29, 2571–2576. [Google Scholar] [CrossRef]
- Scharff, M.; Wiepjes, C.M.; Klaver, M.; Schreiner, T.; T’Sjoen, G.; Den Heijer, M. Change in Grip Strength in Trans People and Its Association with Lean Body Mass and Bone Density. Endocr. Connect. 2019, 8, 1020–1028. [Google Scholar] [CrossRef]
- Green, D.J.; Chasland, L.C.; Yeap, B.B.; Naylor, L.H. Comparing the Impacts of Testosterone and Exercise on Lean Body Mass, Strength and Aerobic Fitness in Aging Men. Sports Med.-Open 2024, 10, 30. [Google Scholar] [CrossRef] [PubMed]



| Men | Women | |||||||||
|---|---|---|---|---|---|---|---|---|---|---|
| Non-Obese (N = 190) | Obese (N = 80) | p | Non-Obese (N = 296) | Obese (N = 208) | p | |||||
| Mean | SD | Mean | SD | Mean | SD | Mean | SD | |||
| Age (y) | 22.15 | 2.44 | 22.43 | 2.34 | 0.313 b | 21.02 | 2.11 | 21.60 | 2.27 | 0.003 *b |
| Weight (kg) | 74.27 | 10.50 | 87.79 | 16.29 | <0.001 *a | 55.36 | 6.54 | 68.60 | 12.18 | <0.001 *a |
| Height (cm) | 180.87 | 7.34 | 180.28 | 7.28 | 0.546 a | 167.02 | 6.14 | 166.24 | 5.99 | 0.158 a |
| BMI (kg/m2) | 22.66 | 2.49 | 26.88 | 4.16 | <0.001 *a | 19.80 | 1.90 | 24.73 | 3.87 | <0.001 *b |
| WHR | 0.80 | 0.05 | 0.82 | 0.05 | <0.001 *a | 0.73 | 0.05 | 0.74 | 0.06 | <0.001 *b |
| PBF (%) | 13.5 | 3.62 | 25.9 | 5.52 | <0.001 *a | 22.2 | 3.75 | 34.5 | 5.20 | <0.001 *a |
| FM (kg) | 10.12 | 3.34 | 23.37 | 9.94 | <0.001 *b | 12.39 | 2.95 | 24.11 | 7.85 | <0.001 *b |
| FM arm (%) | 66.64 | 32.11 | 255.70 | 229.61 | <0.001 *b | 79.53 | 19.24 | 184.15 | 87.58 | <0.001 *b |
| FM arm (kg) | 0.43 | 0.21 | 1.67 | 1.51 | <0.001 *b | 0.80 | 0.20 | 1.83 | 0.89 | <0.001 *b |
| FM trunk (%) | 109.98 | 44.50 | 267.85 | 94.23 | <0.001 *b | 101.56 | 29.38 | 211.85 | 67.14 | <0.001 *b |
| FM trunk (kg) | 5.03 | 2.10 | 12.23 | 4.54 | <0.001 *a | 5.72 | 1.70 | 11.83 | 3.82 | <0.001 *b |
| FMI | 3.09 | 0.99 | 7.15 | 2.89 | <0.001 *b | 4.44 | 1.03 | 8.71 | 2.73 | <0.001 *b |
| FFM (kg) | 63.88 | 8.80 | 63.94 | 8.76 | 0.958 a | 42.84 | 4.81 | 44.09 | 6.15 | 0.009 *a |
| FFMI | 19.56 | 2.00 | 19.75 | 1.80 | 0.477 a | 15.35 | 1.25 | 16.06 | 1.48 | <0.001 *a |
| LBM (kg) | 60.73 | 8.39 | 60.84 | 7.95 | 0.928 a | 40.45 | 4.51 | 41.96 | 5.34 | <0.001 *a |
| LBM arm (%) | 105.64 | 10.62 | 98.00 | 9.49 | <0.001 *a | 96.04 | 8.26 | 93.68 | 10.15 | 0.004 *a |
| LBM arm (kg) | 3.57 | 0.70 | 3.53 | 0.63 | 0.641 a | 1.93 | 0.35 | 2.14 | 0.42 | <0.001 *a |
| LBM trunk (%) | 103.90 | 5.87 | 97.56 | 5.67 | <0.001 *a | 100.63 | 4.79 | 95.64 | 4.97 | <0.001 *a |
| LBM trunk (kg) | 28.00 | 3.75 | 28.04 | 3.62 | 0.941 a | 18.35 | 2.07 | 19.63 | 2.60 | <0.001 *a |
| SMM (kg) | 36.62 | 5.62 | 36.37 | 5.00 | 0.739 a | 23.39 | 2.87 | 24.29 | 3.33 | <0.001 *a |
| Visceral FM (cm2) | 40.12 | 17.21 | 101.58 | 42.93 | <0.001 *b | 51.27 | 13.20 | 110.63 | 42.31 | <0.001 *b |
| BCM (kg) | 42.25 | 5.79 | 42.15 | 5.49 | 0.888 a | 27.85 | 3.13 | 28.87 | 3.66 | <0.001 *a |
| Phase (°) | 6.41 | 0.61 | 6.04 | 0.55 | <0.001 *a | 5.16 | 0.50 | 5.18 | 0.45 | 0.609 b |
| SOS (m/s) | 4034 | 119.82 | 4024.7 | 107.64 | 0.550 a | 4071.3 | 106.53 | 4073.3 | 102.76 | 0.840 a |
| Men | Women | |||||
|---|---|---|---|---|---|---|
| Non-Obese | Obese | Non-Obese | Obese | |||
| % | % | p a | % | % | p a | |
| Smoking | 26 | 28 | 0.771 | 16 | 28 | 0.001 * |
| Alcohol | 92 | 88 | 0.233 | 91 | 92 | 0.605 |
| Coffee | 73 | 62 | 0.064 | 79 | 179 | 0.869 |
| Sweetened beverages | 88 | 91 | 0.471 | 85 | 90 | 0.070 |
| Vit. D intake | 28 | 21 | 0.255 | 34 | 24 | 0.019 * |
| Calcium intake | 16 | 15 | 0.870 | 16 | 8 | 0.005 * |
| PA, tier 0 | 29 | 47 | <0.001 * | 54 | 66 | 0.012 * |
| PA, tier 1 | 17 | 27 | 20 | 18 | ||
| PA, tier 2 | 54 | 26 | 26 | 16 | ||
| Dependent Variables | Predictors | Unstandardized B | Standardized ꞵ | 95% CI for B | SE for B | p | R2 | Adjusted R2 | Durbin–Watson | T |
|---|---|---|---|---|---|---|---|---|---|---|
| Non-obese men | ||||||||||
| SOS (m/s) | Age | 11.613 | 0.233 | 4.624–18.602 | 3.542 | 0.001 * | 0.110 | 0.099 | 1.828 | 0.994 |
| Visceral FM | 1.546 | 0.218 | 0.550–2.543 | 0.505 | 0.003 * | 0.994 | ||||
| The least significant variables: smoking status, alcohol consumption, coffee drinking, sweetened beverages consumption, physical activity, Ca intake, vitamin D intake, BMI, PBF, FM in the trunk (%), and FM in the arm (%) | ||||||||||
| Non-obese women | ||||||||||
| SOS (m/s) | Age | 16.634 | 0.328 | 11.034–22.234 | 2.845 | <0.001 * | 0.156 | 0.147 | 1.715 | 0.937 |
| FM arm, % | 0.637 | 0.115 | 0.037–1.238 | 0.305 | 0.038 * | 0.967 | ||||
| Vitamin D | 26.057 | 0.116 | 0.815–51.299 | 12.824 | 0.043 * | 0.910 | ||||
| The least significant variables: smoking status, alcohol consumption, coffee drinking, sweetened beverages consumption, physical activity, Ca intake, vitamin D intake, BMI, PBF, FM in the trunk (%), and visceral FM | ||||||||||
| Obese women | ||||||||||
| SOS (m/s) | Age | 13.463 | 0.296 | 7.469–19.457 | 0.296 | <0.001 * | 0.114 | 0.105 | 1.708 | 1.000 |
| Visceral FM | −0.406 | −0.166 | −0.728–0.084 | −0.166 | 0.014 * | 1.000 | ||||
| The least significant variables: smoking status, alcohol consumption, coffee drinking, sweetened beverages consumption, physical activity, Ca intake, vitamin D intake, BMI, PBF, FM in the trunk (%), and FM in the arm (%) | ||||||||||
Disclaimer/Publisher’s Note: The statements, opinions and data contained in all publications are solely those of the individual author(s) and contributor(s) and not of MDPI and/or the editor(s). MDPI and/or the editor(s) disclaim responsibility for any injury to people or property resulting from any ideas, methods, instructions or products referred to in the content. |
© 2024 by the authors. Licensee MDPI, Basel, Switzerland. This article is an open access article distributed under the terms and conditions of the Creative Commons Attribution (CC BY) license (https://creativecommons.org/licenses/by/4.0/).
Share and Cite
Sulis, S.; Falbová, D.; Beňuš, R.; Švábová, P.; Hozáková, A.; Vorobeľová, L. Sex and Obesity-Specific Associations of Ultrasound-Assessed Radial Velocity of Sound with Body Composition. Appl. Sci. 2024, 14, 7319. https://doi.org/10.3390/app14167319
Sulis S, Falbová D, Beňuš R, Švábová P, Hozáková A, Vorobeľová L. Sex and Obesity-Specific Associations of Ultrasound-Assessed Radial Velocity of Sound with Body Composition. Applied Sciences. 2024; 14(16):7319. https://doi.org/10.3390/app14167319
Chicago/Turabian StyleSulis, Simona, Darina Falbová, Radoslav Beňuš, Petra Švábová, Alexandra Hozáková, and Lenka Vorobeľová. 2024. "Sex and Obesity-Specific Associations of Ultrasound-Assessed Radial Velocity of Sound with Body Composition" Applied Sciences 14, no. 16: 7319. https://doi.org/10.3390/app14167319
APA StyleSulis, S., Falbová, D., Beňuš, R., Švábová, P., Hozáková, A., & Vorobeľová, L. (2024). Sex and Obesity-Specific Associations of Ultrasound-Assessed Radial Velocity of Sound with Body Composition. Applied Sciences, 14(16), 7319. https://doi.org/10.3390/app14167319

